Experimental Performance of a Membrane Desorber Operating under Simulated Warm Weather Condensation Temperatures
Abstract
:1. Introduction
2. Air Gap Membrane Distillation Process
3. Methodology
3.1. Experimental Setup
3.2. Thermal Energy Efficiency Analysis
4. Results
4.1. Desorption Rate
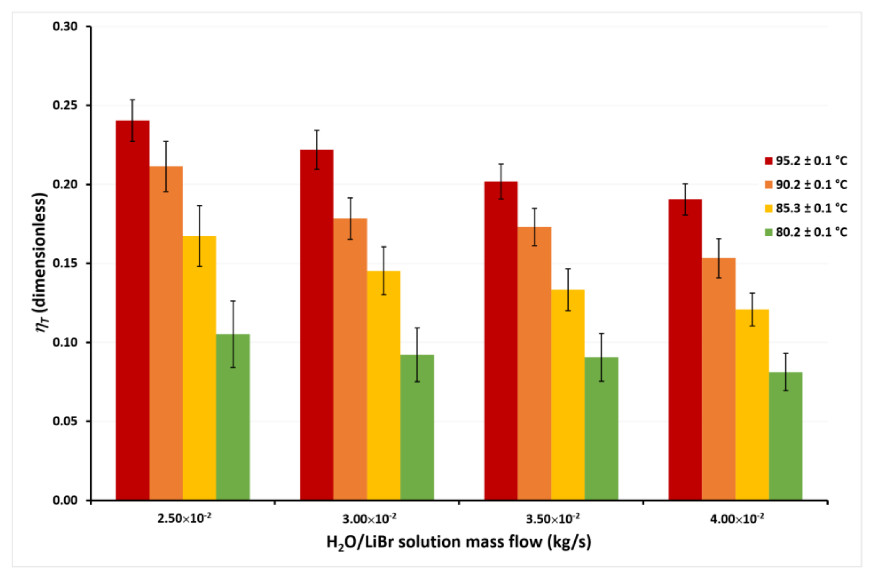
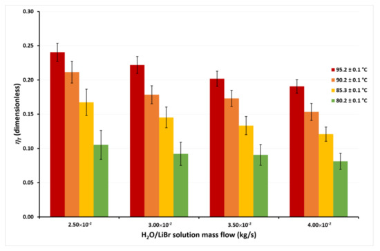
4.2. Thermal Energy Efficiency
5. Conclusions
Author Contributions
Funding
Institutional Review Board Statement
Informed Consent Statement
Data Availability Statement
Acknowledgments
Conflicts of Interest
References
- Kim, D.S.; Infante Ferreira, C.A. Air-cooled LiBr–water absorption chillers for solar air conditioning in extremely hot weathers. Energy Convers. Manag. 2009, 168, 252–269. [Google Scholar] [CrossRef]
- Solano–Olivares, K.; Romero, R.; Santoyo, E.; Herrera, I.; Galindo–Luna, Y.; Rodríguez–Martínez, A.; Santoyo-Castelazo, E.; Cerezo, J. Life cycle assessment of a solar absorption air-conditioning system. J. Clean. Prod. 2019, 240, 118206. [Google Scholar] [CrossRef]
- Han, X.-D.; Zhang, S.-W.; Tang, Y.; Yuan, W.; Li, B. Mass transfer enhancement for LiBr solution using ultrasonic wave. J. Central South Univ. 2016, 23, 405–412. [Google Scholar] [CrossRef]
- Xu, Z.; Wang, R. Solar-powered absorption cooling systems. In Advances in Solar Heating and Cooling; Elsevier BV: Amsterdam, The Netherlands, 2016; pp. 251–298. [Google Scholar]
- Delgado-Gonzaga, J.; Juárez-Romero, D.; Saravanan, R.; Márquez-Nolasco, A.; Huicochea, A.; Morales, L. Performance analysis of a dual component generator-condenser of an absorption heat transformer for water desalination. Therm. Sci. Eng. Prog. 2020, 20, 100651. [Google Scholar] [CrossRef]
- Hu, T.; Xie, X.; Jiang, Y. A detachable plate falling film generator and condenser coupling using lithium bromide and water as working fluids. Int. J. Refrig. 2019, 98, 120–128. [Google Scholar] [CrossRef]
- Yi, Y.; Hu, T.; Xie, X.; Jiang, Y. Experimental assessment of a detachable plate falling film heat and mass exchanger couple using lithium bromide and water as working fluids. Int. J. Refrig. 2020, 113, 219–227. [Google Scholar] [CrossRef]
- Hu, T.; Xie, X.; Jiang, Y. Design and experimental study of a plate-type falling-film generator for a LiBr/H2O absorption heat pump. Int. J. Refrig. 2017, 74, 304–312. [Google Scholar] [CrossRef]
- Lee, J.H.; Kim, D.H.; Kim, S.M.; Kim, M.S.; Kim, I.G.; Woo, S.M.; Hong, S.J.; Park, C.W. Heat transfer characteristics of a falling film generator for various configurations of heating tubes in an absorption chiller. Appl. Therm. Eng. 2019, 148, 1407–1415. [Google Scholar] [CrossRef]
- Shi, C.; Chen, Q.; Jen, T.-C.; Yang, W. Heat transfer performance of lithium bromide solution in falling film generator. Int. J. Heat Mass Transf. 2010, 53, 3372–3376. [Google Scholar] [CrossRef]
- Keinath, C.M.; Nagavarapu, A.K.; Delahanty, J.C.; Garimella, S.; Garrabrant, M.A. Experimental assessment of alternative compact configurations for ammonia-water desorption. Appl. Therm. Eng. 2019, 161, 113852. [Google Scholar] [CrossRef]
- Delahanty, J.C.; Garimella, S.; Garrabrant, M.A. Design of compact microscale geometries for ammonia–water desorption. Sci. Technol. Built Environ. 2015, 21, 365–374. [Google Scholar] [CrossRef]
- Determan, M.D.; Garimella, S. Ammonia–water desorption heat and mass transfer in microchannel devices. Int. J. Refrig. 2011, 34, 1197–1208. [Google Scholar] [CrossRef]
- Arun, M.; Maiya, M.; Murthy, S. Equilibrium low pressure generator temperatures for double-effect series flow absorption refrigeration systems. Appl. Therm. Eng. 2000, 20, 227–242. [Google Scholar] [CrossRef]
- Al-Alili, A.; Islam, M.; Kubo, I.; Hwang, Y.; Radermacher, R. Modeling of a solar powered absorption cycle for Abu Dhabi. Appl. Energy 2012, 93, 160–167. [Google Scholar] [CrossRef]
- Xu, Z.; Wang, R. Comparison of absorption refrigeration cycles for efficient air-cooled solar cooling. Sol. Energy 2018, 172, 14–23. [Google Scholar] [CrossRef]
- Izquierdo, M.; Venegas, M.; Rodríguez, P.; Lecuona, A. Crystallization as a limit to develop solar air-cooled LiBr–H2O absorption systems using low-grade heat. Sol. Energy Mater. Sol. Cells 2004, 81, 205–216. [Google Scholar] [CrossRef]
- Inada, T.; Tomita, H.; Takemura, F.; Tsubouchi, O.; Hihara, E. Crystallization temperature, vapor pressure, density and viscosity of lithium bromide+lithium iodide+ethylene glycol+water system for absorption refrigerators for automotive use. Int. J. Refrig. 2019, 100, 274–283. [Google Scholar] [CrossRef]
- Lawson, K.W.; Lloyd, D.R. Membrane distillation. J. Membr. Sci. 1997, 124, 1–25. [Google Scholar] [CrossRef]
- Izquierdo-Gil, M.; García-Payo, M.; Fernández-Pineda, C. Air gap membrane distillation of sucrose aqueous solutions. J. Membr. Sci. 1999, 155, 291–307. [Google Scholar] [CrossRef]
- Bahena, J.I.; Carrasco, U.D.; González, M.M.; Romero, R.; Pensado, M.A.B.; Cristóbal, O.H. Experimental evaluation of a membrane contactor unit used as a desorber/condenser with water/Carrol mixture for absorption heat transformer cycles. Exp. Therm. Fluid Sci. 2016, 76, 193–204. [Google Scholar] [CrossRef]
- Riffat, S.; Wu, S.; Bol, B. Pervaporation membrane process for vapour absorption system. Int. J. Refrig. 2004, 27, 604–611. [Google Scholar] [CrossRef]
- Ibarra-Bahena, J.; Rivera, W.; Romero, R.; Montiel-González, M.; Dehesa-Carrasco, U. Novel intermittent absorption cooling system based on membrane separation process. Appl. Therm. Eng. 2018, 136, 718–729. [Google Scholar] [CrossRef]
- Asfand, F.; Bourouis, M. A review of membrane contactors applied in absorption refrigeration systems. Renew. Sustain. Energy Rev. 2015, 45, 173–191. [Google Scholar] [CrossRef]
- Ibarra-Bahena, J.; Raman, S.; Galindo-Luna, Y.R.; Rodríguez-Martínez, A.; Rivera, W. Role of Membrane Technology in Absorption Heat Pumps: A Comprehensive Review. Membranes 2020, 10, 216. [Google Scholar] [CrossRef]
- Venegas, M.; García-Hernando, N.; De Vega, M. Experimental evaluation of a membrane-based microchannel desorber operating at low desorption temperatures. Appl. Therm. Eng. 2020, 167, 114781. [Google Scholar] [CrossRef]
- Ibarra-Bahena, J.; Venegas-Reyes, E.; Galindo-Luna, Y.R.; Rivera, W.; Romero, R.J.; Rodríguez-Martínez, A.; Dehesa-Carrasco, U. Feasibility Analysis of a Membrane Desorber Powered by Thermal Solar Energy for Absorption Cooling Systems. Appl. Sci. 2020, 10, 1110. [Google Scholar] [CrossRef] [Green Version]
- Hong, S.J.; Hihara, E.; Dang, C. Analysis of adiabatic heat and mass transfer of microporous hydrophobic hollow fiber membrane-based generator in vapor absorption refrigeration system. J. Membr. Sci. 2018, 564, 415–427. [Google Scholar] [CrossRef]
- Ibarra-Bahena, J.; Dehesa-Carrasco, U.; Romero, R.; Rivas-Herrera, B.; Rivera, W. Experimental assessment of a hydrophobic membrane-based desorber/condenser with H2O/LiBr mixture for absorption systems. Exp. Therm. Fluid Sci. 2017, 88, 145–159. [Google Scholar] [CrossRef]
- Isfahani, R.N.; Fazeli, A.; Bigham, S.; Moghaddam, S. Physics of lithium bromide (LiBr) solution dewatering through vapor venting membranes. Int. J. Multiph. Flow 2014, 58, 27–38. [Google Scholar] [CrossRef]
- Bigham, S.; Isfahani, R.N.; Moghaddam, S. Direct molecular diffusion and micro-mixing for rapid dewatering of LiBr solution. Appl. Therm. Eng. 2014, 64, 371–375. [Google Scholar] [CrossRef]
- Wang, Z.; Gu, Z.; Feng, S.; Li, Y. Application of vacuum membrane distillation to lithium bromide absorption refrigeration system. Int. J. Refrig. 2009, 32, 1587–1596. [Google Scholar] [CrossRef]
- Sudoh, M.; Takuwa, K.; Iizuka, H.; Nagamatsuy, K. Effects of thermal and concentration boundary layers on vapour permeation in membrane distillation of aqueous lithium bromide solution. J. Membr. Sci. 1997, 131, 1–7. [Google Scholar] [CrossRef]
- Guillen-Burrieza, E.; Blanco, J.; Zaragoza, G.; Alarcón, D.-C.; Palenzuela, P.; Ibarra, M.; Gernjak, W. Experimental analysis of an air gap membrane distillation solar desalination pilot system. J. Membr. Sci. 2011, 379, 386–396. [Google Scholar] [CrossRef]
- Alkhudhiri, A.; Darwish, N.; Hilal, N. Produced water treatment: Application of Air Gap Membrane Distillation. Desalination 2013, 309, 46–51. [Google Scholar] [CrossRef]
- Kalla, S.; Upadhyaya, S.; Singh, K. Principles and advancements of air gap membrane distillation. Rev. Chem. Eng. 2019, 35, 817–859. [Google Scholar] [CrossRef]
- Srikhirin, P.; Aphornratana, S.; Chungpaibulpatana, S. A review of absorption refrigeration technologies. Renew. Sustain. Energy Rev. 2001, 5, 343–372. [Google Scholar] [CrossRef]
- Herold, K.E.; Radermacher, R.; Klein, S.A. Absorption Chillers and Heat Pumps; Informa UK Limited: London, UK, 2016. [Google Scholar]
- Romero, R.; Basurto-Pensado, M.; Jiménez-Heredia, A.; Sanchez-Mondragon, J. Working fluid concentration measurement in solar air conditioning systems. Sol. Energy 2006, 80, 177–181. [Google Scholar] [CrossRef]
- Khayet, M.; Matsuura, T. Economics, Energy Analysis and Costs Evaluation in MD. In Membrane Distillation; Elsevier BV: Amsterdam, The Netherlands, 2011; pp. 429–452. [Google Scholar]
- Kaita, T. Thermodynamic properties of lithium bromide–water solutions at high temperatures. Int. J. Refrig. 2001, 24, 374–390. [Google Scholar] [CrossRef]
- Xu, J.; Singh, Y.B.; Amy, G.L.; Ghaffour, N. Effect of operating parameters and membrane characteristics on air gap membrane distillation performance for the treatment of highly saline water. J. Membr. Sci. 2016, 512, 73–82. [Google Scholar] [CrossRef] [Green Version]
- Alklaibi, A.; Lior, N. Transport analysis of air-gap membrane distillation. J. Membr. Sci. 2005, 255, 239–253. [Google Scholar] [CrossRef]
- Venegas, M.; García-Hernando, N.; De Vega, M. A parametric analysis on the effect of design and operating variables in a membrane-based desorber. Int. J. Refrig. 2019, 99, 47–58. [Google Scholar] [CrossRef]
- Banat, F.A.; Simandl, J. Desalination by Membrane Distillation: A Parametric Study. Sep. Sci. Technol. 1998, 33, 201–226. [Google Scholar] [CrossRef]
- Liu, G.L.; Zhu, C.; Cheung, C.S.; Leung, C.W. Theoretical and experimental studies on air gap membrane distillation. Heat Mass Transf. 1998, 34, 329–335. [Google Scholar] [CrossRef]
- Khalifa, A.; Lawal, D.U.; Antar, M.; Khayet, M. Experimental and theoretical investigation on water desalination using air gap membrane distillation. Desalination 2015, 376, 94–108. [Google Scholar] [CrossRef]
- Schwantes, R.; Bauer, L.; Chavan, K.; Dücker, D.; Felsmann, C.; Pfafferott, J. Air gap membrane distillation for hypersaline brine concentration: Operational analysis of a full-scale module–New strategies for wetting mitigation. Desalination 2018, 444, 13–25. [Google Scholar] [CrossRef]










| Authors | Configuration | dp (μm) | XLiBr (% w/w) | TLiBr (°C) | TCon (°C) | ṁLiBr (kg h−1) | Jw (kg m−2 h−1) |
|---|---|---|---|---|---|---|---|
| Venegas et al. [26] | Flat sheet | 0.45 | 45.8 | 58 to 60 | 25.7 | 0.5 to 1.7 | 5.8 to 15.1 |
| Ibarra et al. [27] | Flat sheet | 0.22 | 49.8 | 75.2 to 95.3 | 14.4 to 25.4 | 90.0 | 1.5 to 5.7 |
| Hong et al. [28] | Hollow fiber | 0.16 | 51 to 58 | 65 to 83 | NA | 173 to 269 | 0.4 to 3.4 |
| Ibarra et al. [29] | Flat sheet | 0.45 | 45.7 to 58.7 | 74.4 to 95.9 | 15.6 to 20.0 | 58.7 to 90.0 | 0.3 to 9.7 |
| Isfahani et al. [30] | Flat sheet | 0.45 | 48 to 51 | 50 to 125 | NA | 0.75 to 3.25 | 0.0 to 37.8 |
| Bigham et al. [31] | Flat sheet | 1.00 | 48 | 50 to 125 | NA | 2.5 | 0.0 to 34.2 |
| Wang et al. [32] | Hollow fiber | 0.16 | 50 | 65 to 88 | NA | 40 to 120 | 0.3 to 2.0 |
| Sudoh et al. [33] | Fl at sheet | 0.20 | 35 to 55 | 35 to 100 | 15 | NA | 1.8 to 18 |
| Material | PTFE (Polytetrafluoroethylene) |
|---|---|
| Mean pore diameter (dp) | 0.22 μm |
| Porosity (φ) | 70% |
| Thickness (δm) | 175 μm |
| Variable | Sensor/Instrument | Operation Range | Uncertainty |
|---|---|---|---|
| Temperature (T) | RTD PT100 | −30 to 350 °C | ± 0.1 °C |
| Volumetric flow (Vcw) | Volumetric flowmeter | 0 to 7 L/min | ± 5.0% f.s. * |
| Volumetric flow (Vhf) | Volumetric flowmeter | 0 to 1.2 L/min | ± 4.0% f.s. * |
| Mass flow (mLiBr) | Coriolis mass flowmeter | 0 to 4.0 × 10−2 kg/s | ± 0.1% |
| Distillate water weight (wdis) | Electronic balance | 0 to 600 g | ± 0.01 g |
| Refractive index (RI) | Electronic refractometer | 1.3000 to 1.7200 | ± 0.0001 |
| Parameter | Value |
|---|---|
| LiBr concentration (% w/w) | 49.61 ± 0.07 |
| Cooling water volumetric flow (L/min) | 2.0 ± 0.35 |
| H2O/LiBr solution mass flow (kg/s) | 2.50 × 10−2 ± 2.22 × 10−5 |
| 3.00 × 10−2 ± 3.10 × 10−5 | |
| 3.50 × 10−2 ± 2.57 × 10−5 | |
| 4.00 × 10−2 ± 2.44 × 10−5 | |
| LiBr solution temperature (°C) | 95.2 ± 0.1 |
| 90.2 ± 0.1 | |
| 85.3 ± 0.1 | |
| 80.2 ± 0.1 | |
| Cooling water temperature (°C) | 45.1 ± 0.1 |
| 40.1 ± 0.1 | |
| 35.1 ± 0.1 | |
| 30.1 ± 0.1 |
Publisher’s Note: MDPI stays neutral with regard to jurisdictional claims in published maps and institutional affiliations. |
© 2021 by the authors. Licensee MDPI, Basel, Switzerland. This article is an open access article distributed under the terms and conditions of the Creative Commons Attribution (CC BY) license (https://creativecommons.org/licenses/by/4.0/).
Share and Cite
Ibarra-Bahena, J.; Rivera, W.; Nanco-Mejía, S.D.; Romero, R.J.; Venegas-Reyes, E.; Dehesa-Carrasco, U. Experimental Performance of a Membrane Desorber Operating under Simulated Warm Weather Condensation Temperatures. Membranes 2021, 11, 474. https://doi.org/10.3390/membranes11070474
Ibarra-Bahena J, Rivera W, Nanco-Mejía SD, Romero RJ, Venegas-Reyes E, Dehesa-Carrasco U. Experimental Performance of a Membrane Desorber Operating under Simulated Warm Weather Condensation Temperatures. Membranes. 2021; 11(7):474. https://doi.org/10.3390/membranes11070474
Chicago/Turabian StyleIbarra-Bahena, Jonathan, Wilfrido Rivera, Sandra Daniela Nanco-Mejía, Rosenberg J. Romero, Eduardo Venegas-Reyes, and Ulises Dehesa-Carrasco. 2021. "Experimental Performance of a Membrane Desorber Operating under Simulated Warm Weather Condensation Temperatures" Membranes 11, no. 7: 474. https://doi.org/10.3390/membranes11070474
APA StyleIbarra-Bahena, J., Rivera, W., Nanco-Mejía, S. D., Romero, R. J., Venegas-Reyes, E., & Dehesa-Carrasco, U. (2021). Experimental Performance of a Membrane Desorber Operating under Simulated Warm Weather Condensation Temperatures. Membranes, 11(7), 474. https://doi.org/10.3390/membranes11070474

