Assessing Pretreatment Effectiveness for Particulate, Organic and Biological Fouling in a Full-Scale SWRO Desalination Plant
Abstract
1. Introduction
2. Materials and Methods
2.1. Description of the SWRO Plant
2.2. Sample Collection, Measurement and Transportation
2.3. Comparing DMF Pretreatment to DAF-DMF Pretreatment
2.4. Water Quality Characteristics
2.4.1. Microbial ATP
2.4.2. BGP Measurement
2.4.3. Organic Fractions
2.4.4. SDI and MFI0.45
3. Results and Discussion
3.1. Seawater Intake Water Quality
3.2. Particulate Parameters
3.2.1. Silt Density Index (SDI)
3.2.2. Modified Fouling Index (MFI0.45)
3.3. Biomass Quantification
3.4. Biological/Organic Fouling Parameters
3.4.1. Organic Fractions
3.4.2. Bacterial Growth Potential
3.5. Removal Efficiency of Fouling Potential in DMF Pretreatment
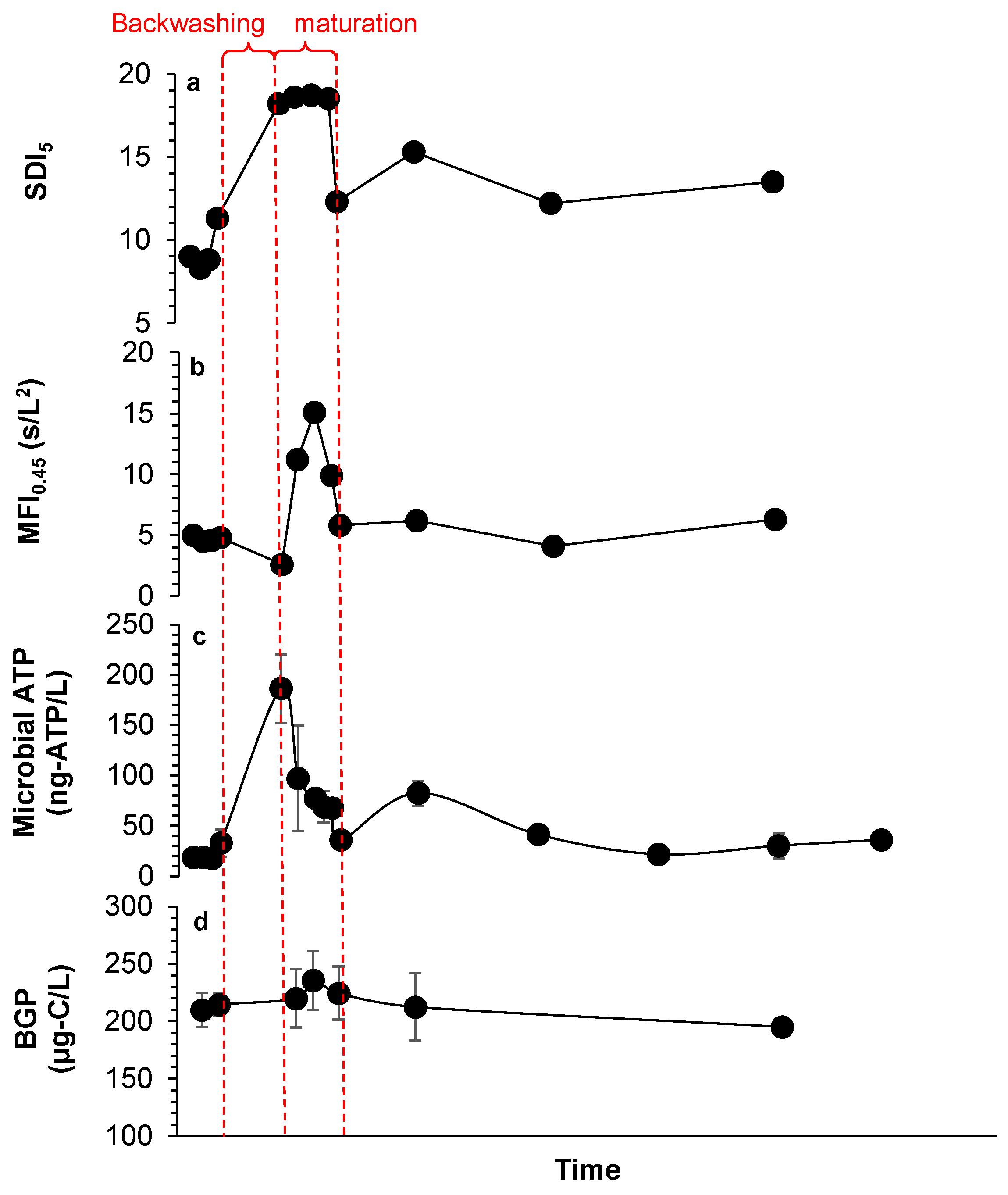
Monitoring of DMF First Stage over Time
3.6. Comparing DMF and DAF-DMF Pretreatment
4. Conclusions
- This study assessed the performance of SWRO pretreatment (DAF, DMF1 and DMF2) with regard to controlling particulate, organic and biological fouling in two full-scale desalination plants.
- The removal of particulate fouling potential (SDI, MFI0.45), biological/organic fouling potential (BGP, chromatographic DOC and biopolymer concentration), as well as microbial ATP, was monitored in the pretreatment (two-stage DMF with 0.7–1.7 mg-Fe3+/L) of a full-scale SWRO desalination plant.
- High removal (>80%) of particulate fouling potential (in terms of SDI, MFI0.45) and microbial ATP was achieved in the pretreatment (inline coagulation and two-stage DMF), in which the highest removal (65–85%) was observed in the first stage of the DMF. However, significantly lower removal of the organic/biofouling potential in terms of BGP, chromatographic DOC and biopolymers was achieved in the first stage of the DMF (22–41%) and after pretreatment (24–41%). This was attributed to frequent (weekly) chlorination of the intake and the fact that de-chlorination takes place after media filtration, resulting in damage to the biofilm layer on the filter media, which was also reflected in the ATP and BGP measurements.
- The application of the newly developed ATP and BGP methods to monitor media filtration over time showed that they can be used to improve current practices in SWRO desalination plants, such as chlorination/de-chlorination and backwashing. Thus, they can be used to optimize the removal of biological/organic fouling potential in the pretreatment.
- The overall removal achieved through two stages of DMF (with 0.7–1.7 mg-Fe3+/L) was compared to the removal of DAF (with 1–5 mg-Fe3+/L) and two-stage DMF (with 0.3–1.5 mg-Fe3+/L) and it was found that DAF significantly improved the removal of biological/organic fouling potential in terms of BGP and biopolymers, by 40% and 16%, respectively.
Author Contributions
Funding
Institutional Review Board Statement
Informed Consent Statement
Data Availability Statement
Acknowledgments
Conflicts of Interest
References
- Goh, P.S.; Lau, W.J.; Othman, M.H.D.; Ismail, A.F. Membrane fouling in desalination and its mitigation strategies. Desalination 2018, 425, 130–155. [Google Scholar] [CrossRef]
- Matin, A.; Khan, Z.; Zaidi, S.; Boyce, M. Biofouling in reverse osmosis membranes for seawater desalination: Phenomena and prevention. Desalination 2011, 281, 1–16. [Google Scholar] [CrossRef]
- Sarai Atab, M.; Smallbone, A.J.; Roskilly, A.P. An operational and economic study of a reverse osmosis desalination system for potable water and land irrigation. Desalination 2016, 397, 174–184. [Google Scholar] [CrossRef]
- Reverberi, F.; Gorenflo, A. Three year operational experience of a spiral-wound SWRO system with a high fouling potential feed water. Desalination 2007, 203, 100–106. [Google Scholar] [CrossRef]
- She, Q.; Wang, R.; Fane, A.G.; Tang, C.Y. Membrane fouling in osmotically driven membrane processes: A review. J. Membr. Sci. 2016, 499, 201–233. [Google Scholar] [CrossRef]
- Henthorne, L.; Boysen, B. State-of-the-art of reverse osmosis desalination pretreatment. Desalination 2015, 356, 129–139. [Google Scholar] [CrossRef]
- Dietz, K. The Design of a Desalination Pretreatment System for Brackish Groundwater; Worcester Polytechnic institute: Worcester, MA, USA, 2009. [Google Scholar]
- Voutchkov, N. Considerations for selection of seawater filtration pretreatment system. Desalination 2010, 261, 354–364. [Google Scholar] [CrossRef]
- Valavala, R.; Sohn, J.; Han, J.; Her, N.; Yoon, Y. Pretreatment in reverse osmosis seawater desalination: A short review. Environ. Eng. Res. 2011, 16, 205–212. [Google Scholar] [CrossRef]
- Badruzzaman, M.; Voutchkov, N.; Weinrich, L.; Jacangelo, J.G. Selection of pretreatment technologies for seawater reverse osmosis plants: A review. Desalination 2019, 449, 78–91. [Google Scholar] [CrossRef]
- ASTM D4189-14, Standard Test Method for Silt Density Index (SDI) of Water; ASTM International: West Conshohocken, PA, USA, 2014.
- ASTM D8002—15, Standard Test Method for Modified Fouling Index (MFI-0.45) of Water; ASTM International: West Conshohocken, PA, USA, 2015.
- Sim, L.N.; Chong, T.H.; Taheri, A.H.; Sim, S.T.V.; Lai, L.; Krantz, W.B.; Fane, A.G. A review of fouling indices and monitoring techniques for reverse osmosis. Desalination 2018, 434, 169–188. [Google Scholar] [CrossRef]
- DuPont. FilmTec™ Reverse Osmosis Membranes Technical Manual; DuPont: Wilmington, DE, USA, 2020. [Google Scholar]
- Anis, S.F.; Hashaikeh, R.; Hilal, N. Reverse osmosis pretreatment technologies and future trends: A comprehensive review. Desalination 2019, 452, 159–195. [Google Scholar] [CrossRef]
- Miyoshi, T.; Hayashi, M.; Shimamura, K.; Matsuyama, H. Important fractions of organic matter causing fouling of seawater reverse osmosis (SWRO) membranes. Desalination 2016, 390, 72–80. [Google Scholar] [CrossRef]
- Weinrich, L.; Haas, C.N.; LeChevallier, M.W. Recent advances in measuring and modeling reverse osmosis membrane fouling in seawater desalination: A review. J. Water Reuse Desalination 2013, 3, 85–101. [Google Scholar] [CrossRef][Green Version]
- Jeong, S.; Naidu, G.; Vollprecht, R.; Leiknes, T.; Vigneswaran, S. In-depth analyses of organic matters in a full-scale seawater desalination plant and an autopsy of reverse osmosis membrane. Sep. Purif. Technol. 2016, 162, 171–179. [Google Scholar] [CrossRef]
- Kurihara, M. Sustainable Seawater Reverse Osmosis Desalination as Green Desalination in the 21st Century. J. Membr. Sci. Res. 2020, 6, 20–29. [Google Scholar]
- Kurihara, M.; Ito, Y.; Nakaoki, Y. Innovative Biofouling Prevention on Seawater Desalination Reverse Osmosis Membrane; International Desalination Association: Oxford, UK, 2001. [Google Scholar]
- Abushaban, A. Assessing bacterial growth potential in seawater reverse osmosis pretreatment: Method development and applications. In TU Delft Sanitary Engineering; Delft University of Technology and IHE Delft Institute of Water Education/CRC Press/Balkema—Taylor & Francis Group: Delft, The Netherlands, 2019. [Google Scholar]
- Abushaban, A.; Mangal, M.N.; Salinas-Rodriguez, S.G.; Nnebuo, C.; Mondal, S.; Goueli, S.A.; Schippers, J.C.; Kennedy, M.D. Direct measurement of ATP in seawater and application of ATP to monitor bacterial growth potential in SWRO pre-treatment systems. Desalination Water Treat. 2018, 99, 91–101. [Google Scholar] [CrossRef]
- Abushaban, A.; Salinas-Rodriguez, S.G.; Dhakal, N.; Schippers, J.C.; Kennedy, M.D. Assessing pretreatment and seawater reverse osmosis performance using an ATP-based bacterial growth potential method. Desalination 2019, 467, 210–218. [Google Scholar] [CrossRef]
- Abushaban, A.; Salinas-Rodriguez, S.G.; Kapala, M.; Pastorelli, D.; Schippers, J.C.; Mondal, S.; Goueli, S.; Kennedy, M.D. Monitoring Biofouling Potential Using ATP-Based Bacterial Growth Potential in SWRO Pre-Treatment of a Full-Scale Plant. Membranes 2020, 10, 360. [Google Scholar] [CrossRef]
- Weinrich, L.; LeChevallier, M.; Haas, C. Application of the Bioluminescent Saltwater Assimilable Organic Carbon Test as a Tool for Identifying and Reducing Reverse Osmosis Membrane Fouling in Desalination; Water Reuse Research Foundation: Alexandria, VA, USA, 2015. [Google Scholar]
- Guastalli, A.R.; Simon, F.X.; Penru, Y.; de Kerchove, A.; Llorens, J.; Baig, S. Comparison of DMF and UF pre-treatments for particulate material and dissolved organic matter removal in SWRO desalination. Desalination 2013, 322, 144–150. [Google Scholar] [CrossRef]
- Naidu, G.; Jeong, S.; Vigneswaran, S.; Rice, S.A. Microbial activity in biofilter used as a pretreatment for seawater desalination. Desalination 2013, 309, 254–260. [Google Scholar] [CrossRef]
- Fonseca, A.C.; Scott Summers, R.; Hernandez, M.T. Comparative measurements of microbial activity in drinking water biofilters. Water Res. 2001, 35, 3817–3824. [Google Scholar] [CrossRef]
- Shrestha, A.; Jeong, S.; Vigneswaran, S.; Kandasamy, J. Seawater biofiltration pre-treatment system: Comparison of filter media performance. Desalination Water Treat. 2014, 52, 6325–6332. [Google Scholar] [CrossRef]
- Abushaban, A.; Salinas-Rodriguez, S.G.; Mangal, M.N.; Mondal, S.; Goueli, S.A.; Knezev, A.; Vrouwenvelder, J.S.; Schippers, J.C.; Kennedy, M.D. ATP measurement in seawater reverse osmosis systems: Eliminating seawater matrix effects using a filtration-based method. Desalination 2019, 453, 1–9. [Google Scholar] [CrossRef]
- ASTM. Standard Test Method for Silt Density Index (SDI) of Water, in Designation: D 4189—95 (Reapproved 2002); ASTM International: West Conshohocken, PA, USA, 2002. [Google Scholar]
- Salinas Rodriguez, S.G.; Sithole, N.; Dhakal, N.; Olive, M.; Schippers, J.C.; Kennedy, M.D. Monitoring particulate fouling of North Sea water with SDI and new ASTM MFI0.45 test. Desalination 2019, 454, 10–19. [Google Scholar] [CrossRef]
- Xu, J.; Ruan, G.; Chu, X.; Yao, Y.; Su, B.; Gao, C. A pilot study of UF pretreatment without any chemicals for SWRO desalination in China. Desalination 2007, 207, 216–226. [Google Scholar] [CrossRef]
- Bonnelye, V.; Sanz, M.A.; Durand, J.-P.; Plasse, L.; Gueguen, F.; Mazounie, P. Reverse osmosis on open intake seawater: Pre-treatment strategy. Desalination 2004, 167, 191–200. [Google Scholar] [CrossRef]
- Sabiri, N.-E.; Séchet, V.; Jaouen, P.; Pontié, M.; Massé, A.; Plantier, S. Impact of granular filtration on ultrafiltration membrane performance as pre-treatment to seawater desalination in presence of algal blooms. J. Water Reuse Desalination 2017, 8, 262–277. [Google Scholar] [CrossRef]
- Ruiz-García, A.; Melián-Martel, N.; Nuez, I. Short Review on Predicting Fouling in RO Desalination. Membranes 2017, 7, 62. [Google Scholar] [CrossRef]
- Hydranautics. Chemical pretreatment for RO and NF; Hydranautics: Oceanside, CA, USA, 2013. [Google Scholar]
- Weinrich, L.A. The Impact of Assimilable Organic Carbon on Biological Fouling of Reverse Osmosis Membranes in Seawater Desalination. In Environmental Engineering; Drexel University: Philadelphia, PA, USA, 2015. [Google Scholar]
- Vrouwenvelder, J.; Manolarakis, S.; Veenendaal, H.; Van der Kooij, D. Biofouling potential of chemicals used for scale control in RO and NF membranes. Desalination 2000, 132, 1–10. [Google Scholar] [CrossRef]
- Weinrich, L.A.; Schneider, O.D.; LeChevallier, M.W. Bioluminescence-based method for measuring assimilable organic carbon in pretreatment water for reverse osmosis membrane desalination. Appl. Environ. Microbiol. 2011, 77, 1148–1150. [Google Scholar] [CrossRef]
- Boerlage SF, E.; Kennedy, M.; Aniye, M.P.; Schippers, J.C. Applications of the MFI-UF to measure and predict particulate fouling in RO systems. J. Membr. Sci. 2003, 220, 97–116. [Google Scholar] [CrossRef]
- Li, Q.; Yu, S.; Li, L.; Liu, G.; Gu, Z.; Liu, M.; Liu, Z.; Ye, Y.; Xia, Q.; Ren, L. Microbial Communities Shaped by treatment processes in a drinking water treatment plant and their contribution and threat to drinking water safety. Front. Microbiol. 2017, 8, 2465. [Google Scholar] [CrossRef] [PubMed]
- De Vera, G.A.; Lauderdale, C.; Alito, C.L.; Hooper, J.; Wert, E.C. Using upstream oxidants to minimize surface biofouling and improve hydraulic performance in GAC biofilters. Water Res. 2019, 148, 526–534. [Google Scholar] [CrossRef]
- Wan, K.; Zhang, M.; Ye, C.; Lin, W.; Guo, L.; Chen, S.; Yu, X. Organic carbon: An overlooked factor that determines the antibiotic resistome in drinking water sand filter biofilm. Environ. Int. 2019, 125, 117–124. [Google Scholar] [CrossRef] [PubMed]
- Kim, S.H.; Min, C.S.; Lee, S. Application of dissolved air flotation as pretreatment of seawater desalination. Desalination Water Treatment 2011, 33, 261–266. [Google Scholar] [CrossRef]
- Tabatabai, S.A.A. Coagulation and Ultrafiltration in Seawater Reverse Osmosis Pretreatment; IHE Delft Institute for Water Education: Delft, The Netherlands, 2014. [Google Scholar]






| 1st Stage of the DMF | 2nd Stage of the DMF | |
|---|---|---|
| Number and type of filter | 23 horizontal pressure filters | 16 horizontal pressure filters |
| Filtration rate | 12.5 m/h | 19.5 m/h |
| Media size | 0.95 mm sand and 1.5 mm anthracite | 0.28 mm sand and 0.95 mm anthracite |
| Filtration period | ~24 h | 120 h |
| Parameter | Influent | Potable Water |
|---|---|---|
| pH | 8.0–8.2 | 8.0–8.3 |
| Conductivity | 54 mS/cm | 90–400 µS/cm |
| Temperature | 30–34 °C | 32–35 °C |
| Day | Chlorophyll a (µg/L) | Microbial ATP (ng-ATP/L) | Turbidity (NTU) | SDI5 (%/min) | MFI0.45 (s/L2) |
|---|---|---|---|---|---|
| 1 | 10.3 | NA | 1.1 | >15 | 14.2 |
| 2 | 17.1 | 240 | 1.1 | >15 | 21.0 |
| 3 | 32.5 | 535 | 0.9 | >15 | 22.4 |
| 4 | 6.9 | 27 | 2.8 | >15 | 16.5 |
| Parameter | Removal in DMF1 | Removal in DMF2 | Removal in CF | Overall Removal |
|---|---|---|---|---|
| SDI, %/min (%) | >10 (>65%) | 1.6 (32%) | 0.4 (12%) | >12 (>80%) |
| MFI0.45, s/L2 (%) | 18.5 (88%) | 0.9 (36%) | 0.2 (12%) | 19.6 (94%) |
| Microbial ATP, ng-ATP/L (%) | 325 (85%) | 43 (72%) | 3 (18%) | 371 (97%) |
| BGP, µg-C/L (%) | 70 (22%) | 20 (8%) | 40 (17%) | 130 (41%) |
| Chromatographic DOC, µg-C/L (%) | 252 (17%) | 209 (17%) | −93 (−9%) | 368 (24%) |
| Biopolymers, µg-C/L (%) | 72 (41%) | 20 (24%) | −26 (−31%) | 66 (37%) |
| Parameter | Plant | Raw Seawater | DAF | DMF1 | DMF2 | CF | Overall Removal |
|---|---|---|---|---|---|---|---|
| SDI15, %/min (% removal) | A | >15 * | - | 5 (>65%) | 3.4 (32%) | 3.0 (12%) | >12 (>80%) |
| B | >15 * | NA | 4.8 (>68%) | 3.9 (19%) | 3.5 (10%) | >11.5 (>76%) | |
| MFI0.45, s/L2 (% removal) | A | 21 | - | 2.5 (88%) | 1.6 (36%) | 1.4 (12%) | 19.6 (93.5%) |
| B | 40.5 | NA | 3.6 (91%) | 1.7 (52%) | 1.3 (24%) | 39.2 (97%) | |
| Microbial ATP, ng-ATP/L (% removal) | A | 385 | - | 60 (85%) | 17 (72%) | 14 (18%) | 371 (97%) |
| B | 370 | 191 (48%) | 85.5 (55%) | 42.5 (50%) | 35 (18%) | 335 (91%) | |
| BGP, µg-C/L (% removal) | A | 320 | - | 250 (22%) | 230 (8%) | 190 (17%) | 130 (41%) |
| B | 460 | 200 (57%) | 120 (40%) | 107 (11%) | 92 (14%) | 368 (80%) | |
| Chromatographic DOC, µg-C/L (% removal) | A | 1528 | - | 1276 (17%) | 1067 (17%) | 1160 (−9%) | 368 (24%) |
| B | 2015 | 1904 (6%) | 1588 (11%) | 1590 (0%) | 1566 (1.5%) | 449 (22%) | |
| Biopolymers, µg-C/L (% removal) | A | 177 | - | 105 (41%) | 85 (24%) | 111 (−31%) | 66 (37%) |
| B | 311 | 228 (27%) | 194 (15%) | 151 (22%) | 148 (2%) | 163 (53%) |
Publisher’s Note: MDPI stays neutral with regard to jurisdictional claims in published maps and institutional affiliations. |
© 2021 by the authors. Licensee MDPI, Basel, Switzerland. This article is an open access article distributed under the terms and conditions of the Creative Commons Attribution (CC BY) license (http://creativecommons.org/licenses/by/4.0/).
Share and Cite
Abushaban, A.; Salinas-Rodriguez, S.G.; Pastorelli, D.; Schippers, J.C.; Mondal, S.; Goueli, S.; Kennedy, M.D. Assessing Pretreatment Effectiveness for Particulate, Organic and Biological Fouling in a Full-Scale SWRO Desalination Plant. Membranes 2021, 11, 167. https://doi.org/10.3390/membranes11030167
Abushaban A, Salinas-Rodriguez SG, Pastorelli D, Schippers JC, Mondal S, Goueli S, Kennedy MD. Assessing Pretreatment Effectiveness for Particulate, Organic and Biological Fouling in a Full-Scale SWRO Desalination Plant. Membranes. 2021; 11(3):167. https://doi.org/10.3390/membranes11030167
Chicago/Turabian StyleAbushaban, Almotasembellah, Sergio G. Salinas-Rodriguez, Delia Pastorelli, Jan C. Schippers, Subhanjan Mondal, Said Goueli, and Maria D. Kennedy. 2021. "Assessing Pretreatment Effectiveness for Particulate, Organic and Biological Fouling in a Full-Scale SWRO Desalination Plant" Membranes 11, no. 3: 167. https://doi.org/10.3390/membranes11030167
APA StyleAbushaban, A., Salinas-Rodriguez, S. G., Pastorelli, D., Schippers, J. C., Mondal, S., Goueli, S., & Kennedy, M. D. (2021). Assessing Pretreatment Effectiveness for Particulate, Organic and Biological Fouling in a Full-Scale SWRO Desalination Plant. Membranes, 11(3), 167. https://doi.org/10.3390/membranes11030167

