Abstract
An amorphous silicon carbide (SiC) membrane was synthesized by counter-diffusion chemical vapor deposition (CDCVD) using silacyclobutane (SCB) at 788 K. The SiC membrane on a Ni-γ-alumina (Al2O3) α-coated Al2O3 porous support possessed a H2 permeance of 1.2 × 10−7 mol·m−2·s−1·Pa−1 and an excellent H2/CO2 selectivity of 2600 at 673 K. The intermittent action of H2 reaction gas supply and vacuum inside porous support was very effective to supply source gas inside mesoporous intermediate layer. A SiC active layer was formed inside the Ni-γ-Al2O3 intermediate layer. The thermal expansion coefficient mismatch between the SiC active layer and Ni-γ-Al2O3-coated α-Al2O3 porous support was eased by the low decomposition temperature of the SiC source and the membrane structure.
1. Introduction
Silicon carbide (SiC) membranes with high strength and high chemical stability can be used under high pressure and corrosive atmospheres at elevated temperatures. The synthesis of SiC membranes has been reported in polymer precursor pyrolysis and chemical vapor deposition (CVD)/chemical vapor infiltration (CVI).
In the polymer precursor pyrolysis, many researchers have reported gas permeation behavior. Polycarbosilane (PCS) is converted to amorphous SiC by the heat treatment at >1073 K. Therefore, PCS has been used as a pre-ceramic polymer. Shelekhin and co-workers synthesized a polymer/inorganic composite membrane on porous Vycor glass by the pyrolysis of PCS at 743 K and reported a hydrogen/nitrogen permeance ratio (H2/N2) of 14.3 [1]. Kusakabe and co-workers reported a polymer/inorganic composite/γ-Al2O3/α-Al2O3 membrane with H2 permeance of 4 × 10−8 mol·m−2·s−1·Pa−1 and H2/N2 of 20 at 773 K by the pyrolysis of PCS [2]. Lee and co-workers reported an SiOC membrane with H2 permeance of 2.7 × 10−9 mol·m−2·s−1·Pa−1 and H2/N2 of 20 at 473 K by pyrolysis of polydimethylsilane (PMS) [3]. These membranes were cured in oxygen atmosphere to form Si–O–Si by cross-linking into a network polymer. The oxygen introduced in the Si–C network affected the stability during hydrothermal exposure [4,5].
On the other hand, some researchers have reported PCS-derived membranes that did not require an oxygen curing process. Suda and co-workers reported that SiC membranes synthesized using p-diethynylbenzene and Pt2 (1,3-divinyltetramethyldisiloxane)3 as a catalyst possessed H2 permeance of 3 × 10−8 mol·m−2·s−1·Pa−1 and H2/N2 of 150 at 373 K [6,7]. The authors reported that the SiC/γ-Al2O3/α-Al2O3 membrane synthesized by PCS without an oxygen curing process possessed a H2 permeance of 1.3 × 10−7 mol·m−2·s−1·Pa−1 and H2/N2 of 8.5 at 873 K [8]. The thermal expansion coefficient difference between SiC active layer and γ-Al2O3/α-Al2O3 porous support was large. Therefore, the improvement of H2/N2 was difficult due to the crack formation at the thin SiC active layer. Takeyama and co-workers investigated the synthesis of SiC/γ-Al2O3/α-Al2O3 by exposure to electron beam irradiation in helium (He) at room temperature and reported a H2 permeance of 3.1 × 10−7 mol·m−2·s−1·Pa−1 and H2/N2 selectivity of 51 at 523 K [9].
In the CVD/CVI process, Takeda and co-workers synthesized that SiC/γ-Al2O3/α-Al2O3 membrane by CVI with an alternating gas supply of H2 + SiH2Cl2 and H2 + C2H2 in the temperature range 1073–1173 K [10]. Their membrane possessed a H2 permeance of 1.4 × 10−8 mol·m−2·s−1·Pa−1 and H2/N2 of 3.36 at 623 K. Pages and co-workers synthesized SiC membranes inside an asymmetric porous alumina tube by plasma-enhanced CVD. Their permeation mechanism was Knudsen diffusion [11]. Sea and co-workers synthesized a SiC membrane in the macropores of a α–Al2O3 support tube by CVD using tri-isopropylsilane (TPS) in the temperature range 973–1023 K with a forced cross-flow through the porous wall [12]. The permeation mechanism was Knudsen diffusion in the temperature range 323–673 K. Ciora and co-workers synthesized microporous SiC/γ-Al2O3/α-Al2O3 by CVD using 1, 3-disilabutane (DSB) and TPS. The TPS-derived membranes were hydrothermally stable [13]. The authors also tried to improve H2/N2 selectivity in a PCS-derived SiC/γ-Al2O3/α-Al2O3 membrane by chemical vapor infiltration (CVI) using H2 + SiH2Cl2 and H2 + C2H2 [14]. However, the improvement of H2 permselectivity was affected by the densification of the Si–C network during surface modification at elevated temperatures.
Generally, inorganic membranes, except zeolite, are composed of an active layer for separating gas, an intermediate layer for suppressing pinhole defects on the active layer, and a porous support. In the preparation of a microporous membrane by CVD and CVI, the gas permeation property strongly depended on the mesoporous intermediate layer structure. The authors synthesized an amorphous silica membrane with an optimized intermediate structure by CDCVD and reported a H2/N2 permeance ratio of >10,000 [15]. The highest H2/N2 permeance ratio was obtained at the intermediate layer structure of both the mean pore size of 8 nm and the thickness of 3 μm. Nomura and co-workers compared gas permeation behavior in amorphous silica membranes on γ-Al2O3/α-Al2O3 substrates with different pore sizes of 4 nm and 13 nm [16]. They reported that the H2 permeance and the H2/N2 permeance ratio in SiO2/γ-Al2O3(13nm)/α-Al2O3 membrane were 13/200 and 47/1000 of that in SiO2/γ-Al2O3(4nm)/α-Al2O3 membrane, respectively. The hydrothermal stability of the γ-Al2O3 intermediate layer was important for membrane durability [17]. The authors improved the hydrothermal stability of γ-Al2O3 by 5 mol% Ni doping (Ni-γ-Al2O3) [18]. α-Al2O3 porous support is the most popular for inorganic membranes. However, there is a large thermal expansion coefficient difference between Al2O3 (7.2 × 10−6/K) and SiC (3.7 × 10−7/K).
Recently, SiC-based porous supports with high gas permeability were developed [19,20,21,22,23,24]. In these porous supports with large pore size, it is difficult to suppress both the decreasing of permeability and the formation of membrane defects due to the penetration of sol-gel solution into large pores. Dabirs and co-workers synthesized an asymmetric porous SiC tube with He permeance of 6 × 10−5 mol·m−2·s−1·Pa−1 [25]. However, it was not easy to control the SiC multi-layer structure using polystyrene. Moreover, the commercial supply of SiC tubes was limited and expensive.
In this study, we synthesized a SiC/Ni-γ-Al2O3/α-Al2O3 membrane by counter-diffusion chemical vapor deposition (CDCVD) using silacyclobutane (SCB) with a decomposition temperature of 448 K, as shown in Figure 1. The thermal expansion coefficient mismatch can be solved by lowering CVD temperature and minimizing SiC volume inside the Ni-γ-Al2O3/α-Al2O3 porous support. The CDCVD method has the advantage of suppressing membrane defects by the membrane structure in which an active layer exists inside the intermediate layer [15].
Figure 1.
Chemical vapor deposition (CVD) source for SiC membranes.
2. Experimental Procedure
α-Al2O3 porous capillary tube with mean pore size of 150 nm (outer diameter = 2.9 mm, inner diameter = 2.1 mm, length = 400 mm, NOK Corporation, Tokyo, Japan) was used as the substrate. The effective membrane area with a length of 5 cm was located at the center of the substrate. Both ends of the substrate were sealed with glass at 1273 K. The dip-coating solution for γ-Al2O3 was prepared by reacting 0.05 M of aluminum-tri-sec-butoxide (Al(OCH(CH3)C2H5)3 = ATSB, 97%, Sigma-Aldrich, Tokyo, Japan) and 0.1 M isopropyl alcohol (Kanto chemical Co., Inc., Tokyo, Japan) with double-distilled water at 363 K. After the addition of ATSB, the mixture was maintained at 363 K for at least 1 h to evaporate both the isopropyl alcohol and the formed butanol. The mixture was subsequently cooled down to room temperature and peptized with 1 M HNO3 at a pH of about 3. During the synthesis, the sol was stirred vigorously. The peptized mixture was refluxed at 363 K for 15 h, yielding a very stable 0.05 M boehmite sol with a clear whitish-blue appearance. Doping of this sol was performed by mixing it with an aqueous solution of Ni(NO3)2·6H2O (Wako Pure Chemical Industries, Ltd., Tokyo, Japan) to enhance the hydrothermal stability. The amount of Ni(NO3)2·6H2O was 5 mol% [18].
The dip-coating solution for Ni-γ-Al2O3 was obtained by diluting boehmite sol (γ-AlOOH) with a 3.5 wt% solution of polyvinyl alcohol (PVA, mean molecular weight = 72,000: Kanto Kagaku Co., Ltd., Tokyo, Japan) at 363 K. The end of the α-Al2O3 porous capillary was plugged with silicon cork. The outer surface of the substrate wrapped with Teflon tape was dipped in the solution for 10 s, whereas the inner surface of the capillary was evacuated to obtain a pinhole-free membrane using a rotary pump. After dip coating, the membrane was dried for 2 h in air. It was then calcined at 1123 K for 1 h. The heating/cooling rate was 1 K/min. This dipping–drying–firing sequence was repeated twice.
The pore size distribution of the Ni-γ-Al2O3 intermediate layer on the α-Al2O3 porous capillary was analyzed using a nanopermporometer (TNF-3WH-110ME: Seika Sangyo Co., Tokyo, Japan). The noncondensable gas was N2, and the liquid used as condensable vapor was water. The specimen was set in the apparatus after annealing at 393 K for 1 h.
The silicon carbide coating on a Ni-γ-Al2O3-coated α-Al2O3 substrate was performed by CDCVD, as shown in Figure 2. The substrate was coaxially fixed in a stainless-steel tube and placed in an electric tubular furnace. The temperature of SCB was controlled to 298 K with a mantle heater. SCB was supplied through the outer surface of the substrate by controlling the Ar flow rate at 7.2 sccm. The source gas was diluted with Ar at a flow rate of 64.3 sccm. Hydrogen (H2) was introduced into the inner surface of the substrate at the flow rate range 265–300 sccm. The pattern of the source gas supply, reaction gas supply and vacuum inside the tube is shown in Figure 3. The vacuum process of source gas inside the Ni-γ-Al2O3 intermediate layer has the role of suppressing the formation of membrane defects. The furnace temperature was set to 788 K to avoid powder pollution in the CVD chamber.
Figure 2.
Counter-diffusion chemical vapor deposition apparatus for SiC membranes.
Figure 3.
Pattern of source gas supply, reaction gas supply, and vacuum inside tube.
The specimen for scanning electron microscopy (SEM) was prepared using a focused ion beam (FIB) system (Model FB-2100, Hitachi Co., Tokyo, Japan) at acceleration voltages of 10–40 kV. The specimen surface was coated with platinum to suppress charge up. The thickness of the platinum layer was 60 nm. Tungsten was deposited on the surface of the sampling area in the FIB system to protect the top layer of the membrane from gallium ion sputtering during FIB milling. The membrane was dug out by FIB milling and small specimens (3 μm × 25 μm × 15 μm) was prepared. The specimen was lifted out using a tungsten needle and transferred to TEM grid. The specimen was then fixed onto the TEM grids by FIB-assisted deposition and thinned by FIB milling.
The top surface and cross-sectional structure of Ni-γ-Al2O3/α-Al2O3 capillary was observed by SEM (Model S-8000, Hitachi, Tokyo, Japan). The composition of the top layer was analyzed by energy-dispersive X-ray spectroscopy (EDS) with SEM.
X-ray photoelectron spectroscopy (XPS) analysis was performed using (PHI 1800, ULVAC PHI, Inc., Chigasaki, Japan) to evaluate the SiC membrane structure. The X-ray source was an Al Kα (1253.6 eV) anode kept 350 W. Analyzer pass energy of 23.5 eV was used. The Shirley model was used for establishing the background. The peak shapes were modeled by Gaussian function. A curve fitting analysis was performed by the least-squares method.
Single gas permeance (P) was evaluated by a constant-volume manometric method [26]. Permeance data can be measured from 1 × 10–5 to 1 × 10–12 mol·m–2·s–1·Pa–1 by changing experimental conditions. The membrane was coaxially fixed in a stainless-steel tube and placed in an electric furnace. The sealing portion using o-ring was cooled for water. The outside of the membrane was filled with pure gas under atmospheric pressure conditions. The inside of the membrane was evacuated using a rotary pump. After terminating evacuation, the rate of pressure increase at the inside of the membrane was measured five times to calculate permeance. The average of the third, fourth, and fifth measurements was accepted as permeance data. The gas permeance at each temperature was evaluated in the order of He, H2, CO2, Ar, and N2. Permselectivity was defined as the permeance ratio of the two gases. For example, the H2/N2 permselectivity is given by the ratio PH2/PN2.
3. Results and Discussion
3.1. Microstructure of the SiC Membrane
The pore size distribution of the Ni-γ-Al2O3 intermediate layer is shown in Figure 4. The pore sizes of the sample calcined at 1123 K for 1 h were almost distributed between 4 and 8 nm. The average pore size was 5.9 nm.
Figure 4.
Pore size distribution of Ni-γ-Al2O3/α-Al2O3 porous capillary.
The cross-sectional backscattered electron image for SiC/Ni-γ-Al2O3/α-Al2O3 is shown in Figure 5. The membrane was composed of two layers. The α-Al2O3 capillary tube was uniformly coated with Ni-γ-Al2O3 layer and the thickness of the Ni-γ-Al2O3 layer was approximately 2.3 μm. The contrast in the Ni-γ-Al2O3 layer originated from the heating history.
Figure 5.
Cross-sectional backscattered electron images of SiC/Ni-γ-Al2O3/α-Al2O3 membrane: (a) ×5000, (b) ×20,000, and (c) ×50,000.
The cross-sectional SEM image and EDS line analysis for SiC/Ni-γ-Al2O3/α-Al2O3 membrane are shown in Figure 6. The interface between Ni-γ-Al2O3 and α-Al2O3 porous support was set to the line corresponding to 3 μm in the x-axis. The surface of the SiC active layer was consistent with the Pt peak in the EDS analysis. The entire top layer was composed of silicon, carbon, aluminum, and oxygen. The content of C was not constant in the Ni-γ-Al2O3 intermediate layer. The intensity of carbon was high at the reach of the depth of the 0.8 μm from the membrane surface. Therefore, the effective membrane thickness was estimated to be less than 0.8 μm.
Figure 6.
SEM image and EDS line analysis for SiC/Ni-γ-Al2O3/α-Al2O3 membrane.
Accordingly, the synthesized sample was considered to be composed of two layers, namely, the α-Al2O3 porous support and the Ni-γ-Al2O3 intermediate layer gradually modified with SiC.
The results of the XPS analysis for the SiC/Ni-γ-Al2O3/α-Al2O3 membrane are shown in Figure 7. The binding energy of C1s showed that this active layer was composed of SiC (283.6 eV) and C (284.4 eV). On the other hand, the binding energy of Si2P showed that the active layer was composed of SiC (100.2 eV), SiOxCy (101.4 eV), and SiO2 (102.2 eV). The oxygen contamination was thought to come from the source gas or minor leaks. The C/Si atomic ratio for the active layer was 1.05. Therefore, a part of the C–C bond in SCB was thought to have been decomposed by H2 during CDCVD.
Figure 7.
Result of XPS analysis for SiC/Ni-γ-Al2O3/α-Al2O3 membrane.
3.2. Gas Permeation Property
Single gas permeance of the Ni-γ-Al2O3/α-Al2O3 porous capillary is shown in Figure 8. The experimental data at 673 K were plotted versus the square root of molecular weight. The linear regression fit is presented in Figure 8. The plots show a good linear dependence, confirming that the transport of the gases is induced mainly by Knudsen diffusion. The permeance ratio of H2 over the other gases (He: 1.38; CO2: 4.47; Ar: 4.09; N2: 3.39) showed good agreement with the value of theoretical Knudsen diffusion (He: 1.41; CO2: 4.67; Ar: 4.45; N2: 3.73), indicating that the pores are controlled finely and homogeneously [27].
Figure 8.
Single gas permeance of Ni-γ-Al2O3/α-Al2O3 porous capillary.
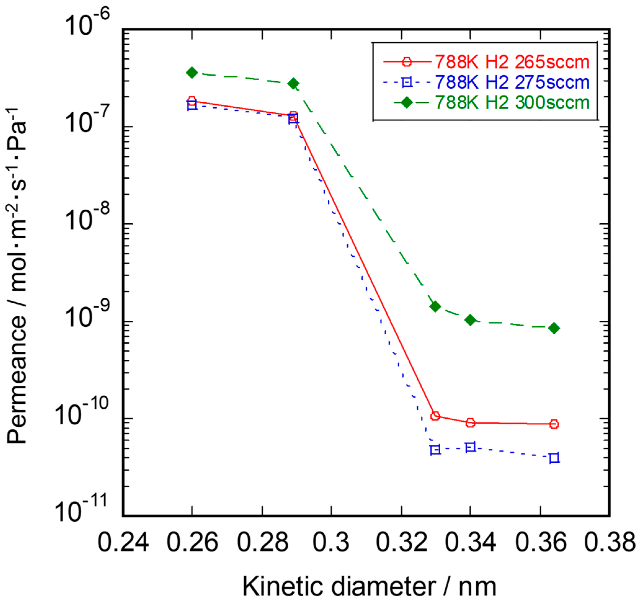
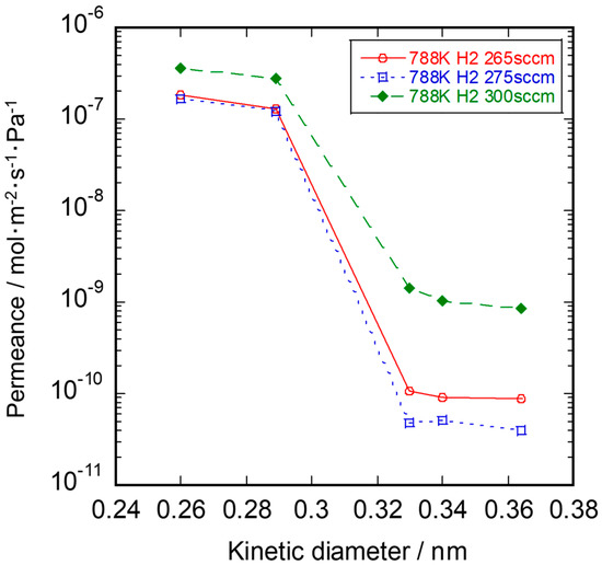
The reaction gas flow rate dependence on single gas permeance of SiC membranes at 673 K is shown in Figure 9. The H2 flow rate had a large effect on the permeance of CO2, Ar, and N2. In the CDCVD method, the balance of the gas pressure difference between the source gas and the reaction gas is important to plug the pores in the intermediate layer. In the membrane synthesized at a H2 flow rate of 300 sccm, the membrane defect was thought to be formed by the lack of source gas inside the intermediate layer.
Figure 9.
Reaction gas flow rate dependence on single gas permeance of SiC membranes.
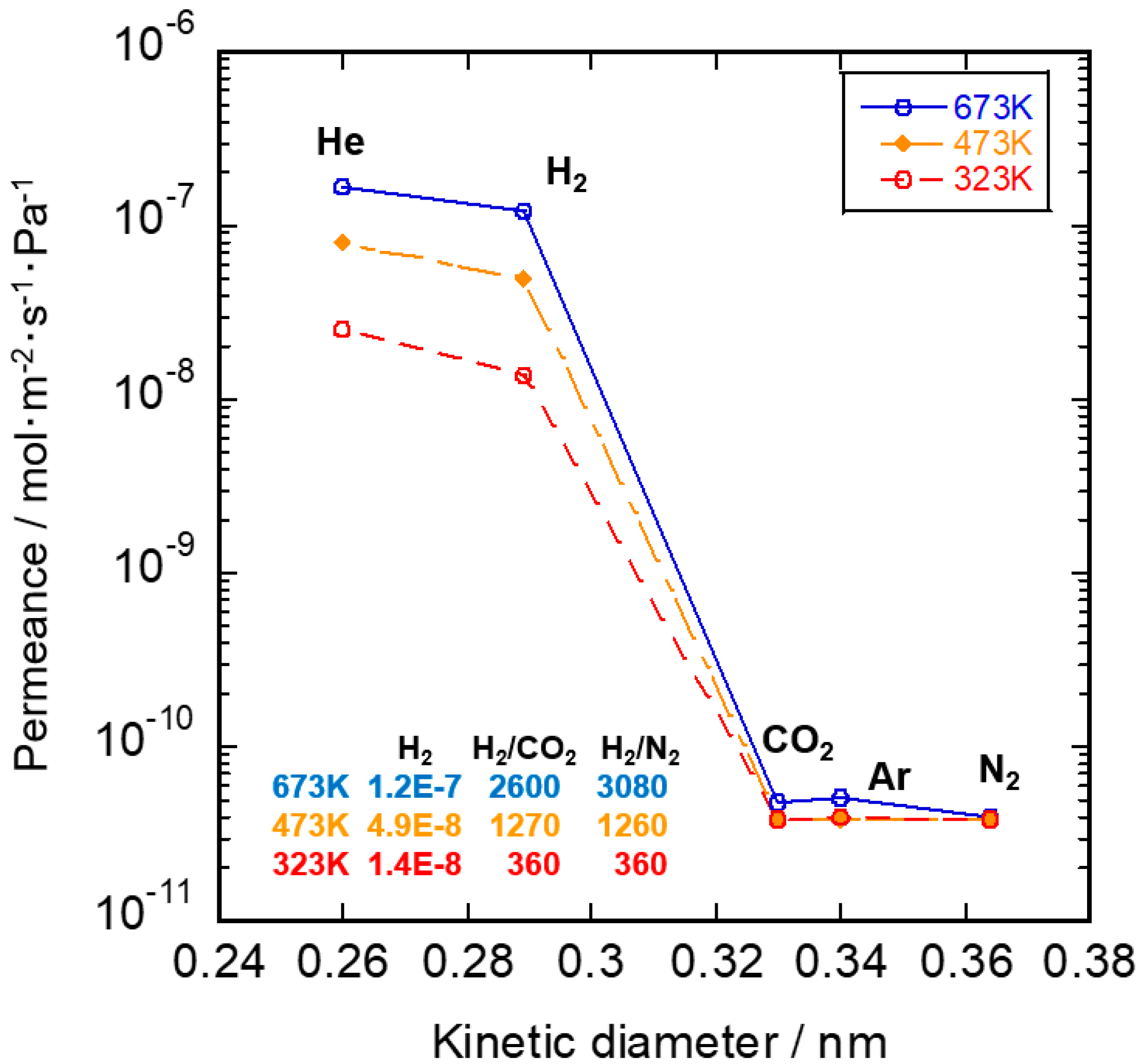
The deposition time dependence on the single gas permeance of SiC membranes at 673 K is shown in Figure 10. The increase in deposition time led to an increase in membrane thickness and the plugging of pores. At the deposition time of 9 min, the permeance of CO2, Ar, and N2 was almost the same. Hydrogen permeance and H2/N2 permselectivity were well-balanced at the deposition time of 9 min. In the CDCVD process, the reaction between the source gas and the reaction gas was automatically stopped after the pore plugging in the intermediate layer. We believe that the vacuum process of the source gas must be effective for pore plugging.
Figure 10.
Deposition time dependence on single gas permeance of SiC membranes.
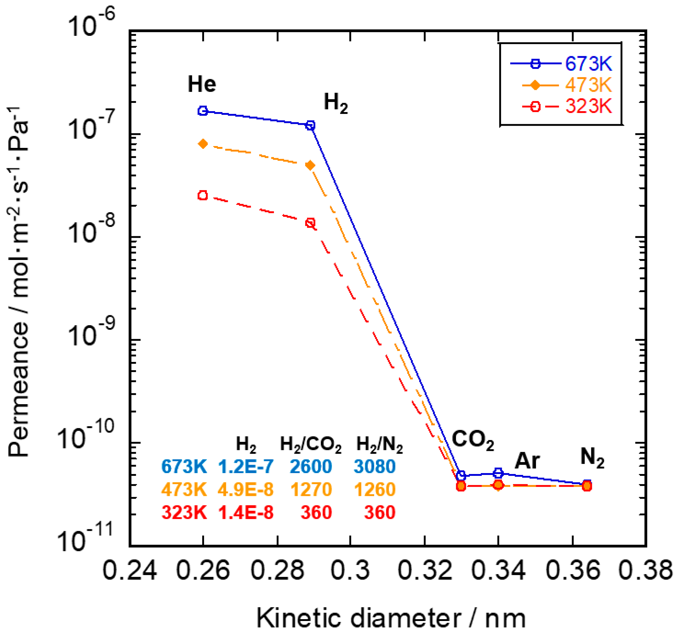
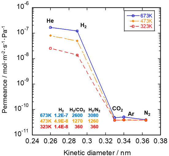
Gas permeation properties through the SiC/-γ-Al2O3/α-Al2O3 membrane in the temperature range 323–673 K are shown in Figure 11. After CDCVD modification, He and H2 permeance tended to increase with a decreasing kinetic diameter. However, CO2, Ar, and N2 permeance was almost the same in the temperature range 323–673 K. The He, H2, CO2, Ar, and N2 permeance at 673 K was 1.7 × 10–7, 1.2 × 10–7, 4.8 × 10–11, 5.1 × 10–11, and 4.0 × 10–11 mol·m–2·s–1·Pa–1, respectively. The H2 permeance at 673 K was three orders of magnitude higher than the CO2 permeance at 673 K, and the H2/CO2 permselectivity was calculated to be 2600. This membrane showed molecular sieving behavior. The pore size distribution of the SiC active layer was very sharp and average pore size was considered to be about 0.3 nm between the H2 and CO2 kinetic diameters.
Figure 11.
Single gas permeance of SiC membrane in the temperature range 323–673 K.
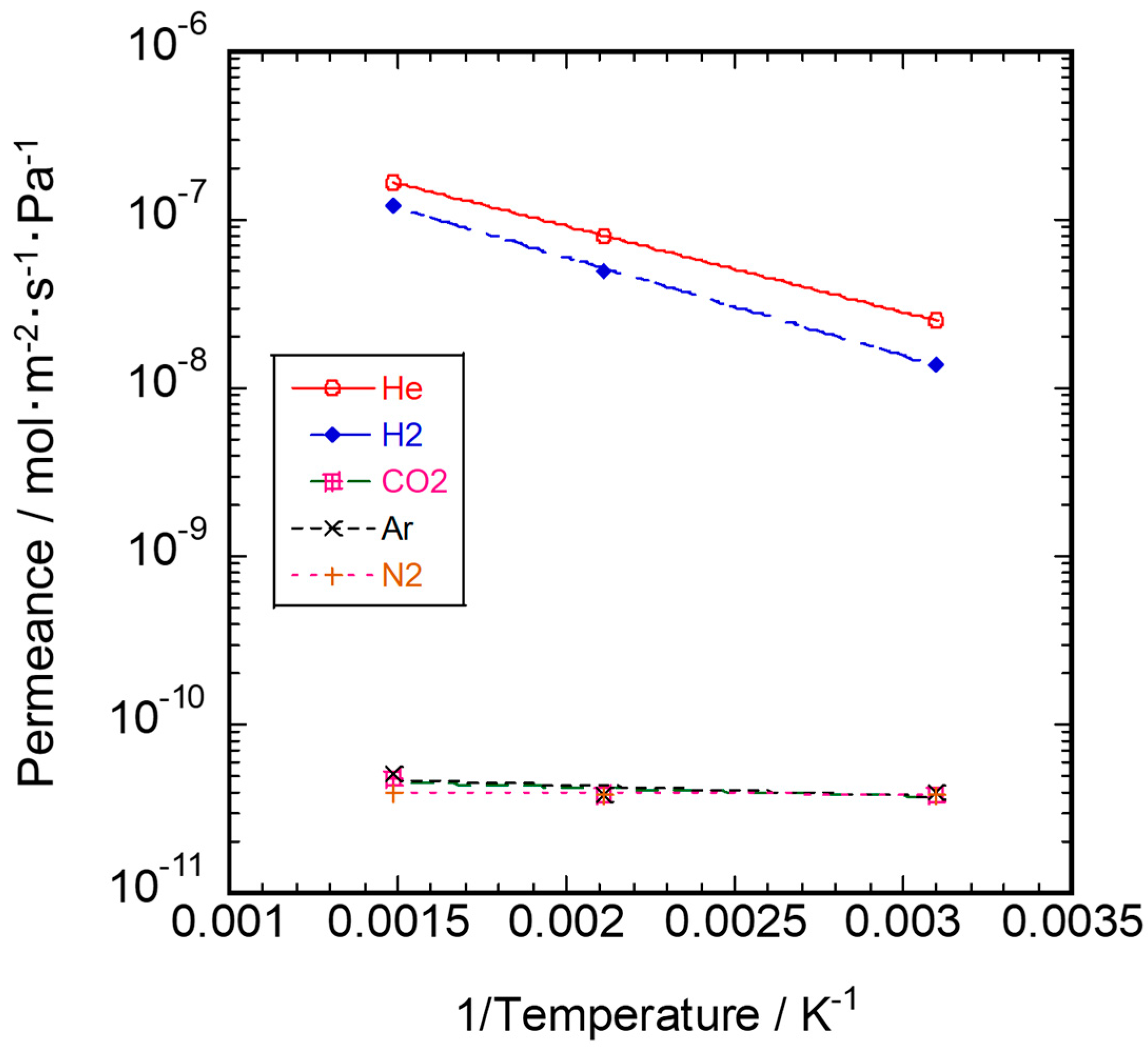
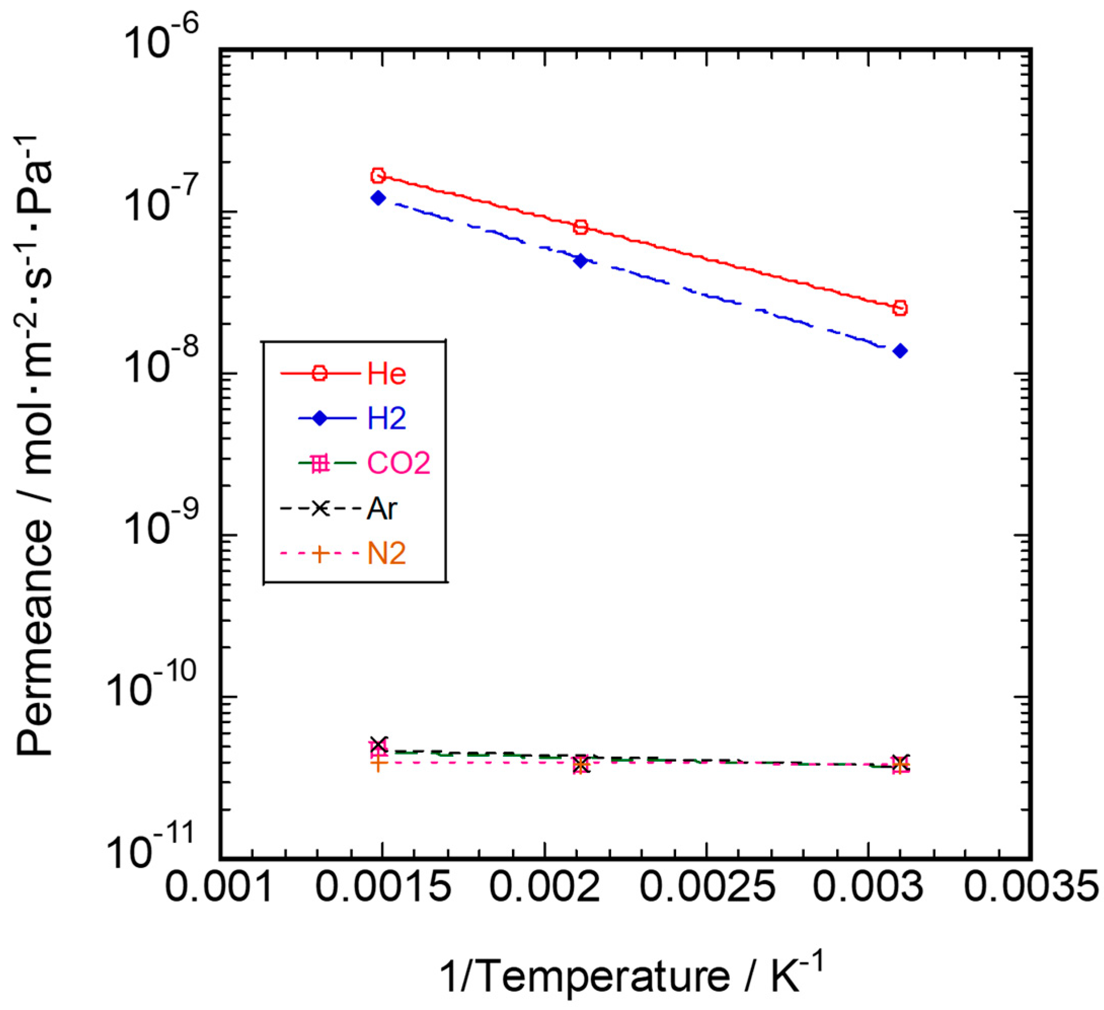
The temperature dependence on each gas permeance for SiC/-γ-Al2O3/α-Al2O3 membrane is shown in Figure 12. The permeance for He and H2 increased with increasing permeation temperature. Accordingly, the dominant permeation mechanism for He and H2 was considered to be activated diffusion [28,29].
Figure 12.
Temperature dependence of single gas permeance for SiC membrane.
The activation energy of permeation was obtained by fitting the gas permeance data to the Arrhenius expression:
where Q is the permeance, Q0 is the pre-exponential factor (mol·m–2·s–1·Pa–1), Ea is the activation energy (J·mol–1), R is the gas constant (8.314 J·mol–1·K–1), and T is the temperature (K).
Q = Q0 exp (−Ea/RT)
The apparent activation energy for the He and H2 permeance in silicon carbide membrane was 9.8 and 11.2 kJ/mol in the temperature range from 323 to 673 K, respectively. He and H2 through the specimen of SiC/Ni-γ-Al2O3/α-Al2O3 mainly permeated through the amorphous network in the temperature range 323–673 K. The activation energy of He and H2 was close to that of the SiOC membranes, as shown in Table 1. These values were thought to reflect Si–O–C bond of the SiC active layer and the low calcination temperature in CDCVD. On the other hand, these values were 1.0, 1.2, and 0.1 kJ/mol for CO2, Ar, and N2 permeance, respectively, at the temperature range 323–673 K. These data show that the membrane defect was small in this sample. The authors report that the heating history during calcination and membrane thickness had the effect of lowering of the activation energy in amorphous SiC membranes [8].
Table 1.
Apparent activation energy for He and H2 in SiOC, SiC, and SiO2 membranes.
Therefore, the CDCVD process using a precursor with Si–C bond at a low decomposition temperature is very effective for synthesizing a SiC membrane with a sharp pore size distribution.
In further work, the development of SiC mesoporous intermediate layer/SiC porous support with high permeability is very important to increase total durability of SiC membrane.
4. Conclusions
Amorphous silicon carbide membranes with a high H2/CO2 permeance ratio of 2600 were successfully synthesized on Ni-γ-Al2O3-coated α-Al2O3 by counter-diffusion chemical vapor deposition. The dominant permeation mechanism for He and H2 was activated diffusion. The mesoporous pores became plugged with the discrete SiC active layer in the intermediate layer, and the use of SCB with a low decomposition temperature was effective in suppressing the thermal expansion coefficient mismatch between the SiC active layer and Ni-γ-Al2O3/α-Al2O3 porous capillary.
Author Contributions
T.N. carried out CVD, wrote the manuscript and obtained the funding; K.S. prepared Ni-γ-Al2O3/α-Al2O3 substrates; K.K. analyzed SiC membrane structure. All authors have read and agreed to the published version of the manuscript.
Funding
This work was supported by JSPS KAKENHI Grant Number JP17K06901.
Conflicts of Interest
The authors declare no conflict of interest.
References
- Shelekhin, A.B.; Grosgogeat, E.J.; Hwang, S.-T. Gas separation properties of a new polymer/inorganic composite membrane. J. Membr. Sci. 1991, 66, 129–141. [Google Scholar] [CrossRef]
- Kusakabe, K.; Li, Z.; Maeda, H.; Morooka, S. Preparation of supported composite membrane by pyrolysis of polycarbosilane for gas separation at high temperature. J. Membr. Sci. 1995, 103, 175–180. [Google Scholar] [CrossRef]
- Lee, L.L.; Tsai, D.S. A hydrogen-permselective silicon oxycarbide membrane derived from polydimethylsilane. J. Am. Ceram. Soc. 1999, 82, 2796–2800. [Google Scholar] [CrossRef]
- Li, Z.; Kusakabe, K.; Morooka, S. Preparation of thermostable amorphous Si-C-O membrane and its application to gas separation at elevated temperature. J. Membr. Sci. 1996, 118, 159–168. [Google Scholar]
- Li, Z.; Kusakabe, K.; Morooka, S. Pore structure and permeance of amorphous Si-C-O membranes with high durability at elevated temperature. Sep. Sci. Technol. 1997, 32, 1233–1254. [Google Scholar] [CrossRef]
- Suda, H.; Uchimaru, Y.; Fujiwara, I.; Haraya, K. Preparation and gas permeation properties of silicon carbide-based inorganic membranes for hydrogen separation. Desalination 2006, 193, 252–255. [Google Scholar] [CrossRef]
- Suda, H.; Uchimaru, Y.; Fujiwara, I.; Haraya, K. Structural evolution during conversion of polycarbosilane precursor into silicon carbide-based microporous membranes. J. Ceram. Soc. Jpn. 2006, 114, 539–544. [Google Scholar] [CrossRef]
- Nagano, T.; Sato, K.; Saitoh, T.; Iwamoto, Y. Gas permeation properties of amorphous SiC membranes synthesized from polycarbosilane without oxygen-curing Process. J. Ceram. Soc. Jpn. 2006, 114, 533–538. [Google Scholar] [CrossRef]
- Takeyama, A.; Sugimoto, M.; Yoshikawa, M. Gas permeation property of SiC membrane using curing of polymer precursor film by electron beam irradiation in helium atmosphere. Mater. Trans. 2011, 52, 1276–1280. [Google Scholar] [CrossRef]
- Takeda, Y.; Shibata, N.; Kubo, Y. SiC coating on porous γ-Al2O3 using alternative-supply CVI method. J. Ceram. Soc. Jpn. 2001, 109, 305–309. [Google Scholar] [CrossRef][Green Version]
- Pages, X.; Rouessac, V.; Cot, D.; Nabias, G.; Durand, J. Gas permeation of PECVD membranes inside alumina substrate tubes. Sep. Purif. Technol. 2001, 25, 399–406. [Google Scholar] [CrossRef]
- Sea, B.-K.; Ando, K.; Kusakabe, K.; Morooka, S. Separation of hydrogen from steam using a SiC-based membrane formed by chemical vapor deposition of triisopropylsilane. J. Membr. Sci. 1998, 146, 73–82. [Google Scholar] [CrossRef]
- Ciora, R.J.; Fayyaz, B.; Liu, P.K.; Suwanmethanond, V.; Mallada, R.; Sahimi, M.; Tsotis, T. Preparation and reactive applications of nanoporous silicon carbide membranes. Chem. Eng. Sci. 2004, 59, 4957–4965. [Google Scholar] [CrossRef]
- Nagano, T.; Sato, K.; Fujisaki, S.; Saitoh, T.; Iwamoto, Y. Helium-permselective amorphous SiC membrane modified by chemical vapor infiltration. Soft Mater. 2007, 4, 109–122. [Google Scholar] [CrossRef]
- Nagano, T.; Fujisaki, S.; Sato, K.; Hataya, K.; Iwamoto, Y.; Nomura, M.; Nakao, S.-I. Relationship between the mesoporous intermediate layer structure and the gas permeation property of an amorphous silica membrane synthesized by counter diffusion chemical vapor deposition. J. Am. Ceram. Soc. 2007, 91, 71–76. [Google Scholar] [CrossRef]
- Nomura, M.; Suraj, G.; Aida, H.; Sugawara, T.; Nakao, S.-I.; Yamazaki, S.; Iwamoto, Y.; Kojima, R.; Nakao, A. Investigation of a hydrothermal stable hydrogen permselective silica membrane for a large membrane area module. Membrane 2005, 30, 275–281. [Google Scholar] [CrossRef][Green Version]
- Nagano, T.; Sato, K. Degradation mechanism of an H2-permselective amorphous silica membrane. J. Mater. Sci. 2014, 49, 4115–4120. [Google Scholar] [CrossRef]
- Nagano, T.; Sato, K.; Takahashi, S. Hydrothermal stability of mesoporous Ni-doped γ-Al2O3. J. Ceram. Soc. Jpn. 2009, 117, 832–835. [Google Scholar] [CrossRef]
- Wang, B.; Zhang, H.; Phuong, H.T.; Jin, F.; Yang, J.F.; Ishizaki, K. Gas permeability and adsorbability of the glass-bonded porous silicon carbide ceramics with controlled pore size. Ceram. Int. 2015, 41, 2279–2285. [Google Scholar] [CrossRef]
- Ding, S.Q.; Zeng, Y.P.; Jiang, D.L. Gas permeability behavior of mullite-bonded porous silicon carbide ceramics. J. Mater. Sci. 2007, 42, 7171–7175. [Google Scholar] [CrossRef]
- Fukushima, M.; Nakata, M.; Ohji, T.; Yoshizawa, Y.I. Fabrication and properties of ultra highly porous silicon carbide by a gelation-freezing method. J. Eur. Ceram. Soc. 2010, 30, 2889–2896. [Google Scholar] [CrossRef]
- Qiao, H.; Feng, S.; Low, Z.; Chen, J.; Zhang, F.; Zhong, Z.; Xing, W. Al-DTPA microfiber assisted formwork construction technology for high-performance SiC membrane preparation. J. Membr. Sci. 2019, 594, 117464. [Google Scholar] [CrossRef]
- Han, F.; Zhong, Z.; Zhang, F.; Xing, W.; Fan, Y. Preparation and characterization of SiC whisker-reinforced SiC porous ceramics for hot gas filtration. Ind. Eng. Chem. Res. 2015, 54, 226–232. [Google Scholar] [CrossRef]
- Han, F.; Zhong, Z.; Yang, Y.; Wei, W.; Zhang, F.; Xing, W.; Fan, Y. High gas permeability of SiC porous ceramics reinforced by mullite fibers. J. Eur. Ceram. Soc. 2016, 36, 3909–3917. [Google Scholar] [CrossRef]
- Dabirs, S.; Deng, W.; Sahimi, M.; Tsotsis, T. Fabrication of silicon carbide membranes on highly permeable supports. J. Membr. Sci. 2017, 537, 239–247. [Google Scholar] [CrossRef]
- Barrer, R.M. Permeation, diffusion and solution of gases in organic polymers. Trans. Faraday Soc. 1934, 35, 628–643. [Google Scholar] [CrossRef]
- Knudsen, M. The law of the molecular flow and viscosity of gases moving through tubes. Ann. Phys. 1909, 28, 75–130. [Google Scholar] [CrossRef]
- Yoshioka, T.; Tsuru, T.; Asaeda, M. Molecular dynamics studies on gas permeation through amorphous silica network and inter-particle pores on microporous silica membranes. Mol. Phys. 2004, 102, 191–202. [Google Scholar] [CrossRef]
- Takaba, H.; Matsuda, E.; Nakao, S.-I. Correlation of temperature dependence of gas permeability with pore size in molecular sieving membranes: A grand canonical ensemble molecular dynamics study. J. Phys. Chem. B 2004, 108, 14142–14147. [Google Scholar] [CrossRef]
- Hwang, C.-J.; Onuki, K.; Shimizu, S. Studies on Hydrogen Separation Membranes for IS Process, Membrane Preparation with Porous α-Alumina Tube; Japan Atomic Energy Research Inst.: Tokyo, Japan, 1998. [Google Scholar]
- Lee, D.; Zhang, L.; Niu, S.; Saraf, R.F. Synthesis, characterization and gas permeation properties of a hydrogen permeable silica membrane supported on porous alumina. J. Membr. Sci. 2004, 231, 117–126. [Google Scholar] [CrossRef]
© 2020 by the authors. Licensee MDPI, Basel, Switzerland. This article is an open access article distributed under the terms and conditions of the Creative Commons Attribution (CC BY) license (http://creativecommons.org/licenses/by/4.0/).











