The Dynamic Risk of COVID-19-Related Events in Vaccinated Healthcare Workers (HCWs) from a Tertiary Hospital in Bucharest, Romania: A Study Based on Active Surveillance Data
Abstract
1. Introduction
2. Materials and Methods
2.1. Study Design and Study Population
2.2. Study Period
2.3. Data Sources and Collection
2.4. Statistical Analysis
2.5. Ethics Approval
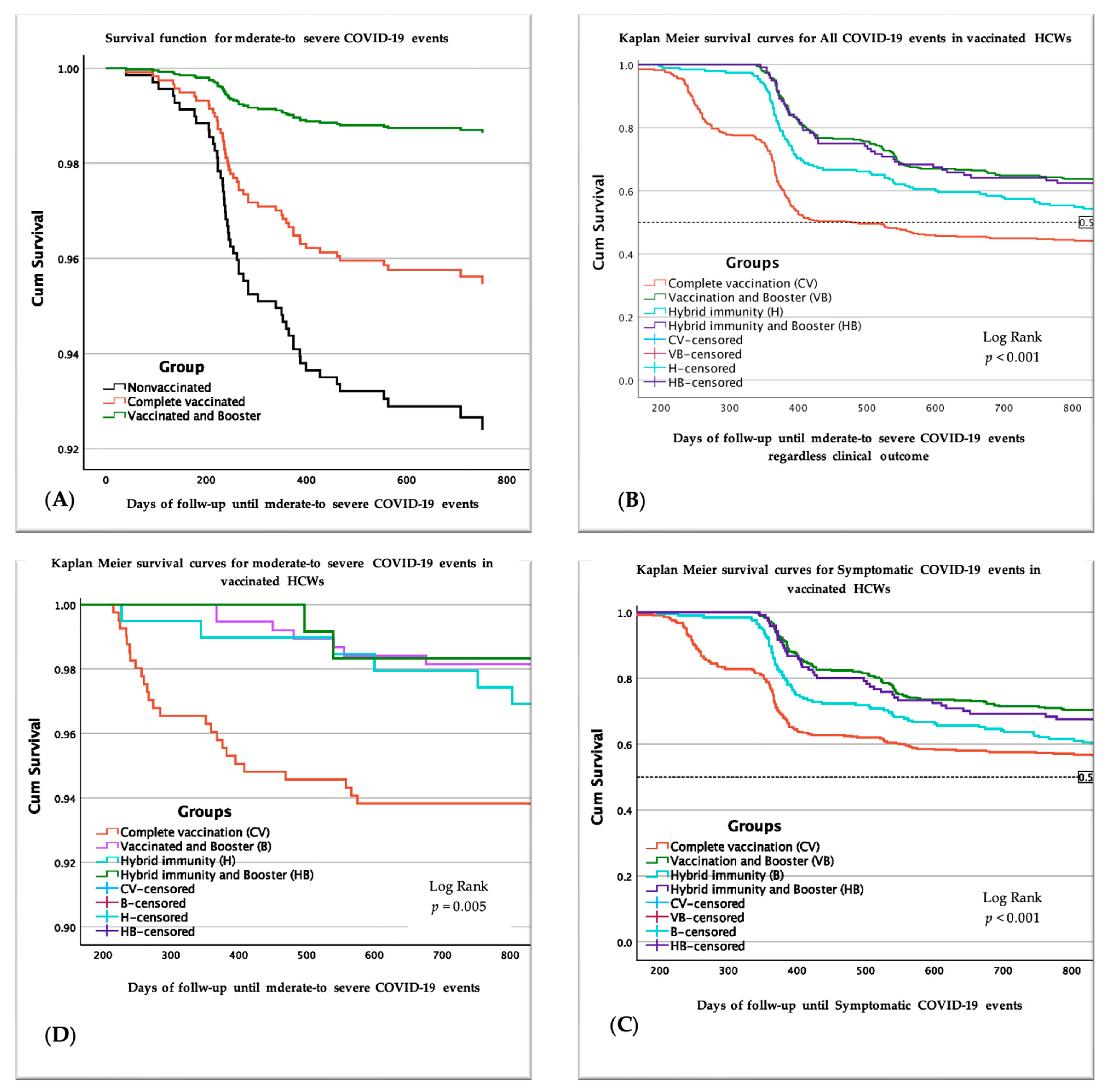
3. Results
3.1. Overall Characteristics of SARS-CoV-2 Infected and Uninfected HCWs
3.2. Clinical Outcomes of the First and Second COVID-19 Episodes
3.3. The Risk of COVID-19 Events in the Follow-Up Study Population
3.4. The Risk of COVID-19 Events in Vaccinated HCWs Subgroup
4. Discussion
5. Conclusions
Supplementary Materials
Author Contributions
Funding
Institutional Review Board Statement
Informed Consent Statement
Data Availability Statement
Acknowledgments
Conflicts of Interest
References
- Statement on the Fifteenth Meeting of the IHR (2005) Emergency Committee on the COVID-19 Pandemic. Available online: https://www.who.int/news/item/05-05-2023-statement-on-the-fifteenth-meeting-of-the-international-health-regulations-(2005)-emergency-committee-regarding-the-coronavirus-disease-(covid-19)-pandemic (accessed on 9 December 2023).
- Interim Recommendations for the Use of mRNA COVID-19 Vaccines. Available online: https://www.who.int/publications-detail-redirect/WHO-2019-nCoV-vaccines-SAGE-recommendation-mRNA-2023 (accessed on 9 December 2023).
- Interim Recommendations for the Use of Inactivated COVID-19 Vaccines. Available online: https://www.who.int/publications-detail-redirect/WHO-2019-nCoV-vaccines-SAGE-recommendation-inactivated-2023.1 (accessed on 9 December 2023).
- WHO SAGE Roadmap for Prioritizing Uses of COVID-19 Vaccines: An Approach to Optimize the Global Impact of COVID-19 Vaccines, Based on Public Health Goals, Global and National Equity, and Vaccine Access and Coverage Scenarios (Version 21 January 2022)—World|ReliefWeb. Available online: https://reliefweb.int/report/world/who-sage-roadmap-prioritizing-uses-covid-19-vaccines-approach-optimize-global-impact (accessed on 9 December 2023).
- WHO Coronavirus (COVID-19) Dashboard. Available online: https://covid19.who.int (accessed on 9 December 2023).
- National Institute of Health Roumania—Reports. Available online: https://www.cnscbt.ro/index.php/raportare-saptamanala-vaccinare-impotriva-covid-19 (accessed on 20 January 2023).
- Interim Analysis of COVID-19 Vaccine Effectiveness Against Severe Acute Respiratory Infection Due to SARS-CoV-2 in Individuals Aged 20 Years and Older—Fourth Update. Available online: https://www.ecdc.europa.eu/en/publications-data/interim-analysis-covid-19-vaccine-effectiveness-against-severe-acute-respiratory (accessed on 9 December 2023).
- Cohort Study to Measure COVID-19 Vaccine Effectiveness among Health Workers. Available online: https://www.who.int/publications-detail-redirect/WHO-EURO-2021-2141-41896-57484 (accessed on 9 December 2023).
- Harder, T.; Külper-Schiek, W.; Reda, S.; Treskova-Schwarzbach, M.; Koch, J.; Vygen-Bonnet, S.; Wichmann, O. Effectiveness of COVID-19 vaccines against SARS-CoV-2 infection with the Delta (B.1.617.2) variant: Second interim results of a living systematic review and meta-analysis, 1 January to 25 August 2021. Eurosurveillance 2021, 26, 2100920. [Google Scholar] [CrossRef]
- Harder, T.; Külper-Schiek, W.; Reda, S.; Treskova-Schwarzbach, M.; Koch, J.; Vygen-Bonnet, S.; Wichmann, O. Efficacy and effectiveness of COVID-19 vaccines against SARS-CoV-2 infection: Interim results of a living systematic review, 1 January to 14 May 2021. Eurosurveillance 2021, 26, 2100563. [Google Scholar] [CrossRef]
- Chivu, C.D.; Crăciun, M.D.; Pițigoi, D.; Aramă, V.; Luminos, M.L.; Jugulete, G.; Apostolescu, C.G.; Streinu Cercel, A. Vaccination and Factors Related to the Clinical Outcome of COVID-19 in Healthcare Workers-A Romanian Front-Line Hospital’s Experience. Vaccines 2023, 11, 899. [Google Scholar] [CrossRef]
- Order of the Ministry of Health Romania 555 03/04/2020. Official Monitor No. 290/7 April 2020. Available online: https://monitoruloficial.ro/ (accessed on 10 December 2023).
- Order of the Ministry of Health Romania. Încetare Stare de Risc Epidemiologic și Biologic Generată de Pandemia de COVID-19. Available online: https://www.ms.ro/ro/centrul-de-presa/ (accessed on 21 December 2023).
- National Institute of Health Roumania—Metodologii. Available online: https://insp.gov.ro/centrul-national-de-supraveghere-si-control-al-bolilor-transmisibile-cnscbt/metodologii/ (accessed on 9 December 2023).
- Enciu, B.G.; Pițigoi, D.; Zaharia, A.; Popescu, R.; Niculcea, A.; Crăciun, M.D.; Pistol, A. COVID-19 Vaccination in Romania and the Benefits of the National Electronic Registry of Vaccinations. Vaccines 2023, 11, 370. [Google Scholar] [CrossRef]
- Clinical Spectrum, COVID-19 Treatment Guidelines. Available online: https://www.covid19treatmentguidelines.nih.gov/overview/clinical-spectrum/ (accessed on 11 December 2023).
- Daniel, W.W.; Cross, C.L. Biostatistics: A Foundation for Analysis in the Health Sciences, 10th ed.; John Wiley & Sons, Inc.: Hoboken, NJ, USA, 2013; pp. 750–777. ISBN 978-1-118-30279-8. [Google Scholar]
- Beata, K.; Skrok, K.; Burzyńska, J.; Migdał, M.; Katarzyna, F. Incidence of SARS-CoV-2 Infection among Healthcare Workers before and after COVID-19 Vaccination in a Tertiary Paediatric Hospital in Warsaw: A Retrospective Cohort Study. Available online: https://www.researchsquare.com/article/rs-3255069/v1 (accessed on 9 December 2023).
- Abu-Raddad, L.J.; Chemaitelly, H.; Bertollini, R. Severity of SARS-CoV-2 Reinfections as Compared with Primary Infections. N. Engl. J. Med. 2021, 385, 2487–2489. [Google Scholar] [CrossRef] [PubMed]
- Yang, X.; Shi, F.; Zhang, J.; Gao, H.; Chen, S.; Olatosi, B.; Weissman, S.; Li, X. Disease severity of COVID-19 in different phases of the pandemic: Do healthcare workers have better outcomes? Vaccine X 2023, 15, 100377. [Google Scholar] [CrossRef]
- Enciu, B.G.; Drăgănescu, A.C.; Pițigoi, D.; Săndulescu, O.; Crăciun, M.D.; Bilașco, A.; Streinu-Cercel, A.; Streinu-Cercel, A.; Florea, D.; Miron, V.D.; et al. Comparative Analysis of Clinical and Epidemiological Characteristics in Patients with SARI Confirmed as Influenza or COVID-19 Admitted in a Tertiary Care Hospital in Bucharest, Romania. Processes 2022, 10, 327. [Google Scholar] [CrossRef]
- Fabiani, M.; Ramigni, M.; Gobbetto, V.; Mateo-Urdiales, A.; Pezzotti, P.; Piovesan, C. Effectiveness of the Comirnaty (BNT162b2, BioNTech/Pfizer) vaccine in preventing SARS-CoV-2 infection among healthcare workers, Treviso province, Veneto region, Italy, 27 December 2020 to 24 March 2021. Eurosurveillance 2021, 26, 2100420. [Google Scholar] [CrossRef] [PubMed]
- Guijarro, C.; Galán, I.; Martínez-Ponce, D.; Pérez-Fernández, E.; Goyanes, M.J.; Castilla, V.; Velasco, M. SARS-CoV-2 new infections among health-care workers after the first dose of the BNT162b2 mRNA COVID-19 vaccine. A hospital-wide cohort study. Clin. Microbiol. Infect. 2021, 27, 1699.e1–1699.e4. [Google Scholar] [CrossRef] [PubMed]
- Heath, P.T.; Galiza, E.P.; Baxter, D.N.; Boffito, M.; Browne, D.; Burns, F.; Chadwick, D.R.; Clark, R.; Cosgrove, C.; Galloway, J.; et al. Safety and Efficacy of NVX-CoV2373 COVID-19 Vaccine. N. Engl. J. Med. 2021, 385, 1172–1183. [Google Scholar] [CrossRef] [PubMed]
- Abu-Raddad, L.J.; Chemaitelly, H.; Ayoub, H.H.; AlMukdad, S.; Yassine, H.M.; Al-Khatib, H.A.; Smatti, M.K.; Tang, P.; Hasan, M.R.; Coyle, P.; et al. Effect of mRNA Vaccine Boosters against SARS-CoV-2 Omicron Infection in Qatar. N. Engl. J. Med. 2022, 386, 1804–1816. [Google Scholar] [CrossRef] [PubMed]
- Tang, L.; Hijano, D.R.; Gaur, A.H.; Geiger, T.L.; Neufeld, E.J.; Hoffman, J.M.; Hayden, R.T. Asymptomatic and Symptomatic SARS-CoV-2 Infections After BNT162b2 Vaccination in a Routinely Screened Workforce. JAMA 2021, 325, 2500–2502. [Google Scholar] [CrossRef] [PubMed]
- Lutrick, K.; Ellingson, K.D.; Baccam, Z.; Rivers, P.; Beitel, S.; Parker, J.; Hollister, J.; Sun, X.; Gerald, J.K.; Komatsu, K.; et al. COVID-19 Infection, Reinfection, and Vaccine Effectiveness in a Prospective Cohort of Arizona Frontline/Essential Workers: The AZ HEROES Research Protocol. JMIR Res. Protoc. 2021, 10, e28925. [Google Scholar] [CrossRef] [PubMed]
- Thompson, M.G.; Burgess, J.L.; Naleway, A.L.; Tyner, H.L.; Yoon, S.K.; Meece, J.; Olsho, L.E.W.; Caban-Martinez, A.J.; Fowlkes, A.; Lutrick, K.; et al. Interim Estimates of Vaccine Effectiveness of BNT162b2 and mRNA-1273 COVID-19 Vaccines in Preventing SARS-CoV-2 Infection Among Health Care Personnel, First Responders, and Other Essential and Frontline Workers—Eight U.S. Locations, December 2020–March 2021. MMWR Morb. Mortal. Wkly. Rep. 2021, 70, 495–500. [Google Scholar] [PubMed]
- Hall, V.J.; Foulkes, S.; Saei, A.; Andrews, N.; Oguti, B.; Charlett, A.; Wellington, E.; Stowe, J.; Gillson, N.; Atti, A.; et al. COVID-19 vaccine coverage in health-care workers in England and effectiveness of BNT162b2 mRNA vaccine against infection (SIREN): A prospective, multicentre, cohort study. Lancet 2023, 397, 1725–1735. [Google Scholar] [CrossRef] [PubMed]
- Pilishvili, T.; Gierke, R.; Fleming, K.E.; Farrar, J.L.; Mohr, N.M.; Talan, D.A.; Krishnadasan, A.; Harland, K.K.; Smithline, H.A.; Hou, P.C.; et al. Effectiveness of mRNA COVID-19 Vaccine among U.S. Health Care Personnel. N. Engl. J. Med. 2021, 385, e90. [Google Scholar] [CrossRef]
- Feikin, D.R.; Higdon, M.M.; Abu-Raddad, L.J.; Andrews, N.; Araos, R.; Goldberg, Y.; Groome, M.J.; Huppert, A.; O’Brien, K.L.; Smith, P.G.; et al. Duration of effectiveness of vaccines against SARS-CoV-2 infection and COVID-19 disease: Results of a systematic review and meta-regression. Lancet 2023, 399, 924–944. [Google Scholar] [CrossRef]
- Brumboiu, M.I.; Iuga, E.; Ivanciuc, A.; Mutaffof, S.; Tudosa, A.S.; Gherasimovici, C.; Iaru, I. Effectiveness and Protection Duration of Anti-COVID-19 Vaccinations among Healthcare Personnel in Cluj-Napoca, Romania. Vaccines 2023, 11, 521. [Google Scholar] [CrossRef]
- Altarawneh, H.N.; Chemaitelly, H.; Ayoub, H.H.; Hasan, M.R.; Coyle, P.; Yassine, H.M.; Al-Khatib, H.A.; Smatti, M.K.; Al-Kanaani, Z.; Al-Kuwari, E.; et al. Protective Effect of Previous SARS-CoV-2 Infection against Omicron BA.4 and BA.5 Subvariants. N. Engl. J. Med. 2022, 387, 1620–1622. [Google Scholar] [CrossRef]
- National Institute of Health Romania—Centrul Național de Supraveghere şi Control al Bolilor Transmisibile—Analiză Cazuri Confirmate COVID19′. Available online: https://www.cnscbt.ro/index.php/analiza-cazuri-confirmate-covid19 (accessed on 9 December 2023).
- Cegolon, L.; Magnano, G.; Negro, C.; Larese Filon, F.; on behalf of the ORCHESTRA Working Group. SARS-CoV-2 Reinfections in Health-Care Workers, 1 March 2020–31 January 2023. Viruses 2023, 15, 1551. [Google Scholar] [CrossRef]
- Zhu, Z.; Xu, L.; Chen, G. Is there a difference in the efficacy of COVID-19 vaccine in males and females?—A systematic review and meta-analysis. Hum. Vaccine Immunother. 2021, 17, 4741–4746. [Google Scholar] [CrossRef]


| Characteristics | All HCWs | Laboratory Confirmed Cases | Uninfected | p-Value a | |
|---|---|---|---|---|---|
| n = 1220 (%) | First Episode n = 767 (62.9 1) | Second Episode n = 221 (18.1 2) | n = 453 (37.1 3) | ||
| Gender | |||||
| Female | 1020 (83.6) | 645 (84.1) | 186 (84.2) | 375 (82.8) | 0.5535 |
| Male | 200 (16.4) | 122 (15.9) | 35 (15.8) | 78 (17.2) | |
| Age | |||||
| Mean (SD) | 42.3 (10.4) | 42.8 (9.9) | 43.1 (9.2) | 41.3 (11.1) | 0.0147 b |
| Median age (years); IQR | 43.1; 34.2–50.4 | 43.5; 35.8–50.4 | 43.5; 36.3–50.5 | 41.7; 31.2–50.3 | |
| ≤29 years | 181 (14.8) | 91 (11.9) | 21 (9.5) | 90 (19.9) | 0.0001 |
| 30–39 years | 295 (24.2) | 184 (24.0) | 56 (25.3) | 111 (24.5) | 0.8438 |
| 40–49 years | 410 (33.6) | 278 (36.2) | 82 (37.1) | 132 (29.1) | 0.0112 |
| ≥50 years | 334 (27.4) | 214 (27.9) | 62 (28.1) | 120 (26.5) | 0.5964 |
| Professional role | |||||
| Nurses | 459 (37.6) | 320 (41.7) | 96 (43.4) | 139 (30.7) | 0.0001 |
| Physicians | 257 (21.1) | 150 (19.6) | 42 (19.0) | 107 (23.6) | 0.0981 |
| Healthcare auxiliary staff | 298 (24.4) | 179 (23.3) | 51 (23.1) | 119 (26.3) | 0.2388 |
| Other roles | 206 (16.9) | 118 (15.4) | 32 (14.5) | 88 (19.4) | 0.0717 |
| Department | |||||
| High risk 4 | 844 (69.2) | 547 (71.3) | 170 (76.9) | 297 (65.6) | 0.0373 |
| Low risk 5 | 376 (30.8) | 220 (28.7) | 51 (23.1) | 156 (34.4) | |
| Characteristics | All HCWs | Laboratory Confirmed Cases | Uninfected | p-Value a | |
|---|---|---|---|---|---|
| n = 1220 (%) | First Episode n = 767 (62.9) | Second Episode n = 221 (18.1) | n = 453 (37.1) | ||
| Complete vaccination | |||||
| Complete vaccination (CV) * | 1098 (90.0) | 682 (89.0) | 193 (87.3) | 416 (91.8) | 0.1033 |
| CV before the first episode | 783 (71.3) | 367 (47.8) | 51 (23.1) | ||
| CV after the first episode | 315 (28.7) | 315 (41.1) | 142 (64.3) | ||
| Nonvaccinated | 122 (10.0) | 85 (11.1) | 28 (12.7) | 38 (8.2) | 0.1033 |
| Vaccine product | |||||
| Comirnaty | 1031 (93.9) | 638 (93.5) | 183 (94.8) | 393 (94.5) | 0.4818 |
| Jcovden | 57 (5.2) | 39 (5.7) | 9 (4.7) | 18 (4.3) | 0.2866 |
| Spikevax | 9 (0.8) | 5 (0.7) | 1 (0.5) | 4 (1.0) | 0.5727 |
| Vaxzevria | 1 (0.1) | 0 (0.0) | 0 (0.0) | 1 (0.2) | 0.2155 |
| Booster | |||||
| Booster (B) | 524 (43.0) | 283 (36.9) | 72 (32.6) | 241 (53.2) | <0.0001 |
| B before the first episode | 378 (31.0) | 137 (17.9) | 18 (8.1) | ||
| B after the first episode | 146 (12.0) | 146 (19.0) | 54 (24.4) | ||
| B Homologous | 516 (98.5) | 281 (99.3) | 71 (98.6) | 235 (97.5) | 0.0090 |
| B Heterologous | 8 (1.5) | 2 (0.7) | 1 (1.4) | 6 (2.5) | |
| Characteristics | First COVID-19 Episode | Second COVID-19 Episode | p-Value a | ||
|---|---|---|---|---|---|
| n = 767 | % | n = 221 | % | ||
| Clinical outcomes | |||||
| Asymptomatic | 144 | 18.8 | 25 | 11.3 | 0.0091 |
| Mild | 444 | 57.9 | 176 | 79.6 | <0.0001 |
| Moderate | 159 | 20.7 | 20 | 9.0 | <0.0001 |
| Severe | 20 | 2.6 | 0 | 0.0 | 0.0155 |
| Hospitalization | |||||
| Yes (patient in ward) | 310 | 40.4 | 39 | 17.6 | <0.0001 |
| No (outpatient) | 457 | 59.6 | 182 | 82.4 | |
| ICU | 51 | 16.5 1 | 2 | 5.1 1 | <0.0001 |
| Mean LOS (days) | 11 (SD 8.2) | 6 (SD 5.0) | <0.0001 b | ||
| Median LOS (days); IQR | 9; 5–14 | 4; 3–7 | |||
| Covariate | All COVID-19 Events * | Symptomatic COVID-19 Events | Moderate to Severe COVID-19 Events | |||
|---|---|---|---|---|---|---|
| aHR (95%CI) | p Value | aHR (95%CI) | p Value | aHR (95%CI) | p Value | |
| Age, gender | ||||||
| <29 years | Reference | 0.298 | Reference | 0.251 | Reference | 0.015 |
| 30–39 years | 1.19 (0.89–1.58) | 0.236 | 1.33 (0.97–1.83) | 0.076 | 3.90 (0.86–17.37) | 0.074 |
| 40–49 years | 1.30 (0.99–1.72) | 0.064 | 1.36 (1.00–1.87) | 0.053 | 3.93 (0.88–17.47) | 0.072 |
| >50 years | 1.15 (0.86–1.54) | 0.338 | 1.30 (0.99–1.79) | 0.114 | 7.89 (1.81–34.35) | 0.006 |
| Gender female | Reference | - | Reference | - | Reference | - |
| Gender male | 0.93 (0.74–1.17) | 0.540 | 0.87 (0.68–1.12) | 0.284 | 0.51 (0.26–0.99) | 0.046 |
| Professional role | ||||||
| Physicians | Reference | <0.001 | Reference | 0.002 | Reference | 0.174 |
| Nurses | 1.16 (0.85–1.58) | 0.339 | 1.07 (0.77–1.49) | 0.683 | 1.05 (0.40–2.75) | 0.916 |
| Healthcare auxiliary staff | 1.14 (0.87–1.49) | 0.356 | 0.94 (0.70–1.27) | 0.705 | 0.76 (0.33–1.79) | 0.534 |
| Other roles | 0.74 (0.55–1.01) | 0.057 | 0.63 (0.45–0.89) | 0.008 | 0.42 (0.15–1.79) | 0.078 |
| Working in high-risk department | 1.29 (1.04–1.59) | 0.020 | 1.44 (1.13–1.83) | 0.003 | 2.95 (1.37–6.36) | 0.006 |
| Vaccination | ||||||
| Nonvaccinated | Reference | <0.001 | Reference | <0.001 | Reference | <0.001 |
| Completely vaccinated | 1.10 (0.84–1.43) | 0.507 | 0.81 (0.49–1.33) | 0.396 | 0.59 (0.29–1.18) | 0.134 |
| Vaccinated and booster | 0.71 (0.54–0.96) | 0.023 | 0.23 (0.12–0.46) | <0.001 | 0.17 (0.07–0.43) | <0.001 |
| Covariate | All COVID-19 Events * | Symptomatic COVID-19 Events | Moderate to Severe COVID-19 Events | |||
|---|---|---|---|---|---|---|
| aHR (95%CI) | p-Value | aHR (95%CI) | p-Value | aHR (95%CI) | p-Value | |
| Age, gender | ||||||
| <29 years | Reference | 0.076 | Reference | 0.218 | Reference | 0.014 |
| 30–39 years | 1.30 (0.97–1.75) | 0.08 | 1.40 (1.01–1.95) | 0.045 | 7.10 (0.90–55.71) | 0.062 |
| 40–49 years | 1.47 (1.10–1.97) | 0.010 | 1.37 (0.98–1.90) | 0.064 | 8.52 (1.08–66.93) | 0.045 |
| >50 years | 1.27 (0.93–1.72) | 0.13 | 1.31 (0.93–1.84) | 0.123 | 16.94 (2.20–130.73) | 0.007 |
| Gender female | Reference | - | Reference | - | Reference | - |
| Gender male | 0.96 (0.76–1.23) | 0.774 | 0.92 (0.70–1.19) | 0.511 | 16.51 (2.14–127.44) | <0.001 |
| Professional role | ||||||
| Physicians | Reference | <0.001 | Reference | 0.005 | Reference | 0.301 |
| Nurses | 1.22 (0.89–1.69) | 0.216 | 1.21 (0.86–1.71) | 0.281 | 2.11 (0.60–7.42) | 0.244 |
| Healthcare auxiliary staff | 1.10 (0.83–1.46) | 0.521 | 0.98 (0.71–1.34) | 0.891 | 1.26 (0.39–4.09) | 0.704 |
| Other roles | 0.70 (0.50–0.96) | 0.028 | 0.69 (0.49–0.98) | 0.039 | 0.88 (0.25–3.11) | 0.838 |
| Working in high-risk department | 1.87 (1.39–2.51) | 0.001 | 1.87 (1.35–2.58) | <0.001 | 2.75 (1.08–7.04) | 0.035 |
| Vaccination and hybrid immunity | ||||||
| Complete vaccination | Reference | <0.001 | Reference | <0.001 | Reference | <0.001 |
| Vaccinated and booster | 0.42 (0.33–0.51) | <0.001 | 0.48 (0.37–0.61) | <0.001 | 0.22 (0.09–0.52) | <0.001 |
| Hybrid immunity | 0.60 (0.47–0.77) | <0.001 | 0.76 (0.58–0.99) | 0.041 | 0.40 (0.16–0.99) | 0.047 |
| Hybrid immunity and booster | 0.42 (0.30–0.58) | <0.001 | 0.52 (0.36–0.74) | <0.001 | 0.15 (0.03–0.66) | 0.012 |
Disclaimer/Publisher’s Note: The statements, opinions and data contained in all publications are solely those of the individual author(s) and contributor(s) and not of MDPI and/or the editor(s). MDPI and/or the editor(s) disclaim responsibility for any injury to people or property resulting from any ideas, methods, instructions or products referred to in the content. |
© 2024 by the authors. Licensee MDPI, Basel, Switzerland. This article is an open access article distributed under the terms and conditions of the Creative Commons Attribution (CC BY) license (https://creativecommons.org/licenses/by/4.0/).
Share and Cite
Chivu, C.-D.; Crăciun, M.-D.; Pițigoi, D.; Aramă, V.; Luminos, M.L.; Jugulete, G.; Constantin, C.; Apostolescu, C.G.; Streinu Cercel, A. The Dynamic Risk of COVID-19-Related Events in Vaccinated Healthcare Workers (HCWs) from a Tertiary Hospital in Bucharest, Romania: A Study Based on Active Surveillance Data. Vaccines 2024, 12, 182. https://doi.org/10.3390/vaccines12020182
Chivu C-D, Crăciun M-D, Pițigoi D, Aramă V, Luminos ML, Jugulete G, Constantin C, Apostolescu CG, Streinu Cercel A. The Dynamic Risk of COVID-19-Related Events in Vaccinated Healthcare Workers (HCWs) from a Tertiary Hospital in Bucharest, Romania: A Study Based on Active Surveillance Data. Vaccines. 2024; 12(2):182. https://doi.org/10.3390/vaccines12020182
Chicago/Turabian StyleChivu, Carmen-Daniela, Maria-Dorina Crăciun, Daniela Pițigoi, Victoria Aramă, Monica Luminița Luminos, Gheorghiță Jugulete, Ciprian Constantin, Cătălin Gabriel Apostolescu, and Adrian Streinu Cercel. 2024. "The Dynamic Risk of COVID-19-Related Events in Vaccinated Healthcare Workers (HCWs) from a Tertiary Hospital in Bucharest, Romania: A Study Based on Active Surveillance Data" Vaccines 12, no. 2: 182. https://doi.org/10.3390/vaccines12020182
APA StyleChivu, C.-D., Crăciun, M.-D., Pițigoi, D., Aramă, V., Luminos, M. L., Jugulete, G., Constantin, C., Apostolescu, C. G., & Streinu Cercel, A. (2024). The Dynamic Risk of COVID-19-Related Events in Vaccinated Healthcare Workers (HCWs) from a Tertiary Hospital in Bucharest, Romania: A Study Based on Active Surveillance Data. Vaccines, 12(2), 182. https://doi.org/10.3390/vaccines12020182

