An Adjuvanted Vaccine-Induced Pathogenesis Following Influenza Virus Infection
Abstract
1. Introduction
2. Materials and Methods
2.1. The Sources of Glycolipids, α-GC, and C34
2.2. The Influenza Virus and an Inactivated Vaccine
2.3. The Experimental Animals
2.4. Neutralization Assay
2.5. Immuno-Microarray Assay
2.6. Protection Experiments
3. Results
3.1. The Influenza-A-Virus-Specific Antibody Response Induced by Distinct Vaccine Formulations in Freund’s Adjuvants
3.2. The Influenza-A-Virus-Specific Neutralizing Antibody Activity Induced by Distinct Vaccine Formulations in Freund’s Adjuvants
3.3. Protection against Mortality Induced by Distinct Vaccine Formulations in Freund’s Adjuvants Following an Intranasal Challenge of A/California/07/2009 (H1N1) Virus
3.4. The Influenza-A-Virus-HA-Specific Antibody Response Induced by Distinct Vaccine Formulations in Aluminum Hydroxide Adjuvant
3.5. Protection against Mortality and Morbidity Induced by Distinct Vaccine Formulations in an Aluminum Hydroxide Adjuvant Following an Intranasal Challenge of A/California/07/2009 (H1N1) Virus
4. Discussion
5. Conclusions
Author Contributions
Funding
Institutional Review Board Statement
Informed Consent Statement
Data Availability Statement
Acknowledgments
Conflicts of Interest
References
- Hsu, S.C.; Shaw, D.M.; Steward, M.W. The induction of respiratory syncytial virus-specific cytotoxic T-cell responses following immunization with a synthetic peptide containing a fusion peptide linked to a cytotoxic T cell epitope. Immunology 1995, 85, 347–350. [Google Scholar] [PubMed]
- Chargelegue, D.; Drake, P.W.; Obregon, P.; Prada, A.; Fairweather, N.; Ma, J.K.-C. Highly immunogenic and protective recombinant vaccine candidate expressed in transgenic plants. Infect. Immun. 2005, 73, 5915–5922. [Google Scholar] [CrossRef]
- Chargelegue, D.; Obeid, O.E.; Hsu, S.C.; Shaw, M.D.; Denbury, A.N.; Taylor, G.; Steward, M.W. A peptide mimic of a protective epitope of respiratory syncytial virus selected from a combinatorial library induces virus-neutralizing antibodies and reduces viral load in vivo. J. Virol. 1998, 72, 2040–2046. [Google Scholar] [CrossRef] [PubMed]
- Relf, W.A.; Cooper, J.; Brandt, E.R.; Hayman, W.A.; Anders, R.F.; Pruksakorn, S.; Currie, B.; Saul, A.; Good, M.F. Mapping a conserved conformational epitope from the M protein of group A streptococci. Pept. Res. 1996, 9, 12–20. [Google Scholar] [PubMed]
- Prachanronarong, K.I.; Canale, A.S.; Liu, P.; Somasundaran, M.; Hou, S.; Poh, Y.-P.; Han, T.; Zhu, Q.; Renzette, N.; Zeldovich, K.B.; et al. Mutations in influenza A virus neuraminidase and haemagglutinin confer resistance against a broadly neutralizing haemagglutinin stem antibody. J. Virol. 2019, 93, e01639-18. [Google Scholar] [CrossRef] [PubMed]
- Wong, H.-L.; Hu, M.; Zhou, C.K.; Lloyd, P.C.; Amend, K.L.; Beachler, D.C.; Secora, A.; McMahill-Walraven, C.N.; Lu, Y.; Wu, Y.; et al. Risk of myocarditis and pericarditis after the COVID-19 mRNA vaccination in the USA: A cohort study in claims databases. Lancet 2022, 399, 2191–2199. [Google Scholar] [CrossRef] [PubMed]
- Maas, C.; Hermeling, S.; Bouma, B.; Jiskoot, W.; Gebbink, M.F.B.G. A role for protein misfolding in immunogenicity of biopharmaceuticals. J. Biol. Chem. 2007, 282, 2229–2236. [Google Scholar] [CrossRef]
- Mukherjee, S.; Huda, S.; Sinhababu, S.P. Toll-like receptor polymorphism in host immune response to infectious diseases: A review. Scand. J. Immunol. 2019, 90, e12771. [Google Scholar] [CrossRef] [PubMed]
- Duane, J.G.; Yuanji, P.; Hildesheim, A.; Pinto, L.A. Characterization of the HPV-specific memory B cell and systemic antibody responses in women receiving an unadjuvanted HPV16 L1 VLP vaccine. Vaccine 2010, 28, 5407–5413. [Google Scholar]
- Heath, P.T.; Galiza, E.P.; Baxter, D.N.; Boffito, M.; Browne, D.; Burns, F.; Chadwick, D.R.; Clark, R.; Cosgrove, C.; Galloway, J.; et al. Safety and efficacy of NVX-CoV2373 COVID-19 vaccine. N. Engl. J. Med. 2021, 385, 1172–1183. [Google Scholar] [CrossRef]
- Chang, M.H.; Chen, C.J.; Lai, M.S.; Hsu, H.M.; Wu, T.C.; Kong, M.S.; Liang, D.C.; Shau, W.Y.; Chen, D.S. Universal hepatitis B vaccination in Taiwan and the incidence of hepatocellular carcinoma in children. N. Engl. J. Med. 1997, 336, 1855–1859. [Google Scholar] [CrossRef] [PubMed]
- Wheeler, C.M.; Skinner, S.R.; Del Rosario-Raymundo, M.R.; Garland, S.M.; Chatterjee, A.; Lazcano-Ponce, E.; Salmerón, J.; McNeil, S.; Stapleton, J.T.; Bouchard, C.; et al. Efficacy, safety, and immunogenicity of the human papillomavirus 16/18 AS04-adjuvanted vaccine in women older than 25 years: 7 year follow-up of the phase 3, double-blind, randomized controlled VIVIANE study. Lancet Infect. Dis. 2016, 16, 1154–1168. [Google Scholar] [CrossRef]
- Stassijns, J.; Bollaerts, K.; Baay, M.; Verstraeten, T. A systematic review and meta-analysis on the safety of newly adjuvanted vaccines among children. Vaccine 2016, 34, 714–722. [Google Scholar] [CrossRef] [PubMed]
- Papi, A.; Ison, M.G.; Langley, J.M.; Lee, D.-G.; Leroux-Roels, I.; Martinon-Torres, F.; Schwarz, T.F.; van Zyl-Smit, R.N.; Campora, L.; Dezutter, N.; et al. Respiratory syncytial virus prefusion F protein vaccine in older adults. N. Engl. J. Med. 2023, 388, 595–608. [Google Scholar] [CrossRef] [PubMed]
- Leroux-Roels, I.; Borkowski, A.; Vanwolleghem, T.; Dramé, M.; Clement, F.; Hons, E.; Devaster, J.-M.; Leroux-Roels, G. Antigen sparing and cross-reactive immunity with an adjuvanted rH5N1 prototype pandemic influenza vaccine: A randomized controlled trial. Lancet 2007, 370, 580–589. [Google Scholar] [CrossRef]
- Hsu, S.C.; Chang, C.-P.; Tsai, C.-Y.; Hsieh, S.-H.; Wu-Hsieh, B.A.; Lo, Y.-S.; Yang, J.-M. Steric recognition of T-cell receptor contact residues is required to map mutant epitopes by immunoinformatical programmes. Immunology 2012, 136, 139–152. [Google Scholar] [CrossRef]
- Dawood, F.S.; Jain, S.; Finelli, L.; Shaw, M.W.; Lindstrom, S.; Garten, R.J.; Gubareva, L.V.; Xiyan Xu, X.; Bridges, C.B.; Uyeki, T.M. Emergence of a novel swine-origin influenza A (H1N1) virus in humans. N. Engl. J. Med. 2009, 360, 2605–2615. [Google Scholar]
- Oxford, J.S.; Lambkin, R.; Elliot, A.; Daniels, R.; Sefton, A.; Gill, D. Scientific lessons from the first influenza pandemic of the 20th century. Vaccine 2006, 24, 6742–6746. [Google Scholar] [CrossRef]
- Ann, J.; Samant, M.; Rheaume, C.; Dumas, C.; Beaulieu, E.; Morasse, A.; Mallett, C.; Hamelin, M.-E.; Papadopoulou, B.; Boivin, G. Adjuvanted inactivated influenza A (H3N2) vaccines induce stronger immunogenicity in mice and confer higher protection in ferrets than unadjuvanted vaccines. Vaccine 2014, 32, 5730–5739. [Google Scholar] [CrossRef]
- Bennett, B.; Check, I.J.; Olsen, M.R.; Hunter, R.L. A comparison of commercially available adjuvants for use in research. J. Immunol. Methods 1992, 153, 31–40. [Google Scholar] [CrossRef]
- Hsu, S.C.; Schadeck, E.B.; Delmas, A.; Shaw, M.; Steward, M.W. Linkage of a fusion peptide to a CTL epitope from the nucleoprotein of measles virus enables incorporation into ISCOMs and induction of CTL responses. Vaccine 1996, 14, 1159–1166. [Google Scholar] [CrossRef]
- Barve, M.; Bender, J.; Senzer, N.; Cunningham, C.; Greco, F.A.; McCune, D.; Steis, R.; Khong, H.; Richards, D.; Stephenson, J.; et al. Induction of immune responses and clinical efficacy in a phase II trial of IDM-2101, a 10-epitope cytotoxic T-lymphocyte vaccine, in metastatic non-small-cell lung cancer. J. Clin. Oncol. 2008, 26, 4418–4425. [Google Scholar] [CrossRef]
- Chen, J.R.; Yu, Y.-H.; Tseng, Y.-C.; Chiang, W.-L.; Chiang, M.-F.; Ko, Y.-A.; Chiu, Y.-K.; Ma, H.-H.; Wu, C.-Y.; Jan, J.-T.; et al. Vaccination of monoglycosylated haemagglutinin induces cross-strain protection against influenza virus infections. Proc. Natl. Acad. Sci. USA 2014, 111, 2476–2481. [Google Scholar] [CrossRef] [PubMed]
- Wu, T.N.; Lin, K.H.; Chang, Y.-J.; Huang, J.-R.; Cheng, J.-Y.; Yu, A.L.; Wong, C.-H. Avidity of CD1d-ligand-receptor ternary complex contributes to T-helper 1 (Th1) polarization and anticancer efficacy. Proc. Natl. Acad. Sci. USA 2011, 108, 17275–17280. [Google Scholar] [CrossRef]
- McMichael, A.J.; Pilch, J.R.; Galre, G.; Mason, D.Y.; Fabre, J.W.; Milstein, C. A human thymocyte antigen defined by a hybrid myeloma monoclonal antibody. Eur. J. Immunol. 1979, 9, 205–210. [Google Scholar] [CrossRef] [PubMed]
- Godfrey, D.I.; Kronenberg, M. Going both ways: Immune regulation via CD1d-dependent NKT cells. J. Clin. Investig. 2004, 114, 1379–1388. [Google Scholar] [CrossRef]
- Huynh, A.; Kelton, J.G.; Arnold, D.M.; Daka, M.; Nazy, I. Antibody epitopes in vaccine-induced immune thrombotic thrombocytopaenia. Nature 2021, 596, 565–569. [Google Scholar] [CrossRef] [PubMed]
- Boytchev, H. Maternal RSV vaccine: Further analysis is urged on preterm births. Maternal RSV vaccine: Further analysis is urged on preterm births. BMJ 2023, 381, 1021. [Google Scholar] [CrossRef]
- World Health Organization. Availability of Two New Candidate Reassortant Vaccine Viruses for Pandemic (H1N1) 2009 Virus Vaccine Development. Available online: https://cdn.who.int/media/docs/default-source/influenza/cvvs/archive-2009/20090914_x_181_x_181a.pdf?sfvrsn=8e503109_9 (accessed on 25 January 2024).
- Sridhar, S.; Boualam, L.; Tallis, G.; Zhu, M.; Bonaparte, M.; Machabert, T.; Savarino, S.; Zambrano, B.; Moureau, A.; Khromava, A.; et al. Effect of dengue serostatus on dengue vaccine safety and efficacy. N. Engl. J. Med. 2018, 379, 327–340. [Google Scholar] [CrossRef]
- Snider, C.J.; Boualam, L.; Tallis, G.; Takashima, Y.; Abeyasinghe, R.; Lo, Y.R.; Grabovac, V.; Avagyan, T.; Aslam, S.K.; Eltayeb, A.O.; et al. Concurrent outbreaks of circulating vaccine-derived poliovirus types 1 and 2 affecting the Republic of the Philippines and Malaysia, 2019–2021. Vaccine 2023, 41, A58–A69. [Google Scholar] [CrossRef]
- Fulginiti, V.A.; Eller, J.J.; Sieber, O.F.; Joyner, J.W.; Minamitani, M.; Meiklejohn, G. Respiratory virus immunisation. I. A field trial of two inactivated respiratory virus vaccines; an aqueous trivalent parainfluenza virus vaccine and an alum-precipitated respiratory syncytial virus vaccine. Am. J. Epidemiol. 1969, 89, 435–448. [Google Scholar] [CrossRef] [PubMed]
- Persson, I.; Granath, F.; Askling, J.; Olsson, T.; Feltelius, N. Risks of neurological and immune-related diseases, including narcolepsy, after vaccination with Pandemrix: A population- and registry-based cohort study with over 2 years of follow-up. Intern. Med. 2014, 275, 172–190. [Google Scholar] [CrossRef] [PubMed]
- Ahmed, S.S.; Volkmuth, W.; Duca, J.; Corti, L.; Pallaoro, M.; Pezzicoli, A.; Karle, A.; Rigat, F.; Rappuoli, R.; Narasimhan, V.; et al. Antibodies to influenza nucleoprotein cross-reactive with human hypocretin receptor 2. Sci. Transl. Med. 2015, 7, 294ra105. [Google Scholar] [CrossRef] [PubMed]
- Cubillos, C.; de la Torre, B.G.; Jakab, A.; Clementi, G.; Borrás, E.; Bárcena, J.; Andreu, D.; Sobrino, F.; Blanco, E. Enhanced mucosal immunoglobulin A response and solid protection against foot-and-mouth disease virus challenge induced by a novel dendrimeric peptide. J. Virol. 2008, 82, 7223–7230. [Google Scholar] [CrossRef] [PubMed]
- Oscherwitz, J.; Hankenson, F.C.; Yu, F.; Cease, K.B. Low-dose intraperitoneal Freund’s adjuvant: Toxicity and immunogenicity in mice using an immunogen targeting amyloid-beta peptide. Vaccine 2006, 24, 3018–3025. [Google Scholar] [CrossRef] [PubMed]
- Tefit, J.N.; Crabe, S.; Orlandini, B.; Nell, H.; Bendelac, A.; Deng, S.; Savage, P.B.; Teyton, L.; Serra, V. Efficacy of ABX196, a new NKT agonist, in prophylactic human vaccination. Vaccine 2014, 32, 6138–6145. [Google Scholar] [CrossRef] [PubMed]
- Rouleau, I.; De Serres, G.; Drolet, J.P.; Skowronski, D.M.; Ouakki, M.; Toth, E.; Landry, M.; Ménard, S.; Gagnon, R. Increased risk of anaphylaxis following administration of 2009 AS03-adjuvanted monovalent pandemic A/H1N1 (H1N1pdm09) vaccine. Vaccine 2013, 31, 5989–5996. [Google Scholar] [CrossRef] [PubMed]
- Gaya, M.; Barral, P.; Burbage, M.; Aggarwal, S.; Montaner, B.; Navia, A.W.; Aid, M.; Tsui, C.; Maldonado, P.; Nair, U.; et al. Initiation of antiviral B cell immunity relies on innate signals from spatially positioned NKT cells. Cell 2018, 172, 517–533. [Google Scholar] [CrossRef] [PubMed]
- Hem, S.L.; HogenEsch, H. Aluminum-containing adjuvants: Properties, formulation and use. In Vaccine Adjuvant and Delivery System; John Wiley and Sons: Hoboken, NJ, USA, 2007; pp. 81–114. [Google Scholar]
- Hsieh, M.-H.; Hung, J.-T.; Liw, Y.-W.; Lu, Y.-J.; Wong, C.-H.; Yu, A.L.; Liang, P.-H. Synthesis and evaluation of acyl-chain- and galactose-6′′-modified analogues of α-GalCer for NKT cell activation. ChemBioChem 2012, 13, 1689–1697. [Google Scholar] [CrossRef]
- MacBeath, G.; Schreiber, S.L. Printing proteins as microarrays for high-throughput function determination. Science 2000, 289, 1760–1763. [Google Scholar] [CrossRef]
- Mosmann, T.R.; Cherwinski, H.; Bond, M.W.; Giedlin, M.A.; Coffman, R.L. Two types of murine helper T cell clone. I. Definition according to profiles of lymphokine activities and secreted proteins. J. Immunol. 1986, 136, 2348–2357. [Google Scholar] [CrossRef] [PubMed]
- Steward, M.W.; Stanley, C.M.; Dimarchi, R.; Mulcahy, G.; Doel, T.R. High-affinity antibody induced by immunization with a synthetic peptide is associated with protection of cattle against foot-and-mouse disease. Immunology 1991, 72, 99–103. [Google Scholar]
- Halstead, S.B.; O’Rourke, E.J. Antibody-enhanced dengue virus infection in primate leukocytes. Nature 1977, 265, 739–741. [Google Scholar] [CrossRef] [PubMed]
- Hoft, D.F.; Babusis, E.; Worku, S.; Spencer, C.T.; Lottenbach, K.; Truscott, S.M.; Abate, G.; Sakala, I.G.; Edwards, K.M.; Creech, C.B.; et al. Live and inactivated influenza vaccines induce similar humoral responses, but only live vaccines induce diverse T-cell responses in young children. J. Infect. Dis. 2011, 204, 845–853. [Google Scholar] [CrossRef] [PubMed]
- Polack, F.P.; Teng, M.N.; Collins, P.L.; Prince, G.A.; Exner, M.; Regele, H.; Lirman, D.D.; Rabold, R.; Hoffman, S.J.; Karp, C.L.; et al. A role for immune complexes in enhanced respiratory syncytial virus disease. J. Exp. Med. 2002, 196, 859–865. [Google Scholar] [CrossRef] [PubMed]
- Kimble, J.B.; Brand, M.W.; Kaplan, B.S.; Gauger, P.; Coyle, E.M.; Chilcote, K.; Khurana, S.; Vincent, A.L. Vaccine-associated enhanced respiratory disease following influenza virus infection in ferrets recapitulates the model in pigs. J. Virol. 2022, 96, e0172521. [Google Scholar] [CrossRef] [PubMed]
- Kampmann, B.; Madhi, S.A.; Munjal, I.; Simões, E.A.F.; Pahud, B.A.; Llapur, C.; Baker, J.; Marc, G.P.; Radley, D.; Shittu, E.; et al. Bivalent prefusion F vaccine in pregnancy to prevent RSV illness in infants. N. Engl. J. Med. 2023, 388, 1451–1464. [Google Scholar] [CrossRef] [PubMed]
- Moncunill, G.; Mpina, M.; Nhabomba, A.J.; Aguilar, R.; Ayestaran, A.; Sanz, H.; Campo, J.J.; Jairoce, C.; Barrios, D.; Dong, Y.; et al. Distinct helper T cell type 1 and 2 responses associated with malaria protection and risk in RTS, S/AS01E vaccinees. Clin. Infect. Dis. 2017, 65, 746–755. [Google Scholar] [CrossRef]
- Prince, G.A.; Denamur, F.; Deschamps, M.; Garçon, N.; Prieels, J.P.; Slaoui, M.; Thiriart, C.; Porter, D.D. Monophosphoryl lipid A adjuvant reverses a principal histologic parameter of formalin-inactivated respiratory syncytial virus vaccine-induced disease. Vaccine 2001, 19, 2048–2054. [Google Scholar] [CrossRef] [PubMed]
- Dolton, G.; Rius, C.; Hasan, M.S.; Wall, A.; Szomolay, B.; Behiry, E.; Whalley, T.; Southgate, J.; Fuller, A. COVID-19 Genomics UK (COG-UK) consortium, Emergence of immune escape at dominant SARS-CoV-2 killer T cell epitope. Cell 2022, 185, 2936–2951. [Google Scholar] [CrossRef]
- Prelog, M.; Wilk, C.; Keller, M.; Karall, T.; Orth, D.; Geiger, R.; Walder, G.; Laufer, G.; Cottogni, M.; Lothar, B.Z.; et al. Diminished response to tick-borne encephalitis vaccination in thymectomized children. Vaccine 2008, 26, 598–600. [Google Scholar] [CrossRef] [PubMed]
- Hsu, S.C.; Chargelegue, D.; Obeid, O.E.; Steward, M.W. Synergistic effect of immunization with a peptide cocktail inducing antibody, helper and cytotoxic T-cell responses on protection against respiratory syncytial virus. J. Gen. Virol. 1999, 80, 1401–1405. [Google Scholar] [CrossRef] [PubMed]
- Auton, A.; Brooks, L.D.; Durbin, R.M.; Garrison, E.P.; Kang, H.M.; Korbel, J.O.; Marchini, J.L.; McCarthy, S.; McVean, G.A.; Abecasis, G.R. A global reference for human genetic variation. Nature 2015, 526, 68–74. [Google Scholar] [PubMed]
- van der Made, C.I.; Simons, A.; Schuurs-Hoeijmakers, J.; van den Heuvel, G.; Mantere, T.; Kersten, S.; van Deuren, R.C.; Steehouwer, M.; van Reijmersdal, S.V.; Jaeger, M.; et al. Presence of genetic variants among young men with severe COVID-19. JAMA 2020, 324, 663–673. [Google Scholar] [CrossRef]
- Tandler, C.; Heitmann, J.S.; Michel, T.M.; Marconato, M.; Jaeger, S.U.; Tegeler, C.M.; Denk, M.; Richter, M.; Oezbek, M.T.; Maringer, Y.; et al. Long-term efficacy of the peptide-based COVID-19 T cell activator CoVac-1 in healthy adults. Int. J. Infect. Dis. 2024, 139, 69–77. [Google Scholar] [CrossRef]



The result of antibody responses to 1:2 dilution of a recombinant HA.
The result of antibody responses to 1:2 dilution of a recombinant HA.
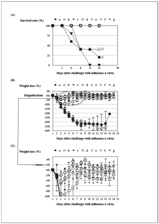
Three virus-infected mice in group a and b had weight loss beyond 20% on day 15. They were terminated with humane euthanasia on day 16 with concern to other pain indices. □: The ruffled fur and slower locomotion were observable pathogenic signs in the group immunized with an IFA plus antigens (d).
Three virus-infected mice in group a and b had weight loss beyond 20% on day 15. They were terminated with humane euthanasia on day 16 with concern to other pain indices. □: The ruffled fur and slower locomotion were observable pathogenic signs in the group immunized with an IFA plus antigens (d).
Disclaimer/Publisher’s Note: The statements, opinions and data contained in all publications are solely those of the individual author(s) and contributor(s) and not of MDPI and/or the editor(s). MDPI and/or the editor(s) disclaim responsibility for any injury to people or property resulting from any ideas, methods, instructions or products referred to in the content. |
© 2024 by the authors. Licensee MDPI, Basel, Switzerland. This article is an open access article distributed under the terms and conditions of the Creative Commons Attribution (CC BY) license (https://creativecommons.org/licenses/by/4.0/).
Share and Cite
Hsu, S.-C.; Lin, K.-H.; Tseng, Y.-C.; Cheng, Y.-Y.; Ma, H.-H.; Chen, Y.-C.; Jan, J.-T.; Wu, C.-Y.; Ma, C. An Adjuvanted Vaccine-Induced Pathogenesis Following Influenza Virus Infection. Vaccines 2024, 12, 569. https://doi.org/10.3390/vaccines12060569
Hsu S-C, Lin K-H, Tseng Y-C, Cheng Y-Y, Ma H-H, Chen Y-C, Jan J-T, Wu C-Y, Ma C. An Adjuvanted Vaccine-Induced Pathogenesis Following Influenza Virus Infection. Vaccines. 2024; 12(6):569. https://doi.org/10.3390/vaccines12060569
Chicago/Turabian StyleHsu, Shiou-Chih, Kun-Hsien Lin, Yung-Chieh Tseng, Yang-Yu Cheng, Hsiu-Hua Ma, Ying-Chun Chen, Jia-Tsrong Jan, Chung-Yi Wu, and Che Ma. 2024. "An Adjuvanted Vaccine-Induced Pathogenesis Following Influenza Virus Infection" Vaccines 12, no. 6: 569. https://doi.org/10.3390/vaccines12060569
APA StyleHsu, S.-C., Lin, K.-H., Tseng, Y.-C., Cheng, Y.-Y., Ma, H.-H., Chen, Y.-C., Jan, J.-T., Wu, C.-Y., & Ma, C. (2024). An Adjuvanted Vaccine-Induced Pathogenesis Following Influenza Virus Infection. Vaccines, 12(6), 569. https://doi.org/10.3390/vaccines12060569

