IgG Serum Antibodies to Shigella sonnei Lipopolysaccharide Are Inversely Associated with the Incidence of Culture-Proven S. sonnei Shigellosis in Israeli Children and Adolescents
Abstract
1. Introduction
2. Methods
2.1. Study Design and Study Population
2.1.1. Study Design
2.1.2. Study Population
2.2. Serum Samples Handling and Laboratory Methods
2.3. Statistical Methods
3. Results
3.1. IgG Anti-Shigella LPS Antibody Levels and Correlates
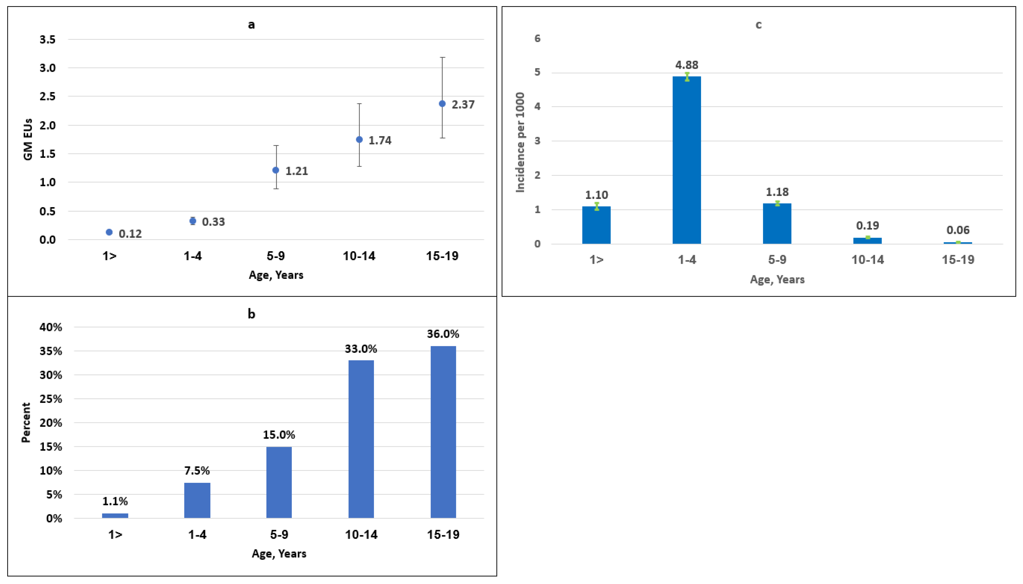
3.2. IgG Anti-S. sonnei LPS Levels and an Ecological Inverse Association with S. sonnei Shigellosis
4. Discussion
5. Conclusions
Supplementary Materials
Author Contributions
Funding
Institutional Review Board Statement
Informed Consent Statement
Data Availability Statement
Acknowledgments
Conflicts of Interest
References
- Khalil, I.A.; Troeger, C.; Blacker, B.F.; Rao, P.C.; Brown, A.; Atherly, D.E.; Brewer, T.G.; Engmann, C.M.; Houpt, E.R.; Kang, G.; et al. Morbidity and mortality due to shigella and enterotoxigenic Escherichia coli diarrhoea: The Global Burden of Disease Study 1990–2016. Lancet Infect. Dis. 2018, 18, 1229–1240. [Google Scholar] [CrossRef]
- Platts-Mills, J.A.; Taniuchi, M.; Uddin, M.J.; Sobuz, S.U.; Mahfuz, M.; Gaffar, S.A.; Mondal, D.; Hossain, M.I.; Islam, M.M.; Ahmed, A.S.; et al. Association between enteropathogens and malnutrition in children aged 6–23 mo in Bangladesh: A case-control study. Am. J. Clin. Nutr. 2017, 105, 1132–1138. [Google Scholar] [CrossRef] [PubMed]
- Rogawski McQuade, E.T.; Shaheen, F.; Kabir, F.; Rizvi, A.; Platts-Mills, J.A.; Aziz, F.; Kalam, A.; Qureshi, S.; Elwood, S.; Liu, J.; et al. Epidemiology of Shigella infections and diarrhea in the first two years of life using culture-independent diagnostics in 8 low-resource settings. PLoS Negl. Trop. Dis. 2020, 14, e0008536. [Google Scholar] [CrossRef] [PubMed]
- Nasrin, D.; Blackwelder, W.C.; Sommerfelt, H.; Wu, Y.; Farag, T.H.; Panchalingam, S.; Biswas, K.; Saha, D.; Jahangir Hossain, M.; Sow, S.O.; et al. Pathogens Associated With Linear Growth Faltering in Children With Diarrhea and Impact of Antibiotic Treatment: The Global Enteric Multicenter Study. J. Infect. Dis. 2021, 224 (Suppl. 7), S848–S855. [Google Scholar] [CrossRef] [PubMed]
- Pires, S.M.; Fischer-Walker, C.L.; Lanata, C.F.; Devleesschauwer, B.; Hall, A.J.; Kirk, M.D.; Duarte, A.S.; Black, R.E.; Angulo, F.J. Aetiology-Specific Estimates of the Global and Regional Incidence and Mortality of Diarrhoeal Diseases Commonly Transmitted through Food. PLoS ONE 2015, 10, e0142927. [Google Scholar] [CrossRef] [PubMed]
- Cohen, D.; Bassal, R.; Goren, S.; Rouach, T.; Taran, D.; Schemberg, B.; Peled, N.; Keness, Y.; Ken-Dror, S.; Vasilev, V.; et al. Recent trends in the epidemiology of shigellosis in Israel. Epidemiol. Infect. 2014, 142, 2583–2594. [Google Scholar] [CrossRef] [PubMed]
- Porter, C.K.; Olson, S.; Hall, A.; Riddle, M.S. Travelers’ Diarrhea: An Update on the Incidence, Etiology, and Risk in Military Deployments and Similar Travel Populations. Mil. Med. 2017, 182 (Suppl. 2), 4–10. [Google Scholar] [CrossRef]
- Charles, H.; Prochazka, M.; Thorley, K.; Crewdson, A.; Greig, D.R.; Jenkins, C.; Painset, A.; Fifer, H.; Browning, L.; Cabrey, P.; et al. Outbreak of sexually transmitted, extensively drug-resistant Shigella sonnei in the UK, 2021–2022: A descriptive epidemiological study. Lancet Infect. Dis. 2022, 22, 1503–1510. [Google Scholar] [CrossRef] [PubMed]
- Ibrahim, A.F.; Glass, K.; Williamson, D.A.; Polkinghorne, B.G.; Ingle, D.J.; Wright, R.; Kirk, M.D. The changing epidemiology of shigellosis in Australia, 2001–2019. PLoS Negl. Trop. Dis. 2023, 17, e0010450. [Google Scholar] [CrossRef]
- Siddiq, M.; O’Flanagan, H.; Richardson, D.; Llewellyn, C.D. Factors associated with sexually transmitted shigella in men who have sex with men: A systematic review. Sex. Transm. Infect. 2023, 99, 58–63. [Google Scholar] [CrossRef]
- Ahmed, S.; Chowdhury, M.I.H.; Sultana, S.; Alam, S.S.; Marzan, M.; Islam, M.A. Prevalence of Antibiotic-Resistant Shigella spp. in Bangladesh: A Systematic Review and Meta-Analysis of 44,519 Samples. Antibiotics 2023, 12, 817. [Google Scholar] [CrossRef] [PubMed]
- Baker, S. The HC: Recent insights into Shigella. Curr. Opin. Infect. Dis. 2018, 31, 449–454. [Google Scholar] [CrossRef] [PubMed]
- Baker, S.; Scott, T.A. Antimicrobial-resistant Shigella: Where do we go next? Nat. Rev. Microbiol. 2023, 21, 409–410. [Google Scholar] [CrossRef]
- Mason, L.C.E.; Greig, D.R.; Cowley, L.A.; Partridge, S.R.; Martinez, E.; Blackwell, G.A.; Chong, C.E.; De Silva, P.M.; Bengtsson, R.J.; Draper, J.L.; et al. The evolution and international spread of extensively drug resistant Shigella sonnei. Nat. Commun. 2023, 14, 1983. [Google Scholar] [CrossRef]
- Giersing, B.K.; Modjarrad, K.; Kaslow, D.C.; Moorthy, V.S. Committee WHOPDfVA, Committee WHOPDfVPDA: Report from the World Health Organization’s Product Development for Vaccines Advisory Committee (PDVAC) meeting, Geneva, 7-9th Sep 2015. Vaccine 2016, 34, 2865–2869. [Google Scholar] [CrossRef] [PubMed]
- Cohen, D.; Ashkenazi, S.; Schneerson, R.; Farzam, N.; Bialik, A.; Meron-Sudai, S.; Asato, V.; Goren, S.; Baran, T.Z.; Muhsen, K.; et al. Threshold protective levels of serum IgG to Shigella lipopolysaccharide: Re-analysis of Shigella vaccine trials data. Clin. Microbiol. Infect. 2023, 29, 366–371. [Google Scholar] [CrossRef] [PubMed]
- Hausdorff, W.P.; Anderson JDt Bagamian, K.H.; Bourgeois, A.L.; Mills, M.; Sawe, F.; Scheele, S.; Talaat, K.; Giersing, B.K. Vaccine value profile for Shigella. Vaccine 2023, 41 (Suppl. 2), S76–S94. [Google Scholar] [CrossRef]
- Brennhofer, S.A.; Platts-Mills, J.A.; Lewnard, J.A.; Liu, J.; Houpt, E.R.; Rogawski McQuade, E.T. Burden of diarrhea and antibiotic use among children in low-resource settings preventable by Shigella vaccination: A simulation study. PLoS Med. 2023, 20, e1004271. [Google Scholar] [CrossRef]
- Hausdorff, W.P.; Anderson JDt Bourgeois, A.L.; Clifford, A.; Fleming, J.A.; Muhib, F.; Pecenka, C.; Puett, C.; Riddle, M.S.; Scheele, S.; Bagamian, K.H. Reassessing potential economic value and health impact of effective Shigella vaccines. Bull. World Health Organ. 2024, 102, 65–74. [Google Scholar] [CrossRef]
- Livio, S.; Strockbine, N.A.; Panchalingam, S.; Tennant, S.M.; Barry, E.M.; Marohn, M.E.; Antonio, M.; Hossain, A.; Mandomando, I.; Ochieng, J.B.; et al. Shigella isolates from the global enteric multicenter study inform vaccine development. Clin. Infect. Dis. 2014, 59, 933–941. [Google Scholar] [CrossRef]
- Kotloff, K.L.; Riddle, M.S.; Platts-Mills, J.A.; Pavlinac, P.; Zaidi, A.K.M. Shigellosis. Lancet 2018, 391, 801–812. [Google Scholar] [CrossRef]
- Vinh, H.; Nhu, N.T.; Nga, T.V.; Duy, P.T.; Campbell, J.I.; Hoang, N.V.; Boni, M.F.; My, P.V.; Parry, C.; Nga, T.T.; et al. A changing picture of shigellosis in southern Vietnam: Shifting species dominance, antimicrobial susceptibility and clinical presentation. BMC Infect. Dis. 2009, 9, 204. [Google Scholar] [CrossRef]
- Khatun, F.; Faruque, A.S.; Koeck, J.L.; Olliaro, P.; Millet, P.; Paris, N.; Malek, M.A.; Salam, M.A.; Luby, S. Changing species distribution and antimicrobial susceptibility pattern of Shigella over a 29-year period (1980–2008). Epidemiol. Infect. 2011, 139, 446–452. [Google Scholar] [CrossRef]
- Thompson, C.N.; Duy, P.T.; Baker, S. The Rising Dominance of Shigella sonnei: An Intercontinental Shift in the Etiology of Bacillary Dysentery. PLoS Negl. Trop. Dis. 2015, 9, e0003708. [Google Scholar] [CrossRef]
- Ferreccio, C.; Prado, V.; Ojeda, A.; Cayyazo, M.; Abrego, P.; Guers, L.; Levine, M.M. Epidemiologic patterns of acute diarrhea and endemic Shigella infections in children in a poor periurban setting in Santiago, Chile. Am. J. Epidemiol. 1991, 134, 614–627. [Google Scholar] [CrossRef]
- Cohen, D.; Meron-Sudai, S.; Bialik, A.; Asato, V.; Goren, S.; Ariel-Cohen, O.; Reizis, A.; Hochberg, A.; Ashkenazi, S. Serum IgG antibodies to Shigella lipopolysaccharide antigens—A correlate of protection against shigellosis. Hum. Vaccin. Immunother. 2019, 15, 1401–1408. [Google Scholar] [CrossRef]
- Bassal, R.; Cohen, D.; Green, M.S.; Keinan-Boker, L. The Israel National Sera Bank: Methods, Representativeness, and Challenges. Int. J. Environ. Res. Public. Health 2021, 18, 2280. [Google Scholar] [CrossRef] [PubMed]
- Cbo, S. Characterization and Classification of Geographical Units by the Socio-Economic Level of the Population. 2017. [Google Scholar]
- Cohen, D.; Block, C.; Green, M.S.; Lowell, G.; Ofek, I. Immunoglobulin M, A, and G antibody response to lipopolysaccharide O antigen in symptomatic and asymptomatic Shigella infections. J. Clin. Microbiol. 1989, 27, 162–167. [Google Scholar] [CrossRef] [PubMed]
- Gerke, C.; Colucci, A.M.; Giannelli, C.; Sanzone, S.; Vitali, C.G.; Sollai, L.; Rossi, O.; Martin, L.B.; Auerbach, J.; Di Cioccio, V.; et al. Production of a Shigella sonnei Vaccine Based on Generalized Modules for Membrane Antigens (GMMA), 1790GAHB. PLoS ONE 2015, 10, e0134478. [Google Scholar] [CrossRef] [PubMed]
- Westphal OaJ, K. Bacterial Lipopolysaccharides Extraction with Phenol-Water and Further Applications of the Procedure. Methods Carbohydr. Chem. 1965, 5, 83–91. [Google Scholar]
- Van de Verg, L.L.; Herrington, D.A.; Boslego, J.; Lindberg, A.A.; Levine, M.M. Age-specific prevalence of serum antibodies to the invasion plasmid and lipopolysaccharide antigens of Shigella species in Chilean and North American populations. J. Infect. Dis. 1992, 166, 158–161. [Google Scholar] [CrossRef]
- Raqib, R.; Qadri, F.; SarkEr, P.; Mia, S.M.; Sansonnetti, P.J.; Albert, M.J.; Andersson, J. Delayed and reduced adaptive humoral immune responses in children with shigellosis compared with in adults. Scand. J. Immunol. 2002, 55, 414–423. [Google Scholar] [CrossRef]
- Thompson, C.N.; Le, T.P.; Anders, K.L.; Nguyen, T.H.; Lu, L.V.; Nguyen, V.V.; Vu, T.D.; Nguyen, N.M.; Tran, T.H.; Ha, T.T.; et al. The transfer and decay of maternal antibody against Shigella sonnei in a longitudinal cohort of Vietnamese infants. Vaccine 2016, 34, 783–790. [Google Scholar] [CrossRef]
- Chisenga, C.C.; Bosomprah, S.; Simuyandi, M.; Mwila-Kazimbaya, K.; Chilyabanyama, O.N.; Laban, N.M.; Bialik, A.; Asato, V.; Meron-Sudai, S.; Frankel, G.; et al. Shigella-specific antibodies in the first year of life among Zambian infants: A longitudinal cohort study. PLoS ONE 2021, 16, e0252222. [Google Scholar] [CrossRef] [PubMed]
- Achi, R.; Mata, L.; Lindberg, A.A. Serum antibody titres to Shigella lipopolysaccharides and invasion plasmid antigens in healthy Costa Rican and Swedish women. Scand. J. Infect. Dis. 1994, 26, 329–337. [Google Scholar] [CrossRef] [PubMed]
- Hasin, T.; Dagan, R.; Boutboul, G.; Derazne, E.; Atias, O.; Cohen, D. Socioeconomic correlates of antibody levels to enteric pathogens among Israeli adolescents. Epidemiol. Infect. 2007, 135, 118–125. [Google Scholar] [CrossRef] [PubMed]
- DuPont, H.L.; Levine, M.M.; Hornick, R.B.; Formal, S.B. Inoculum size in shigellosis and implications for expected mode of transmission. J. Infect. Dis. 1989, 159, 1126–1128. [Google Scholar] [CrossRef] [PubMed]
- Farag, T.H.; Faruque, A.S.; Wu, Y.; Das, S.K.; Hossain, A.; Ahmed, S.; Ahmed, D.; Nasrin, D.; Kotloff, K.L.; Panchilangam, S.; et al. Housefly population density correlates with shigellosis among children in Mirzapur, Bangladesh: A time series analysis. PLoS Negl. Trop. Dis. 2013, 7, e2280. [Google Scholar] [CrossRef] [PubMed]
- George, C.M.; Ahmed, S.; Talukder, K.A.; Azmi, I.J.; Perin, J.; Sack, R.B.; Sack, D.A.; Stine, O.C.; Oldja, L.; Shahnaij, M.; et al. Shigella Infections in Household Contacts of Pediatric Shigellosis Patients in Rural Bangladesh. Emerg. Infect. Dis. 2015, 21, 2006–2013. [Google Scholar] [CrossRef] [PubMed]
- Robbins, J.B.; Chu, C.; Schneerson, R. Hypothesis for vaccine development: Protective immunity to enteric diseases caused by nontyphoidal salmonellae and shigellae may be conferred by serum IgG antibodies to the O-specific polysaccharide of their lipopolysaccharides. Clin. Infect. Dis. 1992, 15, 346–361. [Google Scholar] [CrossRef] [PubMed]
- Robbins, J.B.; Schneerson, R.; Szu, S.C. Perspective: Hypothesis: Serum IgG antibody is sufficient to confer protection against infectious diseases by inactivating the inoculum. J. Infect. Dis. 1995, 171, 1387–1398. [Google Scholar] [CrossRef]
- Kotloff, K.L.; Nataro, J.P.; Blackwelder, W.C.; Nasrin, D.; Farag, T.H.; Panchalingam, S.; Wu, Y.; Sow, S.O.; Sur, D.; Breiman, R.F.; et al. Burden and aetiology of diarrhoeal disease in infants and young children in developing countries (the Global Enteric Multicenter Study, GEMS): A prospective, case-control study. Lancet 2013, 382, 209–222. [Google Scholar] [CrossRef] [PubMed]
- Ndungo, E.; Andronescu, L.R.; Buchwald, A.G.; Lemme-Dumit, J.M.; Mawindo, P.; Kapoor, N.; Fairman, J.; Laufer, M.K.; Pasetti, M.F. Repertoire of Naturally Acquired Maternal Antibodies Transferred to Infants for Protection Against Shigellosis. Front. Immunol. 2021, 12, 725129. [Google Scholar] [CrossRef] [PubMed]
- Timens, W.; Boes, A.; Rozeboom-Uiterwijk, T.; Poppema, S. Immaturity of the human splenic marginal zone in infancy. Possible contribution to the deficient infant immune response. J. Immunol. 1989, 143, 3200–3206. [Google Scholar] [CrossRef] [PubMed]
- Siegrist, C.A.; Aspinall, R. B-cell responses to vaccination at the extremes of age. Nat. Rev. Immunol. 2009, 9, 185–194. [Google Scholar] [CrossRef]
- Goldschneider, I.; Gotschlich, E.C.; Artenstein, M.S. Human immunity to the meningococcus. I. The role of humoral antibodies. J. Exp. Med. 1969, 129, 1307–1326. [Google Scholar] [CrossRef]


| Characteristic | N (%) | ||
|---|---|---|---|
| Age | |||
| 0–3 months | 118 (10.8) | ||
| 4–11 months | 358 (32.7) | ||
| 1–4 years | 320 (29.2) | ||
| 5–14 years | 200 (18.2) | ||
| 15–19 years | 100 (9.1) | ||
| Years, Mean (SD) | 4.5 (5.4) | ||
| Sex | |||
| Males | 575 (52.5) | ||
| Females | 521 (47.5) | ||
| Population group | |||
| Jews | 550 (50.2) | ||
| Arabs | 546 (49.8) | ||
| Socioeconomic status (cluster) and population group | All | Jews | Arabs |
| Low (Clusters 1–2) | 491 (44.8) | 89 (18.1) | 402 (81.9) |
| High (Clusters 3–10) | 605 (55.2) | 461 (61.7) | 144 (38.3) |
| Factors | N | GM | 95%CI | N (%), Cutoff ≥ 4.5 EUs | p Value * | Unadjusted OR (95% CI) | p Value # |
|---|---|---|---|---|---|---|---|
| Age | <0.001 | ||||||
| <1 year | 476 | 0.12 | 0.10–0.14 | 5 (1.1) | Reference | ||
| 0–3 months | 118 | 0.58 | 0.45–0.75 | 5 (4.2) | |||
| 4–11 months | 358 | 0.07 | 0.06–0.09 | 0 (0.0) | |||
| 1–4 years | 320 | 0.33 | 0.27–0.40 | 24 (7.5) | 7.64 (2.88–20.24) | <0.001 | |
| 5–14 years | 200 | 1.45 | 1.17–1.80 | 48 (24.0) | 29.75 (11.63–76.08) | <0.001 | |
| 15–19 years | 100 | 2.37 | 1.77–3.18 | 36 (36.0) | 52.99 (20.06–139.94) | <0.001 | |
| Sex | 0.041 | ||||||
| Males | 575 | 0.30 | 0.25–0.35 | 49 (8.5) | Reference | - | |
| Females | 521 | 0.39 | 0.32–0.46 | 64 (12.3) | 1.50 (1.02–2.23) | 0.042 | |
| Population group | <0.001 | ||||||
| Jews | 550 | 0.27 | 0.22–0.31 | 40 (7.3) | Reference | - | |
| Arabs | 546 | 0.43 | 0.36–0.51 | 73 (13.4) | 1.97 (1.31–2.95) | 0.001 | |
| Socioeconomic status | <0.001 | ||||||
| Clusters 1–2 | 491 | 0.47 | 0.39–0.57 | 78 (15.9) | 3.08 (2.02–4.67) | <0.001 | |
| Clusters 3–10 | 605 | 0.25 | 0.22–0.30 | 35 (5.8) | Reference | - | |
| Factors | Model 1 | Model 2 | Model 3 | |||
|---|---|---|---|---|---|---|
| Adjusted OR (95% CI) | p Value | Adjusted OR (95% CI) | p Value | Adjusted OR (95% CI) | p Value | |
| Age | ||||||
| <1 year | Reference | - | Reference | - | Reference | - |
| 1–4 years | 7.49 (2.82–19.88) | <0.001 | 6.72 (2.53–17.87) | <0.001 | 6.71 (2.52–17.86) | <0.001 |
| 5–14 years | 30.06 (11.72–77.13) | <0.001 | 27.71 (10.79–71.18) | <0.001 | 27.68 (10.77–71.13) | <0.001 |
| 15–19 years | 54.77 (20.62–145.49) | <0.001 | 48.62 (18.28–129.31) | <0.001 | 48.62 (18.28–129.30) | <0.001 |
| Sex | ||||||
| Male | Reference | 0.087 | Reference | 0.086 | Reference | 0.086 |
| Female | 1.45 (0.95–2.24) | 1.46 (0.95–2.25) | 1.46 (0.95–2.25) | |||
| Population group | ||||||
| Jews | Reference | <0.001 | - | - | Reference | 0.942 |
| Arabs | 2.20 (1.42–3.42) | - | 1.03 (0.52–2.02) | |||
| Socioeconomic status | ||||||
| Clusters 1–2 | - | - | 2.79 (1.78–4.38) | <0.001 | 2.73 (1.37–5.46) | 0.004 |
| Clusters 3–10 | - | - | Reference | Reference | ||
Disclaimer/Publisher’s Note: The statements, opinions and data contained in all publications are solely those of the individual author(s) and contributor(s) and not of MDPI and/or the editor(s). MDPI and/or the editor(s) disclaim responsibility for any injury to people or property resulting from any ideas, methods, instructions or products referred to in the content. |
© 2024 by the authors. Licensee MDPI, Basel, Switzerland. This article is an open access article distributed under the terms and conditions of the Creative Commons Attribution (CC BY) license (https://creativecommons.org/licenses/by/4.0/).
Share and Cite
Asato, V.; Bassal, R.; Meron-Sudai, S.; Goren, S.; Keinan-Boker, L.; MacLennan, C.A.; Cohen, D. IgG Serum Antibodies to Shigella sonnei Lipopolysaccharide Are Inversely Associated with the Incidence of Culture-Proven S. sonnei Shigellosis in Israeli Children and Adolescents. Vaccines 2024, 12, 239. https://doi.org/10.3390/vaccines12030239
Asato V, Bassal R, Meron-Sudai S, Goren S, Keinan-Boker L, MacLennan CA, Cohen D. IgG Serum Antibodies to Shigella sonnei Lipopolysaccharide Are Inversely Associated with the Incidence of Culture-Proven S. sonnei Shigellosis in Israeli Children and Adolescents. Vaccines. 2024; 12(3):239. https://doi.org/10.3390/vaccines12030239
Chicago/Turabian StyleAsato, Valeria, Ravit Bassal, Shiri Meron-Sudai, Sophy Goren, Lital Keinan-Boker, Calman A. MacLennan, and Dani Cohen. 2024. "IgG Serum Antibodies to Shigella sonnei Lipopolysaccharide Are Inversely Associated with the Incidence of Culture-Proven S. sonnei Shigellosis in Israeli Children and Adolescents" Vaccines 12, no. 3: 239. https://doi.org/10.3390/vaccines12030239
APA StyleAsato, V., Bassal, R., Meron-Sudai, S., Goren, S., Keinan-Boker, L., MacLennan, C. A., & Cohen, D. (2024). IgG Serum Antibodies to Shigella sonnei Lipopolysaccharide Are Inversely Associated with the Incidence of Culture-Proven S. sonnei Shigellosis in Israeli Children and Adolescents. Vaccines, 12(3), 239. https://doi.org/10.3390/vaccines12030239

