NADPH Oxidase 2 Mediates Myocardial Oxygen Wasting in Obesity
Abstract
1. Introduction
2. Materials and Methods
2.1. Animals
2.2. Plasma Parameters
2.3. Isolated Heart Perfusions
2.4. Assessment of ROS Production in Myocardial Tissue
2.5. Mitochondrial Function and ROS Production
2.6. Real-Time Quantitative PCR
2.7. Statistical Analysis
3. Results
3.1. Effect of NOX2 Ablation and Inhibition on Obesity, Glucose Tolerance and Inflammatory Status
3.2. Effects of Obesity and NOX Inhibition on Myocardial Reactive Oxygen Species
3.3. Effects of NOX2 Ablation and Inhibition on Ventricular Function
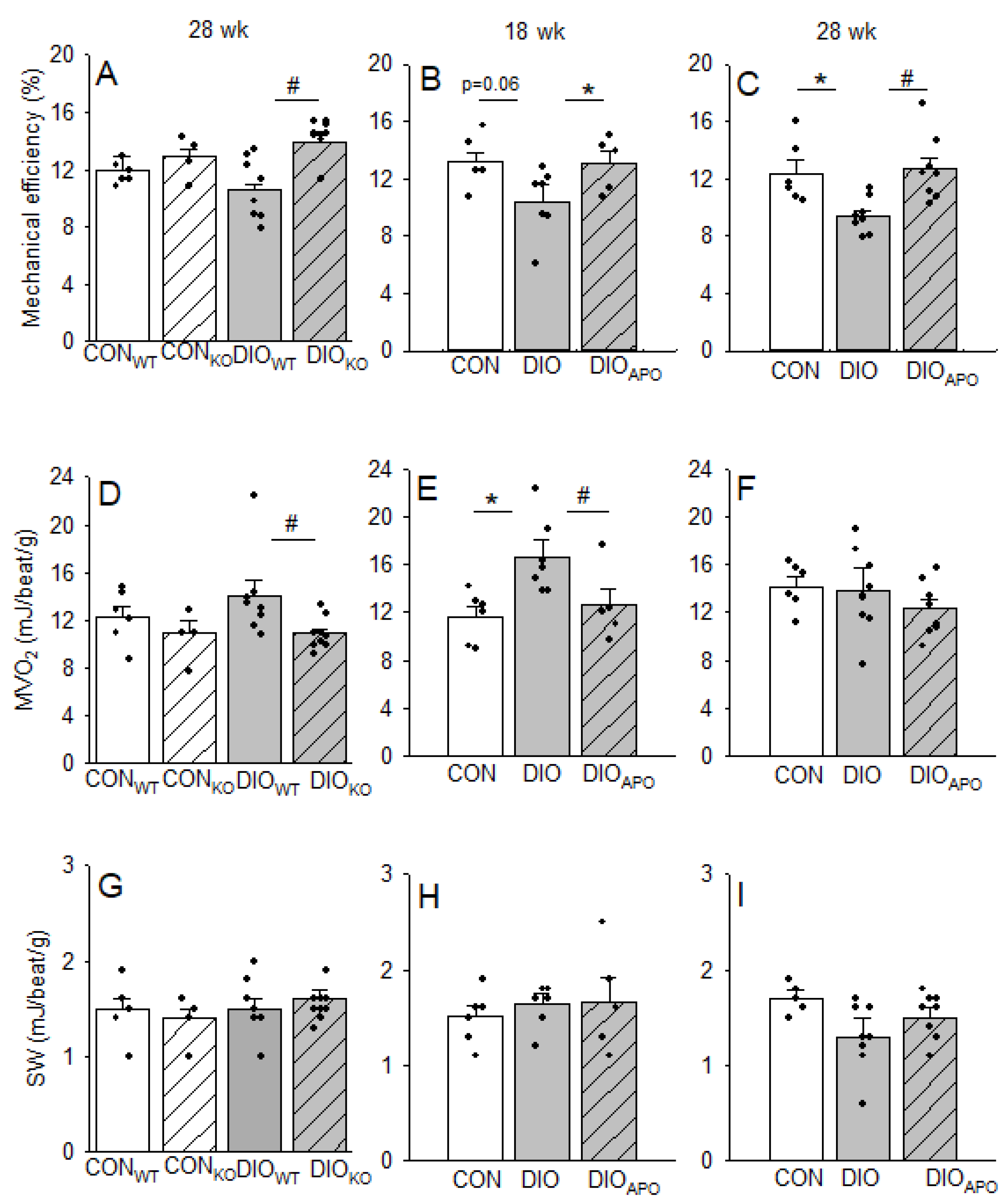
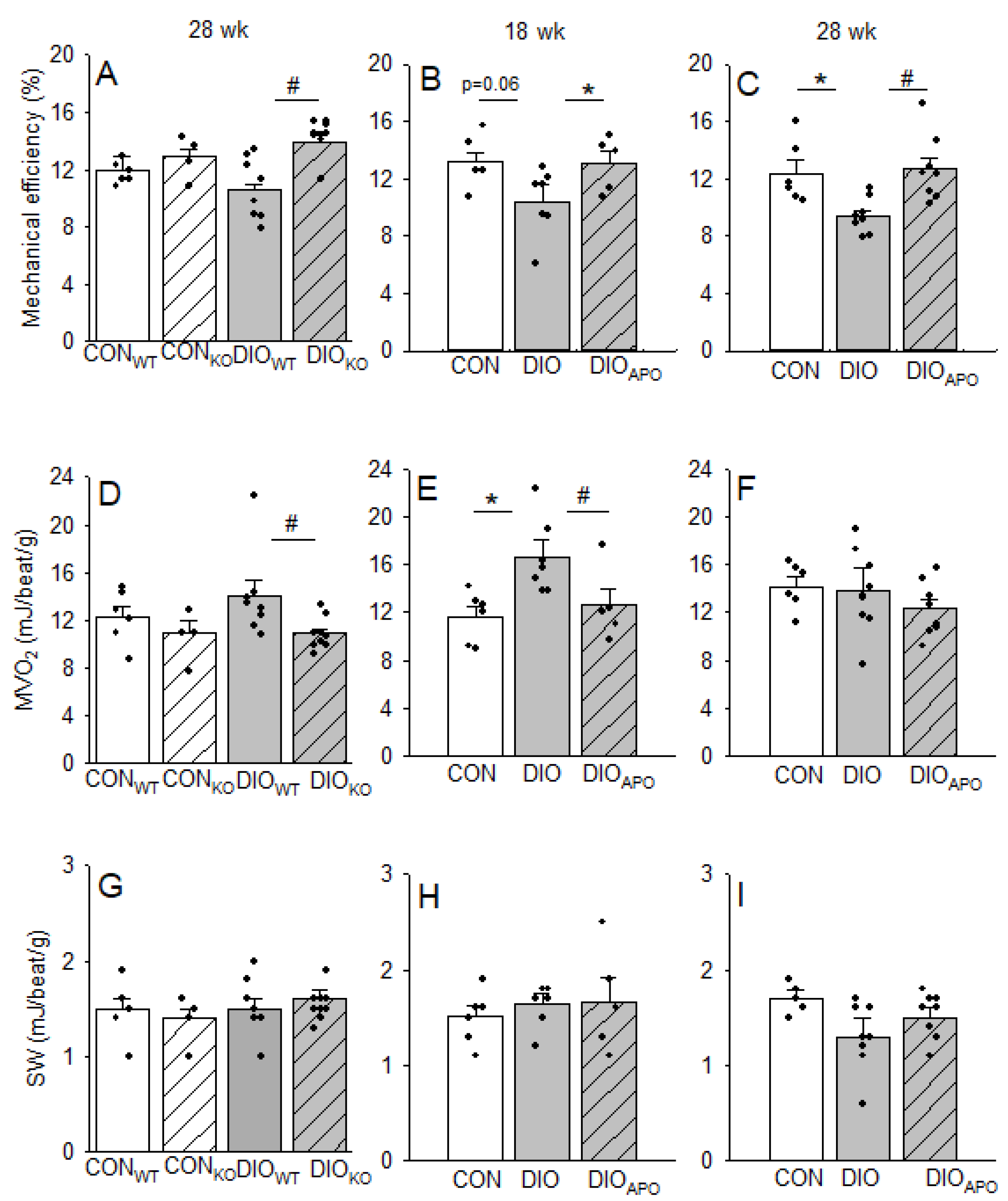
3.4. Effects of NOX2 Ablation and Inhibition on Myocardial Energetics
3.5. Effects of NOX2 Inhibition on Myocardial Substrate Utilization and Mitochondrial Function
4. Discussion
5. Conclusions
Author Contributions
Funding
Acknowledgments
Conflicts of Interest
References
- Kannel, W.B.; Hjortland, M.; Castelli, W.P. Role of diabetes in congestive heart failure: The Framingham study. Am. J. Cardiol. 1974, 34, 29–34. [Google Scholar] [CrossRef]
- Fein, F.S.; Sonnenblick, E.H. Diabetic cardiomyopathy. Cardiovasc. Drugs Ther. 1994, 8, 65–73. [Google Scholar] [CrossRef] [PubMed]
- Anderson, E.J.; Kypson, A.P.; Rodriguez, E.; Anderson, C.A.; Lehr, E.J.; Neufer, P.D. Substrate-specific derangements in mitochondrial metabolism and redox balance in the atrium of the type 2 diabetic human heart. J. Am. Coll. Cardiol. 2009, 54, 1891–1898. [Google Scholar] [CrossRef] [PubMed]
- Giacco, F.; Brownlee, M. Oxidative stress and diabetic complications. Circ. Res. 2010, 107, 1058–1070. [Google Scholar] [CrossRef] [PubMed]
- Anilkumar, N.; Weber, R.; Zhang, M.; Brewer, A.; Shah, A.M. Nox4 and nox2 NADPH oxidases mediate distinct cellular redox signaling responses to agonist stimulation. Arterioscler. Thromb. Vasc. Biol. 2008, 28, 1347–1354. [Google Scholar] [CrossRef] [PubMed]
- Nabeebaccus, A.; Zhang, M.; Shah, A.M. NADPH oxidases and cardiac remodelling. Heart Fail. Rev. 2011, 16, 5–12. [Google Scholar] [CrossRef] [PubMed]
- Hansen, S.S.; Aasum, E.; Hafstad, A.D. The role of NADPH oxidases in diabetic cardiomyopathy. Biochim. Biophys. Acta Mol. Basis Dis. 2018, 1864, 1908–1913. [Google Scholar] [CrossRef]
- Shen, E.; Li, Y.; Li, Y.; Shan, L.; Zhu, H.; Feng, Q.; Arnold, J.M.O.; Peng, T. Rac1 is required for cardiomyocyte apoptosis during hyperglycemia. Diabetes 2009, 58, 2386–2395. [Google Scholar] [CrossRef] [PubMed]
- Li, J.; Zhu, H.; Shen, E.; Wan, L.; Arnold, J.M.O.; Peng, T. Deficiency of rac1 blocks NADPH oxidase activation, inhibits endoplasmic reticulum stress, and reduces myocardial remodeling in a mouse model of type 1 diabetes. Diabetes 2010, 59, 2033–2042. [Google Scholar] [CrossRef] [PubMed]
- Nishio, S.; Teshima, Y.; Takahashi, N.; Thuc, L.C.; Saito, S.; Fukui, A.; Kume, O.; Fukunaga, N.; Hara, M.; Nakagawa, M. Activation of CaMKII as a key regulator of reactive oxygen species production in diabetic rat heart. J. Mol. Cell. Cardiol. 2012, 52, 1103–1111. [Google Scholar] [CrossRef] [PubMed]
- Roe, N.; Thomas, D.; Ren, J. Inhibition of NADPH oxidase alleviates experimental diabetes-induced myocardial contractile dysfunction. Diabetes Obes. Metab. 2011, 13, 465–473. [Google Scholar] [CrossRef]
- Fukuda, M.; Nakamura, T.; Kataoka, K.; Nako, H.; Tokutomi, Y.; Dong, Y.-F.; Yasuda, O.; Ogawa, H.; Kim-Mitsuyama, S. Ezetimibe ameliorates cardiovascular complications and hepatic steatosis in obese and type 2 diabetic db/db mice. J. Pharmacol. Exp. Ther. 2010, 335, 70–75. [Google Scholar] [CrossRef]
- Gharib, M.; Tao, H.; Fungwe, T.V.; Hajri, T. Cluster Differentiating 36 (CD36) deficiency attenuates obesity-associated oxidative stress in the heart. PLoS ONE 2016, 11, e0155611. [Google Scholar] [CrossRef]
- Jaishy, B.; Zhang, Q.; Chung, H.S.; Riehle, C.; Soto, J.; Jenkins, S.; Abel, P.; Cowart, L.A.; Van Eyk, J.E.; Abel, E.D. Lipid-induced NOX2 activation inhibits autophagic flux by impairing lysosomal enzyme activity. J. Lipid Res. 2015, 56, 546–561. [Google Scholar] [CrossRef]
- Aasum, E.; Hafstad, A.D.; Severson, D.L.; Larsen, T.S. Age-dependent changes in metabolism, contractile function, and ischemic sensitivity in hearts from db/db mice. Diabetes 2003, 52, 434–441. [Google Scholar] [CrossRef]
- Belke, D.D.; Larsen, T.S.; Gibbs, E.M.; Severson, D.L. Altered metabolism causes cardiac dysfunction in perfused hearts from diabetic (db/db) mice. Am. J. Physiol. Endocrinol. Metab. 2000, 279, E1104–E1113. [Google Scholar] [CrossRef]
- Peterson, L.R.; Herrero, P.; Schechtman, K.B.; Racette, S.B.; Waggoner, A.D.; Kisrieva-Ware, Z.; Dence, C.; Klein, S.; Marsala, J.; Meyer, T. Effect of obesity and insulin resistance on myocardial substrate metabolism and efficiency in young women. Circulation 2004, 109, 2191–2196. [Google Scholar] [CrossRef]
- Scheuermann-Freestone, M.; Madsen, P.L.; Manners, D.; Blamire, A.M.; Buckingham, R.E.; Styles, P.; Radda, G.K.; Neubauer, S.; Clarke, K. Abnormal cardiac and skeletal muscle energy metabolism in patients with type 2 diabetes. Circulation 2003, 107, 3040–3046. [Google Scholar] [CrossRef]
- How, O.-J.; Aasum, E.; Kunnathu, S.; Severson, D.L.; Myhre, E.S.; Larsen, T.S. Influence of substrate supply on cardiac efficiency, as measured by pressure-volume analysis in ex vivo mouse hearts. Am. J. Physiol. Heart Circ. Physiol. 2005, 288, H2979–H2985. [Google Scholar] [CrossRef]
- Boardman, N.; Hafstad, A.D.; Larsen, T.S.; Severson, D.L.; Aasum, E. Increased O2 cost of basal metabolism and excitation-contraction coupling in hearts from type 2 diabetic mice. Am. J. Physiol. Heart Circ. Physiol. 2009, 296, H1373–H1379. [Google Scholar] [CrossRef]
- Hafstad, A.D.; Khalid, A.M.; How, O.-J.; Larsen, T.S.; Aasum, E. Glucose and insulin improve cardiac efficiency and postischemic functional recovery in perfused hearts from type 2 diabetic (db/db) mice. Am. J. Physiol. Endocrinol. Metab. 2007, 292, E1288–E1294. [Google Scholar] [CrossRef]
- Boardman, N.T.; Hafstad, A.D.; Lund, J.; Rossvoll, L.; Aasum, E. Exercise of obese mice induces cardioprotection and oxygen sparing in hearts exposed to high-fat load. Am. J. Physiol. Heart Circ. Physiol. 2017, 313, H1054–H1062. [Google Scholar] [CrossRef]
- Hafstad, A.D.; Lund, J.; Hadler-Olsen, E.; Höper, A.C.; Larsen, T.S.; Aasum, E. High-and moderate-intensity training normalizes ventricular function and mechanoenergetics in mice with diet-induced obesity. Diabetes 2013, 62, 2287–2294. [Google Scholar] [CrossRef]
- Boudina, S.; Sena, S.; O’Neill, B.T.; Tathireddy, P.; Young, M.E.; Abel, E.D. Reduced mitochondrial oxidative capacity and increased mitochondrial uncoupling impair myocardial energetics in obesity. Circulation 2005, 112, 2686–2695. [Google Scholar] [CrossRef]
- Joseph, L.C.; Barca, E.; Subramanyam, P.; Komrowski, M.; Pajvani, U.; Colecraft, H.M.; Hirano, M.; Morrow, J.P. Inhibition of NAPDH oxidase 2 (NOX2) prevents oxidative stress and mitochondrial abnormalities caused by saturated fat in cardiomyocytes. PLoS ONE 2016, 11, e0145750. [Google Scholar] [CrossRef]
- Zhang, M.; Prosser, B.L.; Bamboye, M.A.; Gondim, A.N.; Santos, C.X.; Martin, D.; Ghigo, A.; Perino, A.; Brewer, A.C.; Ward, C.W. Contractile Function During Angiotensin-II Activation. J. Am. Coll. Cardiol. 2015, 66, 261–272. [Google Scholar] [CrossRef]
- Roussel, J.; Thireau, J.; Brenner, C.; Saint, N.; Scheuermann, V.; Lacampagne, A.; Le Guennec, J.-Y.; Fauconnier, J. Palmitoyl-carnitine increases RyR2 oxidation and sarcoplasmic reticulum Ca2+ leak in cardiomyocytes: Role of adenine nucleotide translocase. Biochim. Biophys. Acta Mol. Basis Dis. 2015, 1852, 749–758. [Google Scholar] [CrossRef]
- Valdés, Á.; Treuer, A.; Barrios, G.; Ponce, N.; Fuentealba, R.; Dulce, R.; González, D. Nox inhibition improves β-adrenergic stimulated contractility and intracellular calcium handling in the aged rat heart. Int. J. Mol. Sci. 2018, 19, 2404. [Google Scholar] [CrossRef]
- Joseph, L.C.; Kokkinaki, D.; Valenti, M.-C.; Kim, G.J.; Barca, E.; Tomar, D.; Hoffman, N.E.; Subramanyam, P.; Colecraft, H.M.; Hirano, M. Inhibition of NADPH oxidase 2 (NOX2) prevents sepsis-induced cardiomyopathy by improving calcium handling and mitochondrial function. JCI Insight 2017, 2, e94248. [Google Scholar] [CrossRef]
- Meng, R.; Zhu, D.-L.; Bi, Y.; Yang, D.-H.; Wang, Y.-P. Apocynin improves insulin resistance through suppressing inflammation in high-fat diet-induced obese mice. Med. Inflamm. 2010, 2010, 9. [Google Scholar] [CrossRef]
- Matthews, D.; Hosker, J.; Rudenski, A.; Naylor, B.; Treacher, D.; Turner, R. Homeostasis model assessment: Insulin resistance and β-cell function from fasting plasma glucose and insulin concentrations in man. Diabetologia 1985, 28, 412–419. [Google Scholar] [CrossRef]
- Laurindo, F.R.; Fernandes, D.C.; Santos, C.X. Chapter thirteen-assessment of superoxide production and nadph oxidase activity by hplc analysis of dihydroethidium oxidation products. Methods Enzymol. 2008, 441, 237–260. [Google Scholar]
- Palmer, J.W.; Tandler, B.; Hoppel, C.L. Biochemical properties of subsarcolemmal and interfibrillar mitochondria isolated from rat cardiac muscle. J. Biol. Chem. 1977, 252, 8731–8739. [Google Scholar]
- Lund, J.; Hafstad, A.D.; Boardman, N.T.; Rossvoll, L.; Rolim, N.P.; Ahmed, M.S.; Florholmen, G.; Attramadal, H.; Wisløff, U.; Larsen, T.S. Exercise training promotes cardioprotection through oxygen-sparing action in high fat-fed mice. Am. J. Physiol. Heart Circ. Physiol. 2015, 308, H823–H829. [Google Scholar] [CrossRef]
- How, O.-J.; Aasum, E.; Severson, D.L.; Chan, W.A.; Essop, M.F.; Larsen, T.S. Increased myocardial oxygen consumption reduces cardiac efficiency in diabetic mice. Diabetes 2006, 55, 466–473. [Google Scholar] [CrossRef]
- Pepping, J.K.; Freeman, L.R.; Gupta, S.; Keller, J.N.; Bruce-Keller, A.J. NOX2 deficiency attenuates markers of adiposopathy and brain injury induced by high-fat diet. Am. J. Physiol. Endocrinol. Metab. 2012, 304, E392–E404. [Google Scholar] [CrossRef]
- Du, J.; Fan, L.M.; Mai, A.; Li, J.M. Crucial roles of N ox2-derived oxidative stress in deteriorating the function of insulin receptors and endothelium in dietary obesity of middle-aged mice. Br. J. Pharmacol. 2013, 170, 1064–1077. [Google Scholar] [CrossRef]
- Meng, R.; Zhu, D.-L.; Bi, Y.; Yang, D.-H.; Wang, Y.-P. Anti-oxidative effect of apocynin on insulin resistance in high-fat diet mice. Ann. Clin. Lab. Sci. 2011, 41, 236–243. [Google Scholar]
- De Figueiredo, A.S.P.; Salmon, A.B.; Bruno, F.; Jimenez, F.; Martinez, H.G.; Halade, G.V.; Ahuja, S.S.; Clark, R.A.; DeFronzo, R.A.; Abboud, H.E. Nox2 mediates skeletal muscle insulin resistance induced by a high fat diet. J. Biol. Chem. 2015, 290, 13427–13439. [Google Scholar] [CrossRef]
- García-Ruiz, I.; Solís-Muñoz, P.; Fernández-Moreira, D.; Grau, M.; Muñoz-Yagüe, T.; Solís-Herruzo, J.A. NADPH oxidase is implicated in the pathogenesis of oxidative phosphorylation dysfunction in mice fed a high-fat diet. Sci. Rep. 2016, 6, 23664. [Google Scholar] [CrossRef]
- Costford, S.R.; Castro-Alves, J.; Chan, K.L.; Bailey, L.J.; Woo, M.; Belsham, D.D.; Brumell, J.H.; Klip, A. Mice lacking NOX2 are hyperphagic and store fat preferentially in the liver. Am. J. Physiol. Endocrinol. Metab. 2014, 306, E1341–E1353. [Google Scholar] [CrossRef]
- Huynh, K.; Kiriazis, H.; Du, X.-J.; Love, J.E.; Gray, S.P.; Jandeleit-Dahm, K.A.; McMullen, J.R.; Ritchie, R.H. Targeting the upregulation of reactive oxygen species subsequent to hyperglycemia prevents type 1 diabetic cardiomyopathy in mice. Free Radic. Biol. Med. 2013, 60, 307–317. [Google Scholar] [CrossRef]
- Guo, Z.; Qi, W.; Yu, Y.; Du, S.; Wu, J.; Liu, J. Effect of exenatide on the cardiac expression of adiponectin receptor 1 and NADPH oxidase subunits and heart function in streptozotocin-induced diabetic rats. Diabetol. Metab. Syndr. 2014, 6, 29. [Google Scholar] [CrossRef]
- Joseph, L.C.; Avula, U.M.R.; Wan, E.Y.; Reyes, M.V.; Lakkadi, K.R.; Subramanyam, P.; Nakanishi, K.; Homma, S.; Muchir, A.; Pajvani, U.B. Dietary saturated fat promotes arrhythmia by activating NOX2 (nadph oxidase 2). Circ. Arrhythm. Electrophysiol. 2019, 12, e007573. [Google Scholar] [CrossRef]
- Grieve, D.J.; Byrne, J.A.; Siva, A.; Layland, J.; Johar, S.; Cave, A.C.; Shah, A.M. Involvement of the nicotinamide adenosine dinucleotide phosphate oxidase isoform Nox2 in cardiac contractile dysfunction occurring in response to pressure overload. J. Am. Coll. Cardiol. 2006, 47, 817–826. [Google Scholar] [CrossRef]
- Boardman, N.T.; Rossvoll, L.; Lund, J.; Hafstad, A.D.; Aasum, E. 3-Weeks of Exercise Training Increases Ischemic-Tolerance in Hearts from High-Fat Diet Fed Mice. Front. Physiol. 2019, 10, 1274. [Google Scholar] [CrossRef]
- Kuster, G.M.; Lancel, S.; Zhang, J.; Communal, C.; Trucillo, M.P.; Lim, C.C.; Pfister, O.; Weinberg, E.O.; Cohen, R.A.; Liao, R. Redox-mediated reciprocal regulation of SERCA and Na+–Ca2+ exchanger contributes to sarcoplasmic reticulum Ca 2+ depletion in cardiac myocytes. Free Radic. Biol. Med. 2010, 48, 1182–1187. [Google Scholar] [CrossRef]
- Belke, D.D.; Dillmann, W.H. Altered cardiac calcium handling in diabetes. Curr. Hypertens. Rep. 2004, 6, 424–429. [Google Scholar] [CrossRef]
- Stølen, T.O.; Høydal, M.A.; Kemi, O.J.; Catalucci, D.; Ceci, M.; Aasum, E.; Larsen, T.; Rolim, N.; Condorelli, G.; Smith, G.L. Interval training normalizes cardiomyocyte function, diastolic Ca2+ control, and SR Ca2+ release synchronicity in a mouse model of diabetic cardiomyopathy. Circ. Res. 2009, 105, 527–536. [Google Scholar] [CrossRef]
- Opie, L.H. Heart Physiology: From Cell to Circulation; Lippincott Williams & Wilkins: Philadelphia, PA, USA, 2004. [Google Scholar]
- Boardman, N.T.; Larsen, T.S.; Severson, D.L.; Essop, M.F.; Aasum, E. Chronic and acute exposure of mouse hearts to fatty acids increases oxygen cost of excitation-contraction coupling. Am. J. Physiol. Heart Circ. Physiol. 2011, 300, H1631–H1636. [Google Scholar] [CrossRef]
- Hutter, J.; Piper, H.; Spieckerman, P. Effect of fatty acid oxidation on efficiency of energy production in rat heart. Am. J. Physiol. Heart Circ. Physiol. 1985, 249, H723–H728. [Google Scholar] [CrossRef]
- Heumüller, S.; Wind, S.; Barbosa-Sicard, E.; Schmidt, H.H.; Busse, R.; Schröder, K.; Brandes, R.P. Apocynin is not an inhibitor of vascular NADPH oxidases but an antioxidant. Hypertension 2008, 51, 211–217. [Google Scholar] [CrossRef]
- Kim, J.-C.; Wang, J.; Son, M.-J.; Woo, S.-H. Shear stress enhances Ca2+ sparks through Nox2-dependent mitochondrial reactive oxygen species generation in rat ventricular myocytes. Biochim. Biophys. Acta Mol. Cell Res. 2017, 1864, 1121–1131. [Google Scholar] [CrossRef]
- Echtay, K.S.; Roussel, D.; St-Pierre, J.; Jekabsons, M.B.; Cadenas, S.; Stuart, J.A.; Harper, J.A.; Roebuck, S.J.; Morrison, A.; Pickering, S. Superoxide activates mitochondrial uncoupling proteins. Nature 2002, 415, 96–99. [Google Scholar] [CrossRef]







| CONWT n = 7–9 | CONKO n = 7 | DIOWT n = 10–15 | DIOKO n = 10–16 | |
|---|---|---|---|---|
| Body weight (g) | 35.1 ± 1.8 | 35.0 ± 1.0 | 50.8 ± 1.2 * | 49.4 ±1.4 * |
| Heart weight (mg) | 158 ± 3 | 159± 4 | 177 ± 6 * | 183 ± 5 * |
| PWAT weight (g) | 0.70 ± 0.12 | 0.61 ± 0.04 | 0.21 ± 15 * | 0.22 ± 0.19 * |
| Nox2PWAT | 1.0 ± 0.2 | n.d. | 5.0 ± 1.2 * | n.d. |
| TnfαPWAT | 1.0 ± 0.2 | 0.7 ± 0.1 | 10.2 ± 2.6 * | 3.0 ± 0.6 *,# |
| Liver weight (g) | 1.7 ± 0.2 | 1.5 ± 0.1 | 2.7 ± 0.2 * | 2.6 ± 0.2 * |
| Nox2liver | 1.0 ± 0.2 | n.d. | 1.9 ± 0.3 * | n.d. |
| Tnfα liver | 1.0 ± 0.3 | 0.9 ± 0.2 | 2.9 ± 0.4 * | 2.8 ± 0.3* |
| Plasma FFA fed (μM) | 532 ± 112 | 967 ± 292 | 835 ± 96 | 1057 ± 260 |
| Blood glucose fasted (mmol/L) | 5.6 ± 0.2 | 7.0 ± 0.1 | 6.6 ± 0.5 | 7.1 ± 0.3 |
| Insulin fasted (μU/mL) | 1.7± 0.3 | 2.1 ± 0.4 | 6.5 ± 1.5 * | 4.5 ± 0.5 |
| HOMA-IR | 2 ± 1 | 3 ± 1 | 30 ± 13 * | 13 ± 3 |
| 18 Weeks of Diet | CON n = 8–11 | DIO n = 8–12 | DIOAPO n = 8–9 |
| Body weight (g) | 30.1 ± 0.4 | 42.7 ± 1.2 * | 40.1 ± 1.8 |
| Heart weight (mg) | 134 ± 3 | 144 ± 4 * | 149 ± 6 |
| PWAT weight (g) | 0.2 ± 0.2 | 1.0 ± 0.7 * | 0.8 ± 1.1 |
| Liver weight (g) | 1.1 ± 0.1 | 1.7 ± 0.2 * | 1.4 ± 0.1 |
| Plasma FFA fed (μM) | 638 ± 88 | 1086 ± 143 * | 648 ± 88 # |
| Blood glucose fasted (mM) | 4.7 ± 0.2 | 5.1 ± 0.2 | 4.7 ± 0.1 |
| Glucose tolerance test (AUC) | 603 ± 45 | 945 ± 57 * | 761 ± 52 # |
| 28 Weeks of Diet | n = 8–10 | n = 8–14 | n = 8–10 |
| Body weight (g) | 31.6 ± 0.8 | 49.9 ± 1.2 * | 46.5 ± 1.6 |
| Heart weight (mg) | 139 ± 4 | 158 ± 3 * | 154 ± 4 |
| PWAT weight (g) | 0.4 ± 0.7 | 1.4 ± 0.6 * | 1.2 ± 83 |
| Liver weight (g) | 1.1 ± 0.1 | 2.4 ± 0.2 * | 1.8 ± 0.2 # |
| Plasma FFAfed (μM) | 583 ± 44 | 637 ± 74 | 655 ± 39 |
| Blood glucose fasted (mM) | 5.6 ± 0.3 | 6.0 ± 0.3 | 5.8 ± 0.3 |
| Glucose tolerance test (AUC) | 747 ± 55 | 926 ± 50 * | 861 ± 67 |
| CONWT n = 6 | CONKO n = 5 | DIOWT n = 6–11 | DIOKO n = 8–10 | |
|---|---|---|---|---|
| Cardiac output (mL/min) | 11.6 ± 0.6 | 11.8 ± 0.9 | 10.9 ± 0.4 | 12.2 ± 0.2# |
| Coronary flow (mL/min) | 4.0 ± 0.3 | 3.5 ± 0.3 | 3.8 ± 0.3 | 3.7 ± 0.2 |
| Heart rate (bpm) | 418 ± 1 | 408 ± 10 | 419 ± 7 | 413 ± 6 |
| dP/dtmax (mmHg/sec) | 3515 ± 259 | 3093 ± 126 | 3785 ± 230 | 3806 ± 143 |
| dP/dtmin (mmHg/sec) | −2982 ± 215 | −2611 ± 106 | −3134 ± 174 | −3230 ± 110 |
| Tau Weiss (msec) | 10.8 ± 0.3 | 11.7 ± 0.3 | 11.7 ± 0.8 | 10.4 ± 0.3 # |
| LVEDP (mmHg) | 7.9 ± 0.8 | 8.6 ± 0.6 | 12.5 ± 1.2 * | 9.7 ± 0.7 # |
| LVDP (mmHg) | 59 ± 2 | 59 ± 1 | 65 ± 2 | 66 ± 2 |
| LVEDV (μL) | 105 ± 4 | 106 ± 13 | 76 ± 14 | 97 ± 4 |
| EDPVR (mmHg/µL) | 0.12 ± 0.01 | 0.14 ± 0.01 | 0.24 ± 0.04 * | 0.11 ± 0.01 # |
| PRSWi | 34.0 ± 1.1 | 28.8 ± 2.1 | 30.1 ± 2.9 | 36.7 ± 2.4 |
| 18 Weeks of Diet | CON n = 8 | DIO n = 6 | DIOAPO n = 6 |
| Aortic flow (mL/min) | 10.8 ± 0.4 | 10.1 ± 0.6 | 10.7 ± 0.1 |
| Coronary flow (mL/min) | 3.0 ± 0.2 | 3.3 ± 0.2 | 3.3 ± 0.3 |
| Heart rate (bpm) | 396 ± 11 | 359 ± 17 | 399 ± 13 |
| dP/dtmax (mmHg/sec) | 3749 ± 138 | 3925 ± 65 | 3615 ± 159 |
| dP/dtmin (mmHg/sec) | −2854 ± 105 | −2961 ± 89 | −2863 ± 131 |
| Tau Weiss (msec) | 11.0 ± 0.6 | 11.0 ± 0.4 | 11.3 ± 0.5 |
| LVEDP (mmHg) | 7.8 ± 1.1 | 8.5 ±1.1 | 9.0 ± 1.8 |
| LVDP (mmHg) | 57 ± 2 | 59 ± 2 | 57 ± 3 |
| LVEDV (μL) | 72 ± 10 | 58 ± 13 | 55 ± 14 |
| EDPVR (mmHg/µL) | 0.16 ± 0.01 | 0.19 ± 0.01 | 0.19 ± 0.04 |
| PRSWi | 29.9 ± 1.8 | 24.4 ± 1.2 | 27.4 ± 3.3 |
| 28 Weeks of Diet | n = 7 | n = 9 | n = 8 |
| Aortic flow (mL/min) | 12.5 ± 0.3 | 9.4 ± 0.9 * | 12.1 ± 0.1 # |
| Coronary flow (mL/min) | 3.2 ± 0.2 | 3.5 ± 0.2 | 3.2 ± 0.3 |
| Heart rate (bpm) | 434 ± 11 | 404 ± 9 | 415 ± 0.8 |
| dP/dtmax (mmHg/sec) | 3968 ± 50 | 3697 ± 121 * | 3935 ± 92 |
| dP/dtmin (mmHg/sec) | −3142 ± 51 | −2735 ± 116 * | −2948 ± 68 |
| Tau Weiss (msec) | 10.0 ± 0.2 | 11.3 ± 0.4 * | 10.8 ± 0.3 |
| LVEDP (mmHg) | 9.3 ± 0.6 | 10.7 ± 0.9 | 10.3 ± 0.6 |
| LVDP (mmHg) | 59 ± 1 | 56 ± 1 | 58 ± 1 |
| LVEDV (μL) | 94 ± 6 | 67 ± 8 * | 87 ± 2 # |
| EDPVR (mmHg/µL) | 0.18 ± 0.01 | 0.30 ± 0.04 * | 0.18 ± 0.02 # |
| PRSWi | 28.3 ± 2.7 | 23.7 ± 2.4 | 32.4 ± 1.5 # |
© 2020 by the authors. Licensee MDPI, Basel, Switzerland. This article is an open access article distributed under the terms and conditions of the Creative Commons Attribution (CC BY) license (http://creativecommons.org/licenses/by/4.0/).
Share and Cite
Hafstad, A.D.; Hansen, S.S.; Lund, J.; Santos, C.X.C.; Boardman, N.T.; Shah, A.M.; Aasum, E. NADPH Oxidase 2 Mediates Myocardial Oxygen Wasting in Obesity. Antioxidants 2020, 9, 171. https://doi.org/10.3390/antiox9020171
Hafstad AD, Hansen SS, Lund J, Santos CXC, Boardman NT, Shah AM, Aasum E. NADPH Oxidase 2 Mediates Myocardial Oxygen Wasting in Obesity. Antioxidants. 2020; 9(2):171. https://doi.org/10.3390/antiox9020171
Chicago/Turabian StyleHafstad, Anne D., Synne S. Hansen, Jim Lund, Celio X. C. Santos, Neoma T. Boardman, Ajay M. Shah, and Ellen Aasum. 2020. "NADPH Oxidase 2 Mediates Myocardial Oxygen Wasting in Obesity" Antioxidants 9, no. 2: 171. https://doi.org/10.3390/antiox9020171
APA StyleHafstad, A. D., Hansen, S. S., Lund, J., Santos, C. X. C., Boardman, N. T., Shah, A. M., & Aasum, E. (2020). NADPH Oxidase 2 Mediates Myocardial Oxygen Wasting in Obesity. Antioxidants, 9(2), 171. https://doi.org/10.3390/antiox9020171

