Protective Functions of β-Alanyl-L-Histidine and Glycyl-L-Histidyl-L-Lysine Glycoconjugates and Copper in Concert
Abstract
1. Introduction
2. Endogenous Histidine-Containing Peptides
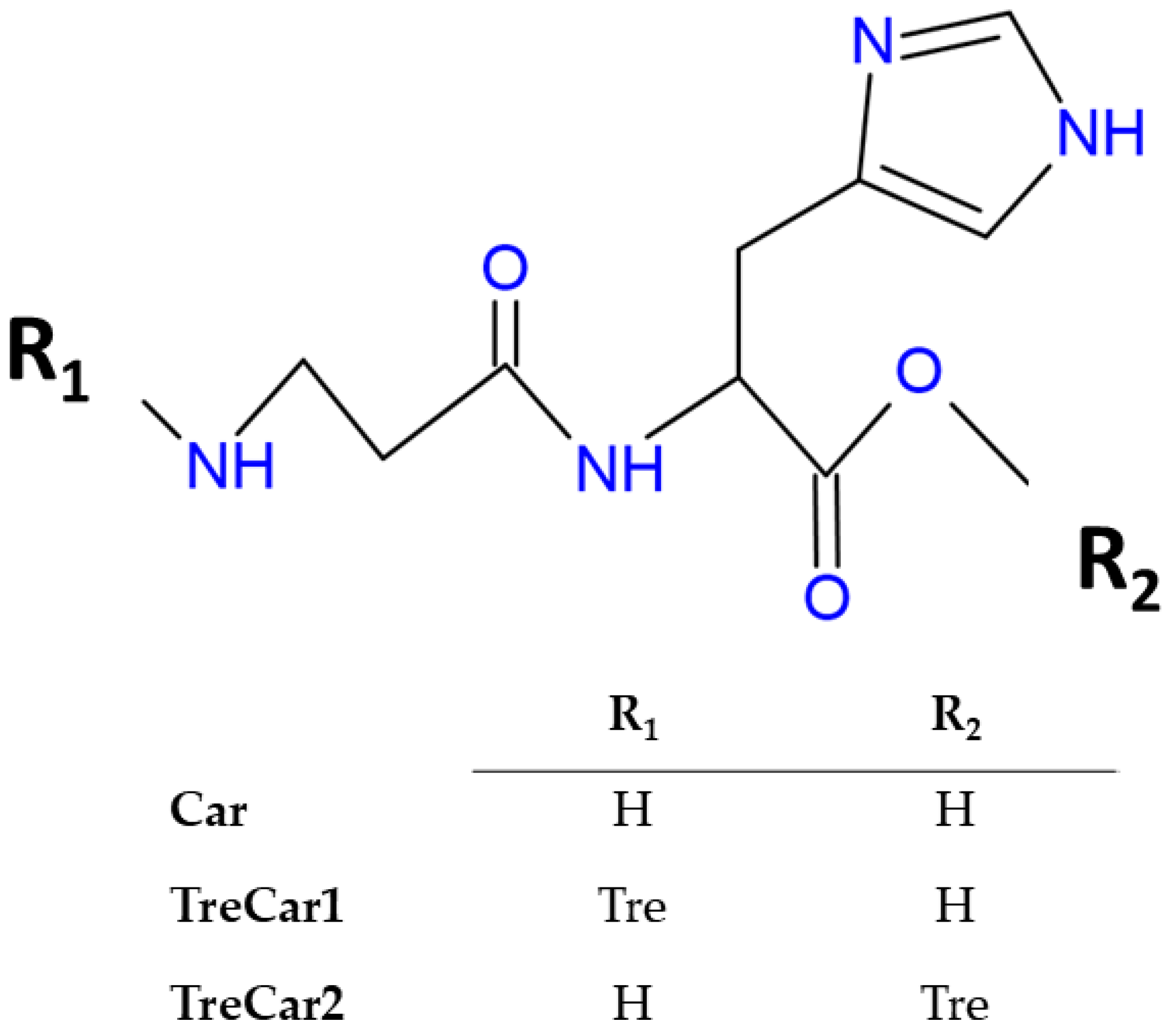
2.1. β-Alanyl-L-Histidine, Carnosine
2.2. Glycyl-L-Histidyl-L-Lysine, GHK
3. Non-Innocent Partners of β-Alanyl-L-Histidine and Glycyl-L-Histidyl-L-Lysine Glycoconjugates
3.1. Trehalose
3.2. Hyaluronic Acid
4. Biological Features of Glycoconjugates
4.1. Glycoconjugates with Trehalose
4.2. Glycoconjugates with Hyaluronic Acid
5. Conclusions
Author Contributions
Funding
Institutional Review Board Statement
Informed Consent Statement
Data Availability Statement
Acknowledgments
Conflicts of Interest
References
- Espinosa-Vellarino, F.L.; Garrido, I.; Ortega, A.; Casimiro, I.; Espinosa, F. Effects of Antimony on Reactive Oxygen and Nitrogen Species (ROS and RNS) and Antioxidant Mechanisms in Tomato Plants. Front. Plant Sci. 2020, 11, 674. [Google Scholar] [CrossRef]
- Hong, Y.; Boiti, A.; Vallone, D.; Foulkes, N.S. Reactive Oxygen Species Signaling and Oxidative Stress: Transcriptional Regulation and Evolution. Antioxidants 2024, 13, 312. [Google Scholar] [CrossRef]
- Song, P.; Zou, M. Roles of Reactive Oxygen Species in Physiology and Pathology. In Atherosclerosis; Wiley: Hoboken, NJ, USA, 2015; pp. 379–392. ISBN 9781118828533. [Google Scholar] [CrossRef]
- Mani, S. Production of Reactive Oxygen Species and Its Implication in Human Diseases. In Free Radicals in Human Health and Disease; Springer: New Delhi, India, 2015; ISBN 9788132220350. [Google Scholar] [CrossRef]
- Haber, F.; Weiss, J. The Catalytic Decomposition of Hydrogen Peroxide by Iron Salts. Proc. R. Soc. London. Ser. A-Math. Phys. Sci. 1934, 147, 332–351. [Google Scholar] [CrossRef]
- Perluigi, M.; Di Domenico, F.; Butterfield, D.A. Oxidative damage in neurodegeneration: Roles in the pathogenesis and progression of Alzheimer disease. Physiol. Rev. 2024, 104, 103–197. [Google Scholar] [CrossRef] [PubMed]
- Liu, T.; Shang, J.; Chen, Q. Superoxide Dismutases in Immune Regulation and Infectious Diseases. Antioxidants 2025, 14, 809. [Google Scholar] [CrossRef] [PubMed]
- Power, J.H.T.; Blumbergs, P.C. Cellular Glutathione Peroxidase in Human Brain: Cellular Distribution, and Its Potential Role in the Degradation of Lewy Bodies in Parkinson’s Disease and Dementia with Lewy Bodies. Acta Neuropathol. 2009, 117, 63–73. [Google Scholar] [CrossRef]
- Wang, P.; Liu, W.; Han, C.; Wang, S.; Bai, M.; Song, C. Reactive Oxygen Species: Multidimensional Regulators of Plant Adaptation to Abiotic Stress and Development. J. Integr. Plant Biol. 2024, 66, 330–367. [Google Scholar] [CrossRef]
- Pei, J.; Pan, X.; Wei, G.; Hua, Y. Research Progress of Glutathione Peroxidase Family (GPX) in Redoxidation. Front. Pharmacol. 2023, 14, 1147414. [Google Scholar] [CrossRef]
- Jena, A.B.; Samal, R.R.; Bhol, N.K.; Duttaroy, A.K. Cellular Red-Ox System in Health and Disease: The Latest Update. Biomed. Pharmacother. 2023, 162, 114606. [Google Scholar] [CrossRef] [PubMed]
- Ma, L.; Wu, F.; Shao, Q.; Chen, G.; Xu, L.; Lu, F. Baicalin Alleviates Oxidative Stress and Inflammation in Diabetic Nephropathy via Nrf2 and MAPK Signaling Pathway. Drug Des. Dev. Ther. 2021, 21, 3207–3221. [Google Scholar] [CrossRef]
- Behl, T.; Upadhyay, T.; Singh, S.; Chigurupati, S.; Alsubayiel, A.M.; Mani, V.; Vargas-De-la-cruz, C.; Uivarosan, D.; Bustea, C.; Sava, C.; et al. Polyphenols Targeting MAPK Mediated Oxidative Stress and Inflammation in Rheumatoid Arthritis. Molecules 2021, 26, 6570. [Google Scholar] [CrossRef] [PubMed]
- Safaroghli-Azar, A.; Sanaei, M.J.; Pourbagheri-Sigaroodi, A.; Bashash, D. Phosphoinositide 3-kinase (PI3K) classes: From cell signaling to endocytic recycling and autophagy. Eur. J. Pharmacol. 2023, 953, 175827. [Google Scholar] [CrossRef]
- Leslie, N.R.; Bennett, D.; Lindsay, Y.E.; Stewart, H.; Gray, A.; Downes, C.P. Redox Regulation of PI 3-Kinase Signalling via Inactivation of PTEN. EMBO J. 2003, 22, 5501–5510. [Google Scholar] [CrossRef]
- Leslie, N.R.; Downes, C.P. PTEN: The down Side of PI 3-Kinase Signalling. Cell. Signal. 2002, 14, 285–295. [Google Scholar] [CrossRef]
- Zhang, Y.; Han, S.-J.; Park, I.; Kim, I.; Chay, K.-O.; Kim, S.; Jang, D.; Lee, T.-H.; Lee, S.-R. Redox Regulation of the Tumor Suppressor PTEN by Hydrogen Peroxide and Tert-Butyl Hydroperoxide. Int. J. Mol. Sci. 2017, 18, 982. [Google Scholar] [CrossRef]
- Stanley, W.J.; Litwak, S.A.; Quah, H.S.; Tan, S.M.; Kay, T.W.H.; Tiganis, T.; De Haan, J.B.; Thomas, H.E.; Gurzov, E.N. Inactivation of Protein Tyrosine Phosphatases Enhances Interferon Signaling in Pancreatic Islets. Diabetes 2015, 64, 2489–2496. [Google Scholar] [CrossRef]
- Raninga, P.V.; Di Trapani, G.; Tonissen, K.F. Cross Talk between Two Antioxidant Systems, Thioredoxin and DJ-1: Consequences for Cancer. Oncoscience 2014, 1, 95–110. [Google Scholar] [CrossRef]
- Averill-Bates, D. Reactive Oxygen Species and Cell Signaling. Review. Biochim. Et Biophys. Acta-Mol. Cell Res. 2024, 1871, 119573. [Google Scholar] [CrossRef]
- Angkeow, P.; Deshpande, S.S.; Qi, B.; Liu, Y.-X.; Park, Y.C.; Jeon, B.H.; Ozaki, M.; Irani, K. Redox Factor-1: An Extra-Nuclear Role in the Regulation of Endothelial Oxidative Stress and Apoptosis. Cell Death Differ. 2002, 9, 717–725. [Google Scholar] [CrossRef] [PubMed]
- Hybertson, B.M.; Gao, B.; Bose, S.K.; McCord, J.M. Oxidative Stress in Health and Disease: The Therapeutic Potential of Nrf2 Activation. Mol. Asp. Med. 2011, 32, 234–246. [Google Scholar] [CrossRef] [PubMed]
- Ma, Q. Role of Nrf2 in Oxidative Stress and Toxicity. Annu. Rev. Pharmacol. Toxicol. 2013, 53, 401–426. [Google Scholar] [CrossRef] [PubMed]
- Oshikawa, J.; Kim, S.J.; Furuta, E.; Caliceti, C.; Chen, G.F.; McKinney, R.D.; Kuhr, F.; Levitan, I.; Fukai, T.; Ushio-Fukai, M. Novel Role of P66shc in ROS-Dependent VEGF Signaling and Angiogenesis in Endothelial Cells. Am. J. Physiol.-Heart Circ. Physiol. 2012, 302, H724–H732. [Google Scholar] [CrossRef]
- Guo, Z.; Kozlov, S.; Lavin, M.F.; Person, M.D.; Paull, T.T. ATM Activation by Oxidative Stress. Science 2010, 330, 517–521. [Google Scholar] [CrossRef]
- Barnham, K.J.; Masters, C.L.; Bush, A.I. Neurodegenerative Diseases and Oxidative Stress. Nat. Rev. Drug Discov. 2004, 3, 205–214. [Google Scholar] [CrossRef]
- Olufunmilayo, E.O.; Gerke-Duncan, M.B.; Holsinger, R.M.D. Oxidative Stress and Antioxidants in Neurodegenerative Disorders. Antioxidants 2023, 12, 517. [Google Scholar] [CrossRef]
- Yan, Q.; Liu, S.; Sun, Y.; Chen, C.; Yang, S.; Lin, M.; Long, J.; Yao, J.; Lin, Y.; Yi, F.; et al. Targeting Oxidative Stress as a Preventive and Therapeutic Approach for Cardiovascular Disease. J. Transl. Med. 2023, 21, 519. [Google Scholar] [CrossRef]
- Gorrini, C.; Harris, I.S.; Mak, T.W. Modulation of Oxidative Stress as an Anticancer Strategy. Nat. Rev. Drug Discov. 2013, 12, 931–947. [Google Scholar] [CrossRef]
- Li, D.; Yu, Q.; Wu, R.; Tuo, Z.; Wang, J.; Ye, L.; Shao, F.; Chaipanichkul, P.; Yoo, K.H.; Wei, W.; et al. Interactions between Oxidative Stress and Senescence in Cancer: Mechanisms, Therapeutic Implications, and Future Perspectives. Redox Biol. 2024, 73, 103208. [Google Scholar] [CrossRef]
- Velayati, A.; Vafa, M.R.; Sani’ee, N.; Darabi, Z. Therapeutic Effects and Mechanisms of Action of Ginger and Its Bioactive Components on Inflammatory Response, Oxidative Stress, the Immune System, and Organ Failure in Sepsis: A Comprehensive Systematic Review. Nutr. Rev. 2024, 82, 1800–1819. [Google Scholar] [CrossRef] [PubMed]
- Wang, X.; Michaelis, E.K. Selective Neuronal Vulnerability to Oxidative Stress in the Brain. Front. Aging Neurosci. 2010, 30, 2–12. [Google Scholar] [CrossRef] [PubMed]
- Ferreira, M.E.S.; de Vasconcelos, A.S.; da Costa Vilhena, T.; da Silva, T.L.; da Silva Barbosa, A.; Gomes, A.R.Q.; Dolabela, M.F.; Percário, S. Oxidative Stress in Alzheimer’s Disease: Should We Keep Trying Antioxidant Therapies? Cell. Mol. Neurobiol. 2015, 35, 595–614. [Google Scholar] [CrossRef] [PubMed]
- Firuzi, O.; Miri, R.; Tavakkoli, M.; Saso, L. Antioxidant Therapy: Current Status and Future Prospects. Curr. Med. Chem. 2012, 18, 3871–3888. [Google Scholar] [CrossRef] [PubMed]
- Eid, A.M.; Faridar, A.; Appel, S.H. Therapeutic Strategies in Neurodegenerative Diseases. In Neuroimmune Pharmacology and Therapeutics; Gendelman, H.E., Ikezu, T., Eds.; Springer Nature Switzerland: Cham, Switzerland, 2024; pp. 671–704. ISBN 978-3-031-68237-7. [Google Scholar] [CrossRef]
- Morén, C.; de Souza, R.M.; Giraldo, D.M.; Uff, C. Antioxidant Therapeutic Strategies in Neurodegenerative Diseases. Int. J. Mol. Sci. 2022, 23, 9328. [Google Scholar] [CrossRef]
- Chakraborty, S.; Shankaranarayana Rao, B.S.; Tripathi, S.J. The neuroprotective effects of N-acetylcysteine in psychiatric and neurodegenerative disorders: From modulation of glutamatergic transmission to restoration of synaptic plasticity. Neuropharmacology 2025, 278, 110527. [Google Scholar] [CrossRef]
- Fajkiel-Madajczyk, A.; Wiciński, M.; Kurant, Z.; Sławatycki, J.; Słupski, M. Evaluating the Role of Coenzyme Q10 in Migraine Therapy—A Narrative Review. Antioxidants 2025, 14, 318. [Google Scholar] [CrossRef]
- Alberts, A.; Moldoveanu, E.-T.; Niculescu, A.-G.; Grumezescu, A.M. Vitamin C: A Comprehensive Review of Its Role in Health, Disease Prevention, and Therapeutic Potential. Molecules 2025, 30, 748. [Google Scholar] [CrossRef] [PubMed]
- Yamashita, T.; Abe, K. Update on Antioxidant Therapy with Edaravone: Expanding Applications in Neurodegenerative Diseases. Int. J. Mol. Sci. 2024, 25, 2945. [Google Scholar] [CrossRef]
- Grabska-Kobyłecka, I.; Szpakowski, P.; Król, A.; Książek-Winiarek, D.; Kobyłecki, A.; Głąbiński, A.; Nowak, D. Polyphenols and Their Impact on the Prevention of Neurodegenerative Diseases and Development. Nutrients 2023, 15, 3454. [Google Scholar] [CrossRef]
- Suzuki, K. Anti-Oxidants for Therapeutic Use: Why Are Only a Few Drugs in Clinical Use? Adv. Drug Deliv. Rev. 2009, 61, 287–289. [Google Scholar] [CrossRef]
- Khavinson, V.; Linkova, N.; Kozhevnikova, E.; Dyatlova, A.; Petukhov, M. Transport of Biologically Active Ultra short Peptides Using POT and LAT Carriers. Int. J. Mol. Sci. 2022, 23, 7733. [Google Scholar] [CrossRef]
- Kumar, A.; Suryakumar, G.; Singh, S.N.; Rathor, R. A Comprehensive Review on Physiological and Biological Activities of Carnosine: Turning from Preclinical Facts to Potential Clinical Applications. Naunyn-Schmiedeberg’s Arch. Pharmacol. 2025, 398, 1341–1366. [Google Scholar] [CrossRef] [PubMed]
- Tucker, M.; Liao, G.Y.; Park, J.Y.; Rosenfeld, M.; Wezeman, J.; Mangalindan, R.; Ratner, D.; Darvas, M.; Ladiges, W. Behavioral and Neuropathological Features of Alzheimer’s Disease Are Attenuated in 5xFAD Mice Treated with Intranasal GHK Peptide. bioRxiv 2023. bioRxiv:2023.11.20.567908. [Google Scholar] [CrossRef] [PubMed]
- Hu, D.; Zhang, X.; Gong, S.; Ma, W.; Cheng, B.; Yang, J.; Yan, L.; Li, B.; Qiu, T.; Wang, X. An Injectable Hydroxyapatite Microsphere Filler Loaded with GHK-Cu Tripeptide for Anti-Inflammatory and Antioxidant. Colloids Surf. B Biointerfaces 2025, 256, 114982. [Google Scholar] [CrossRef]
- Bellia, F.; Vecchio, G.; Cuzzocrea, S.; Calabrese, V.; Rizzarelli, E. Neuroprotective Features of Carnosine in Oxidative Driven Diseases. Mol. Asp. Med. 2011, 32, 258–266. [Google Scholar] [CrossRef]
- Crush, K.G. Carnosine and Related Substances in Animal Tissues. Comp. Biochem. Physiol. 1970, 34, 3–30. [Google Scholar] [CrossRef] [PubMed]
- Boldyrev, A.A.; Severin, S.E. The Histidine-Containing Dipeptides, Carnosine and Anserine: Distribution, Properties and Biological Significance. Adv. Enzym. Regul. 1990, 30, 175–194. [Google Scholar] [CrossRef]
- Bauer, K. Carnosine and Homocarnosine, the Forgotten, Enigmatic Peptides of the Brain. Neurochem. Res. 2005, 30, 1339–1345. [Google Scholar] [CrossRef]
- Braga, J.D.; Komaru, T.; Umino, M.; Nagao, T.; Matsubara, K.; Egusa, A.; Yanaka, N.; Nishimura, T.; Kumrungsee, T. Histidine-Containing Dipeptide Deficiency Links to Hyperactivity and Depression-like Behaviors in Old Female Mice. Biochem. Biophys. Res. Commun. 2024, 729, 150361. [Google Scholar] [CrossRef]
- Kohen, R.; Yamamoto, Y.; Cundy, K.C.; Ames, B.N. Antioxidant Activity of Carnosine, Homocarnosine, and Anserine Present in Muscle and Brain. Proc. Natl. Acad. Sci. USA 1988, 85, 3175–3179. [Google Scholar] [CrossRef]
- Drozak, J.; Veiga-da-Cunha, M.; Vertommen, D.; Stroobant, V.; Van Schaftingen, E. Molecular Identification of Carnosine Synthase as ATP-Grasp Domain-Containing Protein 1 (ATPGD1). J. Biol. Chem. 2010, 285, 9346–9935. [Google Scholar] [CrossRef]
- Horinishi, H.; Grillo, M.; Margolis, F.L. Purification and Characterization of Carnosine Synthetase from Mouse Olfactory Bulbs. J. Neurochem. 1978, 31, 909–919. [Google Scholar] [CrossRef] [PubMed]
- Xiang, J.; Hu, Y.; Smith, D.E.; Keep, R.F. PEPT2-Mediated Transport of 5-Aminolevulinic Acid and Carnosine in Astrocytes. Brain Res. 2006, 1122, 18–23. [Google Scholar] [CrossRef]
- Saito, H.; Terada, T.; Okuda, M.; Sasaki, S.; Inui, K. Molecular Cloning and Tissue Distribution of Rat Peptide Transporter PEPT2. Biochim. Biophys. Acta (BBA)-Biomembr. 1996, 1280, 173–177. [Google Scholar] [CrossRef]
- Bellia, F.; Vecchio, G.; Rizzarelli, E. Carnosinases, Their Substrates and Diseases. Molecules 2014, 19, 2299–2329. [Google Scholar] [CrossRef]
- Lenney, J.F.; George, R.P.; Weiss, A.M.; Kucera, C.M.; Chan, P.W.H.; Rinzler, G.S. Human Serum Carnosinase: Characterization, Distinction from Cellular Carnosinase, and Activation by Cadmium. Clin. Chim. Acta 1982, 123, 221–231. [Google Scholar] [CrossRef]
- Lenney, J.F.; Peppers, S.C.; Kucera-Orallo, C.M.; George, R.P. Characterization of Human Tissue Carnosinase. Biochem. J. 1985, 228, 653–660. [Google Scholar] [CrossRef]
- Otani, H.; Okumura, N.; Hashida-Okumura, A.; Nagai, K. Identification and Characterization of a Mouse Dipeptidase That Hydrolyzes L-Carnosine. J. Biochem. 2005, 137, 167–175. [Google Scholar] [CrossRef]
- Teufel, M.; Saudek, V.; Ledig, J.-P.; Bernhardt, A.; Boularand, S.; Carreau, A.; Cairns, N.J.; Carter, C.; Cowley, D.J.; Duverger, D.; et al. Sequence Identification and Characterization of Human Carnosinase and a Closely Related Non-Specific Dipeptidase. J. Biol. Chem. 2003, 278, 6521–6531. [Google Scholar] [CrossRef] [PubMed]
- Boldyrev, A.A.; Aldini, G.; Derave, W. Physiology and Pathophysiology of Carnosine. Physiol. Rev. 2013, 93, 1803–1845. [Google Scholar] [CrossRef]
- Gjessing, L.R.; Lunde, H.A.; MØrkrid, L.; Lenney, J.F.; Sjaastad, O. Inborn Errors of Carnosine and Homocarnosine Metabolism. In Neurotransmitter Actions and Interactions; Springer: Vienna, Austria, 1990; Volume 29, pp. 91–106. [Google Scholar] [CrossRef]
- Abe, H. Role of Histidine-Related Compounds as Intracellular Proton Buffering Constituents in Vertebrate Muscle. Biochem. C/C Biokhimiia 2000, 65, 757–765. [Google Scholar] [PubMed]
- Posa, D.K.; Baba, S.P. Intracellular Ph Regulation of Skeletal Muscle in the Milieu of Insulin Signaling. Nutrients 2020, 12, 2910. [Google Scholar] [CrossRef] [PubMed]
- Chasovnikova, L.V.; Formazyuk, V.E.; Sergienko, V.I.; Boldyrev, A.A.; Severin, S.E. The Antioxidative Properties of Carnosine and Other Drugs. Biochem. Int. 1990, 20, 1097–1103. [Google Scholar] [PubMed]
- Aldini, G.; de Courten, B.; Regazzoni, L.; Gilardoni, E.; Ferrario, G.; Baron, G.; Altomare, A.; D’Amato, A.; Vistoli, G.; Carini, M. Understanding the Antioxidant and Carbonyl Sequestering Activity of Carnosine: Direct and Indirect Mechanisms. Free Radic. Res. 2021, 55, 321–330. [Google Scholar] [CrossRef]
- Torreggiani, A.; Tamba, M.; Fini, G. Binding of Copper(II) to Carnosine: Raman and IR Spectroscopic Study. Biopolymers 2000, 57, 149–159. [Google Scholar] [CrossRef]
- Pavlov, A.R.; Revina, A.A.; Dupin, A.M.; Boldyrev, A.A.; Yaropolov, A.I. The Mechanism of Interaction of Carnosine with Superoxide Radicals in Water Solutions. Biochim. Biophys. Acta (BBA)-Gen. Subj. 1993, 1157, 304–312. [Google Scholar] [CrossRef]
- Aldini, G.; Carini, M.; Beretta, G.; Bradamante, S.; Facino, R.M. Carnosine Is a Quencher of 4-Hydroxy-Nonenal: Through What Mechanism of Reaction? Biochem. Biophys. Res. Commun. 2002, 298, 699–706. [Google Scholar] [CrossRef]
- Calabrese, V.; Colombrita, C.; Guagliano, E.; Sapienza, M.; Ravagna, A.; Cardile, V.; Scapagnini, G.; Santoro, A.M.; Mangiameli, A.; Butterfield, D.A.; et al. Protective Effect of Carnosine during Nitrosative Stress in Astroglial Cell Cultures. Neurochem. Res. 2005, 30, 797–807. [Google Scholar] [CrossRef]
- Nicoletti, V.G.; Santoro, A.M.; Grasso, G.; Vagliasindi, L.I.; Giuffrida, M.L.; Cuppari, C.; Purrello, V.S.; Stella, A.M.G.; Rizzarelli, E. Carnosine Interaction with Nitric Oxide and Astroglial Cell Protection. J. Neurosci. Res. 2007, 85, 2239–2245. [Google Scholar] [CrossRef]
- Attanasio, F.; Convertino, M.; Magno, A.; Caflisch, A.; Corazza, A.; Haridas, H.; Esposito, G.; Cataldo, S.; Pignataro, B.; Milardi, D.; et al. Carnosine Inhibits Aβ42 Aggregation by Perturbing the H-Bond Network in and around the Central Hydrophobic Cluster. ChemBioChem 2013, 14, 583–592. [Google Scholar] [CrossRef]
- Attanasio, F.; Cataldo, S.; Fisichella, S.; Nicoletti, S.; Nicoletti, V.G.; Pignataro, B.; Savarino, A.; Rizzarelli, E. Protective Effects of L- and D-Carnosine on α-Crystallin Amyloid Fibril Formation: Implications for Cataract Disease. Biochemistry 2009, 48, 6522–6531. [Google Scholar] [CrossRef]
- Aloisi, A.; Barca, A.; Romano, A.; Guerrieri, S.; Storelli, C.; Rinaldi, R.; Verri, T. Anti-Aggregating Effect of the Naturally Occurring Dipeptide Carnosine on Aβ1-42 Fibril Formation. PLoS ONE 2013, 8, e68159. [Google Scholar] [CrossRef]
- Villari, V.; Attanasio, F.; Micali, N. Control of the Structural Stability of α-Crystallin under Thermal and Chemical Stress: The Role of Carnosine. J. Phys. Chem. B 2014, 118, 13770–13776. [Google Scholar] [CrossRef]
- Yeargans, G.S.; Seidler, N.W. Carnosine Promotes the Heat Denaturation of Glycated Protein. Biochem. Biophys. Res. Commun. 2003, 300, 75–80. [Google Scholar] [CrossRef]
- Vinson, J.A.; Howard, T.B. Inhibition of Protein Glycation and Advanced Glycation End Products by Ascorbic Acid and Other Vitamins and Nutrients. J. Nutr. Biochem. 1996, 7, 659–663. [Google Scholar] [CrossRef]
- Hipkiss, A.R.; Preston, J.E.; Himsworth, D.T.M.; Worthington, V.C.; Keown, M.; Michaelis, J.; Lawrence, J.; Mateen, A.; Allende, L.; Eagles, P.A.M.; et al. Pluripotent Protective Effects of Carnosine, a Naturally Occurring Dipeptide A. Ann. N.Y. Acad. Sci. 1998, 854, 37–53. [Google Scholar] [CrossRef] [PubMed]
- Hoon Kang, J.; Sik Kim, K.; Young Choi, S.; Yil Kwon, H.; Ho Won, M.; Kang, T.-C. Carnosine and Related Dipeptides Protect Human Ceruloplasmin against Peroxyl Radical-Mediated Modification. Mol. Cells 2002, 13, 498–502. [Google Scholar] [CrossRef]
- Choi, S.Y.; Kwon, H.Y.; Bin Kwon, O.; Kang, J.H. Hydrogen Peroxide-Mediated Cu,Zn-Superoxide Dismutase Fragmentation: Protection by Carnosine, Homocarnosine and Anserine. Biochim. Biophys. Acta (BBA)-Gen. Subj. 1999, 1472, 651–657. [Google Scholar] [CrossRef]
- Kohen, R.; Misgav, R.; Ginsburg, I. The Sod Like Activity of Copper: Carnosine, Copper: Anserine and Copper: Homocarnosine Complexes. Free Radic. Res. Commun. 1991, 12, 179–185. [Google Scholar] [CrossRef]
- Hu, X.; Fukui, Y.; Feng, T.; Bian, Z.; Yu, H.; Morihara, R.; Hu, X.; Bian, Y.; Sun, H.; Takemoto, M.; et al. Neuroprotective Effects of Carnosine in a Mice Stroke Model Concerning Oxidative Stress and Inflammatory Response. J. Neurol. Sci. 2023, 447, 120608. [Google Scholar] [CrossRef]
- Caruso, G.; Fresta, C.G.; Fidilio, A.; O’Donnell, F.; Musso, N.; Lazzarino, G.; Grasso, M.; Amorini, A.M.; Tascedda, F.; Bucolo, C.; et al. Carnosine Decreases PMA-Induced Oxidative Stress and Inflammation in Murine Macrophages. Antioxidants 2019, 8, 281. [Google Scholar] [CrossRef]
- Mousa, A.M.; Aldebasi, Y.H. L-Carnosine Mitigates Interleukin-1α-Induced Dry Eye Disease in Rabbits via Its Antioxidant, Anti-Inflammatory, Antiapoptotic, and Antifibrotic Effects. Cutan. Ocul. Toxicol. 2021, 40, 241–251. [Google Scholar] [CrossRef]
- Hasanein, P.; Felegari, Z. Chelating Effects of Carnosine in Ameliorating Nickel-Induced Nephrotoxicity in Rats. Can. J. Physiol. Pharmacol. 2017, 95, 1426–1432. [Google Scholar] [CrossRef]
- Ooi, T.C.; Chan, K.M.; Sharif, R. Zinc Carnosine Inhibits Lipopolysaccharide-Induced Inflammatory Mediators by Suppressing NF-Κb Activation in Raw 264.7 Macrophages, Independent of the MAPKs Signaling Pathway. Biol. Trace Elem. Res. 2016, 172, 458–464. [Google Scholar] [CrossRef]
- Ooi, T.C.; Chan, K.M.; Sharif, R. Zinc L-Carnosine Suppresses Inflammatory Responses in Lipopolysaccharide-Induced RAW 264.7 Murine Macrophages Cell Line via Activation of Nrf2/HO-1 Signaling Pathway. Immunopharmacol. Immunotoxicol. 2017, 39, 259–267. [Google Scholar] [CrossRef]
- Boldyrev, A.A. Carnosine: New Concept for the Function of an Old Molecule. Biochemistry 2012, 77, 313–326. [Google Scholar] [CrossRef] [PubMed]
- Hewlings, S.; Kalman, D. A Review of Zinc-L-Carnosine and Its Positive Effects on Oral Mucositis, Taste Disorders, and Gastrointestinal Disorders. Nutrients 2020, 12, 665. [Google Scholar] [CrossRef]
- Matsukura, T.; Tanaka, H. Applicability of Zinc Complex of L-Carnosine for Medical Use. Biochem. C/C Biokhimiia 2000, 65, 817–823. [Google Scholar] [PubMed]
- Ito, M.; Tanaka, T.; Susuki, Y. Effect of N-(3-Aminopropionyl)-L-Histidinato Zinc (Z-103) on Healing and Hydrocortisone-Induced Relapse of Acetic Acid Ulcers in Rats with Limited Food-Intake-Time. Jpn. J. Pharmacol. 1990, 52, 513–521. [Google Scholar] [CrossRef]
- Yoshikawa, T.; Yamaguchi, T.; Yoshida, N.; Yamamoto, H.; Kitazumi, S.; Takahashi, S.; Naito, Y.; Kondo, M. Effect of Z-103 on TNB-Lnduced Colitis in Rats. Digestion 1997, 58, 464–468. [Google Scholar] [CrossRef] [PubMed]
- Domann, F.E. Aberrant Free Radical Biology Is a Unifying Theme in the Etiology and Pathogenesis of Major Human Diseases. Int. J. Mol. Sci. 2013, 14, 8491–8495. [Google Scholar] [CrossRef] [PubMed]
- Singh, A.; Kukreti, R.; Saso, L.; Kukreti, S. Oxidative Stress: A Key Modulator in Neurodegenerative Diseases. Molecules 2019, 24, 1583. [Google Scholar] [CrossRef]
- Kanaan, G.N.; Harper, M.-E. Cellular Redox Dysfunction in the Development of Cardiovascular Diseases. Biochim. Biophys. Acta (BBA)-Gen. Subj. 2017, 1861, 2822–2829. [Google Scholar] [CrossRef]
- Oberley, L.W. Free Radicals and Diabetes. Free Radic. Biol. Med. 1988, 5, 113–124. [Google Scholar] [CrossRef] [PubMed]
- Cuzzocrea, S.; Genovese, T.; Failla, M.; Vecchio, G.; Fruciano, M.; Mazzon, E.; Di Paola, R.; Muià, C.; La Rosa, C.; Crimi, N.; et al. Protective Effect of Orally Administered Carnosine on Bleomycin-Induced Lung Injury. Am. J. Physiol.-Lung Cell. Mol. Physiol. 2007, 292, L1095–L1104. [Google Scholar] [CrossRef] [PubMed]
- Di Paola, R.; Impellizzeri, D.; Salinaro, A.T.; Mazzon, E.; Bellia, F.; Cavallaro, M.; Cornelius, C.; Vecchio, G.; Calabrese, V.; Rizzarelli, E.; et al. Administration of Carnosine in the Treatment of Acute Spinal Cord Injury. Biochem. Pharmacol. 2011, 82, 1478–1489. [Google Scholar] [CrossRef] [PubMed]
- Saadah, L.M.; Abu Deiab, G.I.; Al-Balas, Q.; Basheti, I.A. Carnosine to Combat Novel Coronavirus (Ncov): Molecular Docking and Modeling to Cocrystallized Host Angiotensin-Converting Enzyme 2 (Ace2) and Viral Spike Protein. Molecules 2020, 25, 5605. [Google Scholar] [CrossRef] [PubMed]
- Oppermann, H.; Faust, H.; Yamanishi, U.; Meixensberger, J.; Gaunitz, F. Carnosine Inhibits Glioblastoma Growth Independent from PI3K/Akt/MTOR Signaling. PLoS ONE 2019, 14, e0218972. [Google Scholar] [CrossRef]
- Corona, C.; Frazzini, V.; Silvestri, E.; Lattanzio, R.; la Sorda, R.; Piantelli, M.; Canzoniero, L.M.T.; Ciavardelli, D.; Rizzarelli, E.; Sensi, S.L. Effects of Dietary Supplementation of Carnosine on Mitochondrial Dysfunction, Amyloid Pathology, and Cognitive Deficits in 3xTg-AD Mice. PLoS ONE 2011, 6, e17971. [Google Scholar] [CrossRef]
- Baye, E.; Ukropec, J.; de Courten, M.P.J.; Kurdiova, T.; Krumpolec, P.; Fernández-Real, J.-M.; Aldini, G.; Ukropcova, B.; de Courten, B. Carnosine Supplementation Reduces Plasma Soluble Transferrin Receptor in Healthy Overweight or Obese Individuals: A Pilot Randomised Trial. Amino Acids 2019, 51, 73–81. [Google Scholar] [CrossRef] [PubMed]
- Scuto, M.; Trovato Salinaro, A.; Modafferi, S.; Polimeni, A.; Pfeffer, T.; Weigand, T.; Calabrese, V.; Schmitt, C.P.; Peters, V. Carnosine Activates Cellular Stress Response in Podocytes and Reduces Glycative and Lipoperoxidative Stress. Biomedicines 2020, 8, 177. [Google Scholar] [CrossRef]
- Spina-Purrello, V.; Giliberto, S.; Barresi, V.; Nicoletti, V.G.; Giuffrida Stella, A.M.; Rizzarelli, E. Modulation of PARP-1 and PARP-2 Expression by L-Carnosine and Trehalose after LPS and INFγ-Induced Oxidative Stress. Neurochem. Res. 2010, 35, 2144–2153. [Google Scholar] [CrossRef]
- Albrecht, T.; Schilperoort, M.; Zhang, S.; Braun, J.D.; Qiu, J.; Rodriguez, A.; Pastene, D.O.; Krämer, B.K.; Köppel, H.; Baelde, H.; et al. Carnosine Attenuates the Development of Both Type 2 Diabetes and Diabetic Nephropathy in BTBR Ob/Ob Mice. Sci. Rep. 2017, 10, 44492. [Google Scholar] [CrossRef]
- Tanaka, K.-I.; Sugizaki, T.; Kanda, Y.; Tamura, F.; Niino, T.; Kawahara, M. Preventive Effects of Carnosine on Lipopolysaccharide-Induced Lung Injury. Sci. Rep. 2017, 7, 42813. [Google Scholar] [CrossRef] [PubMed]
- Jain, S.; Kim, E.-S.; Kim, D.; Burrows, D.; De Felice, M.; Kim, M.; Baek, S.-H.; Ali, A.; Redgrave, J.; Doeppner, T.R.; et al. Comparative Cerebroprotective Potential of D- and l-Carnosine Following Ischemic Stroke in Mice. Int. J. Mol. Sci. 2020, 21, 3053. [Google Scholar] [CrossRef]
- Boakye, A.; Zhang, D.; Guo, L.; Zhang, Y.; Hoetker, D.; Zhao, J.; Posa, D.; Ng, C.K.; Zheng, H.; Kumar, A.; et al. Carnosine Supplementation Enhances Post Ischemic Hind Limb Revascularization. Front. Physiol. 2019, 2, 751. [Google Scholar] [CrossRef]
- Maugeri, S.; Sibbitts, J.; Privitera, A.; Cardaci, V.; Di Pietro, L.; Leggio, L.; Iraci, N.; Lunte, S.M.; Caruso, G. The Anti-Cancer Activity of the Naturally Occurring Dipeptide Carnosine: Potential for Breast Cancer. Cells 2023, 12, 2592. [Google Scholar] [CrossRef]
- Caruso, G.; Caraci, F.; Jolivet, R.B. Pivotal Role of Carnosine in the Modulation of Brain Cells Activity: Multimodal Mechanism of Action and Therapeutic Potential in Neurodegenerative Disorders. Prog. Neurobiol. 2019, 175, 35–53. [Google Scholar] [CrossRef]
- Peng, W.; Mao, P.; Liu, L.; Chen, K.; Zhong, Y.; Xia, W.; Guo, Q.; Tan, S.C.; Rahmani, J.; Kord Varkaneh, H.; et al. Effect of Carnosine Supplementation on Lipid Profile, Fasting Blood Glucose, HbA1C and Insulin Resistance: A Systematic Review and Meta-Analysis of Long-Term Randomized Controlled Trials. Complement. Ther. Med. 2020, 48, 102241. [Google Scholar] [CrossRef]
- Greco, V.; Naletova, I.; Ahmed, I.M.M.; Vaccaro, S.; Messina, L.; La Mendola, D.; Bellia, F.; Sciuto, S.; Satriano, C.; Rizzarelli, E. Hyaluronan-Carnosine Conjugates Inhibit Aβ Aggregation and Toxicity. Sci. Rep. 2020, 10, 15998. [Google Scholar] [CrossRef] [PubMed]
- Bellia, F.; Vecchio, G.; Rizzarelli, E. Carnosine Derivatives: New Multifunctional Drug-like Molecules. Amino Acids 2012, 43, 153–163. [Google Scholar] [CrossRef] [PubMed]
- Miceli, V.; Pampalone, M.; Frazziano, G.; Grasso, G.; Rizzarelli, E.; Ricordi, C.; Casu, A.; Iannolo, G.; Conaldi, P.G. Carnosine Protects Pancreatic Beta Cells and Islets against Oxidative Stress Damage. Mol. Cell. Endocrinol. 2018, 474, 105–118. [Google Scholar] [CrossRef]
- Bonaccorso, A.; Privitera, A.; Grasso, M.; Salamone, S.; Carbone, C.; Pignatello, R.; Musumeci, T.; Caraci, F.; Caruso, G. The Therapeutic Potential of Novel Carnosine Formulations: Perspectives for Drug Development. Pharmaceuticals 2023, 16, 778. [Google Scholar] [CrossRef] [PubMed]
- Caruso, G.; Di Pietro, L.; Cardaci, V.; Maugeri, S.; Caraci, F. The Therapeutic Potential of Carnosine: Focus on Cellular and Molecular Mechanisms. Curr. Res. Pharmacol. Drug Discov. 2023, 4, 100153. [Google Scholar] [CrossRef]
- Aruoma, O.I.; Laughton, M.J.; Halliwell, B. Carnosine, Homocarnosine and Anserine: Could They Act as Antioxidants in Vivo ? Biochem. J. 1989, 264, 863–869. [Google Scholar] [CrossRef] [PubMed]
- Babizhayev, M.A.; Yegorov, Y.E. An “Enigmatic” L-Carnosine (β-Alanyl-L-Histidine)? Cell Proliferative Activity as a Fundamental Property of a Natural Dipeptide Inherent to Traditional Antioxidant, Anti-Aging Biological Activities: Balancing and a Hormonally Correct Agent, Novel Patented Oral Therapy Dosage Formulation for Mobility, Skeletal Muscle Power and Functional Performance, Hypothalamic-Pituitary- Brain Relationship in Health, Aging and Stress Studies. Recent Pat. Drug Deliv. Formul. 2015, 9, 1–64. [Google Scholar] [CrossRef]
- Baran, E.J. Metal Complexes of Carnosine. Biochem. C/C Biokhimiia 2000, 65, 789–797. [Google Scholar] [PubMed]
- Horning, M.S.; Blakemore, L.J.; Trombley, P.Q. Endogenous Mechanisms of Neuroprotection: Role of Zinc, Copper, and Carnosine. Brain Res. 2000, 852, 56–61. [Google Scholar] [CrossRef] [PubMed]
- Coddou, C.; Villalobos, C.; González, J.; Acuña-Castillo, C.; Loeb, B.; Huidobro-Toro, J.P. Formation of Carnosine-Cu(II) Complexes Prevents and Reverts the Inhibitory Action of Copper in P2X 4 and P2X 7 Receptors. J. Neurochem. 2002, 80, 626–633. [Google Scholar] [CrossRef]
- Mizuno, D.; Konoha-Mizuno, K.; Mori, M.; Sadakane, Y.; Koyama, H.; Ohkawara, S.; Kawahara, M. Protective Activity of Carnosine and Anserine against Zinc-Induced Neurotoxicity: A Possible Treatment for Vascular Dementia. Metallomics 2015, 7, 1233–1239. [Google Scholar] [CrossRef]
- Kawahara, M.; Sadakane, Y.; Mizuno, K.; Kato-Negishi, M.; Tanaka, K. Carnosine as a Possible Drug for Zinc-Induced Neurotoxicity and Vascular Dementia. Int. J. Mol. Sci. 2020, 21, 2570. [Google Scholar] [CrossRef]
- Pressman, B.C.; Harris, E.J.; Jagger, W.S.; Johnson, J.H. Antibiotic-Mediated Transport of Alkali Ions across Lipid Barriers. Proc. Natl. Acad. Sci. USA 1967, 58, 1949–1956. [Google Scholar] [CrossRef]
- Ding, W.; Lind, S.E. Metal Ionophores–An Emerging Class of Anticancer Drugs. IUBMB Life 2009, 61, 1013–1018. [Google Scholar] [CrossRef]
- Steinbrueck, A.; Sedgwick, A.C.; Brewster, J.T.; Yan, K.-C.; Shang, Y.; Knoll, D.M.; Vargas-Zúñiga, G.I.; He, X.-P.; Tian, H.; Sessler, J.L. Transition Metal Chelators, pro-Chelators, and Ionophores as Small Molecule Cancer Chemotherapeutic Agents. Chem. Soc. Rev. 2020, 49, 3726–3747. [Google Scholar] [CrossRef]
- Oliveri, V. Biomedical Applications of Copper Ionophores. Coord. Chem. Rev. 2020, 422, 213474. [Google Scholar] [CrossRef]
- Williams, R.J.P. Chemical Selection of Elements by Cells. Coord. Chem. Rev. 2001, 216–217, 583–595. [Google Scholar] [CrossRef]
- Lutsenko, S. Sending Copper Where It Is Needed Most. Science 2020, 368, 584–585. [Google Scholar] [CrossRef]
- Szpunar, J. Metallomics: A New Frontier in Analytical Chemistry. Anal. Bioanal. Chem. 2004, 378, 54–56. [Google Scholar] [CrossRef] [PubMed]
- Trusso Sfrazzetto, G.; Satriano, C.; Tomaselli, G.A.; Rizzarelli, E. Synthetic Fluorescent Probes to Map Metallostasis and Intracellular Fate of Zinc and Copper. Coord. Chem. Rev. 2016, 311, 125–167. [Google Scholar] [CrossRef]
- O’Halloran, T.V.; Culotta, V.C. Metallochaperones, an Intracellular Shuttle Service for Metal Ions. J. Biol. Chem. 2000, 275, 25057–25060. [Google Scholar] [CrossRef] [PubMed]
- Nyquist, M.D.; Prasad, B.; Mostaghel, E.A. Harnessing Solute Carrier Transporters for Precision Oncology. Molecules 2017, 22, 539. [Google Scholar] [CrossRef]
- Rutherford, J.C.; Bird, A.J. Metal-Responsive Transcription Factors That Regulate Iron, Zinc, and Copper Homeostasis in Eukaryotic Cells. Eukaryot. Cell 2004, 3, 1–13. [Google Scholar] [CrossRef] [PubMed]
- Calvo, J.; Jung, H.; Meloni, G. Copper Metallothioneins. IUBMB Life 2017, 69, 236–245. [Google Scholar] [CrossRef] [PubMed]
- Sies, H. Glutathione and Its Role in Cellular Functions. Free. Radic. Biol. Med. 1999, 27, 916–921. [Google Scholar] [CrossRef] [PubMed]
- La Mendola, D.; Giacomelli, C.; Rizzarelli, E. Intracellular Bioinorganic Chemistry and Cross Talk Among Different Omics. Curr. Top. Med. Chem. 2016, 16, 3103–3130. [Google Scholar] [CrossRef]
- Kim, H.; Wu, X.; Lee, J. SLC31 (CTR) Family of Copper Transporters in Health and Disease. Mol. Asp. Med. 2013, 34, 561–570. [Google Scholar] [CrossRef]
- Nose, Y.; Kim, B.-E.; Thiele, D.J. Ctr1 Drives Intestinal Copper Absorption and Is Essential for Growth, Iron Metabolism, and Neonatal Cardiac Function. Cell Metab. 2006, 4, 235–244. [Google Scholar] [CrossRef]
- Lutsenko, S.; Roy, S.; Tsvetkov, P. Mammalian Copper Homeostasis: Physiological Roles and Molecular Mechanisms. Physiol. Rev. 2025, 105, 441–491. [Google Scholar] [CrossRef]
- Palumaa, P. Copper Chaperones. The Concept of Conformational Control in the Metabolism of Copper. FEBS Lett. 2013, 587, 1902–1910. [Google Scholar] [CrossRef]
- Devi, S.R.B.; Dhivya, M.A.; Sulochana, K.N. Copper Transporters and Chaperones: Their Function on Angiogenesis and Cellular Signalling. J. Biosci. 2016, 41, 487–496. [Google Scholar] [CrossRef]
- Barca, A.; Ippati, S.; Urso, E.; Vetrugno, C.; Storelli, C.; Maffia, M.; Romano, A.; Verri, T. Carnosine Modulates the Sp1-Slc31a1/Ctr1 Copper-Sensing System and Influences Copper Homeostasis in Murine CNS-Derived Cells. Am. J. Physiol.-Cell Physiol. 2019, 316, C235–C245. [Google Scholar] [CrossRef]
- Magrì, A.; Tomasello, B.; Naletova, I.; Tabbì, G.; Cairns, W.R.L.; Greco, V.; Sciuto, S.; La Mendola, D.; Rizzarelli, E. New BDNF and NT-3 Cyclic Mimetics Concur with Copper to Activate Trophic Signaling Pathways as Potential Molecular Entities to Protect Old Brains from Neurodegeneration. Biomolecules 2024, 14, 1104. [Google Scholar] [CrossRef] [PubMed]
- Greco, V.; Lanza, V.; Tomasello, B.; Naletova, I.; Cairns, W.R.L.; Sciuto, S.; Rizzarelli, E. Copper Complexes with New Glycyl-L-histidyl-L-lysine–Hyaluronan Conjugates Show Antioxidant Properties and Osteogenic and Angiogenic Synergistic Effects. Bioconjugate Chem. 2025, 36, 662–675. [Google Scholar] [CrossRef] [PubMed]
- Tomasello, B.; Bellia, F.; Naletova, I.; Magrì, A.; Tabbì, G.; Attanasio, F.; Tomasello, M.F.; Cairns, W.R.L.; Fortino, M.; Pietropaolo, A.; et al. BDNF- and VEGF-Responsive Stimulus to an NGF Mimic Cyclic Peptide with Copper Ionophore Capability and Ctr1/CCS-Driven Signaling. ACS Chem. Neurosci. 2024, 15, 1755–1769. [Google Scholar] [CrossRef]
- Schweigel-Röntgen, M. The Families of Zinc (SLC30 and SLC39) and Copper (SLC31) Transporters. In Current Topics in Membranes; Elsevier: Amsterdam, The Netherlands, 2014; Volume 73, pp. 321–355. [Google Scholar] [CrossRef]
- Bothwell, M. NGF, BDNF, NT3, and NT4. In Neurotrophic Factors. Handbook of Experimental Pharmacology; Springer: Berlin/Heidelberg, Germany, 2014; Volume 220, pp. 3–15. [Google Scholar] [CrossRef]
- Yamashita, S.; Sato, M.; Matsumoto, T.; Kadooka, K.; Hasegawa, T.; Fujimura, T.; Katakura, Y. Mechanisms of Carnosine-Induced Activation of Neuronal Cells. Biosci. Biotechnol. Biochem. 2018, 82, 683–688. [Google Scholar] [CrossRef]
- Steven, A.; Friedrich, M.; Jank, P.; Heimer, N.; Budczies, J.; Denkert, C.; Seliger, B. What Turns CREB on? And off? And Why Does It Matter? Cell. Mol. Life Sci. 2020, 77, 4049–4067. [Google Scholar] [CrossRef]
- Leibrock, J.; Lottspeich, F.; Hohn, A.; Hofer, M.; Hengerer, B.; Masiakowski, P.; Thoenen, H.; Barde, Y.A. Molecular Cloning and Expression of Brain-Derived Neurotrophic Factor. Nature 1989, 341, 149–152. [Google Scholar] [CrossRef]
- Kadooka, K.; Fujii, K.; Matsumoto, T.; Sato, M.; Morimatsu, F.; Tashiro, K.; Kuhara, S.; Katakura, Y. Mechanisms and Consequences of Carnosine-Induced Activation of Intestinal Epithelial Cells. J. Funct. Foods 2015, 13, 32–37. [Google Scholar] [CrossRef]
- Fujii, K.; Abe, K.; Kadooka, K.; Matsumoto, T.; Katakura, Y. Carnosine Activates the CREB Pathway in Caco-2 Cells. Cytotechnology 2017, 69, 523–527. [Google Scholar] [CrossRef]
- Jones, K.R.; Fariñas, I.; Backus, C.; Reichardt, L.F. Targeted Disruption of the BDNF Gene Perturbs Brain and Sensory Neuron Development but Not Motor Neuron Development. Cell 1994, 76, 989–999. [Google Scholar] [CrossRef]
- Lindsay, R. Nerve Growth Factors (NGF, BDNF) Enhance Axonal Regeneration but Are Not Required for Survival of Adult Sensory Neurons. J. Neurosci. 1988, 8, 2394–2405. [Google Scholar] [CrossRef] [PubMed]
- McGregor, C.E.; English, A.W. The Role of BDNF in Peripheral Nerve Regeneration: Activity-Dependent Treatments and Val66Met. Front. Cell. Neurosci. 2019, 12, 522. [Google Scholar] [CrossRef]
- Miranda, M.; Morici, J.F.; Zanoni, M.B.; Bekinschtein, P. Brain-Derived Neurotrophic Factor: A Key Molecule for Memory in the Healthy and the Pathological Brain. Front. Cell. Neurosci. 2019, 7, 363. [Google Scholar] [CrossRef]
- Kaplan, D.R.; Miller, F.D. Neurotrophin Signal Transduction in the Nervous System. Curr. Opin. Neurobiol. 2000, 10, 381–391. [Google Scholar] [CrossRef]
- Minichiello, L. TrkB Signalling Pathways in LTP and Learning. Nat. Rev. Neurosci. 2009, 10, 850–860. [Google Scholar] [CrossRef] [PubMed]
- Gonzalez, A.; Moya-Alvarado, G.; Gonzalez-Billaut, C.; Bronfman, F.C. Cellular and Molecular Mechanisms Regulating Neuronal Growth by Brain-derived Neurotrophic Factor. Cytoskeleton 2016, 73, 612–628. [Google Scholar] [CrossRef] [PubMed]
- Andreska, T.; Lüningschrör, P.; Sendtner, M. Regulation of TrkB Cell Surface Expression—A Mechanism for Modulation of Neuronal Responsiveness to Brain-Derived Neurotrophic Factor. Cell Tissue Res. 2020, 382, 5–14. [Google Scholar] [CrossRef]
- Kwon, M.; Fernandez, J.R.; Zegarek, G.F.; Lo, S.B.; Firestein, B.L. BDNF-Promoted Increases in Proximal Dendrites Occur via CREB-Dependent Transcriptional Regulation of Cypin. J. Neurosci. 2011, 31, 9735–9745. [Google Scholar] [CrossRef] [PubMed]
- Travaglia, A.; Arena, G.; Fattorusso, R.; Isernia, C.; La Mendola, D.; Malgieri, G.; Nicoletti, V.G.; Rizzarelli, E. The Inorganic Perspective of Nerve Growth Factor: Interactions of Cu2+ and Zn2+ with the N-Terminus Fragment of Nerve Growth Factor Encompassing the Recognition Domain of the TrkA Receptor. Chem.–A Eur. J. 2011, 17, 3726–3738. [Google Scholar] [CrossRef]
- Travaglia, A.; La Mendola, D.; Magrì, A.; Nicoletti, V.G.; Pietropaolo, A.; Rizzarelli, E. Copper, BDNF and Its N-terminal Domain: Inorganic Features and Biological Perspectives. Chem.–A Eur. J. 2012, 18, 15618–15631. [Google Scholar] [CrossRef]
- Travaglia, A.; Pietropaolo, A.; Di Martino, R.; Nicoletti, V.G.; La Mendola, D.; Calissano, P.; Rizzarelli, E. A Small Linear Peptide Encompassing the NGF N-Terminus Partly Mimics the Biological Activities of the Entire Neurotrophin in PC12 Cells. ACS Chem. Neurosci. 2015, 6, 1379–1392. [Google Scholar] [CrossRef]
- Naletova, I.; Satriano, C.; Pietropaolo, A.; Gianì, F.; Pandini, G.; Triaca, V.; Amadoro, G.; Latina, V.; Calissano, P.; Travaglia, A.; et al. The Copper(II)-Assisted Connection between NGF and BDNF by Means of Nerve Growth Factor-Mimicking Short Peptides. Cells 2019, 8, 301. [Google Scholar] [CrossRef]
- Naletova, I.; Grasso, G.I.; Satriano, C.; Travaglia, A.; La Mendola, D.; Arena, G.; Rizzarelli, E. Copper Complexes of Synthetic Peptides Mimicking Neurotrophin-3 Enhance Neurite Outgrowth and CREB Phosphorylation. Metallomics 2019, 11, 1567–1578. [Google Scholar] [CrossRef]
- Russo, L.; Giacomelli, C.; Fortino, M.; Marzo, T.; Ferri, G.; Calvello, M.; Viegi, A.; Magrì, A.; Pratesi, A.; Pietropaolo, A.; et al. Neurotrophic Activity and Its Modulation by Zinc Ion of a Dimeric Peptide Mimicking the Brain-Derived Neurotrophic Factor N-Terminal Region. ACS Chem. Neurosci. 2022, 13, 3453–3463. [Google Scholar] [CrossRef]
- Barthel, A.; Ostrakhovitch, E.A.; Walter, P.L.; Kampkötter, A.; Klotz, L.O. Stimulation of Phosphoinositide 3-Kinase/Akt Signaling by Copper and Zinc Ions: Mechanisms and Consequences. Arch. Biochem. Biophys. 2007, 463, 175–182. [Google Scholar] [CrossRef]
- Turski, M.L.; Brady, D.C.; Kim, H.J.; Kim, B.-E.; Nose, Y.; Counter, C.M.; Winge, D.R.; Thiele, D.J. A Novel Role for Copper in Ras/Mitogen-Activated Protein Kinase Signaling. Mol. Cell. Biol. 2012, 32, 1284–1295. [Google Scholar] [CrossRef]
- Grasso, M.; Bond, G.J.; Kim, Y.-J.; Boyd, S.; Matson Dzebo, M.; Valenzuela, S.; Tsang, T.; Schibrowsky, N.A.; Alwan, K.B.; Blackburn, N.J.; et al. The Copper Chaperone CCS Facilitates Copper Binding to MEK1/2 to Promote Kinase Activation. J. Biol. Chem. 2021, 297, 101314. [Google Scholar] [CrossRef]
- Tsai, C.Y.; Finley, J.C.; Ali, S.S.; Patel, H.H.; Howell, S.B. Copper Influx Transporter 1 Is Required for FGF, PDGF and EGF-Induced MAPK Signaling. Biochem. Pharmacol. 2012, 84, 1007–1013. [Google Scholar] [CrossRef] [PubMed]
- Park, K.H.; Choi, Y.; Yoon, D.S.; Lee, K.-M.; Kim, D.; Lee, J.W. Zinc Promotes Osteoblast Differentiation in Human Mesenchymal Stem Cells Via Activation of the CAMP-PKA-CREB Signaling Pathway. Stem Cells Dev. 2018, 27, 1125–1135. [Google Scholar] [CrossRef] [PubMed]
- Grubman, A.; White, A.R. Copper as a Key Regulator of Cell Signalling Pathways. Expert Rev. Mol. Med. 2014, 16, e11. [Google Scholar] [CrossRef] [PubMed]
- Kardos, J.; Héja, L.; Simon, Á.; Jablonkai, I.; Kovács, R.; Jemnitz, K. Copper Signalling: Causes and Consequences. Cell Commun. Signal. 2018, 16, 71. [Google Scholar] [CrossRef]
- Ackerman, C.M.; Chang, C.J. Copper Signaling in the Brain and Beyond. J. Biol. Chem. 2018, 293, 4628–4635. [Google Scholar] [CrossRef]
- Zischka, H.; Kroemer, G. Copper–a Novel Stimulator of Autophagy. Cell Stress 2020, 4, 92–94. [Google Scholar] [CrossRef]
- Bellia, F.; Calabrese, V.; Guarino, F.; Cavallaro, M.; Cornelius, C.; De Pinto, V.; Rizzarelli, E. Carnosinase Levels in Aging Brain: Redox State Induction and Cellular Stress Response. Antioxid. Redox Signal. 2009, 11, 2759–2775. [Google Scholar] [CrossRef]
- Regazzoni, L. State of the Art in the Development of Human Serum Carnosinase Inhibitors. Molecules 2024, 29, 2488. [Google Scholar] [CrossRef] [PubMed]
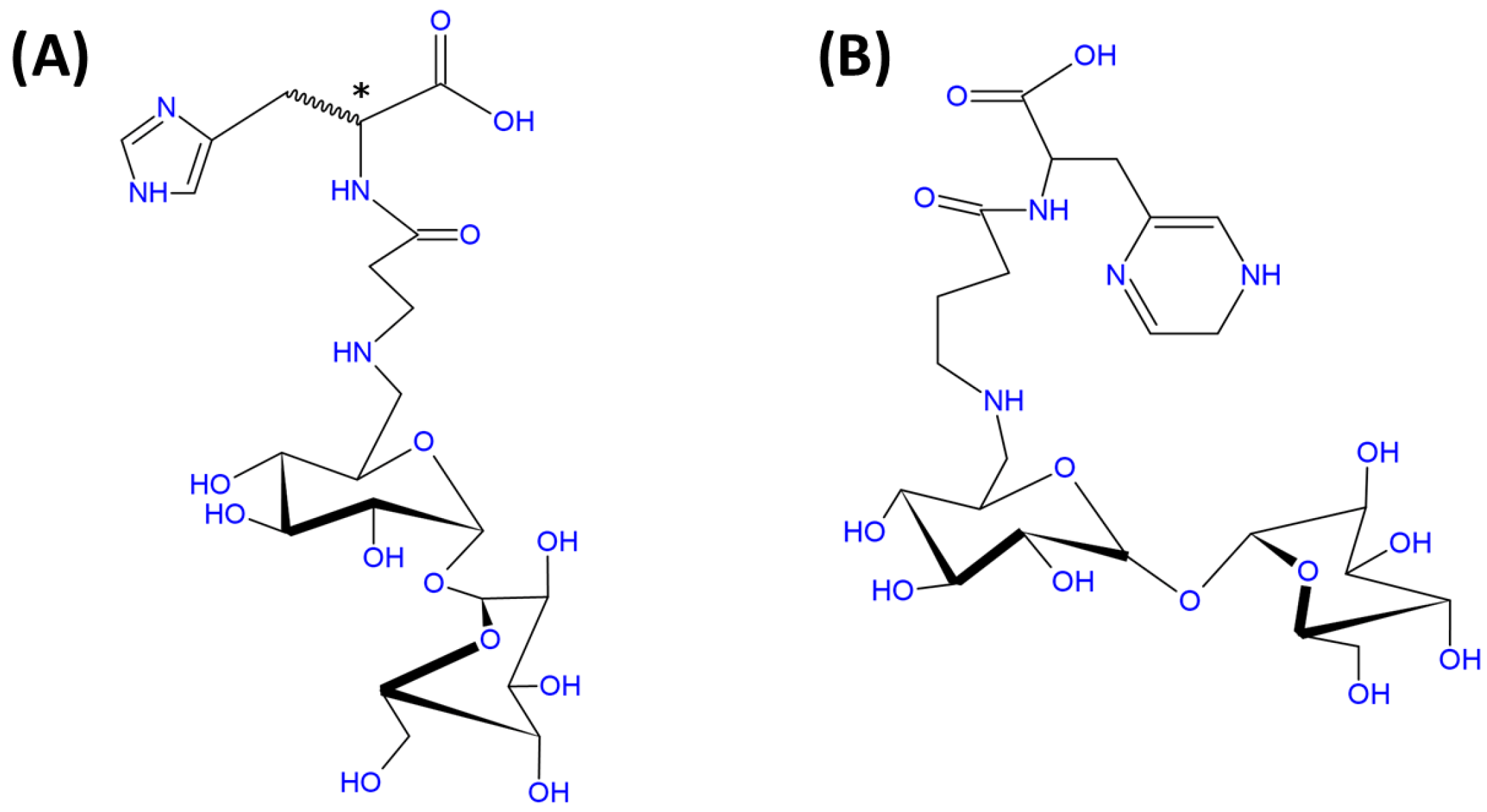
- Lanza, V.; Bellia, F.; D’Agata, R.; Grasso, G.; Rizzarelli, E.; Vecchio, G. New Glycoside Derivatives of Carnosine and Analogs Resistant to Carnosinase Hydrolysis: Synthesis and Characterization of Their Copper(II) Complexes. J. Inorg. Biochem. 2011, 105, 181–188. [Google Scholar] [CrossRef] [PubMed]
- Grasso, G.I.; Arena, G.; Bellia, F.; Rizzarelli, E.; Vecchio, G. Copper(II)-Chelating Homocarnosine Glycoconjugate as a New Multifunctional Compound. J. Inorg. Biochem. 2014, 131, 56–63. [Google Scholar] [CrossRef] [PubMed]
- Bellia, F.; Amorini, A.M.; La Mendola, D.; Vecchio, G.; Tavazzi, B.; Giardina, B.; Di Pietro, V.; Lazzarino, G.; Rizzarelli, E. New Glycosidic Derivatives of Histidine-Containing Dipeptides with Antioxidant Properties and Resistant to Carnosinase Activity. Eur. J. Med. Chem. 2008, 43, 373–380. [Google Scholar] [CrossRef]
- Lanza, V.; Greco, V.; Bocchieri, E.; Sciuto, S.; Inturri, R.; Messina, L.; Vaccaro, S.; Bellia, F.; Rizzarelli, E. Synergistic Effect of L-Carnosine and Hyaluronic Acid in Their Covalent Conjugates on the Antioxidant Abilities and the Mutual Defense against Enzymatic Degradation. Antioxidants 2022, 11, 664. [Google Scholar] [CrossRef]
- Naletova, I.; Greco, V.; Sciuto, S.; Attanasio, F.; Rizzarelli, E. Ionophore Ability of Carnosine and Its Trehalose Conjugate Assists Copper Signal in Triggering Brain-Derived Neurotrophic Factor and Vascular Endothelial Growth Factor Activation In Vitro. Int. J. Mol. Sci. 2021, 22, 13504. [Google Scholar] [CrossRef]
- Grasso, G.I.; Bellia, F.; Arena, G.; Satriano, C.; Vecchio, G.; Rizzarelli, E. Multitarget Trehalose-Carnosine Conjugates Inhibit Aβ Aggregation, Tune Copper(II) Activity and Decrease Acrolein Toxicity. Eur. J. Med. Chem. 2017, 28, 447–457. [Google Scholar] [CrossRef]
- Zachary, I. Neuroprotective Role of Vascular Endothelial Growth Factor: Signalling Mechanisms, Biological Function, and Therapeutic Potential. Neurosignals 2005, 14, 207–221. [Google Scholar] [CrossRef]
- D’Andrea, L.D.; Romanelli, A.; Di Stasi, R.; Pedone, C. Bioinorganic Aspects of Angiogenesis. Dalton Trans. 2010, 39, 7625–7636. [Google Scholar] [CrossRef]
- Claesson-Welsh, L. Signal Transduction by Vascular Endothelial Growth Factor Receptors. Biochem. Soc. Trans. 2003, 31, 20–24. [Google Scholar] [CrossRef]
- Deyama, S.; Bang, E.; Kato, T.; Li, X.-Y.; Duman, R.S. Neurotrophic and Antidepressant Actions of Brain-Derived Neurotrophic Factor Require Vascular Endothelial Growth Factor. Biol. Psychiatry 2019, 86, 143–152. [Google Scholar] [CrossRef]
- Naletova, I.; Attanasio, F.; Sibillano, T.; Tomasello, B.; Lanza, V.; Ciaffaglione, V.; Tosto, R.; Mio, A.; Cairns, W.; Giannini, C.; et al. Carnosine Biofunctionalized Hydroxyapatite Induces Copper-Driven Osteogenesis and Angiogenesis, Strengthening Its Bone Regenerative Capacities. ACS Biomater. Sci. Eng. 2025, 11, 5878–5894. [Google Scholar] [CrossRef]
- Pickart, L.; Thayer, L.; Thaler, M.M. A Synthetic Tripeptide Which Increases Survival of Normal Liver Cells, and Stimulates Growth in Hepatoma Cells. Biochem. Biophys. Res. Commun. 1973, 54, 562–566. [Google Scholar] [CrossRef]
- Lane, T.F.; Iruela-Arispe, M.L.; Johnson, R.S.; Sage, E.H. SPARC Is a Source of Copper-Binding Peptides That Stimulate Angiogenesis. J. Cell Biol. 1994, 125, 929–943. [Google Scholar] [CrossRef] [PubMed]
- Lau, S.J.; Sarkar, B. The Interaction of Copper(II) and Glycyl-L-Histidyl-L-Lysine, a Growth-Modulating Tripeptide from Plasma. Biochem. J. 1981, 199, 649–656. [Google Scholar] [CrossRef] [PubMed]
- Pickart, L.; Freedman, J.H.; Loker, W.J.; Peisach, J.; Perkins, C.M.; Stenkamp, R.E.; Weinstein, B. Growth-Modulating Plasma Tripeptide May Function by Facilitating Copper Uptake into Cells. Nature 1980, 288, 715–717. [Google Scholar] [CrossRef] [PubMed]
- Pickart, L. The Use of Glycylhistidyllysine in Culture Systems. Vitro 1981, 17, 459–466. [Google Scholar] [CrossRef]
- Beretta, G.; Artali, R.; Regazzoni, L.; Panigati, M.; Facino, R.M. Glycyl-Histidyl-Lysine (GHK) Is a Quencher of α,β-4-Hydroxy- Trans -2-Nonenal: A Comparison with Carnosine. Insights into the Mechanism of Reaction by Electrospray Ionization Mass Spectrometry, 1 H NMR, and Computational Techniques. Chem. Res. Toxicol. 2007, 20, 1309–1314. [Google Scholar] [CrossRef]
- Beretta, G.; Arlandini, E.; Artali, R.; Anton, J.M.G.; Maffei Facino, R. Acrolein Sequestering Ability of the Endogenous Tripeptide Glycyl-Histidyl-Lysine (GHK): Characterization of Conjugation Products by ESI-MSn and Theoretical Calculations. J. Pharm. Biomed. Anal. 2008, 47, 596–602. [Google Scholar] [CrossRef] [PubMed]
- Maquart, F.X.; Bellon, G.; Chaqour, B.; Wegrowski, J.; Patt, L.M.; Trachy, R.E.; Monboisse, J.C.; Chastang, F.; Birembaut, P.; Gillery, P. In Vivo Stimulation of Connective Tissue Accumulation by the Tripeptide-Copper Complex Glycyl-L-histidyl-L-lysine-Cu2+ in Rat Experimental Wounds. J. Clin. Investig. 1993, 92, 2368–2376. [Google Scholar] [CrossRef]
- Siméon, A.; Emonard, H.; Hornebeck, W.; Maquart, F.-X. The Tripeptide-Copper Complex Glycyl-L-histidyl-L- lysine-Cu2+ Stimulates Matrix Metalloproteinase-2 Expression by Fibroblast Cultures. Life Sci. 2000, 67, 2257–2265. [Google Scholar] [CrossRef]
- Siméon, A.; Wegrowski, Y.; Bontemps, Y.; Maquart, F.X. Expression of Glycosaminoglycans and Small Proteoglycans in Wounds: Modulation by the Tripeptide-Copper Complex Glycyl-L-histidyl-L-lysine-Cu2+. J. Investig. Dermatol. 2000, 115, 962–968. [Google Scholar] [CrossRef] [PubMed]
- Maquart, F.-X.; Pickart, L.; Laurent, M.; Gillery, P.; Monboisse, J.-C.; Borel, J.-P. Stimulation of Collagen Synthesis in Fibroblast Cultures by the Tripeptide-copper Complex Glycyl-L-histidyl-L-lysine-Cu2+. FEBS Lett. 1988, 238, 343–346. [Google Scholar] [CrossRef] [PubMed]
- Ahmed, M.R.; Basha, S.H.; Gopinath, D.; Muthusamy, R.; Jayakumar, R. Initial Upregulation of Growth Factors and Inflammatory Mediators during Nerve Regeneration in the Presence of Cell Adhesive Peptide-incorporated Collagen Tubes. J. Peripher. Nerv. Syst. 2005, 10, 17–30. [Google Scholar] [CrossRef]
- Jose, S.; Hughbanks, M.L.; Binder, B.Y.K.; Ingavle, G.C.; Leach, J.K. Enhanced Trophic Factor Secretion by Mesenchymal Stem/Stromal Cells with Glycine-Histidine-Lysine (GHK)-Modified Alginate Hydrogels. Acta Biomater. 2014, 10, 1955–1964. [Google Scholar] [CrossRef]
- Pickart, L.; Vasquez-Soltero, J.M.; Margolina, A. GHK Peptide as a Natural Modulator of Multiple Cellular Pathways in Skin Regeneration. BioMed Res. Int. 2015, 2015, 648108. [Google Scholar] [CrossRef]
- Steiling, H.; Werner, S. Fibroblast Growth Factors: Key Players in Epithelial Morphogenesis, Repair and Cytoprotection. Curr. Opin. Biotechnol. 2003, 14, 533–537. [Google Scholar] [CrossRef]
- Pollard, J.D.; Quan, S.; Kang, T.; Koch, R.J. Effects of Copper Tripeptide on the Growth and Expression of Growth Factors by Normal and Irradiated Fibroblasts. Arch. Facial Plast. Surg. 2005, 7, 27–31. [Google Scholar] [CrossRef] [PubMed]
- Wang, X.; Liu, B.; Xu, Q.; Sun, H.; Shi, M.; Wang, D.; Guo, M.; Yu, J.; Zhao, C.; Feng, B. GHK-Cu-Liposomes Accelerate Scald Wound Healing in Mice by Promoting Cell Proliferation and Angiogenesis. Wound Repair Regen. 2017, 25, 270–278. [Google Scholar] [CrossRef]
- Pickart, L. The Human Tri-Peptide GHK and Tissue Remodeling. J. Biomater. Sci. Polym. Ed. 2008, 19, 969–988. [Google Scholar] [CrossRef]
- Pohunková, H.; Stehlík, J.; Váchal, J.; Čech, O.; Adam, M. Morphological Features of Bone Healing under the Effect of Collagen-Graft-Glycosaminoglycan Copolymer Supplemented with the Tripeptide Gly-His-Lys. Biomaterials 1996, 17, 1567–1574. [Google Scholar] [CrossRef]
- Choi, H.-R.; Kang, Y.-A.; Ryoo, S.-J.; Shin, J.-W.; Na, J.-I.; Huh, C.-H.; Park, K.-C. Stem Cell Recovering Effect of Copper-free GHK in Skin. J. Pept. Sci. 2012, 18, 685–690. [Google Scholar] [CrossRef] [PubMed]
- Zhang, Q.; Yan, L.; Lu, J.; Zhou, X. Glycyl-L-Histidyl-L-Lysine-Cu2+ Attenuates Cigarette Smoke-Induced Pulmonary Emphysema and Inflammation by Reducing Oxidative Stress Pathway. Front. Mol. Biosci. 2022, 22, 925700. [Google Scholar] [CrossRef]
- Ma, W.-H.; Li, M.; Ma, H.-F.; Li, W.; Liu, L.; Yin, Y.; Zhou, X.-M.; Hou, G. Protective Effects of GHK-Cu in Bleomycin-Induced Pulmonary Fibrosis via Anti-Oxidative Stress and Anti-Inflammation Pathways. Life Sci. 2020, 15, 117139. [Google Scholar] [CrossRef]
- Pickart, L.; Vasquez-Soltero, J.M.; Margolina, A. The Human Tripeptide GHK-Cu in Prevention of Oxidative Stress and Degenerative Conditions of Aging: Implications for Cognitive Health. Oxidative Med. Cell. Longev. 2012, 2012, 324832. [Google Scholar] [CrossRef]
- Lamb, J. The Connectivity Map: A New Tool for Biomedical Research. Nat. Rev. Cancer 2007, 7, 54–60. [Google Scholar] [CrossRef]
- Fischer, A.; Sananbenesi, F.; Mungenast, A.; Tsai, L.H. Targeting the Correct HDAC(s) to Treat Cognitive Disorders. Trends Pharmacol. Sci. 2010, 31, 605–617. [Google Scholar] [CrossRef] [PubMed]
- Pickart, L.; Vasquez-Soltero, J.M.; Margolina, A. The Effect of the Human Peptide GHK on Gene Expression Relevant to Nervous System Function and Cognitive Decline. Brain Sci. 2017, 7, 20. [Google Scholar] [CrossRef] [PubMed]
- Rosenfeld, M.; Nickel, K.; Ladiges, W. GHK Peptide Prevents Sleep Deprived Learning Impairment in Aging Mice. Aging Pathobiol. Ther. 2023, 5, 33–35. [Google Scholar] [CrossRef] [PubMed]
- Oakley, H.; Cole, S.L.; Logan, S.; Maus, E.; Shao, P.; Craft, J.; Guillozet-Bongaarts, A.; Ohno, M.; Disterhoft, J.; Van Eldik, L.; et al. Intraneuronal β-Amyloid Aggregates, Neurodegeneration, and Neuron Loss in Transgenic Mice with Five Familial Alzheimer’s Disease Mutations: Potential Factors in Amyloid Plaque Formation. J. Neurosci. 2006, 26, 10129–10140. [Google Scholar] [CrossRef]
- Younkin, S.G. The Role of Aβ42 in Alzheimer’s Disease. J. Physiol.-Paris 1998, 92, 289–292. [Google Scholar] [CrossRef]
- Zhang, L.; Li, J.; Lin, A. Assessment of Neurodegeneration and Neuronal Loss in Aged 5XFAD Mice. STAR Protoc. 2021, 2, 100915. [Google Scholar] [CrossRef]
- Sokolova, A.; Hill, M.D.; Rahimi, F.; Warden, L.A.; Halliday, G.M.; Shepherd, C.E. Monocyte Chemoattractant Protein-1 Plays a Dominant Role in the Chronic Inflammation Observed in Alzheimer’s Disease. Brain Pathol. 2009, 19, 392–398. [Google Scholar] [CrossRef]
- Dalpozzo, A.; Kanai, K.; Kereszturi, G.; Calabrese, G. H-Gly-Hisψ(NHCO)Lys-OH, Partially Modified Retro-inverso Analogue of the Growth Factor Glycyl-L-histidyl-L-lysine with Enhanced Enzymatic Stability. Int. J. Pept. Protein Res. 1993, 41, 561–566. [Google Scholar] [CrossRef] [PubMed]
- Conato, C.; Gavioli, R.; Guerrini, R.; Kozlowski, H.; Mlynarz, P.; Pasti, C.; Pulidori, F.; Remelli, M. Copper Complexes of Glycyl-Histidyl-Lysine and Two of Its Synthetic Analogues: Chemical Behaviour and Biological Activity. Biochim. Biophys. Acta-Gen. Subj. 2001, 1526, 199–210. [Google Scholar] [CrossRef]
- Wang, Y.; Lin, J.; Yu, Z.; Cheng, J.; Cheng, J.; Cui, W. Rigid-Flexible Nanocarriers Loaded with Active Peptides for Antioxidant and Anti-Inflammatory Applications in Skin. Colloids Surf. B Biointerfaces 2024, 236, 113772. [Google Scholar] [CrossRef]
- Ogórek, K.; Nowak, K.; Wadych, E.; Ruzik, L.; Timerbaev, A.R.; Matczuk, M. Are We Ready to Measure Skin Permeation of Modern Antiaging GHK–Cu Tripeptide Encapsulated in Liposomes? Molecules 2025, 30, 136. [Google Scholar] [CrossRef]
- Castro, V.I.B.; Araújo, A.R.; Reis, R.L.; Pashkuleva, I.; Pires, R.A. Nanoengineered Self-Assembling Peptides with Increased Proteolytic Stability Promote Wound Healing. ACS Appl. Mater. Interfaces 2025, 17, 11624–11633. [Google Scholar] [CrossRef]
- Kawase, M.; Kurikawa, N.; Higashiyama, S.; Miura, N.; Shiomi, T.; Ozawa, C.; Mizoguchi, T.; Yagi, K. Effectiveness of Polyamidoamine Dendrimers Modified with Tripeptide Growth Factor, Glycyl-L-histidyl-L-lysine, for Enhancement of Function of Hepatoma Cells. J. Biosci. Bioeng. 1999, 88, 433–437. [Google Scholar] [CrossRef]
- Kawase, M.; Miura, N.; Kurikawa, N.; Masuda, K.; Higashiyama, S.; Yagi, K.; Mizoguchi, T. Immobilization of Tripepride Growth Factor Glycyl-L-Histidyl-L-Lysine on Poly(Vinylalcohol)-Quarternized Stilbazole (PVA-SbQ) and Its Use as a Ligand for Hepatocyte Attachment. Biol. Pharm. Bull. 1999, 22, 999–1001. [Google Scholar] [CrossRef] [PubMed]
- Tosto, R.; Vecchio, G.; Bellia, F. New Biotinylated GHK and Related Copper(II) Complex: Antioxidant and Antiglycant Properties In Vitro against Neurodegenerative Disorders. Molecules 2023, 28, 6724. [Google Scholar] [CrossRef]
- Klontzas, M.E.; Reakasame, S.; Silva, R.; Morais, J.C.F.; Vernardis, S.; MacFarlane, R.J.; Heliotis, M.; Tsiridis, E.; Panoskaltsis, N.; Boccaccini, A.R.; et al. Oxidized Alginate Hydrogels with the GHK Peptide Enhance Cord Blood Mesenchymal Stem Cell Osteogenesis: A Paradigm for Metabolomics-Based Evaluation of Biomaterial Design. Acta Biomater. 2019, 1, 224–240. [Google Scholar] [CrossRef]
- Meyer, K.; Palmer, J.W. The polysaccharide of the vitreous humor. J. Biol. Chem. 1934, 107, 629–634. [Google Scholar] [CrossRef]
- Hong, B.M.; Park, S.A.; Park, W.H. Effect of Photoinitiator on Chain Degradation of Hyaluronic Acid. Biomater. Res. 2019, 23, 21. [Google Scholar] [CrossRef] [PubMed]
- Choi, K.Y.; Han, H.S.; Lee, E.S.; Shin, J.M.; Almquist, B.D.; Lee, D.S.; Park, J.H. Hyaluronic Acid–Based Activatable Nanomaterials for Stimuli-Responsive Imaging and Therapeutics: Beyond CD44-Mediated Drug Delivery. Adv. Mater. 2019, 31, e1803549. [Google Scholar] [CrossRef] [PubMed]
- Kotla, N.G.; Mohd Isa, I.L.; Larrañaga, A.; Maddiboyina, B.; Swamy, S.K.; Sivaraman, G.; Vemula, P.K. Hyaluronic Acid-Based Bioconjugate Systems, Scaffolds, and Their Therapeutic Potential. Adv. Healthc. Mater. 2023, 12, e2203104. [Google Scholar] [CrossRef]
- Elbein, A.D. New Insights on Trehalose: A Multifunctional Molecule. Glycobiology 2003, 13, 17R–27R. [Google Scholar] [CrossRef]
- Guo, Z.; Li, M.; Guo, Z.; Zhu, R.; Xin, Y.; Gu, Z.; Zhang, L. Trehalose Metabolism Targeting as a Novel Strategy to Modulate Acid Tolerance of Yeasts and Its Application in Food Industry. Food Microbiol. 2023, 114, 104300. [Google Scholar] [CrossRef]
- Chen, A.; Tapia, H.; Goddard, J.M.; Gibney, P.A. Trehalose and Its Applications in the Food Industry. Compr. Rev. Food Sci. Food Saf. 2022, 21, 5004–5037. [Google Scholar] [CrossRef]
- Maruf, A.; Milewska, M.; Dudzisz, K.; Lalik, A.; Student, S.; Salvati, A.; Wandzik, I. Trehalose-Releasing Nanogels: Study on Trehalose Release and Insights into Selected Biologically Relevant Aspects. Biomacromolecules 2025, 26, 2835–2851. [Google Scholar] [CrossRef]
- Hassan, L.F.; Sen, R.; O’Shea, T.M. Trehalose-Based Coacervates for Local Bioactive Protein Delivery to the Central Nervous System. Biomaterials 2024, 309, 122594. [Google Scholar] [CrossRef] [PubMed]
- Kaur, A.; Singh, S.; Sharma, S.C. Unlocking Trehalose’s Versatility: A Comprehensive Journey from Biosynthesis to Therapeutic Applications. Exp. Cell Res. 2024, 442, 114250. [Google Scholar] [CrossRef]
- Nazari-Robati, M.; Akbari, M.; Khaksari, M.; Mirzaee, M. Trehalose Attenuates Spinal Cord Injury through the Regulation of Oxidative Stress, Inflammation and GFAP Expression in Rats. J. Spinal Cord Med. 2019, 42, 387–394. [Google Scholar] [CrossRef] [PubMed]
- Lee, H.S. Entry Modes of Foreign Direct Investment and Industry Demand for Trade Protection. Transnatl. Corp. Rev. 2018, 10, 1–12. [Google Scholar] [CrossRef]
- Assoni, G.; Frapporti, G.; Colombo, E.; Gornati, D.; Perez-Carrion, M.D.; Polito, L.; Seneci, P.; Piccoli, G.; Arosio, D. Trehalose-Based Neuroprotective Autophagy Inducers. Bioorganic Med. Chem. Lett. 2021, 40, 127929. [Google Scholar] [CrossRef]
- Liu, R.; Barkhordarian, H.; Emadi, S.; Park, C.; Sierks, M. Trehalose Differentially Inhibits Aggregation and Neurotoxicity of Beta-Amyloid 40 and 42. Neurobiol. Dis. 2005, 20, 74–81. [Google Scholar] [CrossRef]
- Tanaka, M.; Machida, Y.; Niu, S.; Ikeda, T.; Jana, N.R.; Doi, H.; Kurosawa, M.; Nekooki, M.; Nukina, N. Trehalose Alleviates Polyglutamine-Mediated Pathology in a Mouse Model of Huntington Disease. Nat. Med. 2004, 10, 148–154. [Google Scholar] [CrossRef]
- Yu, W.B.; Jiang, T.; Lan, D.M.; Lu, J.H.; Yue, Z.Y.; Wang, J.; Zhou, P. Trehalose Inhibits Fibrillation of A53T Mutant Alpha-Synuclein and Disaggregates Existing Fibrils. Arch. Biochem. Biophys. 2012, 523, 144–150. [Google Scholar] [CrossRef]
- Benaroudj, N.; Lee, D.H.; Goldberg, A.L. Trehalose Accumulation during Cellular Stress Protects Cells and Cellular Proteins from Damage by Oxygen Radicals. J. Biol. Chem. 2001, 276, 24261–24267. [Google Scholar] [CrossRef]
- Mizunoe, Y.; Kobayashi, M.; Sudo, Y.; Watanabe, S.; Yasukawa, H.; Natori, D.; Hoshino, A.; Negishi, A.; Okita, N.; Komatsu, M.; et al. Trehalose Protects against Oxidative Stress by Regulating the Keap1–Nrf2 and Autophagy Pathways. Redox Biol. 2018, 15, 115–124. [Google Scholar] [CrossRef]
- Sun, L.; Zhao, Q.; Xiao, Y.; Liu, X.; Li, Y.; Zhang, J.; Pan, J.; Zhang, Z. Trehalose Targets Nrf2 Signal to Alleviate D-Galactose Induced Aging and Improve Behavioral Ability. Biochem. Biophys. Res. Commun. 2020, 521, 113–119. [Google Scholar] [CrossRef]
- Crowe, J.H. Trehalose As a “Chemical Chaperone”. In Molecular Aspects of the Stress Response: Chaperones, Membranes and Networks; Springer: New York, NY, USA, 2007; Volume 594, pp. 143–158. [Google Scholar]
- Taya, K.; Hirose, K.; Hamada, S. Trehalose Inhibits Inflammatory Cytokine Production by Protecting IκB-α Reduction in Mouse Peritoneal Macrophages. Arch. Oral Biol. 2009, 54, 749–756. [Google Scholar] [CrossRef] [PubMed]
- Yu, S.; Park, H.; Kim, W. Trehalose Inhibits Inflammatory Responses through Mitochondrial Reprogramming in RAW 264.7 Macrophages. Antioxidants 2023, 12, 1166. [Google Scholar] [CrossRef] [PubMed]
- Li, Y.; Lei, Z.; Ritzel, R.M.; He, J.; Li, H.; Choi, H.M.C.; Lipinski, M.M.; Wu, J. Impairment of Autophagy after Spinal Cord Injury Potentiates Neuroinflammation and Motor Function Deficit in Mice. Theranostics 2022, 12, 5364–5388. [Google Scholar] [CrossRef] [PubMed]
- Yun, U.J.; Sung, J.Y.; Park, S.Y.; Ye, S.K.; Shim, J.; Lee, J.S.; Hibi, M.; Bae, Y.K.; Kim, Y.N. Oncogenic Role of Rab Escort Protein 1 through EGFR and STAT3 Pathway. Cell Death Dis. 2017, 8, e2621. [Google Scholar] [CrossRef]
- Sarkar, S.; Davies, J.E.; Huang, Z.; Tunnacliffe, A.; Rubinsztein, D.C. Trehalose, a Novel MTOR-Independent Autophagy Enhancer, Accelerates the Clearance of Mutant Huntingtin and α-Synuclein. J. Biol. Chem. 2007, 282, 5641–5652. [Google Scholar] [CrossRef]
- Cai, L.; Yoon, J.D.; Hwang, S.U.; Lee, J.; Kim, E.; Kim, M.; Hyun, S.Y.; Choi, H.; Oh, D.; Jeon, Y.; et al. Exploring the Mechanism of Trehalose: Dual Functions of PI3K/Akt and VPS34/MTOR Pathways in Porcine Oocytes and Cumulus Cells. Biol. Reprod. 2022, 107, 432–445. [Google Scholar] [CrossRef]
- Del Bello, B.; Gamberucci, A.; Marcolongo, P.; Maellaro, E. The Autophagy Inducer Trehalose Stimulates Macropinocytosis in NF1-Deficient Glioblastoma Cells. Cancer Cell Int. 2022, 22, 232. [Google Scholar] [CrossRef]
- Rusmini, P.; Cortese, K.; Crippa, V.; Cristofani, R.; Cicardi, M.E.; Ferrari, V.; Vezzoli, G.; Tedesco, B.; Meroni, M.; Messi, E.; et al. Trehalose Induces Autophagy via Lysosomal-Mediated TFEB Activation in Models of Motoneuron Degeneration. Autophagy 2019, 15, 631–651. [Google Scholar] [CrossRef]
- Zhang, X.W.; Zhu, X.X.; Tang, D.S.; Lu, J.H. Targeting Autophagy in Alzheimer’s Disease: Animal Models and Mechanisms. Zool. Res. 2023, 44, 1132–1145. [Google Scholar] [CrossRef]
- Nechushtai, L.; Frenkel, D.; Pinkas-Kramarski, R. Autophagy in Parkinson’s Disease. Biomolecules 2023, 13, 1435. [Google Scholar] [CrossRef]
- Ren, H.; Hao, Z.; Wang, G. Autophagy and Polyglutamine Disease. In Autophagy: Biology and Diseases; Advances in Experimental Medicine and Biology; Springer: Singapore, 2020; Volume 1207, pp. 149–161. [Google Scholar] [CrossRef]
- Ghorbani, M.; Abouei Mehrizi, M.; Tajvidi, M.; Amin Habibi, M.; Mohammadi, M.; Esmaeilian, S.; Torabi, P.; Rahmanipour, E.; Daskareh, M.; Mohammadi, A. Trehalose: A Promising New Treatment for Traumatic Brain Injury? A Systematic Review of Animal Evidence. Interdiscip. Neurosurg. 2024, 36, 101947. [Google Scholar] [CrossRef]
- Debenedictis, C.A.; Raab, A.; Ducie, E.; Howley, S.; Feldmann, J.; Grabrucker, A.M. Concentrations of Essential Trace Metals in the Brain of Animal Species—A Comparative Study. Brain Sci. 2020, 10, 460. [Google Scholar] [CrossRef]
- Lei, P.; Ayton, S.; Bush, A.I. The Essential Elements of Alzheimer’s Disease. J. Biol. Chem. 2021, 296, 100105. [Google Scholar] [CrossRef] [PubMed]
- Wang, B.; Fang, T.; Chen, H. Zinc and Central Nervous System Disorders. Nutrients 2023, 15, 2140. [Google Scholar] [CrossRef] [PubMed]
- Agostini, F.; Sgalletta, B.; Bisaglia, M. Iron Dyshomeostasis in Neurodegeneration with Brain Iron Accumulation (NBIA): Is It the Cause or the Effect? Cells 2024, 13, 1376. [Google Scholar] [CrossRef] [PubMed]
- Portbury, S.D.; Hare, D.J.; Finkelstein, D.I.; Adlard, P.A. Trehalose Improves Traumatic Brain Injury-Induced Cognitive Impairment. PLoS ONE 2017, 12, e0183683. [Google Scholar] [CrossRef]
- Portbury, S.D.; Hare, D.J.; Bishop, D.P.; Finkelstein, D.I.; Doble, P.A.; Adlard, P.A. Trehalose Elevates Brain Zinc Levels Following Controlled Cortical Impact in a Mouse Model of Traumatic Brain Injury. Metallomics 2018, 10, 846–853. [Google Scholar] [CrossRef] [PubMed]
- Lee, H.J.; Yoon, Y.S.; Lee, S.J. Mechanism of Neuroprotection by Trehalose: Controversy Surrounding Autophagy Induction. Cell Death Dis. 2018, 9, 712. [Google Scholar] [CrossRef] [PubMed]
- Pereira, H.; Sousa, D.A.; Cunha, A.; Andrade, R.; Espregueira-Mendes, J.; Oliveira, J.M.; Reis, R.L. Hyaluronic Acid. In Osteochondral Tissue Engineering; Advances in Experimental Medicine and Biology; Springer: Cham, Switzerland, 2018; Volume 1059, pp. 137–153. [Google Scholar] [CrossRef]
- Gallo, N.; Nasser, H.; Salvatore, L.; Natali, M.L.; Campa, L.; Mahmoud, M.; Capobianco, L.; Sannino, A.; Madaghiele, M. Hyaluronic Acid for Advanced Therapies: Promises and Challenges. Eur. Polym. J. 2019, 117, 134–147. [Google Scholar] [CrossRef]
- Necas, J.; Bartosikova, L.; Brauner, P.; Kolar, J. Hyaluronic Acid (Hyaluronan): A Review. Veterinární Medicína 2008, 53, 397–411. [Google Scholar] [CrossRef]
- Fraser, J.R.E.; Laurent, T.C.; Laurent, U.B.G. Hyaluronan: Its Nature, Distribution, Functions and Turnover. J. Intern. Med. 1997, 242, 27–33. [Google Scholar] [CrossRef]
- Conrozier, T.; Raman, R.; Chevalier, X.; Henrotin, Y.; Monfort, J.; Diraçoglù, D.; Bard, H.; Baron, D.; Jerosch, J.; Richette, P.; et al. Viscosupplementation for the Treatment of Osteoarthritis. The Contribution of EUROVISCO Group. Ther. Adv. Musculoskelet. Dis. 2021, 13, 1759720X211018605. [Google Scholar] [CrossRef]
- Weigel, P.H.; Hascall, V.C.; Tammi, M. Hyaluronan Synthases. J. Biol. Chem. 1997, 272, 13997–14000. [Google Scholar] [CrossRef]
- Siiskonen, H.; Oikari, S.; Pasonen-Seppänen, S.; Rilla, K. Hyaluronan Synthase 1: A Mysterious Enzyme with Unexpected Functions. Front. Immunol. 2015, 6, 42–43. [Google Scholar] [CrossRef]
- Qiu, Y.; Ma, Y.; Huang, Y.; Li, S.; Xu, H.; Su, E. Current Advances in the Biosynthesis of Hyaluronic Acid with Variable Molecular Weights. Carbohydr. Polym. 2021, 1, 118320. [Google Scholar] [CrossRef]
- Snetkov, P.; Zakharova, K.; Morozkina, S.; Olekhnovich, R.; Uspenskaya, M. Hyaluronic Acid: The Influence of Molecular Weight on Structural, Physical, Physico-Chemical, and Degradable Properties of Biopolymer. Polymers 2020, 12, 1800. [Google Scholar] [CrossRef] [PubMed]
- Rayahin, J.E.; Buhrman, J.S.; Zhang, Y.; Koh, T.J.; Gemeinhart, R.A. High and Low Molecular Weight Hyaluronic Acid Differentially Influence Macrophage Activation. ACS Biomater. Sci. Eng. 2015, 1, 481–493. [Google Scholar] [CrossRef] [PubMed]
- Iaconisi, G.N.; Lunetti, P.; Gallo, N.; Cappello, A.R.; Fiermonte, G.; Dolce, V.; Capobianco, L. Hyaluronic Acid: A Powerful Biomolecule with Wide-Ranging Applications—A Comprehensive Review. Int. J. Mol. Sci. 2023, 24, 10296. [Google Scholar] [CrossRef]
- Campo, G.M.; Avenoso, A.; Campo, S.; D’Ascola, A.; Nastasi, G.; Calatroni, A. Molecular Size Hyaluronan Differently Modulates Toll-like Receptor-4 in LPS-Induced Inflammation in Mouse Chondrocytes. Biochimie 2010, 92, 204–215. [Google Scholar] [CrossRef]
- Frenkel, J.S. The Role of Hyaluronan in Wound Healing. Int. Wound J. 2014, 11, 159–163. [Google Scholar] [CrossRef]
- Burdick, J.A.; Prestwich, G.D. Hyaluronic Acid Hydrogels for Biomedical Applications. Adv. Mater. 2011, 23, H41–H56. [Google Scholar] [CrossRef] [PubMed]
- Wang, Y.Z.; Cao, M.L.; Liu, Y.W.; He, Y.Q.; Yang, C.X.; Gao, F. CD44 Mediates Oligosaccharides of Hyaluronan-Induced Proliferation, Tube Formation and Signal Transduction in Endothelial Cells. Exp. Biol. Med. 2011, 236, 84–90. [Google Scholar] [CrossRef] [PubMed]
- Ke, C.; Sun, L.; Qiao, D.; Wang, D.; Zeng, X. Antioxidant Acitivity of Low Molecular Weight Hyaluronic Acid. Food Chem. Toxicol. 2011, 49, 2670–2675. [Google Scholar] [CrossRef]
- Stern, R.; Jedrzejas, M.J. Hyaluronidases: Their genomics, structures, and mechanisms of action. Chem. Rev. 2006, 106, 818–839. [Google Scholar] [CrossRef]
- Kaul, A.; Short, W.D.; Wang, X.; Keswani, S.G. Hyaluronidases in Human Diseases. Int. J. Mol Sci. 2021, 22, 3204. [Google Scholar] [CrossRef]
- Weng, X.; Maxwell-Warburton, S.; Hasib, A.; Ma, L.; Kang, L. The Membrane Receptor CD44: Novel Insights into Metabolism. Trends Endocrinol. Metab. 2022, 33, 318–332. [Google Scholar] [CrossRef]
- Toole, B.P. Hyaluronan and Its Binding Proteins, the Hyaladherins. Curr. Opin. Cell Biol. 1990, 2, 839–844. [Google Scholar] [CrossRef]
- Šoltés, L.; Mendichi, R.; Kogan, G.; Schiller, J.; Stankovská, M.; Arnhold, J. Degradative Action of Reactive Oxygen Species on Hyaluronan. Biomacromolecules 2006, 7, 659–668. [Google Scholar] [CrossRef]
- Parsons, B.J. Free Radical Studies of Components of the Extracellular Matrix: Contributions to Protection of Biomolecules and Biomaterials from Sterilising Doses of Ionising Radiation. Cell Tissue Bank. 2018, 19, 201–213. [Google Scholar] [CrossRef] [PubMed]
- Greenwald, R.A.; Moy, W.W. Effect of Oxygen-derived Free Radicals on Hyaluronic Acid. Arthritis Rheum. 1980, 23, 455–463. [Google Scholar] [CrossRef] [PubMed]
- Hrabarova, E.; Juranek, I.; Soltes, L. Pro-Oxidative Effect of Peroxynitrite Regarding Biological Systems: A Special Focus on High-Molar-Mass Hyaluronan Degradation. Gen. Physiol. Biophys. 2011, 30, 223–238. [Google Scholar] [CrossRef]
- Yusupov, M.; Privat-Maldonado, A.; Cordeiro, R.M.; Verswyvel, H.; Shaw, P.; Razzokov, J.; Smits, E.; Bogaerts, A. Oxidative Damage to Hyaluronan–CD44 Interactions as an Underlying Mechanism of Action of Oxidative Stress-Inducing Cancer Therapy. Redox Biol. 2021, 43, 101968. [Google Scholar] [CrossRef]
- Berdiaki, A.; Neagu, M.; Spyridaki, I.; Kuskov, A.; Perez, S.; Nikitovic, D. Hyaluronan and Reactive Oxygen Species Signaling—Novel Cues from the Matrix? Antioxidants 2023, 12, 824. [Google Scholar] [CrossRef] [PubMed]
- Gu, J.; Chen, X.; Ren, X.; Zhang, X.; Fang, X.; Sha, X. CD44-Targeted Hyaluronic Acid-Coated Redox-Responsive Hyperbranched Poly(Amido Amine)/Plasmid DNA Ternary Nanoassemblies for Efficient Gene Delivery. Bioconjugate Chem. 2016, 27, 1723–1736. [Google Scholar] [CrossRef]
- Amorim, S.; da Costa, D.S.; Freitas, D.; Reis, C.A.; Reis, R.L.; Pashkuleva, I.; Pires, R.A. Molecular Weight of Surface Immobilized Hyaluronic Acid Influences CD44-Mediated Binding of Gastric Cancer Cells. Sci. Rep. 2018, 8, 16058. [Google Scholar] [CrossRef]
- Queisser, K.A.; Mellema, R.A.; Petrey, A.C. Hyaluronan and Its Receptors as Regulatory Molecules of the Endothelial Interface. J. Histochem. Cytochem. 2021, 69, 25–34. [Google Scholar] [CrossRef]
- Nikitovic, D.; Kouvidi, K.; Kavasi, R.-M.; Berdiaki, A.; Tzanakakis, G.N. Hyaluronan/Hyaladherins-a Promising Axis for Targeted Drug Delivery in Cancer. Curr. Drug Deliv. 2016, 13, 500–511. [Google Scholar] [CrossRef]
- Pauloin, T.; Dutot, M.; Joly, F.; Warnet, J.-M.; Rat, P. High Molecular Weight Hyaluronan Decreases UVB-Induced Apoptosis and Inflammation in Human Epithelial Corneal Cells. Mol. Vis. 2009, 15, 577–583. [Google Scholar]
- Shinn, J.; Park, S.; Lee, S.; Park, N.; Kim, S.; Hwang, S.; Moon, J.J.; Kwon, Y.; Lee, Y. Antioxidative Hyaluronic Acid–Bilirubin Nanomedicine Targeting Activated Hepatic Stellate Cells for Anti-Hepatic-Fibrosis Therapy. ACS Nano 2024, 18, 4704–4716. [Google Scholar] [CrossRef]
- Romo, M.; López-Vicario, C.; Pérez-Romero, N.; Casulleras, M.; Martínez-Puchol, A.I.; Sánchez, B.; Flores-Costa, R.; Alcaraz-Quiles, J.; Duran-Güell, M.; Ibarzábal, A.; et al. Small Fragments of Hyaluronan Are Increased in Individuals with Obesity and Contribute to Low-Grade Inflammation through TLR-Mediated Activation of Innate Immune Cells. Int. J. Obes. 2022, 46, 1960–1969. [Google Scholar] [CrossRef]
- Zhang, Y.; Wang, L.; Shi, Y.; Cheng, D.; Zhu, D.; Mi, Z.; Dang, J.; Zhang, Z.; Liu, X.; Fan, H. Using Network Pharmacology to Fabricate Crosslinked Hyaluronan–Chondroitin Sulphate-Resveratrol Composite Hydrogels for Cartilage Regeneration. Biomed. Mater. 2023, 18, 055013. [Google Scholar] [CrossRef] [PubMed]
- Lu, B.; Zhao, S.; Zhang, J.; Zhan, J.; Zhang, J.; Liu, Z.; Zhang, J. Anti-Inflammatory and Antioxidant Effects on Skin Based on Supramolecular Hyaluronic Acid–Ectoin. J. Mater. Chem. B 2024, 12, 8408–8419. [Google Scholar] [CrossRef] [PubMed]
- Chen, L.H.; Xue, J.F.; Zheng, Z.Y.; Shuhaidi, M.; Thu, H.E.; Hussain, Z. Hyaluronic Acid, an Efficient Biomacromolecule for Treatment of Inflammatory Skin and Joint Diseases: A Review of Recent Developments and Critical Appraisal of Preclinical and Clinical Investigations. Int. J. Biol. Macromol. 2018, 116, 572–584. [Google Scholar] [CrossRef] [PubMed]
- Karbownik, M.S.; Nowak, J.Z. Hyaluronan: Towards Novel Anti-Cancer Therapeutics. Pharmacol. Rep. 2013, 65, 1056–1074. [Google Scholar] [CrossRef]
- Marinho, A.; Nunes, C.; Reis, S. Hyaluronic Acid: A Key Ingredient in the Therapy of Inflammation. Biomolecules 2021, 11, 1518. [Google Scholar] [CrossRef]
- Gupta, R.C.; Lall, R.; Srivastava, A.; Sinha, A. Hyaluronic Acid: Molecular Mechanisms and Therapeutic Trajectory. Front. Vet. Sci. 2019, 25, 192. [Google Scholar] [CrossRef]
- Domingues, R.M.A.; Silva, M.; Gershovich, P.; Betta, S.; Babo, P.; Caridade, S.G.; Mano, J.F.; Motta, A.; Reis, R.L.; Gomes, M.E. Development of Injectable Hyaluronic Acid/Cellulose Nanocrystals Bionanocomposite Hydrogels for Tissue Engineering Applications. Bioconjugate Chem. 2015, 26, 1571–1581. [Google Scholar] [CrossRef] [PubMed]
- Valachová, K.; Mach, M.; Šoltés, L. Oxidative Degradation of High-Molar-Mass Hyaluronan: Effects of Some Indole Derivatives to Hyaluronan Decay. Int. J. Mol. Sci. 2020, 21, 5609. [Google Scholar] [CrossRef]
- Dráfi, F.; Bauerová, K.; Valachová, K.; Poništ, S.; Mihalová, D.; Juránek, I.; Boldyrev, A.; Hrabárova, E.; Šoltés, L. Carnosine Inhibits Degradation of Hyaluronan Induced by Free Radical Processes in Vitro and Improves the Redox Imbalance in Adjuvant Arthritis in Vivo. Neuroendocrinol. Lett. 2010, 2, 96–100. [Google Scholar] [PubMed]
- Tamura, T.; Higuchi, Y.; Kitamura, H.; Murao, N.; Saitoh, R.; Morikawa, T.; Sato, H. Novel Hyaluronic Acid–Methotrexate Conjugate Suppresses Joint Inflammation in the Rat Knee: Efficacy and Safety Evaluation in Two Rat Arthritis Models. Arthritis Res. Ther. 2016, 18, 79. [Google Scholar] [CrossRef]
- Poništ, S.; Slovák, L.; Kuncírová, V.; Fedorova, T.; Logvinenko, A.; Muzychuk, O.; Mihalová, D.; Bauerová, K. Inhibition of Oxidative Stress in Brain during Rat Adjuvant Arthritis by Carnosine, Trolox and Novel Trolox-Carnosine. Physiol. Res. 2015, 64, S489–S496. [Google Scholar] [CrossRef] [PubMed]
- Paterniti, I.; Filippone, A.; Naletova, I.; Greco, V.; Sciuto, S.; Esposito, E.; Cuzzocrea, S.; Rizzarelli, E. Trehalose–Carnosine Prevents the Effects of Spinal Cord Injury Through Regulating Acute Inflammation and Zinc(II) Ion Homeostasis. Cell. Mol. Neurobiol. 2023, 43, 1637–1659. [Google Scholar] [CrossRef]
- Amorini, A.M.; Bellia, F.; Di Pietro, V.; Giardina, B.; La Mendola, D.; Lazzarino, G.; Sortino, S.; Tavazzi, B.; Rizzarelli, E.; Vecchio, G. Synthesis and Antioxidant Activity of New Homocarnosine β-Cyclodextrin Conjugates. Eur. J. Med. Chem. 2007, 42, 910–920. [Google Scholar] [CrossRef]
- Bonomo, R.P.; Bruno, V.; Conte, E.; De Guidi, G.; La Mendola, D.; Maccarrone, G.; Nicoletti, F.; Rizzarelli, E.; Sortino, S.; Vecchio, G. Potentiometric, Spectroscopic and Antioxidant Activity Studies of SOD Mimics Containing Carnosine. Dalton Trans. 2003, 4406–4415. [Google Scholar] [CrossRef]
- Oliveri, V.; Bellia, F.; Pietropaolo, A.; Vecchio, G. Unusual Cyclodextrin Derivatives as a New Avenue to Modulate Self- and Metal-Induced Aβ Aggregation. Chem.–A Eur. J. 2015, 21, 14047–14059. [Google Scholar] [CrossRef]
- Bellia, F.; Grasso, G.I.; Ahmed, I.M.M.; Oliveri, V.; Vecchio, G. Carnoquinolines Target Copper Dyshomeostasis, Aberrant Protein–Protein Interactions, and Oxidative Stress. Chem.–A Eur. J. 2020, 26, 16690–16705. [Google Scholar] [CrossRef] [PubMed]
- Oliveri, V.; Grasso, G.I.; Bellia, F.; Attanasio, F.; Viale, M.; Vecchio, G. Soluble Sugar-Based Quinoline Derivatives as New Antioxidant Modulators of Metal-Induced Amyloid Aggregation. Inorg. Chem. 2015, 54, 2591–2602. [Google Scholar] [CrossRef]
- García-Viñuales, S.; Ahmed, R.; Sciacca, M.F.M.; Lanza, V.; Giuffrida, M.L.; Zimbone, S.; Romanucci, V.; Zarrelli, A.; Bongiorno, C.; Spinella, N.; et al. Trehalose Conjugates of Silybin as Prodrugs for Targeting Toxic Aβ Aggregates. ACS Chem. Neurosci. 2020, 11, 2566–2576. [Google Scholar] [CrossRef]
- Sinopoli, A.; Giuffrida, A.; Tomasello, M.F.; Giuffrida, M.L.; Leone, M.; Attanasio, F.; Caraci, F.; De Bona, P.; Naletova, I.; Saviano, M.; et al. Ac-LPFFD-Th: A Trehalose-Conjugated Peptidomimetic as a Strong Suppressor of Amyloid-β Oligomer Formation and Cytotoxicity. ChemBioChem 2016, 17, 1541–1549. [Google Scholar] [CrossRef] [PubMed]
- Stefani, M. Biochemical and Biophysical Features of Both Oligomer/Fibril and Cell Membrane in Amyloid Cytotoxicity. FEBS J. 2010, 277, 4602–4613. [Google Scholar] [CrossRef]
- Rizzarelli, E.; Vecchio, G.; Lazzarino, G.; Amorini, A.M.; Bellia, F. Trehalose Conjugate with Carnosine Having Antioxidant Activity, Stable to Enzymatic Hydrolysis, Procedure for Its Preparation, and Pharmaceutical, Cosmetic and Nutraceutical Compositions That Contain It. European Patent EP1860116A1, 28 November 2007. [Google Scholar]
- Grasso, G.I.; Arena, G.; Bellia, F.; Maccarrone, G.; Parrinello, M.; Pietropaolo, A.; Vecchio, G.; Rizzarelli, E. Intramolecular Weak Interactions in the Thermodynamic Stereoselectivity of Copper(II) Complexes with Carnosine–Trehalose Conjugates. Chem.–A Eur. J. 2011, 17, 9448–9455. [Google Scholar] [CrossRef]
- Bellia, F.; Lanza, V.; Naletova, I.; Tomasello, B.; Ciaffaglione, V.; Greco, V.; Sciuto, S.; Amico, P.; Inturri, R.; Vaccaro, S.; et al. Copper(II) Complexes with Carnosine Conjugates of Hyaluronic Acids at Different Dipeptide Loading Percentages Behave as Multiple SOD Mimics and Stimulate Nrf2 Translocation and Antioxidant Response in In Vitro Inflammatory Model. Antioxidants 2023, 12, 1632. [Google Scholar] [CrossRef]
- Hevroni, B.L.; Major, D.T.; Dixit, M.; Mhashal, A.R.; Das, S.; Fischer, B. Nucleoside-2′,3′/3′,5′-Bis(Thio)Phosphate Antioxidants Are Also Capable of Disassembly of Amyloid Beta42-Zn(Ii)/Cu(Ii) Aggregates via Zn(Ii)/Cu(Ii)-Chelation. Org. Biomol. Chem. 2016, 14, 4640–4653. [Google Scholar] [CrossRef]
- Allen, S.J.; Watson, J.J.; Shoemark, D.K.; Barua, N.U.; Patel, N.K. GDNF, NGF and BDNF as Therapeutic Options for Neurodegeneration. Pharmacol. Ther. 2013, 138, 155–175. [Google Scholar] [CrossRef] [PubMed]
- Kambe, T.; Tsuji, T.; Hashimoto, A.; Itsumura, N. The Physiological, Biochemical, and Molecular Roles of Zinc Transporters in Zinc Homeostasis and Metabolism. Physiol. Rev. 2015, 95, 749–784. [Google Scholar] [CrossRef] [PubMed]
- De Luca, S.; Verdoliva, V.; Kargozar, S.; Baino, F. Bioactive Glass-Ceramic Scaffolds Coated with Hyaluronic Acid–Fatty Acid Conjugates: A Feasibility Study. J. Funct. Biomater. 2023, 14, 26. [Google Scholar] [CrossRef]
- Bokatyi, A.N.; Dubashynskaya, N.V.; Kudryavtsev, I.V.; Trulioff, A.S.; Rubinstein, A.A.; Vlasova, E.N.; Skorik, Y.A. Linker-Free Hyaluronic Acid-Dexamethasone Conjugates: PH-Responsive Nanocarriers for Targeted Anti-Inflammatory Therapy. Int. J. Mol. Sci. 2025, 26, 6608. [Google Scholar] [CrossRef]
- Amano, Y.; Sakura, K.L.; Ohta, S.; Ito, T. Cisplatin–Chelated Iminodiacetic Acid–Conjugated Hyaluronic Acid Nanogels for the Treatment of Malignant Pleural Mesothelioma in Mice. Mol. Pharm. 2022, 19, 853–861. [Google Scholar] [CrossRef]
- Laezza, A.; Pepe, A.; Solimando, N.; Armiento, F.; Oszust, F.; Duca, L.; Bochicchio, B. A Study on Thiol-Michael Addition to Semi-Synthetic Elastin-Hyaluronan Material for Electrospun Scaffolds. ChemPlusChem 2024, 89, e202300662. [Google Scholar] [CrossRef]
- Sciuto, S.; Greco, V.; Rizzarelli, E.; Bellia, F.; Lanza, V.; Vaccaro, S.; Messina, L. Derivatives Obtained from Hyaluronic Acid and Carnosine. U.S. Patent US10364299B2, 30 July 2019. [Google Scholar]
- Rizzarelli, E.; Sciuto, S.; Greco, V.; Satriano, C.; Inturri, R.; Messina, L.; Vaccaro, S. New Derivatives Obtained from Hyaluronic Acid and Carnosine. Patent. EP 3 922 268 B1, 11 December 2023. [Google Scholar]
- Siracusa, R.; Impellizzeri, D.; Cordaro, M.; Peritore, A.F.; Gugliandolo, E.; D’Amico, R.; Fusco, R.; Crupi, R.; Rizzarelli, E.; Cuzzocrea, S.; et al. The Protective Effect of New Carnosine-Hyaluronic Acid Conjugate on the Inflammation and Cartilage Degradation in the Experimental Model of Osteoarthritis. Appl. Sci. 2020, 10, 1324. [Google Scholar] [CrossRef]
- Jeon, N.; Kim, L.; Choi, S.G.; Lee, H.; Min, J.Y.; Kim, H.M.; Han, E.H.; Lee, E. Self-Assembled Peptide-Gold Nanoparticle 1D Nanohybrids Functionalized with GHK Tripeptide for Enhanced Wound-Healing and Photothermal Therapy. ACS Appl. Mater. Interfaces 2025, 17, 15080–15096. [Google Scholar] [CrossRef]
- Hong, M.; Gui, Y.; Xu, J.; Zhao, X.; Jiang, C.; Zhao, J.; Xin, X.; Liu, D.; Tang, X.; Tang, R.; et al. Palmitoyl Copper Peptide and Acetyl Tyrosine Complex Enhances Melanin Production in Both A375 and B16 Cell Lines. Biochem. Biophys. Res. Commun. 2025, 742, 151060. [Google Scholar] [CrossRef]
- Itoh, S.; Kim, H.W.; Nakagawa, O.; Ozumi, K.; Lessner, S.M.; Aoki, H.; Akram, K.; McKinney, R.D.; Masuko Ushio-Fukai, M.; Fukai, T. Novel role of antioxidant-1 (Atox1) as a copper-dependent transcription factor involved in cell proliferation. J. Biol. Chem. 2008, 283, 9157–9167. [Google Scholar] [CrossRef]
- Sturtz, L.A.; Diekert, K.; Jensen, L.T.; Lill, R.; Culotta, V.C. A fraction of yeast Cu,Zn-superoxide dismutase and its metallochaperone, CCS, localize to the intermembrane space of mitochondria. A physiological role for SOD1 in guarding against mitochondrial oxidative damage. J. Biol. Chem. 2001, 276, 38084–38089. [Google Scholar] [CrossRef]
- Ge, Y.; Wang, L.; Li, D.; Zhao, C.; Li, J.; Liu, T. Exploring the Extended Biological Functions of the Human Copper Chaperone of Superoxide Dismutase 1. Protein J. 2019, 38, 463–471. [Google Scholar] [CrossRef]
- Geller, B.L.; Wing, D.R. Rat liver Cu,Zn-superoxide dismutase. Subcellular location in lysosomes. J. Biol. Chem. 1982, 257, 8945–8952. [Google Scholar] [CrossRef] [PubMed]
- Qiu, L.; Ding, X.; Zhang, Z.; Kang, Y.J. Copper is required for cobalt-induced transcriptional activity of hypoxia-inducible factor-1. J. Pharmacol. Exp. Ther. 2012, 342, 561–567. [Google Scholar] [CrossRef]
- Feng, W.; Ye, F.; Xue, W.; Zhou, Z.; Kang, Y.J. Copper regulation of hypoxia-inducible factor-1 activity. Mol. Pharmacol. 2009, 75, 174–182. [Google Scholar] [CrossRef]
- Lin, W.; Xu, L.; Li, G. Molecular Insights Into Lysyl Oxidases in Cartilage Regeneration and Rejuvenation. Front. Bioeng. Biotechnol. 2020, 8, 359. [Google Scholar] [CrossRef]
- Colucci-D’amato, L.; Speranza, L.; Volpicelli, F. Neurotrophic Factor Bdnf, Physiological Functions and Therapeutic Potential in Depression, Neurodegeneration and Brain Cancer. Int. J. Mol. Sci. 2020, 21, 7777. [Google Scholar] [CrossRef]
- Chen, D.; Zhao, M.; Mundy, G.R. Bone Morphogenetic Proteins. Growth Factors 2004, 22, 233–241. [Google Scholar] [CrossRef]
- Hirono, M.; Kudo, M.; Yamada, M.; Yanagawa, Y. The Modulatory Role of Bone Morphogenetic Protein Signaling in Cerebellar Synaptic Plasticity. J. Neurochem. 2025, 169, e16290. [Google Scholar] [CrossRef]
- Sajrawi, C.; Odeh, M.; Tiwari, A.K.; Agranovich, B.; Abramovich, I.; Zubedat, S.; Saar, G.; Shaulov, L.; Avital, A.; Reznik, D.; et al. Endogenous Histidine Peptides Are Physiological Antioxidants That Prevent Oligodendrocyte Cell Death and Myelin Loss in Vivo. Glia 2025, 73, 122–139. [Google Scholar] [CrossRef]
- Jäkel, S.; Agirre, E.; Mendanha Falcão, A.; van Bruggen, D.; Lee, K.W.; Knuesel, I.; Malhotra, D.; ffrench-Constant, C.; Williams, A.; Castelo-Branco, G. Altered Human Oligodendrocyte Heterogeneity in Multiple Sclerosis. Nature 2019, 566, 543–547. [Google Scholar] [CrossRef]
- Hendrickx, D.A.E.; van Scheppingen, J.; van der Poel, M.; Bossers, K.; Schuurman, K.G.; van Eden, C.G.; Hol, E.M.; Hamann, J.; Huitinga, I. Gene Expression Profiling of Multiple Sclerosis Pathology Identifies Early Patterns of Demyelination Surrounding Chronic Active Lesions. Front. Immunol. 2017, 8, 1810. [Google Scholar] [CrossRef]
- Pietrzak, M.; Papp, A.; Curtis, A.; Handelman, S.K.; Kataki, M.; Scharre, D.W.; Rempala, G.; Sadee, W. Gene Expression Profiling of Brain Samples from Patients with Lewy Body Dementia. Biochem. Biophys. Res. Commun. 2016, 479, 875–880. [Google Scholar] [CrossRef]
- Spaas, J.; Van der Stede, T.; de Jager, S.; van de Waterweg Berends, A.; Tiane, A.; Baelde, H.; Baba, S.P.; Eckhardt, M.; Wolfs, E.; Vanmierlo, T.; et al. Carnosine Synthase Deficiency Aggravates Neuroinflammation in Multiple Sclerosis. Prog. Neurobiol. 2023, 231, 102532. [Google Scholar] [CrossRef]
- Jeong, E.K.; Selvaraj, B.; Clovis, S.; Son, Y.J.; Park, T.H.; Veeramanoharan, A.; Kim, H.-I.; Yoo, K.-Y.; Lee, J.W.; Park, C.-M. Synthesis and Neuroprotective Effects of H2S-Donor-Peptide Hybrids on Hippocampal Neuronal Cells. Free Radic. Biol. Med. 2023, 194, 316–325. [Google Scholar] [CrossRef] [PubMed]
- Zhou, J.; Li, Q.; Wu, W.; Zhang, X.; Zuo, Z.; Lu, Y.; Zhao, H.; Wang, Z. Discovery of Novel Drug Candidates for Alzheimer’s Disease by Molecular Network Modeling. Front. Aging Neurosci. 2022, 15, 850217. [Google Scholar] [CrossRef] [PubMed]
- Samanta, S.; Rajasekhar, K.; Babagond, V.; Govindaraju, T. Small Molecule Inhibits Metal-Dependent and -Independent Multifaceted Toxicity of Alzheimer’s Disease. ACS Chem. Neurosci. 2019, 10, 3611–3621. [Google Scholar] [CrossRef]
- Rajasekhar, K.; Madhu, C.; Govindaraju, T. Natural Tripeptide-Based Inhibitor of Multifaceted Amyloid β Toxicity. ACS Chem. Neurosci. 2016, 7, 1300–1310. [Google Scholar] [CrossRef] [PubMed]
- Wei, Y.; Zhou, X.; Li, Z.; Liu, Q.; Ding, H.; Zhou, Y.; Yin, R.; Zheng, L. Genetically Programmed Single-Component Protein Hydrogel for Spinal Cord Injury Repair. Adv. Sci. 2025, 12, 2405054. [Google Scholar] [CrossRef]
- Schön, M.; Mousa, A.; Berk, M.; Chia, W.L.; Ukropec, J.; Majid, A.; Ukropcová, B.; De Courten, B. The Potential of Carnosine in Brain-Related Disorders: A Comprehensive Review of Current Evidence. Nutrients 2019, 11, 1196. [Google Scholar] [CrossRef]
- Solana-Manrique, C.; Sanz, F.J.; Martínez-Carrión, G.; Paricio, N. Antioxidant and Neuroprotective Effects of Carnosine: Therapeutic Implications in Neurodegenerative Diseases. Antioxidants 2022, 11, 848. [Google Scholar] [CrossRef]
- Fang, C.; Xie, D.; Xie, L.; Niu, Z.; Su, C.; Huo, Y. Novel Progress in the Application of the Small Molecule Drug Carnosine for the Treatment of Several Diseases (Review). Int. J. Mol. Med. 2025, 56, 221. [Google Scholar] [CrossRef]
- Giuffrida, M.L.; Copani, A.; Rizzarelli, E. A Promising Connection between BDNF and Alzheimer’s Disease. Aging 2018, 10, 1791–1792. [Google Scholar] [CrossRef]
- Solier, S.; Müller, S.; Cañeque, T.; Versini, A.; Mansart, A.; Sindikubwabo, F.; Baron, L.; Emam, L.; Gestraud, P.; Pantoș, G.D.; et al. A Druggable Copper-Signalling Pathway That Drives Inflammation. Nature 2023, 617, 386–394. [Google Scholar] [CrossRef]
- Kim, S.-H.; Cho, Y.-S.; Kim, Y.; Park, J.; Yoo, S.-M.; Gwak, J.; Kim, Y.; Gwon, Y.; Kam, T.; Jung, Y.-K. Endolysosomal Impairment by Binding of Amyloid Beta or MAPT/Tau to V-ATPase and Rescue via the HYAL-CD44 Axis in Alzheimer Disease. Autophagy 2023, 19, 2318–2337. [Google Scholar] [CrossRef]
- Takasugi, M.; Ohtani, N.; Takemura, K.; Emmrich, S.; Zakusilo, F.T.; Yoshida, Y.; Kutsukake, N.; Mariani, J.N.; Windrem, M.S.; Chandler-Militello, D.; et al. CD44 Correlates with Longevity and Enhances Basal ATF6 Activity and ER Stress Resistance. Cell Rep. 2023, 42, 113130. [Google Scholar] [CrossRef] [PubMed]
- Radbakhsh, S.; Abrego-Guandique, D.M.; Bacchetti, T.; Aghaee-Bakhtiari, S.H.; Mahmoudi, A.; Manteghi, A.A.; Bazyari, M.J.; Cione, E.; Ferretti, G.; Sahebkar, A. Direct Hybridization and Bioinformatics Analysis of Circulating MicroRNAs in Patients with Alzheimer’s Disease under Intravenous Trehalose Treatment. Brain Res. 2025, 1857, 149607. [Google Scholar] [CrossRef] [PubMed]
- Pupyshev, A.B.; Klyushnik, T.P.; Akopyan, A.A.; Singh, S.K.; Tikhonova, M.A. Disaccharide Trehalose in Experimental Therapies for Neurodegenerative Disorders: Molecular Targets and Translational Potential. Pharmacol. Res. 2022, 183, 106373. [Google Scholar] [CrossRef] [PubMed]
- Gopar-Cuevas, Y.; Saucedo-Cardenas, O.; Loera-Arias, M.J.; Montes-de-Oca-Luna, R.; Rodriguez-Rocha, H.; Garcia-Garcia, A. Metformin and Trehalose-Modulated Autophagy Exerts a Neurotherapeutic Effect on Parkinsonʼs Disease. Mol. Neurobiol. 2023, 60, 7253–7273. [Google Scholar] [CrossRef]











| Car Loading | ||||
|---|---|---|---|---|
| HA MW | % | m | n | |
| HA(200) | 200 | - | 510 | - |
| HACar1(200)7 | 200 | 7 | 475 | 35 |
| HACar1(200)10 | 200 | 10 | 459 | 51 |
| HACar1(200)14 | 200 | 14 | 440 | 70 |
| HACar1(200)35 | 200 | 35 | 335 | 175 |
| HA(700) | 700 | - | 1965 | - |
| HACar1(700)35 | 700 | 35 | 1285 | 680 |
| SOD1/SOD1 Mimic | I50 µM |
|---|---|
| SOD1 | 0.014(3) |
| Cu-HACar1(700)10 | 0.05(4) |
| Cu-HACar1(700)25 | 0.05(2) |
| Cu-HACar1(700)35 | 0.09(2) |
| Cu-HACar1(200)7 | 0.21(4) |
| Cu-HACar1(200)10 | 0.09(1) |
| Cu-HACar1(200)14 | 0.03(2) |
| Cu-HACar1(200)25 | 0.03(2) |
| Cu-HACar1(200)35 | 0.02(1) |
| Cu-HA(700) | 0.8(2) |
| Cu-HA(200) | 1.0(3) |
| CuCar | 1.0(2) |
| Cu(HPO4) | 1.06 |
Disclaimer/Publisher’s Note: The statements, opinions and data contained in all publications are solely those of the individual author(s) and contributor(s) and not of MDPI and/or the editor(s). MDPI and/or the editor(s) disclaim responsibility for any injury to people or property resulting from any ideas, methods, instructions or products referred to in the content. |
© 2025 by the authors. Licensee MDPI, Basel, Switzerland. This article is an open access article distributed under the terms and conditions of the Creative Commons Attribution (CC BY) license (https://creativecommons.org/licenses/by/4.0/).
Share and Cite
Naletova, I.; Rizzarelli, E. Protective Functions of β-Alanyl-L-Histidine and Glycyl-L-Histidyl-L-Lysine Glycoconjugates and Copper in Concert. Antioxidants 2025, 14, 1512. https://doi.org/10.3390/antiox14121512
Naletova I, Rizzarelli E. Protective Functions of β-Alanyl-L-Histidine and Glycyl-L-Histidyl-L-Lysine Glycoconjugates and Copper in Concert. Antioxidants. 2025; 14(12):1512. https://doi.org/10.3390/antiox14121512
Chicago/Turabian StyleNaletova, Irina, and Enrico Rizzarelli. 2025. "Protective Functions of β-Alanyl-L-Histidine and Glycyl-L-Histidyl-L-Lysine Glycoconjugates and Copper in Concert" Antioxidants 14, no. 12: 1512. https://doi.org/10.3390/antiox14121512
APA StyleNaletova, I., & Rizzarelli, E. (2025). Protective Functions of β-Alanyl-L-Histidine and Glycyl-L-Histidyl-L-Lysine Glycoconjugates and Copper in Concert. Antioxidants, 14(12), 1512. https://doi.org/10.3390/antiox14121512

