Impact of Elicitation on Plant Antioxidants Production in Taxus Cell Cultures
Abstract
1. Introduction
2. Material and Methods
2.1. Plant Material and Establishment of Cell Suspensions
2.2. Elicitation Experiments and Biomass Determination
2.3. Sample Extraction for Untargeted Metabolomics
2.4. Phenolic Profiling via UHPLC/QTOF-MS Approach
2.5. Determination of Antioxidant Activity by DPPH Radical Scavenging Assay
2.6. Bioinformatic Analysis and Statistics
2.7. Statistical Analysis
3. Results
3.1. Untargeted Metabolomics of Elicited T. baccata Suspension Cell Cultures and Unsupervised Multivariate Analysis
3.2. Multivariate Supervised OPLS-DA Models of Elicited T. baccata Suspension Cell Cultures and Determination of VIP Markers
3.3. Semi-Quantification of the Phenolic Compounds in Elicited T. baccata Suspension Cell Cultures
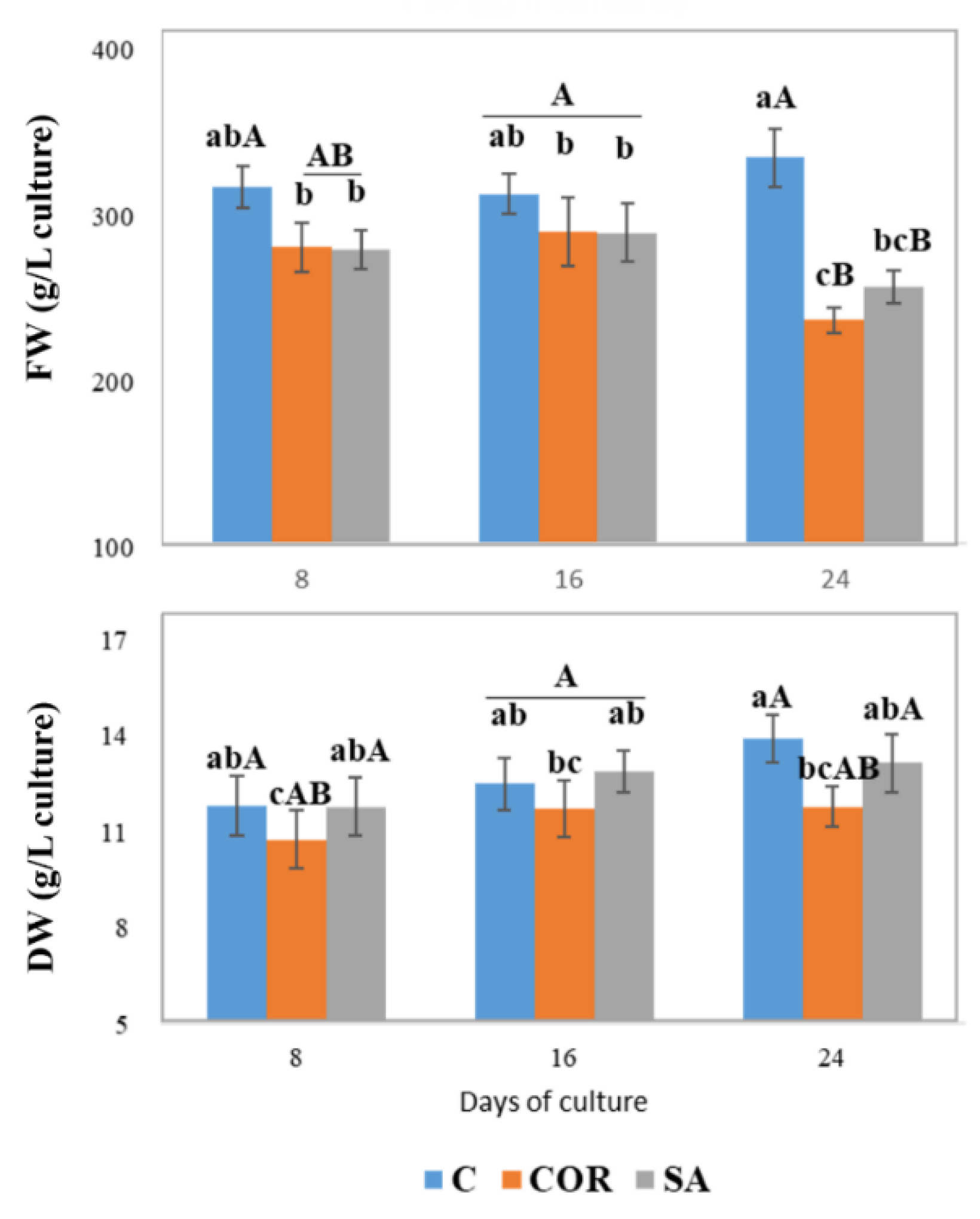
3.4. Effect of Elicitation on Cell Biomass of Taxus baccata Cell Suspension Cultures
3.5. Determination of Antioxidant Activity by DPPH Radical Scavenging Assay
4. Discussion
5. Conclusions
Supplementary Materials
Author Contributions
Funding
Institutional Review Board Statement
Informed Consent Statement
Data Availability Statement
Conflicts of Interest
References
- Hidalgo, D.; Sanchez, R.; Lalaleo, L.; Bonfill, M.; Corchete, P.; Palazon, J. Biotechnological Production of Pharmaceuticals and Biopharmaceuticals in Plant Cell and Organ Cultures. Curr. Med. Chem. 2018, 25, 3577–3596. [Google Scholar] [CrossRef] [PubMed]
- Shen, Y.-C.; Chen, C.-Y. Taxane Diterpenes fromTaxus mairei. Planta Medica 1997, 63, 569–570. [Google Scholar] [CrossRef] [PubMed]
- Ohtsuki, K.; Miyai, S.; Yamaguchi, A.; Morikawa, K.; Okano, T. Biochemical Characterization of Novel Lignans Isolated form the Wood of Taxus yunnanensis as Effective Stimulators for Glycogen Synthase Kinase-3beta and the Phosphorylation of Basic Brain Proteins by the Kinase in vitro. Biol. Pharm. Bull. 2012, 35, 385–393. [Google Scholar] [CrossRef] [PubMed]
- Yu, J.; Wang, Y.; Qian, H.; Zhao, Y.; Liu, B.; Fu, C. Polyprenols from the needles of Taxus chinensis var. mairei. Fitoterapia 2012, 83, 831–837. [Google Scholar] [CrossRef] [PubMed]
- Veselova, M.V.; Fedoreev, S.A.; Vasilevskaya, N.A.; Denisenko, V.A.; Gerasimenko, A.V. Antioxidant Activity of Pol-yphenols from the Far-East Plant Taxus cuspidata. Pharm. Chem. J. 2007, 41, 88–93. [Google Scholar] [CrossRef]
- Kucukboyacı, N.; Orhan, I.; Şener, B.; Nawaz, S.A.; Choudhary, M.I. Assessment of Enzyme Inhibitory and Antioxidant Activities of Lignans from Taxus baccata L. Z. Naturforsch. 2010, 65, 187–194. [Google Scholar] [CrossRef]
- Elansary, H.O.; Szopa, A.; Kubica, P.; Al-Mana, F.A.; Mahmoud, E.A.; El-Abedin, T.K.A.Z.; Mattar, M.A.; Ekiert, H. Phenolic Compounds of Catalpa speciosa, Taxus cuspidata, and Magnolia acuminata have Antioxidant and Anticancer Activity. Molecules 2019, 24, 412. [Google Scholar] [CrossRef]
- Dumitraş, D.-A.; Bunea, A.; Vodnar, D.C.; Hanganu, D.; Pall, E.; Cenariu, M.; Gal, A.F.; Andrei, S. Phytochemical Characterization of Taxus baccata L. Aril with Emphasis on Evaluation of the Antiproliferative and Pro-Apoptotic Activity of Rhodoxanthin. Antioxidants 2022, 11, 1039. [Google Scholar] [CrossRef]
- Minutolo, M.; Chiaiese, P.; Di Matteo, A.; Errico, A.; Corrado, G. Accumulation of Ascorbic Acid in Tomato Cell Culture: Influence of the Genotype, Source Explant and Time of In Vitro Cultivation. Antioxidants 2020, 9, 222. [Google Scholar] [CrossRef]
- Khojasteh, A.; Mirjalili, M.H.; Alcalde, M.A.; Cusido, R.M.; Eibl, R.; Palazon, J. Powerful Plant Antioxidants: A New Biosustainable Approach to the Production of Rosmarinic Acid. Antioxidants 2020, 9, 1273. [Google Scholar] [CrossRef]
- Hyun, M.W.; Yun, Y.H.; Kim, J.Y.; Kim, S.H. Fungal and Plant Phenylalanine Ammonia-lyase. Mycobiology 2011, 39, 257–265. [Google Scholar] [CrossRef]
- Aguirre-Becerra, H.; Vazquez-Hernandez, M.C.; Saenz de la O, D.; Alvarado-Mariana, A.; Guevara-Gonzalez, R.G.; Garcia-Trejo, J.F.; Feregrino-Perez, A.A. Role of Stress and Defense in Plant Secondary Metabolites Production. In Bioactive Natural Products for Pharmaceu-Tical Applications; Springer: Cham, Switzerland, 2021; pp. 151–195. [Google Scholar]
- Krasteva, G.; Georgiev, V.; Pavlov, A. Recent applications of plant cell culture technology in cosmetics and foods. Eng. Life Sci. 2020, 21, 68–76. [Google Scholar] [CrossRef]
- García-Pérez, P.; Lozano-Milo, E.; Zhang, L.; Miras-Moreno, B.; Landin, M.; Lucini, L.; Gallego, P.P. Neurofuzzy logic predicts a fine-tuning metabolic reprogramming on elicited Bryophyllum PCSCs guided by salicylic acid. Front. Plant Sci. 2022, 13, 991557. [Google Scholar] [CrossRef]
- Sykłowska-Baranek, K.; Łysik, K.; Jeziorek, M.; Wencel, A.; Gajcy, M.; Pietrosiuk, A. Lignan accumulation in two-phase cultures of Taxus x media hairy roots. Plant Cell Tiss. Org. (PCTOC) 2018, 133, 371–384. [Google Scholar] [CrossRef]
- García-Pérez, P.; Miras-Moreno, B.; Lucini, L.; Gallego, P.P. The metabolomics reveals intraspecies variability of bioactive compounds in elicited suspension cell cultures of three Bryophyllum species. Ind. Crops Prod. 2021, 163, 113322. [Google Scholar] [CrossRef]
- Perez-Matas, E.; Hanano, A.; Moyano, E.; Bonfill, M.; Cusido, R.M.; Palazon, J. Insights into the control of taxane metabolism: Molecular, cellular, and metabolic changes induced by elicitation in Taxus baccata cell suspensions. Front. Plant Sci. 2022, 13, 942433. [Google Scholar] [CrossRef]
- Gamborg, O.L.; Miller, R.A.; Ojima, K. Nutrient requirements of suspension cultures of soybean root cells. Exp. Cell Res. 1968, 50, 151–158. [Google Scholar] [CrossRef]
- Kim, B.J.; Gibson, N.M.; Shuler, M.L. Relationship of Viability and Apoptosis to Taxol Production in Taxus sp. Suspension Cultures Elicited with Methyl Jasmonate. Biotechnol. Prog. 2008, 21, 700–707. [Google Scholar] [CrossRef]
- Onrubia, M.; Moyano, E.; Bonfill, M.; Cusidó, R.M.; Goossens, A.; Palazón, J. Coronatine, a more powerful elicitor for inducing taxane biosynthesis in Taxus media cell cultures than methyl jasmonate. J. Plant Physiol. 2013, 170, 211–219. [Google Scholar] [CrossRef]
- Salek, R.M.; Steinbeck, C.; Viant, M.R.; Goodacre, R.; Dunn, W.B. The role of reporting standards for metabolite annotation and identification in metabolomic studies. Gigascience 2013, 2, 13. [Google Scholar] [CrossRef]
- Xiao, F.; Xu, T.; Lu, B.; Liu, R. Guidelines for antioxidant assays for food components. Food Front. 2020, 1, 60–69. [Google Scholar] [CrossRef]
- Perez-Matas, E.; Hidalgo-Martinez, D.; Escrich, A.; Alcalde, M.A.; Moyano, E.; Bonfill, M.; Palazon, J. Genetic approaches in improving biotechnological production of taxanes: An update. Front. Plant Sci. 2023, 14, 1–12. [Google Scholar] [CrossRef] [PubMed]
- Palazón, J.; Cusidó, R.M.; Bonfill, M.; Morales, C.; Piñol, M. Inhibition of paclitaxel and baccatin III accumulation by mevinolin and fosmidomycin in suspension cultures of Taxus baccata. J. Biotechnol. 2003, 101, 157–163. [Google Scholar] [CrossRef]
- Vidal-Limon, H.R.; Almagro, L.; Moyano, E.; Palazon, J.; Pedreño, M.A.; Cusido, R.M. Perfluorodecalins and Hexenol as Inducers of Secondary Metabolism in Taxus media and Vitis vinifera Cell Cultures. Front. Plant Sci. 2018, 9, 335. [Google Scholar] [CrossRef] [PubMed]
- Escrich, A.; Almagro, L.; Moyano, E.; Cusido, R.M.; Bonfill, M.; Hosseini, B.; Palazon, J. Improved biotechnological production of paclitaxel in Taxus media cell cultures by the combined action of coronatine and calix[8]arenes. Plant Physiol. Biochem. 2021, 163, 68–75. [Google Scholar] [CrossRef]
- Koo, A.J.K.; Cooke, T.F.; Howe, G.A. Cytochrome P450 CYP94B3 mediates catabolism and inactivation of the plant hormone jasmonoyl-L-isoleucine. Proc. Natl. Acad. Sci. USA 2011, 108, 9298–9303. [Google Scholar] [CrossRef]
- Heitz, T.; Widemann, E.; Lugan, R.; Miesch, L.; Ullmann, P.; Désaubry, L.; Holder, E.; Grausem, B.; Kandel, S.; Miesch, M.; et al. Cytochromes P450 CYP94C1 and CYP94B3 Catalyze Two Successive Oxidation Steps of Plant Hormone Jasmonoyl-isoleucine for Catabolic Turnover. J. Biol. Chem. 2012, 287, 6296–6306. [Google Scholar] [CrossRef]
- Wang, L.; Zhu, C.; Jin, L.; Xiao, A.; Duan, J.; Ma, L. A novel gene of Kalanchoe daigremontiana confers plant drought resistance. Sci. Rep. 2018, 8, 2547. [Google Scholar] [CrossRef]
- Gabotti, D.; Locatelli, F.; Cusano, E.; Baldoni, E.; Genga, A.; Pucci, L.; Consonni, R.; Mattana, M. Cell Suspensions of Cannabis sativa (var. Futura): Effect of Elicitation on Metabolite Content and Antioxidant Activity. Molecules 2019, 24, 4056. [Google Scholar] [CrossRef]
- Nazir, M.; Asad-Ullah, M.; Mumtaz, S.; Siddiquah, A.; Shah, M.; Drouet, S.; Hano, C.; Abbasi, B.H. Interactive Effect of Melatonin and UV-C on Phenylpropanoid Metabolite Production and Antioxidant Potential in Callus Cultures of Purple Basil (Ocimum basilicum L. var purpurascens). Molecules 2020, 25, 1072. [Google Scholar] [CrossRef]
- Wong, C.-C.; Li, H.-B.; Cheng, K.-W.; Chen, F. A systematic survey of antioxidant activity of 30 Chinese medicinal plants using the ferric reducing antioxidant power assay. Food Chem. 2006, 97, 705–711. [Google Scholar] [CrossRef]
- Dudonne, S.; Vitrac, X.; Coutiere, P.; Woillez, M.; Merillon, J.M. Comparative Study of Antioxidant Properties and Total Phenolic Content of 30 Plants of Industrial Interest Using DPPH, ABTS, FRAP, SOD, and ORAC assays. J. Agric. Food Chem. 2009, 57, 1768–1774. [Google Scholar] [CrossRef]
- Krzemińska, M.; Owczarek, A.; Gonciarz, W.; Chmiela, M.; Olszewska, M.A.; Grzegorczyk-Karolak, I. The Antioxidant, Cytotoxic and Antimicrobial Potential of Phenolic Acids-Enriched Extract of Elicited Hairy Roots of Salvia bulleyana. Molecules 2022, 27, 992. [Google Scholar] [CrossRef]
- Mansinhos, I.; Gonçalves, S.; Rodríguez-Solana, R.; Duarte, H.; Ordóñez-Díaz, J.L.; Moreno-Rojas, J.M.; Romano, A. Response of Thymus lotocephalus In Vitro Cultures to Drought Stress and Role of Green Extracts in Cosmetics. Antioxidants 2022, 11, 1475. [Google Scholar] [CrossRef]
- Topcu, G.; Demirkiran, O. Lignans from Taxus Species. In Bioactive Heterocycles V; Khan, M.T.H., Ed.; Springer: Berlin, Germany, 2007; Volume 11, pp. 103–144. [Google Scholar] [CrossRef]







Disclaimer/Publisher’s Note: The statements, opinions and data contained in all publications are solely those of the individual author(s) and contributor(s) and not of MDPI and/or the editor(s). MDPI and/or the editor(s) disclaim responsibility for any injury to people or property resulting from any ideas, methods, instructions or products referred to in the content. |
© 2023 by the authors. Licensee MDPI, Basel, Switzerland. This article is an open access article distributed under the terms and conditions of the Creative Commons Attribution (CC BY) license (https://creativecommons.org/licenses/by/4.0/).
Share and Cite
Perez-Matas, E.; Garcia-Perez, P.; Bonfill, M.; Lucini, L.; Hidalgo-Martinez, D.; Palazon, J. Impact of Elicitation on Plant Antioxidants Production in Taxus Cell Cultures. Antioxidants 2023, 12, 887. https://doi.org/10.3390/antiox12040887
Perez-Matas E, Garcia-Perez P, Bonfill M, Lucini L, Hidalgo-Martinez D, Palazon J. Impact of Elicitation on Plant Antioxidants Production in Taxus Cell Cultures. Antioxidants. 2023; 12(4):887. https://doi.org/10.3390/antiox12040887
Chicago/Turabian StylePerez-Matas, Edgar, Pascual Garcia-Perez, Mercedes Bonfill, Luigi Lucini, Diego Hidalgo-Martinez, and Javier Palazon. 2023. "Impact of Elicitation on Plant Antioxidants Production in Taxus Cell Cultures" Antioxidants 12, no. 4: 887. https://doi.org/10.3390/antiox12040887
APA StylePerez-Matas, E., Garcia-Perez, P., Bonfill, M., Lucini, L., Hidalgo-Martinez, D., & Palazon, J. (2023). Impact of Elicitation on Plant Antioxidants Production in Taxus Cell Cultures. Antioxidants, 12(4), 887. https://doi.org/10.3390/antiox12040887

