RNA-Seq Analysis Demystify the Pathways of UV-A Supplementation in Different Photoperiods Integrated with Blue and Red Light on Morphology and Phytochemical Profile of Kale
Abstract
1. Introduction
2. Materials and Methods
2.1. Plant Materials, Growth Condition, and Light Treatments
2.2. Biometric Measurements
2.3. Pigment Content Assay
2.4. Phytochemical Measurements
2.4.1. Soluble Protein Content Assay
2.4.2. Soluble Sugar Content Assay
2.4.3. Vitamin C Content Measurement
2.4.4. Nitrate Content Measurement
2.4.5. DPPH Radical Inhibition Percentage Measurement
2.4.6. Ferric Ion-Reducing Antioxidant Power Measurement
2.4.7. Total Phenolic Content Measurement
2.4.8. Total Flavonoids Content Measurement
2.4.9. Mineral Element Contents Measurement
2.4.10. Glucosinolates Content Measurement
2.5. RNA Extraction and Illumina Sequencing
2.6. Mapping, DEGs, GO Enrichment, and KEGG Pathway Analysis
2.7. Weighted Gene Co-Expression Network (WGCNA) Analysis and Gene Network Visualization
2.8. qRT-PCR Analysis
2.9. Statistical Analysis
3. Results
3.1. Morphology and Biomass of Kale in UV-A Supplementation
3.2. Pigment of Kale Leaves in UV-A Supplementation
3.3. Soluble Protein, Soluble Sugar, Vitamin C, and Nitrate Contents Assay
3.4. Antioxidant Capacity and Compounds Assay
3.5. Mineral Element Content Assay
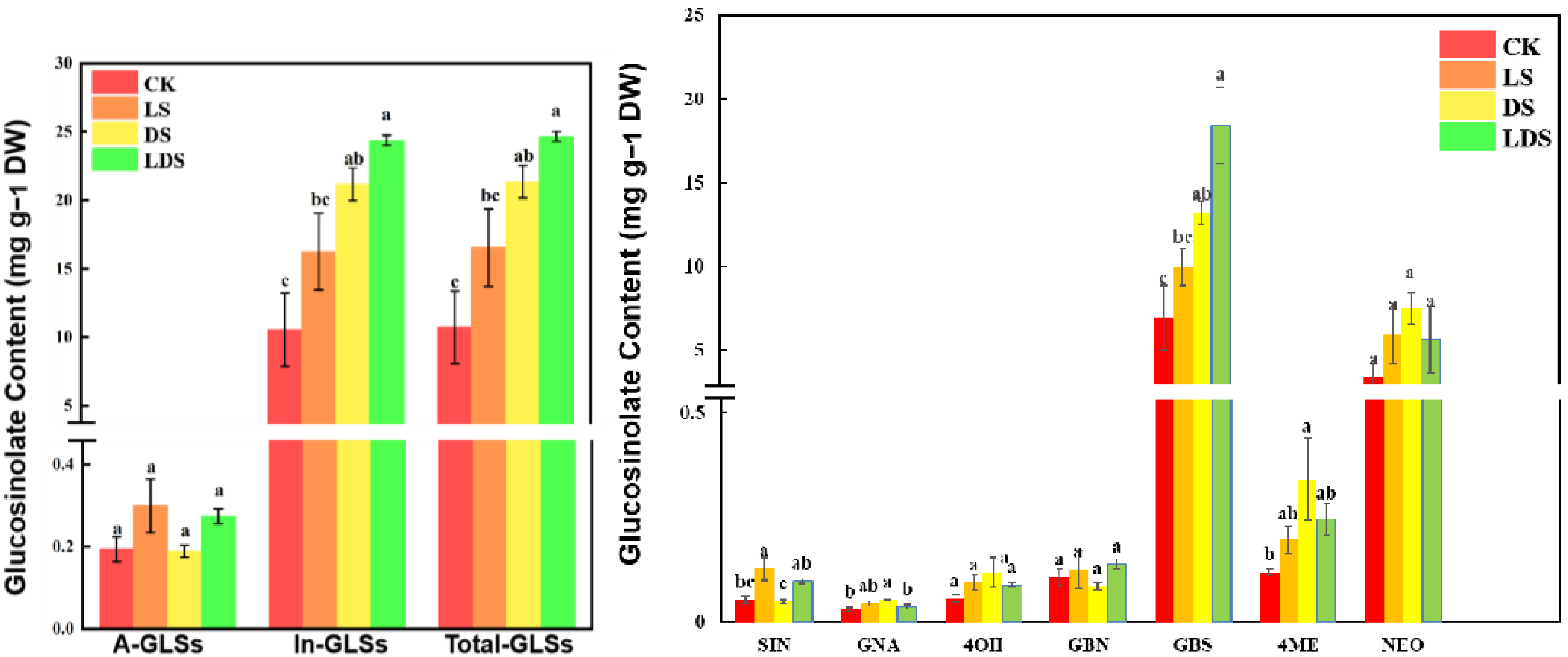
3.6. Glucosinolate Content Assay
3.7. Heatmap and Multivariate Principal Component Analysis
3.8. RNA-Seq Analysis
3.8.1. Illumina Sequencing, Mapping Reads, and Transcript Identification
3.8.2. Identification of Differential Expression Genes (DEGs)
3.8.3. Gene Ontology (GO) Enrichment and KEGG Pathway Analysis of DEGs
3.8.4. Identification of Key Regulatory Genes Involved in Important Pathways
3.8.5. WGCNA Analysis
3.9. Validation of DEGs Expression Patterns
4. Discussion
5. Conclusions
Supplementary Materials
Author Contributions
Funding
Institutional Review Board Statement
Informed Consent Statement
Data Availability Statement
Conflicts of Interest
References
- Shi, H.; Lyu, M.; Luo, Y.; Liu, S.; Li, Y.; He, H.; Wei, N.; Deng, X.W.; Zhong, S. Genome-Wide Regulation of Light-Controlled Seedling Morphogenesis by Three Families of Transcription Factors. Proc. Natl. Acad. Sci. USA 2018, 115, 6482–6487. [Google Scholar] [CrossRef] [PubMed]
- Jiao, Y.; Lau, O.S.; Deng, X.W. Light-Regulated Transcriptional Networks in Higher Plants. Nat. Rev. Genet. 2007, 8, 217–230. [Google Scholar] [CrossRef] [PubMed]
- Kataria, S.; Guruprasad, K.N. Intraspecific Variations in Growth, Yield and Photosynthesis of Sorghum Varieties to Ambient UV (280–400 nm) Radiation. Plant Sci. 2012, 196, 85–92. [Google Scholar] [CrossRef] [PubMed]
- Kataria, S.; Guruprasad, K.N. Exclusion of Solar UV Radiation Improves Photosynthetic Performance and Yield of Wheat Varieties. Plant Physiol. Biochem. 2015, 97, 400–411. [Google Scholar] [CrossRef] [PubMed]
- Biswas, D.K.; Jansen, M.A.K. Natural Variation in UV-B Protection amongst Arabidopsis thaliana Accessions. Emir. J. Food Agric. 2012, 24, 621–631. [Google Scholar] [CrossRef]
- Chen, Y.; Li, T.; Yang, Q.; Zhang, Y.; Zou, J.; Bian, Z.; Wen, X. UVA Radiation Is Beneficial for Yield and Quality of Indoor Cultivated Lettuce. Front. Plant Sci. 2019, 10, 1653. [Google Scholar] [CrossRef]
- Kang, S.; Zhang, Y.; Zhang, Y.; Zou, J.; Yang, Q.; Li, T. Ultraviolet-a Radiation Stimulates Growth of Indoor Cultivated Tomato (Solanum lycopersicum) Seedlings. HortScience 2018, 53, 1429–1433. [Google Scholar] [CrossRef]
- Banaś, A.K.; Aggarwal, C.; Łabuz, J.; Sztatelman, O.; Gabryś, H. Blue Light Signalling in Chloroplast Movements. J. Exp. Bot. 2012, 63, 1559–1574. [Google Scholar] [CrossRef]
- Kagawa, T.; Sakai, T.; Suetsugu, N.; Oikawa, K.; Ishiguro, S.; Kato, T.; Tabata, S.; Okada, K.; Wada, M. Arabidopsis NPL1: A Phototropin Homolog Controlling the Chloroplast High-Light Avoidance Response; Landes Bioscience: Austin, TX, USA, 2000; Volume 25. [Google Scholar]
- Moreira-Rodríguez, M.; Nair, V.; Benavides, J.; Cisneros-Zevallos, L.; Jacobo-Velázquez, D.A. UVA, UVB Light, and Methyl Jasmonate, Alone or Combined, Redirect the Biosynthesis of Glucosinolates, Phenolics, Carotenoids, and Chlorophylls in Broccoli Sprouts. Int. J. Mol. Sci. 2017, 18, 2330. [Google Scholar] [CrossRef]
- Liu, W.; Yang, Q. Effects of Day-Night Supplemental UV-A on Growth, Photosynthetic Pigments and Antioxidant System of Pea Seedlings in Glasshouse. Afr. J. Biotechnol. 2012, 11, 14786–14791. [Google Scholar] [CrossRef]
- Chen, Y.; Fanourakis, D.; Tsaniklidis, G.; Aliniaeifard, S.; Yang, Q.; Li, T. Low UVA Intensity during Cultivation Improves the Lettuce Shelf-Life, an Effect That Is Not Sustained at Higher Intensity. Postharvest Biol. Technol. 2021, 172, 111376. [Google Scholar] [CrossRef]
- Sun, B.; Liu, N.; Zhao, Y.; Yan, H.; Wang, Q. Variation of Glucosinolates in Three Edible Parts of Chinese Kale (Brassica alboglabra Bailey) Varieties. Food Chem. 2011, 124, 941–947. [Google Scholar] [CrossRef]
- Agati, G.; Brunetti, C.; di Ferdinando, M.; Ferrini, F.; Pollastri, S.; Tattini, M. Functional Roles of Flavonoids in Photoprotection: New Evidence, Lessons from the Past. Plant Physiol. Biochem. 2013, 72, 35–45. [Google Scholar] [CrossRef] [PubMed]
- Yan, X.; Chen, S. Regulation of Plant Glucosinolate Metabolism. Planta 2007, 226, 1343–1352. [Google Scholar] [CrossRef]
- Zhuang, L.; Huang, G.; Li, X.; Xiao, J.; Guo, L. Effect of Different LED Lights on Aliphatic Glucosinolates Metabolism and Biochemical Characteristics in Broccoli Sprouts. Food Res. Int. 2022, 154, 111015. [Google Scholar] [CrossRef]
- Tian, X.; Li, S.; Liu, Y.; Liu, X. Transcriptomic Profiling Reveals Metabolic and Regulatory Pathways in the Desiccation Tolerance of Mungbean (Vigna radiata [L.] R. Wilczek). Front. Plant Sci. 2016, 7, 1921. [Google Scholar] [CrossRef]
- Zhang, J.; Zhao, J.; Tan, Q.; Qiu, X.; Mei, S. Comparative Transcriptome Analysis Reveals Key Genes Associated with Pigmentation in Radish (Raphanus sativus L.) Skin and Flesh. Sci. Rep. 2021, 11, 11434. [Google Scholar] [CrossRef]
- Xiao, Z.; Liu, X.; Fang, Z.; Yang, L.; Zhang, Y.; Wang, Y.; Zhuang, M.; Lv, H. Transcriptome and Plant Hormone Analyses Provide New Insight into the Molecular Regulatory Networks Underlying Hybrid Lethality in Cabbage (Brassica oleracea). Planta 2021, 253, 96. [Google Scholar] [CrossRef]
- Liu, C.; Yao, X.; Li, G.; Huang, L.; Xie, Z. Transcriptomic Profiling of Purple Broccoli Reveals Light-Induced Anthocyanin Biosynthetic Signaling and Structural Genes. PeerJ 2020, 3, e8870. [Google Scholar] [CrossRef]
- Verdaguer, D.; Jansen, M.A.K.; Llorens, L.; Morales, L.O.; Neugart, S. UV-A Radiation Effects on Higher Plants: Exploring the Known Unknown. Plant Sci. 2017, 255, 72–81. [Google Scholar] [CrossRef]
- Lichtenthaler, H.K.; Buschmann, C. Chlorophylls and Carotenoids: Measurement and Characterization by UV-VIS Spectroscopy. Curr. Protoc. Food Anal. Chem. 2001, 1, 431–438. [Google Scholar] [CrossRef]
- Blakesley, R.W.; Boezi, J.A. A New Staining Technique for Proteins in Polyacrylamide Gels Using Coomassie Brilliant Blue G250. Anal. Biochem. 1977, 82, 580–582. [Google Scholar] [CrossRef] [PubMed]
- Kohyama, K.; Nishinari, K. Cellulose Derivatives Effects on Gelatinization and Retrogradation of Sweet Potato Starch. J. Food Sci. 1992, 57, 128–131. [Google Scholar] [CrossRef]
- Chen, G.; Mo, L.; Li, S.; Zhou, W.; Wang, H.; Liu, J.; Yang, C. Separation and Determination of Reduced Vitamin C in Polymerized Hemoglobin-Based Oxygen Carriers of the Human Placenta. Artif. Cells Nanomed. Biotechnol. 2015, 43, 152–156. [Google Scholar] [CrossRef] [PubMed]
- Cataldo, D.A.; Haroon, M.H.; Schrader, L.E.; Youngs, V.L. Rapid Colorimetric Determination of Nitrate in Plant Tissue by Nitration of Salicylic Acid. Commun. Soil Sci. Plant Anal. 1975, 6, 71–80. [Google Scholar] [CrossRef]
- Musa, K.H.; Abdullah, A.; Kuswandi, B.; Hidayat, M.A. A Novel High Throughput Method Based on the DPPH Dry Reagent Array for Determination of Antioxidant Activity. Food Chem. 2013, 141, 4102–4106. [Google Scholar] [CrossRef]
- Benzie, I.F.F.; Strain, J.J. The Ferric Reducing Ability of Plasma (FRAP) as a Measure of “Antioxidant Power”: The FRAP Assay. Anal. Biochem. 1996, 239, 70–76. [Google Scholar] [CrossRef] [PubMed]
- Rahman, M.J.; de Camargo, A.C.; Shahidi, F. Phenolic Profiles and Antioxidant Activity of Defatted Camelina and Sophia Seeds. Food Chem. 2018, 240, 917–925. [Google Scholar] [CrossRef]
- Chandrasekara, A.; Shahidi, F. Content of Insoluble Bound Phenolics in Millets and Their Contribution to Antioxidant Capacity. J. Agric. Food Chem. 2010, 58, 6706–6714. [Google Scholar] [CrossRef]
- Gao, M.; Li, Y.; Jiang, H.; He, R.; Shi, R.; Song, S.; Liu, H. UVA-Radiation Exposure of Different Durations Promoted the Growth, Phytochemicals and Glucosinolate Biosynthesis of Chinese Kale. Int. J. Mol. Sci. 2022, 23, 7619. [Google Scholar] [CrossRef]
- Li, Y.; Gao, M.; He, R.; Zhang, Y.; Song, S.; Su, W.; Liu, H. Far-Red Light Suppresses Glucosinolate Profiles of Chinese Kale through Inhibiting Genes Related to Glucosinolate Biosynthesis. Environ. Exp. Bot. 2021, 188, 104507. [Google Scholar] [CrossRef]
- Chen, S.; Zhou, Y.; Chen, Y.; Gu, J.; Biotechnology, H. Fastp: An Ultra-Fast All-in-One FASTQ Preprocessor. bioRxiv 2018. [Google Scholar] [CrossRef] [PubMed]
- Love, M.I.; Huber, W.; Anders, S. Supplementary Materials for: Moderated Estimation of Fold Change and Dispersion for RNA-Seq Data with DESeq2. Genome Biol. 2014, 15, 550. [Google Scholar] [CrossRef] [PubMed]
- Langfelder, P.; Horvath, S. WGCNA: An R Package for Weighted Correlation Network Analysis. BMC Bioinform. 2008, 9, 1–13. [Google Scholar] [CrossRef] [PubMed]
- Livak, K.J.; Schmittgen, T.D. Analysis of Relative Gene Expression Data Using Real-Time Quantitative PCR and the 2−ΔΔCT Method. Methods 2001, 25, 402–408. [Google Scholar] [CrossRef]
- Chen, C.; Chen, H.; Zhang, Y.; Thomas, H.R.; Frank, M.H.; He, Y.; Xia, R. TBtools: An Integrative Toolkit Developed for Interactive Analyses of Big Biological Data. Mol. Plant 2020, 13, 1194–1202. [Google Scholar] [CrossRef]
- Lin, C.; Yang, H.; Guo, H.; Mockler, T.; Chen, J.; Cashmore, A.R. Enhancement of Blue-Light Sensitivity of Arabidopsis Seedlings by a Blue Light Receptor Cryptochrome 2. Proc. Natl. Acad. Sci. USA 1998, 95, 2686–2690. [Google Scholar] [CrossRef] [PubMed]
- Wang, W.; Lu, X.; Li, L.; Lian, H.; Mao, Z.; Xu, P.; Guo, T.; Xu, F.; Du, S.; Cao, X.; et al. Photoexcited CRYPTOCHROME1 Interacts with Dephosphorylated Bes1 to Regulate Brassinosteroid Signaling and Photomorphogenesis in Arabidopsis. Plant Cell 2018, 30, 1989–2005. [Google Scholar] [CrossRef] [PubMed]
- Jiang, H.; Li, Y.; He, R.; Tan, J.; Liu, K.; Chen, Y.; Liu, H. Effect of Supplemental UV-A Intensity on Growth and Quality of Kale under Red and Blue Light. Int. J. Mol. Sci. 2022, 23, 6819. [Google Scholar] [CrossRef]
- Jayakumar, M.; Amudha, P.; Kulandaivelu, G. Changes in Growth and Yield of Phaseolu$ Mungo L Induced by UV-A and UV-B Enhanced Radiation. J. Plant Biol. 2003, 46, 59–61. [Google Scholar] [CrossRef]
- Jiang, X.; Li, Y.; Li, R.; Gao, Y.; Liu, Z.; Yang, H.; Li, J.; Jiang, J.; Zhao, T.; Xu, X. Transcriptome Analysis of the Cf-13-Mediated Hypersensitive Response of Tomato to Cladosporium fulvum Infection. Int. J. Mol. Sci. 2022, 23, 4844. [Google Scholar] [CrossRef] [PubMed]
- Liscum, E.; Reed, J.W. Genetics of Aux/IAA and ARF Action in Plant Growth and Development. Auxin Mol. Biol. 2002, 49, 387–400. [Google Scholar]
- Wang, H.; Jones, B.; Li, Z.; Frasse, P.; Delalande, C.; Regad, F.; Chaabouni, S.; Latché, A.; Pech, J.C.; Bouzayen, M. The Tomato Aux/IAA Transcription Factor IAA9 Is Involved in Fruit Development and Leaf Morphogenesis. Plant Cell 2005, 17, 2676–2692. [Google Scholar] [CrossRef]
- Ostrowski, M.; Jakubowska, A. GH3 Expression and IAA-Amide Synthetase Activity in Pea (Pisum sativum L.) Seedlings Are Regulated by Light, Plant Hormones and Auxinic Herbicides. J. Plant Physiol. 2013, 170, 361–368. [Google Scholar] [CrossRef] [PubMed]
- Yamaguchi, S. Gibberellin Metabolism and Its Regulation. Annu. Rev. Plant Biol. 2008, 59, 225–251. [Google Scholar] [CrossRef]
- Yan, B.; Yang, Z.; He, G.; Jing, Y.; Dong, H.; Ju, L.; Zhang, Y.; Zhu, Y.; Zhou, Y.; Sun, J. The Blue Light Receptor CRY1 Interacts with GID1 and DELLA Proteins to Repress Gibberellin Signaling and Plant Growth. Plant Commun. 2021, 2, 1328–1342. [Google Scholar] [CrossRef]
- Patke, A.; Young, M.W.; Axelrod, S. Molecular Mechanisms and Physiological Importance of Circadian Rhythms. Nat. Rev. Mol. Cell Biol. 2020, 21, 67–84. [Google Scholar] [CrossRef]
- Fukuda, H.; Ukai, K.; Oyama, T. Self-Arrangement of Cellular Circadian Rhythms through Phase-Resetting in Plant Roots. Phys. Rev. E 2012, 86, 041917. [Google Scholar] [CrossRef]
- Harmer, S.L.; Kay, S.A. Positive and Negative Factors Confer Phase-Specific Circadian Regulation of Transcription in Arabidopsis. Plant Cell. 2005, 17, 1926–1940. [Google Scholar] [CrossRef]
- Mouradov, A.; Cremer, F.; Coupland, G. Control of Flowering Time: Interacting Pathways as a Basis for Diversity. Plant Cell. 2002, 14, S111–S130. [Google Scholar] [CrossRef]
- Song, N.; Xu, Z.; Wang, J.; Qin, Q.; Jiang, H.; Si, W.; Li, X. Genome-Wide Analysis of Maize CONSTANS-LIKE Gene Family and Expression Profiling under Light/Dark and Abscisic Acid Treatment. Gene 2018, 673, 1–11. [Google Scholar] [CrossRef] [PubMed]
- Castro, A.; Aires, A.; Rosa, E.; Bloem, E.; Stulen, I. Distribution of Glucosinolates in Brassica oleracea Cultivars. Ann. Rei Bot. 2004, 44, 133–143. [Google Scholar]
- Rechner, O.; Neugart, S.; Schreiner, M.; Wu, S.; Poehling, H.M. Can Narrow-Bandwidth Light from UV-A to Green Alter Secondary Plant Metabolism and Increase Brassica Plant Defenses against Aphids? PLoS ONE 2017, 12, e0188522. [Google Scholar] [CrossRef] [PubMed]
- Harun, S.; Abdullah-Zawawi, M.R.; Goh, H.H.; Mohamed-Hussein, Z.A. A Comprehensive Gene Inventory for Glucosinolate Biosynthetic Pathway in Arabidopsis Thaliana. J. Agric. Food Chem. 2020, 68, 7281–7297. [Google Scholar] [CrossRef] [PubMed]
- Gigolashvili, T.; Berger, B.; Flügge, U.I. Specific and Coordinated Control of Indolic and Aliphatic Glucosinolate Biosynthesis by R2R3-MYB Transcription Factors in Arabidopsis thaliana. Phytochem. Rev. 2009, 8, 3–13. [Google Scholar] [CrossRef]
- Celenza, J.L.; Quiel, J.A.; Smolen, G.A.; Merrikh, H.; Silvestro, A.R.; Normanly, J.; Bender, J. The Arabidopsis ATR1 Myb Transcription Factor Controls Indolic Glucosinolate Homeostasis. Plant Physiol. 2005, 137, 253–262. [Google Scholar] [CrossRef] [PubMed]
- Viršilė, A.; Brazaitytė, A.; Vaštakaitė-Kairienė, V.; Miliauskienė, J.; Jankauskienė, J.; Novičkovas, A.; Laužikė, K.; Samuolienė, G. The Distinct Impact of Multi-Color LED Light on Nitrate, Amino Acid, Soluble Sugar and Organic Acid Contents in Red and Green Leaf Lettuce Cultivated in Controlled Environment. Food Chem. 2020, 310, 125799. [Google Scholar] [CrossRef]
- Siipola, S.M.; Kotilainen, T.; Sipari, N.; Morales, L.O.; Lindfors, A.V.; Robson, T.M.; Aphalo, P.J. Epidermal UV-A Absorbance and Whole-Leaf Flavonoid Composition in Pea Respond More to Solar Blue Light than to Solar UV Radiation. Plant Cell Environ. 2015, 38, 941–952. [Google Scholar] [CrossRef]
- Moreira-Rodríguez, M.; Nair, V.; Benavides, J.; Cisneros-Zevallos, L.; Jacobo-Velázquez, D.A. UVA, UVB Light Doses and Harvesting Time Differentially Tailor Glucosinolate and Phenolic Profiles in Broccoli Sprouts. Molecules 2017, 22, 1065. [Google Scholar] [CrossRef]
- Gao, M.; He, R.; Shi, R.; Li, Y.; Song, S.; Zhang, Y.; Su, W.; Liu, H. Combination of Selenium and Uva Radiation Affects Growth and Phytochemicals of Broccoli Microgreens. Molecules 2021, 26, 4646. [Google Scholar] [CrossRef]
- Li, S.; Zuo, D.; Cheng, H.; Ali, M.; Wu, C.; Ashraf, J.; Zhang, Y.; Feng, X.; Lin, Z.; Wang, Q.; et al. Glutathione S-Transferases GhGSTF1 and GhGSTF2 Involved in the Anthocyanin Accumulation in Gossypium hirsutum L. Int. J. Biol. Macromol. 2020, 165, 2565–2575. [Google Scholar] [CrossRef] [PubMed]
- Liu, Z.X.; Xing, X.R.; Liang, X.H.; Ding, J.H.; Li, Y.J.; Shao, Y.; Wu, F.A.; Wang, J.; Sheng, S. The Role of Glutathione-S-Transferases in Phoxim and Chlorfenapyr Tolerance in a Major Mulberry Pest, Glyphodes Pyloalis Walker (Lepidoptera: Pyralidae). Pestic. Biochem. Physiol. 2022, 181, 105004. [Google Scholar] [CrossRef] [PubMed]
- Wu, J.; Zhang, N.; Liu, Z.; Liu, S.; Liu, C.; Lin, J.; Yang, H.; Li, S.; Yukawa, Y. The AtGSTU7 Gene Influences Glutathione-Dependent Seed Germination under ABA and Osmotic Stress in Arabidopsis. Biochem. Biophys. Res. Commun. 2020, 528, 538–544. [Google Scholar] [CrossRef] [PubMed]







Disclaimer/Publisher’s Note: The statements, opinions and data contained in all publications are solely those of the individual author(s) and contributor(s) and not of MDPI and/or the editor(s). MDPI and/or the editor(s) disclaim responsibility for any injury to people or property resulting from any ideas, methods, instructions or products referred to in the content. |
© 2023 by the authors. Licensee MDPI, Basel, Switzerland. This article is an open access article distributed under the terms and conditions of the Creative Commons Attribution (CC BY) license (https://creativecommons.org/licenses/by/4.0/).
Share and Cite
Jiang, H.; Li, Y.; Tan, J.; He, X.; Zhu, S.; He, R.; Liu, X.; Liu, H. RNA-Seq Analysis Demystify the Pathways of UV-A Supplementation in Different Photoperiods Integrated with Blue and Red Light on Morphology and Phytochemical Profile of Kale. Antioxidants 2023, 12, 737. https://doi.org/10.3390/antiox12030737
Jiang H, Li Y, Tan J, He X, Zhu S, He R, Liu X, Liu H. RNA-Seq Analysis Demystify the Pathways of UV-A Supplementation in Different Photoperiods Integrated with Blue and Red Light on Morphology and Phytochemical Profile of Kale. Antioxidants. 2023; 12(3):737. https://doi.org/10.3390/antiox12030737
Chicago/Turabian StyleJiang, Haozhao, Yamin Li, Jiehui Tan, Xinyang He, Shijun Zhu, Rui He, Xiaojuan Liu, and Houcheng Liu. 2023. "RNA-Seq Analysis Demystify the Pathways of UV-A Supplementation in Different Photoperiods Integrated with Blue and Red Light on Morphology and Phytochemical Profile of Kale" Antioxidants 12, no. 3: 737. https://doi.org/10.3390/antiox12030737
APA StyleJiang, H., Li, Y., Tan, J., He, X., Zhu, S., He, R., Liu, X., & Liu, H. (2023). RNA-Seq Analysis Demystify the Pathways of UV-A Supplementation in Different Photoperiods Integrated with Blue and Red Light on Morphology and Phytochemical Profile of Kale. Antioxidants, 12(3), 737. https://doi.org/10.3390/antiox12030737

