Longitudinal and Cross-Sectional Relations Between Early Rise Time Discrimination Abilities and Pre-School Pre-Reading Assessments: The Seeds of Literacy Are Sown in Infancy
Abstract
1. Introduction
The Present Study
2. Materials and Methods
2.1. Participants
2.2. Amplitude Rise Time (ART) Discrimination Tasks
2.2.1. Infant Task (10 Months)
2.2.2. Child Task (60 Months)
2.3. Child Pre-Reading Behavioural Tests (60 Months)
2.3.1. Phonological Processing
2.3.2. Sentence Repetition
2.3.3. Knowledge of Grammar (TROG)
2.3.4. Letter Knowledge
2.3.5. Receptive Vocabulary
2.3.6. Composite Vocabulary
2.3.7. Non-Verbal IQ
3. Results
3.1. Child Pre-Reading Behavioural Tests at 60 Months
3.2. Infant Rise Time Discrimination and Pre-Reading Behavioural Tests at 60 Months
3.3. Infant Rise Time Discrimination at 10 Months and 60-Month Dyslexia Risk Status: A Retrospective Analysis
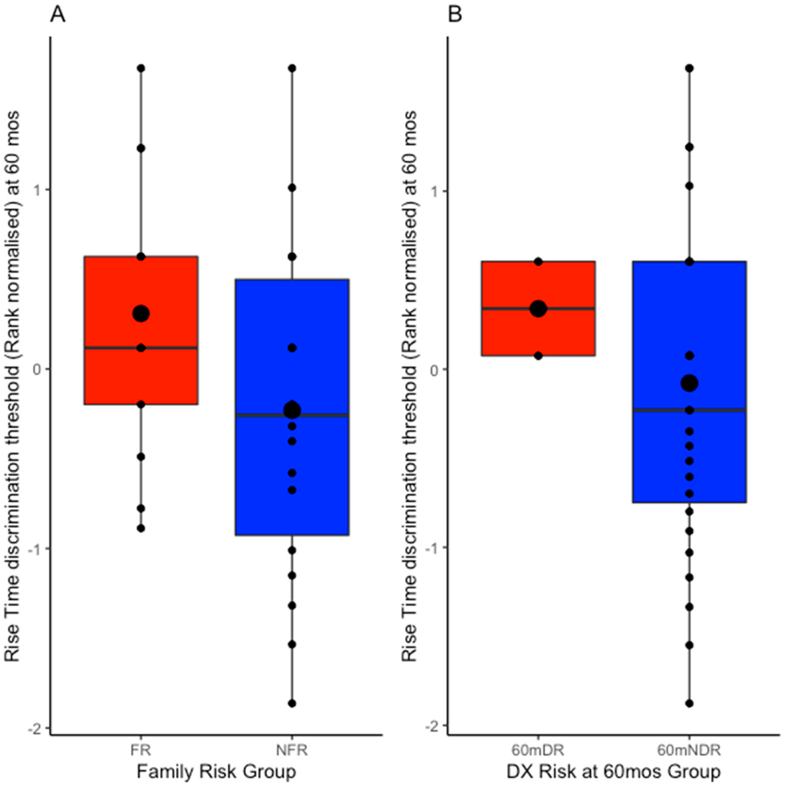
3.4. Developmental Continuity: Child Rise Time Discrimination at 60 Months
3.5. Child Rise Time Discrimination and Pre-Reading Behavioural Tests at 60 Months
4. Discussion
Limitations
5. Conclusions
Supplementary Materials
Author Contributions
Funding
Institutional Review Board Statement
Informed Consent Statement
Data Availability Statement
Acknowledgments
Conflicts of Interest
Abbreviations
| ART | Amplitude Rise Time |
| TS | Temporal Sampling |
| FR | Family Risk for Dyslexia |
| NFR | No Family Risk for Dyslexia |
| 60mDR | At-Risk for a Dyslexia Diagnosis at 60 Months |
| 60mNDR | Not At-Risk for a Dyslexia Diagnosis at 60 Months |
| DLD | Developmental Language Disorder |
| RAN | Rapid Automat |
| CTOPP | Comprehensive Test of Phonological Processing |
| CELF | Clinical Evaluation of Language Fundamentals |
| TROG | Test of Receptive Oral Grammar |
| WIAT | Wechsler Individual Achievement Test |
| PPVT | Peabody Picture Vocabulary Test |
References
- Kalashnikova, M.; Burnham, D.; Goswami, U. Rhythm discrimination and metronome tapping in 4-year-old children at risk for developmental dyslexia. Cogn. Dev. 2021, 60, 101129. [Google Scholar] [CrossRef]
- Kalashnikova, M.; Goswami, U.; Burnham, D. Mothers speak differently to infants at-risk for dyslexia. Dev. Sci. 2018, 21, e12487. [Google Scholar] [CrossRef]
- Kalashnikova, M.; Goswami, U.; Burnham, D. Sensitivity to amplitude envelope rise time in infancy and vocabulary development at 3 years: A significant relationship. Dev. Sci. 2019, 22, e12836. [Google Scholar] [CrossRef]
- Kalashnikova, M.; Goswami, U.; Burnham, D. Delayed development of phonological constancy in toddlers at family risk for dyslexia. Infant Behav. Dev. 2019, 57, 101327. [Google Scholar] [CrossRef]
- Goswami, U. A temporal sampling framework for developmental dyslexia. Trends Cogn. Sci. 2021, 15, 3–10. [Google Scholar] [CrossRef]
- Gross, J.; Hoogenboom, N.; Thut, G.; Schyns, P.; Panzeri, S.; Belin, P.; Garrod, S. Speech rhythms and multiplexed oscillatory sensory coding in the human brain. PLoS Biol. 2013, 11, e1001752. [Google Scholar] [CrossRef]
- Doelling, K.B.; Arnal, L.H.; Ghitza, O.; Poeppel, D. Acoustic landmarks drive delta–theta oscillations to enable speech comprehension by facilitating perceptual parsing. Neuroimage 2014, 85, 761–768. [Google Scholar] [CrossRef] [PubMed]
- Goswami, U. Speech rhythm and language acquisition: An amplitude modulation phase hierarchy perspective. Ann. N. Y. Acad. Sci. 2019, 1453, 67–78. [Google Scholar] [CrossRef]
- Corriveau, K.; Pasquini, E.; Goswami, U. Basic auditory processing skills and specific language impairment: A new look at an old hypothesis. J. Speech Lang. Hear. Res. 2007, 50, 647–666. [Google Scholar] [CrossRef] [PubMed]
- Fraser, J.; Goswami, U.; Conti-Ramsden, G. Dyslexia and specific language impairment: The role of phonology and auditory processing. Sci. Stud. Read. 2010, 14, 8–29. [Google Scholar] [CrossRef]
- Beattie, R.; Manis, F. Rise Time Perception in Children With Reading and Combined Reading and Language Difficulties. J. Learn. Disabil. 2012, 46, 200–209. [Google Scholar] [CrossRef]
- Cumming, R.; Wilson, A.; Goswami, U. Basic auditory processing and sensitivity to prosodic structure in children with specific language impairments: A new look at a perceptual hypothesis. Front. Psychol. 2015, 6, 972. [Google Scholar] [CrossRef]
- Corriveau, K.H.; Goswami, U.; Thomson, J.M. Auditory processing and early literacy skills in a preschool and kindergarten population. J. Learn. Disabil. 2010, 43, 369–382. [Google Scholar] [CrossRef] [PubMed]
- Law, J.M.; Wouters, J.; Ghesquière, P. The influences and outcomes of phonological awareness: A study of MA, PA and auditory processing in pre-readers with a family risk of dyslexia. Dev. Sci. 2017, 20, e12453. [Google Scholar] [CrossRef]
- Vanvooren, S.; Poelmans, H.; De Vos, A.; Ghesquière, P.; Wouters, J. Do prereaders’ auditory processing and speech perception predict later literacy? Res. Dev. Disabil. 2017, 70, 138–151. [Google Scholar] [CrossRef]
- Plakas, A.; van Zuijen, T.L.; van Leeuwen, T.; Thomson, J.M.; van der Leij, A. Impaired non-speech auditory processing at a pre-reading age is a risk-factor for dyslexia but not a predictor: An ERP study. Cortex 2013, 49, 1034–1045. [Google Scholar] [CrossRef]
- Giraud, A.L.; Poeppel, D. Cortical oscillations and speech processing: Emerging computational principles and operations. Nat. Neurosci. 2012, 15, 511–517. [Google Scholar] [CrossRef] [PubMed]
- Goswami, U. Language acquisition and speech rhythm patterns: An auditory neuroscience perspective. R. Soc. Open Sci. 2022, 9, 211855. [Google Scholar] [CrossRef] [PubMed]
- Guttorm, T.K.; Leppänen, P.H.; Richardson, U.; Lyytinen, H. Event-related potentials and consonant differentiation in newborns with familial risk for dyslexia. J. Learn. Disabil. 2001, 34, 534–544. [Google Scholar] [CrossRef]
- Guttorm, T.K.; Leppänen, P.H.T.; Tolvanen, A.; Lyytinen, H. Event-related potentials in newborns with and without familial risk for dyslexia: Principal component analysis reveals differences between the groups. J. Neural Transm. 2003, 110, 1059–1074. [Google Scholar] [CrossRef]
- Leppänen, P.H.; Pihko, E.; Eklund, K.M.; Lyytinen, H. Cortical responses of infants with and without a genetic risk for dyslexia: II. Group effects. Neuroreport 1999, 10, 969–973. [Google Scholar] [CrossRef] [PubMed]
- Leppänen, P.H.; Richardson, U.; Pihko, E.; Eklund, K.M.; Guttorm, T.K.; Aro, M.; Lyytinen, H. Brain responses to changes in speech sound durations differ between infants with and without familial risk for dyslexia. Dev. Neuropsychol. 2002, 22, 407–422. [Google Scholar] [CrossRef]
- van Leeuwen, T.; Been, P.; Kuijpers, C.; Zwarts, F.; Maassen, B.; van der Leij, A. Mismatch response is absent in 2-month-old infants at risk for dyslexia. Neuroreport 2006, 17, 351–355. [Google Scholar] [CrossRef]
- van Zuijen, T.L.; Plakas, A.; Maassen, B.A.M.; Maurits, N.M.; van der Leij, A. Infant ERPs separate children at risk of dyslexia who become good readers from those who become poor readers. Dev. Sci. 2013, 16, 554–563. [Google Scholar] [CrossRef] [PubMed]
- Cantiani, C.; Riva, V.; Piazza, C.; Bettoni, R.; Molteni, M.; Choudhury, N.; Marino, C.; Benasich, A.A. Auditory discrimination predicts linguistic outcome in Italian infants with and without familial risk for language learning impairment. Dev. Cogn. Neurosci. 2016, 20, 23–34. [Google Scholar] [CrossRef] [PubMed]
- Mittag, M.; Larson, E.; Clarke, M.; Taulu, S.; Kuhl, P.K. Auditory deficits in infants at risk for dyslexia during a linguistic sensitive period predict future language. NeuroImage Clin. 2021, 30, 102578. [Google Scholar] [CrossRef]
- Cutini, S.; Szűcs, D.; Mead, N.; Huss, M.; Goswami, U. Atypical right hemisphere response to slow temporal modulations in children with developmental dyslexia. Neuroimage 2016, 143, 40–49. [Google Scholar] [CrossRef]
- Goswami, U.; Bryant, P.E. Phonological Skills and Learning to Read; Lawrence Erlbaum: Mahwah, NJ, USA, 1990. [Google Scholar]
- Stanovich, K. Explaining the differences between the dyslexic and the garden-variety poor reader: The Phonological-Core Variable-Difference Model. J. Learn. Disabil. 1988, 21, 590–604. [Google Scholar] [CrossRef]
- Wagner, R.K.; Torgesen, J.K. The nature of phonological processing and its causal role in the acquisition of reading skills. Psychol. Bull. 1987, 101, 192. [Google Scholar] [CrossRef]
- Anthony, J.L.; Lonigan, C.J.; Burgess, S.R.; Driscoll, K.; Phillips, B.M.; Cantor, B.G. Structure of preschool phonological sensitivity: Overlapping sensitivity to rhyme, words, syllables, and phonemes. J. Exp. Child Psychol. 2002, 82, 65–92. [Google Scholar] [CrossRef]
- Wagner, R.K.; Torgesen, J.K.; Rashotte, C.A.; Pearson, N.A. Comprehensive Test of Phonological Processing; Pro-ed: Austin, TX, USA, 2013. [Google Scholar]
- Byrne, B. The Foundation of Literacy: The Child’s Acquisition of the Alphabetic Principle; Psychology Press: Hove, UK, 1998. [Google Scholar]
- De Jong, P.F.; Van der Leij, A. Specific contributions of phonological abilities to early reading acquisition: Results from a Dutch latent variable longitudinal study. J. Educ. Psychol. 1999, 91, 450. [Google Scholar] [CrossRef]
- Hulme, C.; Goetz, K.; Gooch, D.; Adams, J.; Snowling, M.J. Paired-associate learning, phoneme awareness, and learning to read. J. Exp. Child Psychol. 2007, 96, 150–166. [Google Scholar] [CrossRef] [PubMed]
- Lervåg, A.; Bråten, I.; Hulme, C. The cognitive and linguistic foundations of early reading development: A Norwegian latent variable longitudinal study. Dev. Psychol. 2009, 45, 764. [Google Scholar] [CrossRef]
- Schatschneider, C.; Fletcher, J.M.; Francis, D.J.; Carlson, C.D.; Foorman, B.R. Kindergarten prediction of reading skills: A longitudinal comparative analysis. J. Educ. Psychol. 2004, 96, 265. [Google Scholar] [CrossRef]
- Gallagher, A.; Frith, U.; Snowling, M.J. Precursors of literacy delay among children at genetic risk of dyslexia. J. Child Psychol. Psychiatry Allied Discip. 2000, 41, 203–213. [Google Scholar] [CrossRef]
- Leppänen, P.H.T.; Hämäläinen, J.A.; Guttorm, T.K.; Eklund, K.M.; Salminen, H.; Tanskanen, A.; Torppa, M.; Puolakanaho, A.; Richardson, U.; Pennala, R.; et al. Infant brain responses associated with reading-related skills before school and at school age. Neurophysiol. Clin./Clin. Neurophysiol. 2012, 42, 35–41. [Google Scholar] [CrossRef]
- Van Bergen, E.; De Jong, P.F.; Regtvoort, A.; Oort, F.; Van Otterloo, S.; Van Der Leij, A. Dutch children at family risk of dyslexia: Precursors, reading development, and parental effects. Dyslexia 2011, 17, 2–18. [Google Scholar] [CrossRef] [PubMed]
- Koster, C.; Been, P.H.; Krikhaar, E.M.; Zwarts, F.; Diepstra, H.D.; Van Leeuwen, T.H. Differences at 17 months: Productive language patterns in infants at familial risk for dyslexia and typically developing infants. J. Speech Lang. Hear. Res. 2005, 48, 426–438. [Google Scholar] [CrossRef]
- Scarborough, H.S. Very early language deficits in dyslexic children. Child Dev. 1990, 61, 1728–1743. [Google Scholar] [CrossRef] [PubMed]
- Roid, G.H. Stanford-Binet Intelligence Scales, 5th ed.; Riverside Publishing: Itasca, IL, USA, 2003. [Google Scholar]
- van Viersen, S.; de Bree, E.H.; Verdam, M.; Krikhaar, E.; Maassen, B.; van der Leij, A.; de Jong, P.F. Delayed Early Vocabulary Development in Children at Family Risk of Dyslexia. J. Speech Lang. Hear. Res. 2017, 60, 937. [Google Scholar] [CrossRef]
- Semel, E.; Wiig, W.; Secord, W. Clinical Evaluation of Language Fundamentals, 4th ed.; Pearson Assessment: San Antonio, TX, USA, 2006. [Google Scholar]
- Bishop, D.V.M. Test for Reception of Grammar (Version 2); Pearson Assessment: San Antonio, TX, USA, 2003. [Google Scholar]
- Bishop, D.; Snowling, M.; Thompson, P.; Greenhalgh, T. Phase 2 of CATALISE: A multinational and multidisciplinary Delphi consensus study of problems with language development: Terminology. J. Child Psychol. Psychiatry 2017, 58, 1068–1080. [Google Scholar] [CrossRef]
- Eising, E.; Mirza-Schreiber, N.; de Zeeuw, E.L.; Wang, C.A.; Truong, D.T.; Allegrini, A.G.; Shapland, C.Y.; Zhu, G.; Wigg, K.G.; Gerritse, M.L.; et al. Genome-wide association analyses of individual differences in quantitatively assessed reading-and language-related skills in up to 34,000 people. Proc. Natl. Acad. Sci. USA 2022, 119, e2202764119. [Google Scholar] [CrossRef]
- Goswami, U.; Wang, H.-L.S.; Cruz, A.; Fosker, T.; Mead, N.; Huss, M. Language-universal sensory deficits in developmental dyslexia: English, Spanish, and Chinese. J. Cogn. Neurosci. 2011, 23, 325–337. [Google Scholar] [CrossRef] [PubMed]
- Goswami, U.; Gerson, D.; Astruc, L. Amplitude envelope perception, phonology and prosodic sensitivity in children with developmental dyslexia. Read. Writ. 2010, 23, 995–1019. [Google Scholar] [CrossRef]
- Richardson, U.; Thomson, J.M.; Scott, S.K.; Goswami, U. Auditory processing skills and phonological representation in dyslexic children. Dyslexia 2004, 10, 215–233. [Google Scholar] [CrossRef]
- Findlay, J.M. Estimates on Probability Functions: A More Virulent PEST. Percept.Psychophys. 1978, 23, 181–185. [Google Scholar] [CrossRef]
- Wechsler, D. Wechsler Individual Achievement Test, 3rd ed.; NCS Pearson: San Antonio, TX, USA, 2009. [Google Scholar]
- Dunn, L.M.; Dunn, L.M. Peabody Picture Vocabulary Test-III; American Guidance Service: Circle Pines, MN, USA, 1997. [Google Scholar]
- Ziegler, J.; Bertrand, D.; Tóth, D.; Csépe, V.; Reis, A.; Faísca, L.; Saine, N.; Lyytinen, H.; Vaessen, A.; Blomert, L. Orthographic Depth and Its Impact on Universal Predictors of Reading. Psychol. Sci. 2010, 21, 551–559. [Google Scholar] [CrossRef] [PubMed]
- Goswami, U.; Huss, M.; Mead, N.; Fosker, T. Auditory sensory processing and phonological development in high IQ and exceptional readers, typically developing readers and children with dyslexia: A longitudinal study. Child Dev. 2021, 92, 1083–1098. [Google Scholar] [CrossRef]




| FR | NFR | T a | p | Cohen’s d | |
|---|---|---|---|---|---|
| Phonological awareness | 93.9 (54–114; 12.908) | 100.7 (71–131; 15.062) | −1.576 | 0.123 | −0.482 |
| Phonological memory | 96.15 (70–128; 17.11) | 105.826 (85–128; 15.299) | −1.958 | 0.057 | −0.599 |
| Symbolic RAN (digit and letter) | 65.6 (0–116; 43.023) | 98.696 (58–125; 18.154) | −3.365 | 0.002 | −1.029 |
| Non-symbolic RAN (colour and object) | 95.75 (58–116; 18.241) | 103.174 (70–125; 14.374) | −1.491 | 0.143 | −0.456 |
| Repeating Sentences | 10.85 (6–15; 2.601) | 12.043 (7–17; 2.602) | −1.500 | 0.141 | −0.459 |
| Letter Knowledge | 7.45 (1–13; 3.79) | 10.130 (4–13; 3.005) | −2.585 | 0.013 | −0.790 |
| Reception of grammar | 104.75 (69–130; 19.051) | 111.043 (88–141; 13.357) | −1.267 | 0.212 | −0.387 |
| Receptive vocabulary | 115.1 (85–130; 10.686) | 119.652 (97–140; 12.773) | −1.256 | 0.216 | −0.384 |
| Composite vocabulary | 10.3 (7–15; 1.895) | 10.478 (6–18; 2.826) | 0.239 | 0.812 | 0.073 |
| Non-verbal IQ | 11.8 (5–19; 3.722) | 12.304 (7–19; 3.866) | −0.434 | 0.666 | −0.133 |
| Pre-Reading Behavioural Tests at 60 Months | Rise Time Discrimination Threshold at 10 Months | |
|---|---|---|
| r | p | |
| Phonological awareness | −0.248 | 0.122 |
| Phonological memory | 0.079 | 0.644 |
| Symbolic RAN (letters and digits) | −0.341 | 0.051 |
| Non-symbolic RAN (colours and objects) | −0.467 | 0.011 |
| Repeating sentence | −0.132 | 0.269 |
| Letter knowledge | −0.356 | 0.044 |
| Reception of Grammar | −0.174 | 0.208 |
| Receptive vocabulary | −0.172 | 0.211 |
| Composite vocabulary | −0.235 | 0.135 |
| Non-verbal IQ | 0.020 | 0.536 |
| 60m_NDR | 60m_DR | T a | p | Cohen’s d | |
|---|---|---|---|---|---|
| Phonological awareness | 102.185 (84–131; 11.526) | 75.5 (54–94; 16.422) | 4.108 | <0.001 | 2.201 |
| Phonological memory | 107.185 (85–128; 15.237) | 80.75 (70–92; 9.708) | 3.343 | 0.002 | 1.791 |
| Symbolic RAN (digit and letter) | 94.704 (0–125; 26.229) | 49.5 (0–70; 33.481) | 3.117 | 0.004 | 1.670 |
| Non-symbolic RAN (colour and object) | 101.37 (61–125; 15.564) | 82.250 (70–101; 13.426) | 2.324 | 0.027 | 1.245 |
| Repeating Sentences | 12.074 (7–17; 2.63) | 9.25 (7–11; 2.062) | 2.045 | 0.050 | 1.096 |
| Letter Knowledge | 9.852 (4–13; 3.06) | 6 (2–9; 2.944) | 2.359 | 0.025 | 1.264 |
| Reception of grammar | 110.519 (69–141; 15.851) | 88 (69–111; 18.221) | 2.609 | 0.014 | 1.398 |
| Receptive vocabulary | 120 (100–140; 9.77) | 104.5 (85–116; 13.478) | 2.832 | 0.008 | 1.517 |
| Composite vocabulary | 10.963 (6–18; 2.752) | 9 (7–11; 1.826) | 1.372 | 0.181 | 0.735 |
| Non-verbal IQ | 12.407 (7–19; 3.993) | 12.250 (9–16; 2.986) | 0.075 | 0.940 | 0.040 |
| Pre-Reading Behavioural Tests at 60 Months | Rise Time Discrimination Threshold at 60 Months | |
|---|---|---|
| r | p | |
| Phonological awareness | −0.385 | 0.016 |
| Phonological memory | −0.121 | 0.259 |
| Symbolic RAN (letters and digits) | −0.358 | 0.024 |
| Non-symbolic RAN (colours and objects) | −0.323 | 0.038 |
| Repeating sentence | −0.192 | 0.150 |
| Letter knowledge | −0.325 | 0.037 |
| Reception of grammar | −0.164 | 0.188 |
| Receptive vocabulary | −0.286 | 0.060 |
| Composite vocabulary | −0.271 | 0.070 |
| Non-verbal IQ | −0.261 | 0.078 |
Disclaimer/Publisher’s Note: The statements, opinions and data contained in all publications are solely those of the individual author(s) and contributor(s) and not of MDPI and/or the editor(s). MDPI and/or the editor(s) disclaim responsibility for any injury to people or property resulting from any ideas, methods, instructions or products referred to in the content. |
© 2025 by the authors. Licensee MDPI, Basel, Switzerland. This article is an open access article distributed under the terms and conditions of the Creative Commons Attribution (CC BY) license (https://creativecommons.org/licenses/by/4.0/).
Share and Cite
Kalashnikova, M.; Burnham, D.; Goswami, U. Longitudinal and Cross-Sectional Relations Between Early Rise Time Discrimination Abilities and Pre-School Pre-Reading Assessments: The Seeds of Literacy Are Sown in Infancy. Brain Sci. 2025, 15, 1012. https://doi.org/10.3390/brainsci15091012
Kalashnikova M, Burnham D, Goswami U. Longitudinal and Cross-Sectional Relations Between Early Rise Time Discrimination Abilities and Pre-School Pre-Reading Assessments: The Seeds of Literacy Are Sown in Infancy. Brain Sciences. 2025; 15(9):1012. https://doi.org/10.3390/brainsci15091012
Chicago/Turabian StyleKalashnikova, Marina, Denis Burnham, and Usha Goswami. 2025. "Longitudinal and Cross-Sectional Relations Between Early Rise Time Discrimination Abilities and Pre-School Pre-Reading Assessments: The Seeds of Literacy Are Sown in Infancy" Brain Sciences 15, no. 9: 1012. https://doi.org/10.3390/brainsci15091012
APA StyleKalashnikova, M., Burnham, D., & Goswami, U. (2025). Longitudinal and Cross-Sectional Relations Between Early Rise Time Discrimination Abilities and Pre-School Pre-Reading Assessments: The Seeds of Literacy Are Sown in Infancy. Brain Sciences, 15(9), 1012. https://doi.org/10.3390/brainsci15091012

