Mild Cognitive Impairments Attenuate Prefrontal Cortex Activations during Walking in Older Adults
Abstract
1. Introduction
2. Materials and Methods
2.1. Participants
2.2. Mild Cognitive Impairments (MCI) Status
2.3. Dual-Task Walking Protocol
2.4. Quantitative Gait Assessment
2.5. fNIRS System
2.6. Preprocessing and Hemodynamic Signal Extraction
2.7. Covariates
2.8. Statistical Analysis
3. Results
3.1. Sample Characteristics
3.2. MCI Effects: fNIRS-Derived HbO2 across Task Conditions
3.3. MCI Effects: fNIRS-Derived HbO2 across Repeated Trials
3.4. MCI Effects: Behavioral Outcomes across Task Conditions
3.4.1. Gait Velocity
3.4.2. Rate of Errors in Letter Generation
3.5. MCI Effects: Behavioral Outcomes across Repeated Trials
3.5.1. Gait Velocity
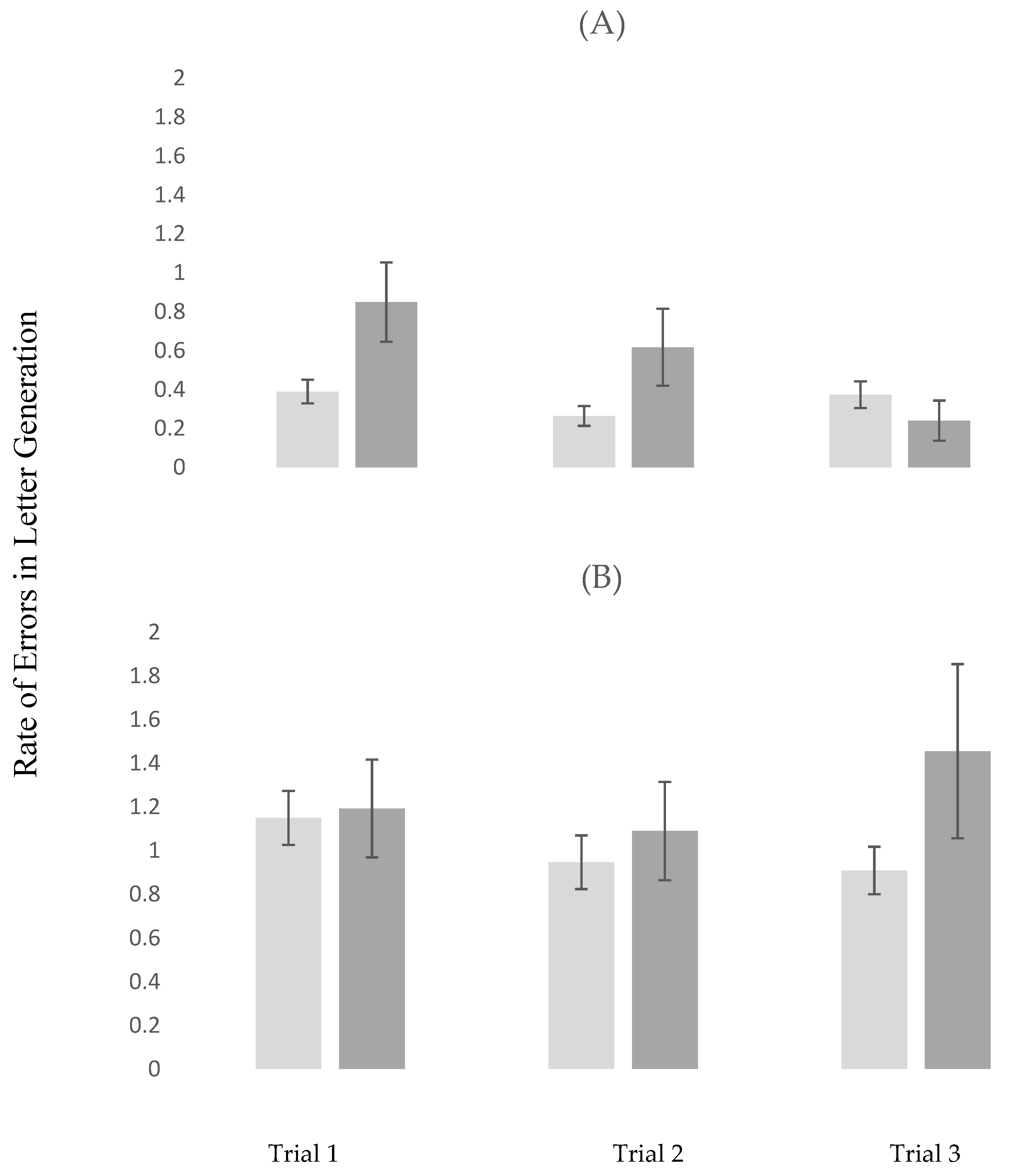
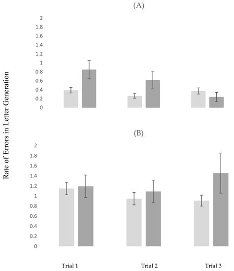
3.5.2. Rate of Errors in Letter Generation
4. Discussion
5. Conclusions
Author Contributions
Funding
Conflicts of Interest
References
- Bradfield, N.I.; Ames, D. Mild cognitive impairment: Narrative review of taxonomies and systematic review of their prediction of incident Alzheimer’s disease dementia. BJPsych Bull. 2020, 44, 67–74. [Google Scholar] [CrossRef] [PubMed]
- Petersen, R.C.; Caracciolo, B.; Brayne, C.; Gauthier, S.; Jelic, V.; Fratiglioni, L. Mild cognitive impairment: A concept in evolution. J. Intern. Med. 2014, 275, 214–228. [Google Scholar] [CrossRef] [PubMed]
- Albert, M.S.; DeKosky, S.T.; Dickson, D.W.; Dubois, B.; Feldman, H.H.; Fox, N.; Gamst, A.; Holtzman, D.M.; Jagust, W.J.; Petersen, R.C.; et al. The diagnosis of mild cognitive impairment due to Alzheimer’s disease: Recommendations from the National Institute on Aging-Alzheimer’s Association workgroups on diagnostic guidelines for Alzheimer’s disease. Alzheimer’s Dement. 2011, 7, 270–279. [Google Scholar] [CrossRef] [PubMed]
- Winblad, B.; Palmer, K.; Kivipelto, M.; Jelic, V.; Fratiglioni, L.; O Wahlund, L.; Nordberg, A.; Bäckman, L.; Albert, M.; Almkvist, O.; et al. Mild cognitive impairment—Beyond controversies, towards a consensus: Report of the International Working Group on Mild Cognitive Impairment. J. Intern. Med. 2004, 256, 240–246. [Google Scholar] [CrossRef]
- Tabatabaei-Jafari, H.; Shaw, M.E.; Cherbuin, N. Cerebral atrophy in mild cognitive impairment: A systematic review with meta-analysis. Alzheimer’s Dement. Diagn. Assess. Dis. Monit. 2015, 1, 487–504. [Google Scholar] [CrossRef]
- Lo Buono, V.; Palmeri, R.; Corallo, F.; Allone, C.; Pria, D.; Bramanti, P.; Marino, S. Diffusion tensor imaging of white matter degeneration in early stage of Alzheimer’s disease: A review. Int. J. Neurosci. 2020, 130, 243–250. [Google Scholar] [CrossRef]
- Dai, Z.; He, Y. Disrupted structural and functional brain connectomes in mild cognitive impairment and Alzheimer’s disease. Neurosci. Bull. 2014, 30, 217–232. [Google Scholar] [CrossRef] [PubMed]
- Yeung, M.K.; Chan, A.S. Functional near-infrared spectroscopy reveals decreased resting oxygenation levels and task-related oxygenation changes in mild cognitive impairment and dementia: A systematic review. J. Psychiatr. Res. 2020, 124, 58–76. [Google Scholar] [CrossRef] [PubMed]
- Allali, G.; Annweiler, C.; Blumen, H.M.; Callisaya, M.L.; De Cock, A.-M.; Kressig, R.W.; Srikanth, V.; Steinmetz, J.-P.; Verghese, J.; Beauchet, O. Gait phenotype from mild cognitive impairment to moderate dementia: Results from the GOOD initiative. Eur. J. Neurol. 2015, 23, 527–541. [Google Scholar] [CrossRef]
- Bahureksa, L.; Najafi, B.; Saleh, A.A.; Sabbagh, M.; Coon, D.; Mohler, M.J.; Schwenk, M.; Mohler, J. The Impact of Mild Cognitive Impairment on Gait and Balance: A Systematic Review and Meta-Analysis of Studies Using Instrumented Assessment. Gerontology 2016, 63, 67–83. [Google Scholar] [CrossRef]
- Allali, G.; Montembeault, M.; Saj, A.; Wong, C.H.; Cooper-Brown, L.A.; Bherer, L.; Beauchet, O. Structural Brain Volume Covariance Associated with Gait Speed in Patients with Amnestic and Non-Amnestic Mild Cognitive Impairment: A Double Dissociation. J. Alzheimer’s Dis. 2019, 71, S29–S39. [Google Scholar] [CrossRef] [PubMed]
- Beauchet, O.; Launay, C.P.; Sekhon, H.; Montembeault, M.; Allali, G. Association of hippocampal volume with gait variability in pre-dementia and dementia stages of Alzheimer disease: Results from a cross-sectional study. Exp. Gerontol. 2019, 115, 55–61. [Google Scholar] [CrossRef] [PubMed]
- Beauchet, O.; Montembeault, M.; Barden, J.M.; Szturm, T.; Bherer, L.; Liu-Ambrose, T.; Chester, V.L.; Li, K.; Helbostad, J.L.; Allali, G.; et al. Brain gray matter volume associations with gait speed and related structural covariance networks in cognitively healthy individuals and in patients with mild cognitive impairment: A cross-sectional study. Exp. Gerontol. 2019, 122, 116–122. [Google Scholar] [CrossRef]
- Sakurai, R.; Bartha, R.; Montero-Odasso, M. Entorhinal Cortex Volume is Associated with Dual-Task Gait Cost among Older Adults with MCI: Results from the Gait and Brain Study. J. Gerontol. Ser. A Biol. Sci. Med. Sci. 2019, 74, 698–704. [Google Scholar] [CrossRef] [PubMed]
- Snir, J.A.; Bartha, R.; Montero-Odasso, M. White matter integrity is associated with gait impairment and falls in mild cognitive impairment. Results from the gait and brain study. NeuroImage Clin. 2019, 24, 101975. [Google Scholar] [CrossRef] [PubMed]
- Holtzer, R.; Epstein, N.; Mahoney, J.R.; Izzetoglu, M.; Blumen, H.M. Neuroimaging of Mobility in Aging: A Targeted Review. J. Gerontol. Ser. A Biol. Sci. Med. Sci. 2014, 69, 1375–1388. [Google Scholar] [CrossRef] [PubMed]
- Gramigna, V.; Pellegrino, G.; Cerasa, A.; Cutini, S.; Vasta, R.; Olivadese, G.; Martino, I.; Quattrone, A. Near-Infrared Spectroscopy in Gait Disorders: Is It Time to Begin? Neurorehabilit. Neural Repair 2017, 31, 402–412. [Google Scholar] [CrossRef]
- Udina, C.; Avtzi, S.; Durduran, T.; Holtzer, R.; Rosso, A.L.; Castellano-Tejedor, C.; Perez, L.-M.; Soto-Bagaria, L.; Inzitari, M. Functional Near-Infrared Spectroscopy to Study Cerebral Hemodynamics in Older Adults During Cognitive and Motor Tasks: A Review. Front. Aging Neurosci. 2020, 11, 367. [Google Scholar] [CrossRef]
- Holtzer, R.; Mahoney, J.R.; Izzetoglu, M.; Wang, C.; England, S.; Verghese, J. Online fronto-cortical control of simple and attention-demanding locomotion in humans. NeuroImage 2015, 112, 152–159. [Google Scholar] [CrossRef]
- Holtzer, R.; Verghese, J.; Allali, G.; Izzetoglu, M.; Wang, C.; Mahoney, J.R. Neurological Gait Abnormalities Moderate the Functional Brain Signature of the Posture First Hypothesis. Brain Topogr. 2015, 29, 334–343. [Google Scholar] [CrossRef] [PubMed]
- Holtzer, R.; Yuan, J.; Verghese, J.; Mahoney, J.R.; Izzetoglu, M.; Wang, C. Interactions of Subjective and Objective Measures of Fatigue Defined in the Context of Brain Control of Locomotion. J. Gerontol. Ser. A Biol. Sci. Med. Sci. 2017, 72, 417–423. [Google Scholar] [CrossRef] [PubMed]
- Holtzer, R.; Schoen, C.; Demetriou, E.; Mahoney, J.R.; Izzetoglu, M.; Wang, C.; Verghese, J. Stress and gender effects on prefrontal cortex oxygenation levels assessed during single and dual-task walking conditions. Eur. J. Neurosci. 2017, 45, 660–670. [Google Scholar] [CrossRef] [PubMed]
- Holtzer, R.; George, C.J.; Izzetoglu, M.; Wang, C. The effect of diabetes on prefrontal cortex activation patterns during active walking in older adults. Brain Cogn. 2018, 125, 14–22. [Google Scholar] [CrossRef]
- Holtzer, R.; Izzetoglu, M.; Chen, M.; Wang, C. Distinct fNIRS-Derived HbO2 Trajectories During the Course and Over Repeated Walking Trials Under Single- and Dual-Task Conditions: Implications for Within Session Learning and Prefrontal Cortex Efficiency in Older Adults. J. Gerontol. Ser. A Biol. Sci. Med. Sci. 2018, 74, 1076–1083. [Google Scholar] [CrossRef] [PubMed]
- Holtzer, R.; Rakitin, B.C.; Steffener, J.; Flynn, J.; Kumar, A.; Stern, Y. Age effects on load-dependent brain activations in working memory for novel material. Brain Res. 2008, 1249, 148–161. [Google Scholar] [CrossRef] [PubMed][Green Version]
- Steffener, J.; Stern, Y. Exploring the neural basis of cognitive reserve in aging. Biochim. Biophys. Acta 2011, 1822, 467–473. [Google Scholar] [CrossRef] [PubMed]
- Holtzer, R.; Kraut, R.; Izzetoglu, M.; Ye, K. The effect of fear of falling on prefrontal cortex activation and efficiency during walking in older adults. GeroScience 2019, 41, 89–100. [Google Scholar] [CrossRef]
- Holtzer, R.; Wang, C.; Verghese, J. Performance variance on walking while talking tasks: Theory, findings, and clinical implications. Age 2013, 36, 373–381. [Google Scholar] [CrossRef][Green Version]
- Holtzer, R.; Mahoney, J.; Verghese, J. Intraindividual Variability in Executive Functions but Not Speed of Processing or Conflict Resolution Predicts Performance Differences in Gait Speed in Older Adults. J. Gerontol. Ser. A Biol. Sci. Med Sci. 2014, 69, 980–986. [Google Scholar] [CrossRef]
- Holtzer, R.; Verghese, J.; Wang, C.; Hall, C.B.; Lipton, R.B.; Hall, C. Within-Person Across-Neuropsychological Test Variability and Incident Dementia. JAMA 2008, 300, 823–830. [Google Scholar] [CrossRef]
- Demetriou, E.; Holtzer, R. Mild Cognitive Impairments Moderate the Effect of Time on Verbal Fluency Performance. J. Int. Neuropsychol. Soc. 2016, 23, 44–55. [Google Scholar] [CrossRef] [PubMed]
- Holtzer, R.; Jacobs, S.; Demetriou, E. Intraindividual variability in verbal fluency performance is moderated by and predictive of mild cognitive impairments. Neuropsychology 2020, 34, 31–42. [Google Scholar] [CrossRef]
- Galvin, J.E.; Roe, C.M.; Powlishta, K.K.; Coats, M.A.; Muich, S.J.; Grant, E.; Miller, J.P.; Storandt, M.; Morris, J.C. The AD8: A brief informant interview to detect dementia. Neurology 2005, 65, 559–564. [Google Scholar] [CrossRef] [PubMed]
- Katz, S. Assessing Self-maintenance: Activities of Daily Living, Mobility, and Instrumental Activities of Daily Living. J. Am. Geriatr. Soc. 1983, 31, 721–727. [Google Scholar] [CrossRef] [PubMed]
- Holtzer, R.; Verghese, J.; Xue, X.; Lipton, R.B. Cognitive processes related to gait velocity: Results from the Einstein aging study. Neuropsychology 2006, 20, 215–223. [Google Scholar] [CrossRef] [PubMed]
- Holtzer, R.; Wang, C.; Lipton, R.; Verghese, J.; Verghes, E.J. The protective effects of executive functions and episodic memory on gait speed decline in aging defined in the context of cognitive reserve. J. Am. Geriatr. Soc. 2012, 60, 2093–2098. [Google Scholar] [CrossRef] [PubMed]
- England, S.E.; Verghese, J.; Mahoney, J.R.; Trantzas, C.; Holtzer, R. Three-level rating of turns while walking. Gait Posture 2015, 41, 300–303. [Google Scholar] [CrossRef][Green Version]
- Izzetoglu, M.; Izzetoglu, K.; Bunce, S.; Ayaz, H.; Devaraj, A.; Onaral, B.; Pourrezaei, K. Functional near-infrared neuroimaging. IEEE Trans. Neural Syst. Rehabil. Eng. 2005, 13, 153–159. [Google Scholar] [CrossRef]
- Izzetoglu, M.; Bunce, S.C.; Izzetoglu, K.; Onaral, B.; Pourrezaei, A.K. Functional brain imaging using near-infrared technology. IEEE Eng. Med. Biol. Mag. 2007, 26, 38–46. [Google Scholar] [CrossRef]
- Ayaz, H.; Izzetoglu, M.; Platek, S.M.; Bunce, S.; Izzetoglu, K.; Pourrezaei, K.; Onaral, B. Registering fNIR data to brain surface image using MRI templates. In Proceedings of the 2006 International Conference of the IEEE Engineering in Medicine and Biology Society, New York, NY, USA, 30 August–3 September 2006; Volume 1, pp. 2671–2674. [Google Scholar]
- Molavi, B.; A Dumont, G. Wavelet-based motion artifact removal for functional near-infrared spectroscopy. Physiol. Meas. 2012, 33, 259–270. [Google Scholar] [CrossRef]
- Izzetoglu, M.; Holtzer, R. Effects of Processing Methods on fNIRS Signals Assessed during Active Walking Tasks in Older Adults. IEEE Trans. Neural Syst. Rehabil. Eng. 2020, 28, 699–709. [Google Scholar] [CrossRef] [PubMed]
- Kim, J.G.; Liu, H. Variation of haemoglobin extinction coefficients can cause errors in the determination of haemoglobin concentration measured by near-infrared spectroscopy. Phys. Med. Biol. 2007, 52, 6295–6322. [Google Scholar] [CrossRef] [PubMed]
- Scholkmann, F.; Wolf, M. General equation for the differential pathlength factor of the frontal human head depending on wavelength and age. J. Biomed. Opt. 2013, 18, 105004. [Google Scholar] [CrossRef] [PubMed]
- Scholkmann, F.; Spichtig, S.; Muehlemann, T.; Wolf, M. How to detect and reduce movement artifacts in near-infrared imaging using moving standard deviation and spline interpolation. Physiol. Meas. 2010, 31, 649–662. [Google Scholar] [CrossRef]
- Harada, T.; Miyai, I.; Suzuki, M.; Kubota, K. Gait capacity affects cortical activation patterns related to speed control in the elderly. Exp. Brain Res. 2008, 193, 445–454. [Google Scholar] [CrossRef]
- Miyai, I.; Tanabe, H.C.; Sase, I.; Eda, H.; Oda, I.; Konishi, I.; Tsunazawa, Y.; Suzuki, T.; Yanagida, T.; Kubota, K. Cortical Mapping of Gait in Humans: A Near-Infrared Spectroscopic Topography Study. NeuroImage 2001, 14, 1186–1192. [Google Scholar] [CrossRef]
- Holtzer, R.; Mahoney, J.R.; Izzetoglu, M.; Izzetoglu, K.; Onaral, B.; Verghese, J. fNIRS Study of Walking and Walking While Talking in Young and Old Individuals. J. Gerontol. Ser. A Biol. Sci. Med. Sci. 2011, 66, 879–887. [Google Scholar] [CrossRef]
- Yesavage, J.A.; Brink, T.; Rose, T.L.; Lum, O.; Huang, V.; Adey, M.; Leirer, V.O. Development and validation of a geriatric depression screening scale: A preliminary report. J. Psychiatr. Res. 1982, 17, 37–49. [Google Scholar] [CrossRef]
- Duff, K.; Clark, H.J.D.; O’Bryant, S.E.; Mold, J.W.; Schiffer, R.B.; Sutker, P.B. Utility of the RBANS in detecting cognitive impairment associated with Alzheimer’s disease: Sensitivity, specificity, and positive and negative predictive powers. Arch. Clin. Neuropsychol. 2008, 23, 603–612. [Google Scholar] [CrossRef]
- Gold, B.T.; Jiang, Y.; Jicha, G.A.; Smith, C.D. Functional response in ventral temporal cortex differentiates mild cognitive impairment from normal aging. Hum. Brain Mapp. 2010, 31, 1249–1259. [Google Scholar] [CrossRef]
- Neubauer, A.; Fink, A. Intelligence and neural efficiency. Neurosci. Biobehav. Rev. 2009, 33, 1004–1023. [Google Scholar] [CrossRef] [PubMed]
- Chein, J.M.; Schneider, W. Neuroimaging studies of practice-related change: fMRI and meta-analytic evidence of a domain-general control network for learning. Cogn. Brain Res. 2005, 25, 607–623. [Google Scholar] [CrossRef] [PubMed]
- Erdeniz, B.; Done, J. Common and Distinct Functional Brain Networks for Intuitive and Deliberate Decision Making. Brain Sci. 2019, 9, 174. [Google Scholar] [CrossRef] [PubMed]
- Verghese, J.; Holtzer, R.; Lipton, R.B.; Wang, C. Mobility stress test approach to predicting frailty, disability, and mortality in high-functioning older adults. J. Am. Geriatr. Soc. 2012, 60, 1901–1905. [Google Scholar] [CrossRef] [PubMed]
- Verghese, J.; Wang, C.; Ayers, E.; Izzetoglu, M.; Holtzer, R. Brain activation in high-functioning older adults and falls. Neurology 2016, 88, 191–197. [Google Scholar] [CrossRef] [PubMed]
- Maillet, D.; Rajah, M.N. Association between prefrontal activity and volume change in prefrontal and medial temporal lobes in aging and dementia: A review. Ageing Res. Rev. 2013, 12, 479–489. [Google Scholar] [CrossRef]
- Lucas, M.; Wagshul, M.E.; Izzetoglu, M.; Holtzer, R. Moderating Effect of White Matter Integrity on Brain Activation During Dual-Task Walking in Older Adults. J. Gerontol. A Biol. Sci. Med. Sci. 2018, 74, 435–441. [Google Scholar] [CrossRef]
- Wagshul, M.E.; Lucas, M.; Ye, K.; Izzetoglu, M.; Holtzer, R. Multi-modal neuroimaging of dual-task walking: Structural MRI and fNIRS analysis reveals prefrontal grey matter volume moderation of brain activation in older adults. NeuroImage 2019, 189, 745–754. [Google Scholar] [CrossRef]




| Number (%) Female | Total Sample (n = 82) 41 (50) | Control (n = 71) 36 (50.7) | MCI (n = 11) 5 (45.5) |
|---|---|---|---|
| Variable | M (SD) | M (SD) | M (SD) |
| Age | 77.01 (5.99) | 76.82 (6.21) | 78.27 (4.31) |
| GHS | 0.83 (1.06) | 0.83 (1.08) | 0.82 (0.98) |
| Education | 14.84 (2.94) | 15.00 (2.86) | 13.82 (3.40) |
| RBANS Total: | 94.10 (11.45) | 95.58 (11.00) | 84.55 (9.96) |
| RBANS Index Scores | |||
| Immediate Memory | 102.48 (12.69) | 103.65 (11.70) | 94.91 (16.54) |
| Visual/Spatial/Construction | 90.68 (11.74) | 91.32 (11.62) | 86.55 (12.29) |
| Attention | 101.53 (14.13) | 102.85 (13.84) | 91.11 (12.56) |
| Language | 94.58 (9.53) | 95.41 (9.61) | 89.27 (7.33) |
| Delayed Memory | 96.48 (11.21) | 97.28 (11.28) | 91.27 (9.62) |
| GDS | 4.40 (3.35) | 4.32 (3.30) | 4.91 (3.78) |
| Stride Velocity STW | 72.71 (16.79) | 74.14 (15.55) | 62.24 (22.39) |
| Stride Velocity DTW | 61.66 (16.31) | 62.99 (16.36) | 51.96 (12.83) |
| Error Letter Generation: Alpha | 0.44 (0.54) | 0.38 (0.51) | 0.84 (0.61) |
| Error Letter Generation: DTW | 1.15 (0.97) | 1.14 (1.01) | 1.19 (0.59) |
| HbO2 STW | 0.20 (1.00) | 0.21 (0.98) | 0.08 (1.12) |
| HbO2 Alpha | 0.93 (0.93) | 0.90 (0.94) | 1.17 (0.83) |
| HbO2 DTW | 0.97 (1.54) | 1.04 (1.49) | 0.41 (1.84) |
| Model 1: Trial Effects, STW | Model 2: Trial Effects, Alpha | Model 3: Trial Effects, DTW | |||||||
|---|---|---|---|---|---|---|---|---|---|
| Variable | Estimate | 95% CI | p | Estimate | 95% CI | p | Estimate | 95% CI | p |
| Trial 1 vs. Trial 2 | −0.001 | (−0.057, 0.110) | 0.535 | −0.218 | (−0.285, −0.151) | <0.001 | −0.312 | (−0.409, −0.215) | <0.001 |
| Trial 1 vs. Trial 3 | −0.001 | (−0.084, 0.082) | 0.998 | −0.201 | (−0.269, −0.134) | <0.001 | −0.345 | (−0.452, −0.256) | <0.001 |
| MCI | 0.014 | (−0.497, 0.525) | 0.956 | 0.085 | (−0.368, 0.538) | 0.709 | −0.654 | (−1.319, 0.009) | 0.053 |
| MCI x Trial 1 vs. Trial 2 | 0.101 | (−0.149, 0.352) | 0.429 | 0.320 | (0.117, 0.522) | 0.002 | 0.397 | (0.104, 0.690) | 0.008 |
| MCI x Trial 1 vs. Trial 3 | −0.541 | (−0.795, −0.286) | <0.001 | 0.056 | (−0.148, 0.261) | 0.589 | 0.946 | (0.650, 1.243) | <0.001 |
| Age | −0.022 | (−0.049, 0.004) | 0.102 | 0.003 | (−0.020, 0.227) | 0.758 | −0.015 | (−0.050, 0.020) | 0.399 |
| GHS | 0.011 | (−0.150, 0173) | 0.887 | 0.077 | (−0.066, 0.222) | 0.287 | 0.066 | (−0.146, 0.278) | 0.536 |
| Gender | 0.057 | (−0.282, 0.397) | 0.736 | −0.302 | (−0.606, 0.002) | 0.052 | −0.157 | (−0.603, 0.289) | 0.486 |
| GDS | <0.001 | (−0.054, 0.054) | 0.998 | <0.001 | (−0.049, 0.048) | 0.993 | −0.041 | (−0.1139, 0.030) | 0.252 |
| Model 1: Trial Effects, STW | Model 2: Trial Effects, DTW | |||||
|---|---|---|---|---|---|---|
| Variable | Estimate | 95% CI | p | Estimate | 95% CI | p |
| Trial 1 vs. Trial 2 | 1.023 | (0.006, 2.040) | 0.049 | 2.154 | (0.980, 3.328) | <0.001 |
| Trial 1 vs. Trial 3 | 0.570 | (−0.730, 1.871) | 0.385 | 2.664 | (1268, 4.060) | <0.001 |
| MCI | −11.425 | (−21.675, −1.74) | 0.029 | −10.671 | (−20.823, −0.51) | 0.040 |
| MCI x Trial 1 vs. Trial 2 | −2.045 | (−4.945, 0.854) | 0.164 | −3.545 | (−6.883, −0.206) | 0.038 |
| MCI x Trial 1 vs. Trial 3 | −1.067 | (−4.702, 2.566) | 0.560 | −4.141 | (−8.055, −0.227) | 0.038 |
| Age | −0.932 | (−1.509, −0.354) | 0.002 | −0.489 | (−1.076, 0097) | 0.101 |
| GHS | −4.082 | (−7.518, −0.646) | 0.021 | −2.982 | (−6.466, 0.501) | 0.092 |
| Gender | 5.528 | (−1.594, 12.652) | 0.126 | −1.254 | (−8.495, −5.598) | 0.731 |
| GDS | −0.359 | (−1.438, 0.718) | 0.509 | −0.153 | (−1.2367, 0.930) | 0.779 |
| Model 1: Trial Effects, Alpha | Model 2: Trial Effects, DTW | |||||
|---|---|---|---|---|---|---|
| Estimate | 95% CI | p | Estimate | 95% CI | p | |
| Trial 1 vs. Trial 2 | −0.121 | (−0.227, −0.015) | 0.026 | −0202 | (−0.415, 0.010) | 0.062 |
| Trial 1 vs. Trial 3 | −0.030 | (−0.151, 0.090) | 0.619 | 0.261 | (−0.463, −0.058) | 0.012 |
| MCI | 0.391 | (0.040, 0.743) | 0.029 | 0.320 | (−0.434, 1.0743) | 0.400 |
| MCI x Trial 1 vs. Trial 2 | −0.081 | (−0.393, 0.230) | 0.604 | −0.158 | (−0.823, 0.507) | 0.637 |
| MCI x Trial 1 vs. Trial 3 | −0.538 | (−0.883, −0.192) | 0.003 | 0.266 | (−0.365, 0.899) | 0.403 |
| Age | 0.014 | (−0.001, 0.030) | 0.077 | 0.015 | (−0.017, 0.048) | 0.341 |
| GHS | 0.008 | (−0.087, 0.104) | 0.866 | 0.055 | (−0.137, 0.247) | 0.570 |
| Gender | −0.130 | (−0.331, 0.069) | 0.197 | −0.394 | (−0.802, 0.013) | 0.058 |
| GDS | −0.001 | (−0.030, 0.029) | 0.988 | −0.019 | (−0.080, 0.0040) | 0.513 |
© 2020 by the authors. Licensee MDPI, Basel, Switzerland. This article is an open access article distributed under the terms and conditions of the Creative Commons Attribution (CC BY) license (http://creativecommons.org/licenses/by/4.0/).
Share and Cite
Holtzer, R.; Izzetoglu, M. Mild Cognitive Impairments Attenuate Prefrontal Cortex Activations during Walking in Older Adults. Brain Sci. 2020, 10, 415. https://doi.org/10.3390/brainsci10070415
Holtzer R, Izzetoglu M. Mild Cognitive Impairments Attenuate Prefrontal Cortex Activations during Walking in Older Adults. Brain Sciences. 2020; 10(7):415. https://doi.org/10.3390/brainsci10070415
Chicago/Turabian StyleHoltzer, Roee, and Meltem Izzetoglu. 2020. "Mild Cognitive Impairments Attenuate Prefrontal Cortex Activations during Walking in Older Adults" Brain Sciences 10, no. 7: 415. https://doi.org/10.3390/brainsci10070415
APA StyleHoltzer, R., & Izzetoglu, M. (2020). Mild Cognitive Impairments Attenuate Prefrontal Cortex Activations during Walking in Older Adults. Brain Sciences, 10(7), 415. https://doi.org/10.3390/brainsci10070415

