Wind Power Short-Term Prediction Based on LSTM and Discrete Wavelet Transform
Abstract
:1. Introduction
2. Problem Description
3. Proposed DWT_LSTM Forecasting Method
3.1. Sketch of DWT_LSTM
3.2. Long Short-Term Memory (LSTM)
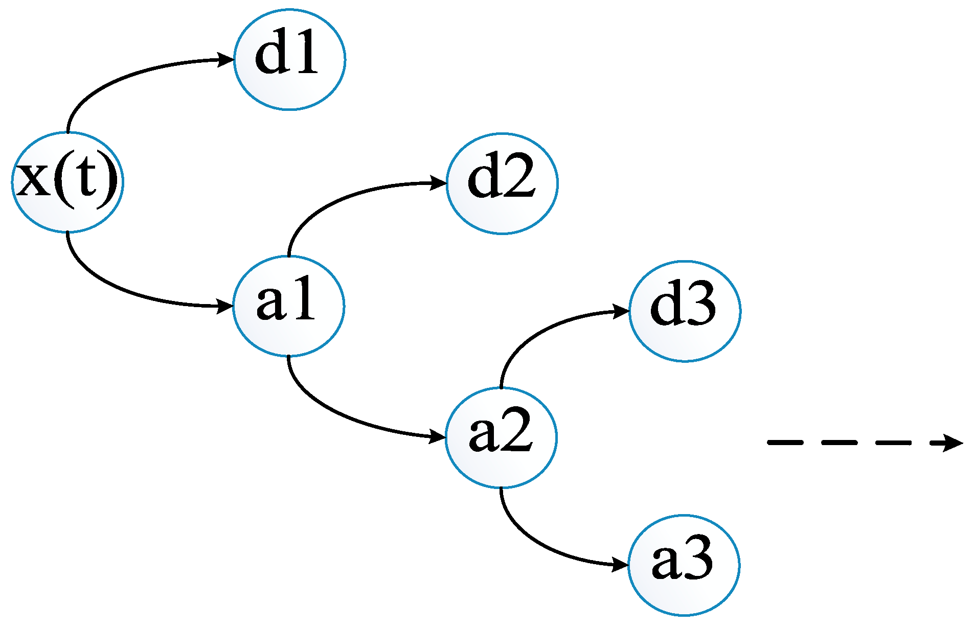
3.3. Discrete Wavelet Transform (DWT)
3.4. The Proposed DWT_LSTM Method
4. Experimental Design
4.1. Benchmarks and Hyperparameter Settings
4.2. Optimization Algorithm
4.3. Data Description
5. Results and Analysis
6. Conclusions
Author Contributions
Funding
Acknowledgments
Conflicts of Interest
References
- Cerna, F.V.; Pourakbari-Kasmaei, M.; Contreras, J.; Gallego, L.A. Optimal Selection of Navigation Modes of HEVs considering CO2 Emissions Reduction. IEEE Trans. Veh. Technol. 2019. [Google Scholar] [CrossRef]
- Sun, Y.; Hou, X.; Yang, J.; Han, H.; Su, M.; Guerrero, J.M. New perspectives on droop control in AC microgrid. IEEE Trans. Ind. Electron. 2017, 64, 5741–5745. [Google Scholar] [CrossRef]
- Li, L.; Sun, Y.; Liu, Z.; Hou, X.; Shi, G.; Su, M. A Decentralized Control with Unique Equilibrium Point for Cascaded-type Microgrid. IEEE Trans. Sustain. Energy 2019, 10, 310–326. [Google Scholar] [CrossRef]
- Reinders, A.; Übermasser, S.; van Sark, W.; Gercek, C.; Schram, W.; Obinna, U.; Lehfuss, F.; van Mierlo, B.; Robledo, C.; van Wijk, A. An Exploration of the Three-Layer Model Including Stakeholders, Markets and Technologies for Assessments of Residential Smart Grids. Appl. Sci. 2018, 8, 2363. [Google Scholar] [CrossRef]
- Alsadi, S.; Khatib, T. Photovoltaic Power Systems Optimization Research Status: A Review of Criteria, Constrains, Models, Techniques, and Software Tools. Appl. Sci. 2018, 8, 1761. [Google Scholar] [CrossRef]
- Uribe-Pérez, N.; Hernández, L.; de la Vega, D.; Angulo, I. State of the art and trends review of smart metering in electricity grids. Appl. Sci. 2016, 6, 68. [Google Scholar] [CrossRef]
- Crossland, A.; Jones, D.; Wade, N.; Walker, S. Comparison of the Location and Rating of Energy Storage for Renewables Integration in Residential Low Voltage Networks with Overvoltage Constraints. Energies 2018, 11, 2041. [Google Scholar] [CrossRef]
- Irmak, E.; Ayaz, M.S.; Gok, S.G.; Sahin, A.B. A survey on public awareness towards renewable energy in Turkey. In Proceedings of the International Conference on Renewable Energy Research and Application (ICRERA), Milwaukee, WI, USA, 19–22 October 2014; pp. 932–937. [Google Scholar]
- Olowu, T.; Sundararajan, A.; Moghaddami, M.; Sarwat, A. Future Challenges and Mitigation Methods for High Photovoltaic Penetration: A Survey. Energies 2018, 11, 1782. [Google Scholar] [CrossRef]
- Home-Ortiz, J.M.; Melgar-Dominguez, O.D.; Pourakbari-Kasmaei, M.; Mantovani, J.R. A stochastic mixed-integer convex programming model for long-term distribution system expansion planning considering greenhouse gas emission mitigation. Int. J. Electr. Power Energy Syst. 2019, 108, 86–95. [Google Scholar] [CrossRef]
- Liang, H.; Liu, Z.; Liu, H. Stabilization Method Considering Disturbance Mitigation for DC Microgrids with Constant Power Loads. Energies 2019, 12, 873. [Google Scholar] [CrossRef]
- Safari, N.; Chen, Y.; Khorramdel, B.; Mao, L.P.; Chung, C.Y. A spatiotemporal wind power prediction based on wavelet decomposition, feature selection, and localized prediction. In Proceedings of the IEEE Electrical Power and Energy Conference (EPEC), Saskatoon, SK, Canada, 22–25 October 2017; pp. 1–6. [Google Scholar]
- Hou, X.; Sun, Y.; Han, H.; Liu, Z.; Yuan, W.; Su, M. A fully decentralized control of grid-connected cascaded inverters. IEEE Trans. Sustain. Energy 2019, 10, 310–317. [Google Scholar] [CrossRef]
- Hou, X.; Sun, Y.; Zhang, X.; Zhang, G.; Lu, J.; Blaabjerg, F. A Self-Synchronized Decentralized Control for Series-Connected H-bridge Rectifiers. IEEE Trans. Power Electron. 2019. [Google Scholar] [CrossRef]
- Song, D.R.; Fan, X.; Yang, J.; Liu, A.; Chen, S.; Joo, Y. Power extraction efficiency optimization of horizontal-axis wind turbines through optimizing control parameters of yaw control systems using an intelligent method. Appl. Energy 2018, 224, 267–279. [Google Scholar] [CrossRef]
- Song, D.R.; Li, Q.; Cai, Z.; Li, L.; Yang, J.; Su, M.; Joo, Y.H. Model predictive control using multi-step prediction model for electrical yaw system of horizontal-axis wind turbines. IEEE Trans. Sustain. Energy 2018. [Google Scholar] [CrossRef]
- Su, M.; Liu, Z.; Sun, Y.; Han, H.; Hou, X. Stability Analysis and Stabilization methods of DC Microgrid with Multiple Parallel-Connected DC-DC Converters loaded by CPLs. IEEE Trans. Smart Grid 2018, 9, 142–149. [Google Scholar] [CrossRef]
- Liu, Z.; Su, M.; Sun, Y.; Han, H.; Hou, X.; Guerrero, J.M. Stability analysis of DC microgrids with constant power load under distributed control methods. Automatica 2018, 90, 72–90. [Google Scholar] [CrossRef]
- Liu, Z.; Su, M.; Sun, Y.; Yuan, W.; Han, H. Existence and Stability of Equilibrium of DC Microgrid with Constant Power Loads. IEEE Trans. Power Syst. 2018, 33, 7011–7033. [Google Scholar] [CrossRef]
- Li, L.; Ye, H.; Sun, Y.; Han, H.; Li, X.; Su, M.; Guerrero, J.M. A communication-free economical-sharing scheme for cascaded-type microgrids. Int. J. Electr. Power Energy Syst. 2019, 104, 1–9. [Google Scholar] [CrossRef]
- Liu, Z.; Su, M.; Sun, Y.; Li, L.; Han, H.; Zhang, X.; Zheng, M. Optimal criterion and global/sub-optimal control schemes of decentralized economical dispatch for AC microgrid. Int. J. Electr. Power Energy Syst. 2019, 104, 38–42. [Google Scholar] [CrossRef]
- Haque, A.U.; Nehrir, M.H.; Mandal, P. A hybrid intelligent model for deterministic and quantile regression approach for probabilistic wind power forecasting. IEEE Trans. Power Syst. 2014, 29, 1663–1672. [Google Scholar] [CrossRef]
- Yu, Z. Research on Wind Power Prediction and Optimization Algorithm Based on Neural Network. Master’s, Thesis, Jiangsu University, Zhenjiang, China, 2016. [Google Scholar]
- Shi, Z.; Liang, H.; Dinavahi, V. Direct interval forecast of uncertain wind power based on recurrent neural networks. IEEE Trans. Sustain. Energy 2018, 9, 1177–1187. [Google Scholar] [CrossRef]
- Bouzidi, L. Wind power variability: Deterministic and probabilistic forecast of wind power production. In Proceedings of the Saudi Arabia Smart Grid (SASG), Jeddah, Saudi Arabia, 12–14 December 2017; pp. 1–7. [Google Scholar]
- Shuang-Lei, F.; Wei-Sheng, W.; Chun, L.I.; Hui-zhu, D.A. Study on the physical approach to wind power prediction. Proc. CSEE 2010, 30, 1–6. [Google Scholar]
- Xiao, Y.S.; Wang, W.Q.; Huo, X.P. Study on the Time-series Wind Speed Forecasting of the Wind farm Based on Neural Networks. Energy Conserv. Technol. 2007, 25, 106–108. [Google Scholar]
- Yang, X.; Xiao, Y.; Chen, S. Wind speed and generated power forecasting in wind farm. Proc.-Chin. Soc. Electr. Eng. 2005, 25, 1. [Google Scholar]
- Ding, Z.; Yang, P.; Yang, X.; Zhang, Z. Wind power prediction method based on sequential time clustering support vector machine. Autom. Electr. Power Syst. 2012, 36, 131–135. [Google Scholar]
- Lipton, Z.C.; Berkowitz, J.; Elkan, C. A critical review of recurrent neural networks for sequence learning. arXiv, 2015; arXiv:1506.00019. [Google Scholar]
- Wang, L.J.; Dong, L.; LIAO, X.Z.; Gao, Y. Short-term power prediction of a wind farm based on wavelet analysis. Proc. CSEE 2009, 28, 006. [Google Scholar]
- Ming, D.; Li, Z.; Yi, W.U. Wind speed forecast model for wind farms based on time series analysis. Electr. Power Autom. Equip. 2005, 25, 32–34. [Google Scholar]
- Olaofe, Z.O.; Folly, K.A. Wind power estimation using recurrent neural network technique. In Proceedings of the IEEE Power and Energy Society Conference and Exposition in Africa: Intelligent Grid Integration of Renewable Energy Resources (Power Africa), Johannesburg, South Africa, 9–13 July 2012; pp. 1–7. [Google Scholar]
- Kolen, J.F.; Kremer, S.C. Gradient Flow in Recurrent Nets: The Difficulty of Learning Long Term. Dependencies 2001, 28, 237–243. [Google Scholar]
- Bengio, Y.; Simard, P.; Frasconi, P. Learning long-term dependencies with gradient descent is difficult. IEEE Trans. Neural Netw. 2002, 5, 157–166. [Google Scholar] [CrossRef] [PubMed]
- Hochreiter, S.; Schmidhuber, J. Long short-term memory. Neural Comput. 1997, 9, 1735–1780. [Google Scholar] [CrossRef] [PubMed]
- Jin, L.W.; Zhong, Z.Y.; Yang, Z.; YANG, W.X.; XIE, Z.C.; SUN, J. Applications of deep learning for handwritten Chinese character recognition: A review. Acta Autom. Sin. 2016, 42, 1125–1141. [Google Scholar]
- Kotecha, N.; Young, P. Generating Music using an LSTM Network. arXiv, 2018; arXiv:1804.07300. [Google Scholar]
- Chen, X.; Wu, Z.; Yu, J. TSSD: Temporal Single-Shot Object Detection Based on Attention-Aware LSTM. arXiv, 2018; arXiv:1803.00197v2. [Google Scholar]
- Qian, Q.; Huang, M.; Lei, J.; Zhu, X. Linguistically Regularized LSTM for Sentiment Classification. In Proceedings of the Meeting of the Association for Computational Linguistics, Vancouver, BC, Canada, 30 July–4 August 2017; pp. 1679–1689. [Google Scholar]
- Graves, A.; Jaitly, N.; Mohamed, A.R. Hybrid speech recognition with deep bidirectional LSTM. In Proceedings of the IEEE Workshop on Automatic Speech Recognition and Understanding, Olomouc, Czech Republic, 8–12 December 2013; pp. 273–278. [Google Scholar]
- Zhu, Q.; Hongyi, L.I.; Wang, Z.; Chen, J.F.; Wang, B. Short-Term Wind Power Forecasting Based on LSTM. Power Syst. Technol. 2017, 12, 3797–3802. [Google Scholar]
- Prasetyowati, A.; Sudiana, D.; Sudibyo, H. Comparison Accuracy W-NN and WD-SVM Method in Predicted Wind Power Model on Wind Farm Pandansimo. In Proceedings of the 4th International Conference on Nano Electronics Research and Education (ICNERE), Hamamatsu, Japan, 27–29 November 2018; pp. 27–29. [Google Scholar]
- Safari, N.; Chung, C.Y.; Price, G.C. Novel multi-step short-term wind power prediction framework based on chaotic time series analysis and singular spectrum analysis. IEEE Trans. Power Syst. 2018, 33, 590–601. [Google Scholar] [CrossRef]
- RAN, Q.W. Applications of Wavelet Transform and Fractional Fourier Transform Theory; Harbin Institute of Technology Press: Harbin, China, 2001. [Google Scholar]
- Li, S.X. Wavelet Transform and Its Application; Higher Education Press: Beijing, China, 1997. [Google Scholar]
- Kingma, D.P.; Ba, J. Adam: A method for stochastic optimization. arXiv, 2014; arXiv:1412.6980. [Google Scholar]
- Mukkamala, M.C.; Hein, M. Variants of rmsprop and adagrad with logarithmic regret bounds. In Proceedings of the 34th International Conference on Machine Learning, Sydney, NSW, Australia, 6–11 August 2017; Volume 70, pp. 2545–2553. [Google Scholar]
- Ida, Y.; Fujiwara, Y.; Iwamura, S. Adaptive learning rate via covariance matrix based preconditioning for deep neural networks. arXiv, 2016; arXiv:1605.09593. [Google Scholar]








| Prediction Step | Algorithms | MAE/MW | MAPE/% | RMSE/MW |
|---|---|---|---|---|
| 1 | DWT_LSTM | 10.12 | 3.01 | 14.22 |
| DWT_RNN | 13.95 | 3.41 | 21.23 | |
| DWT_BP | 16.42 | 4.85 | 22.80 | |
| LSTM | 28.31 | 4.80 | 39.27 | |
| RNN | 29.10 | 5.17 | 40.51 | |
| BP | 32.26 | 5.53 | 41.66 | |
| 2 | DWT_LSTM | 18.98 | 4.01 | 27.11 |
| DWT_RNN | 26.27 | 4.29 | 40.08 | |
| DWT_BP | 28.53 | 4.55 | 44.96 | |
| LSTM | 24.83 | 3.39 | 35.43 | |
| RNN | 29.93 | 7.45 | 50.48 | |
| BP | 34.57 | 5.79 | 52.83 | |
| 3 | DWT_LSTM | 29.48 | 5.15 | 41.33 |
| DWT_RNN | 30.66 | 6.33 | 43.51 | |
| DWT_BP | 36.51 | 6.98 | 51.08 | |
| LSTM | 40.73 | 7.41 | 59.02 | |
| RNN | 41.23 | 7.81 | 61.26 | |
| BP | 46.59 | 8.92 | 65.15 | |
| 4 | DWT_LSTM | 37.70 | 6.66 | 53.32 |
| DWT_RNN | 40.23 | 7.02 | 58.11 | |
| DWT_BP | 43.19 | 8.77 | 62.96 | |
| LSTM | 47.18 | 8.13 | 68.51 | |
| RNN | 46.65 | 8.52 | 68.54 | |
| BP | 50.75 | 8.61 | 71.04 | |
| 5 | DWT_LSTM | 45.23 | 8.10 | 63.22 |
| DWT_RNN | 46.36 | 11.54 | 63.67 | |
| DWT_BP | 55.87 | 12.34 | 75.11 | |
| LSTM | 54.32 | 9.91 | 77.12 | |
| RNN | 55.01 | 10.27 | 78.96 | |
| BP | 56.42 | 10.79 | 77.52 |
| Prediction Step | Algorithms | MAE/MW | MAPE/% | RMSE/MW |
|---|---|---|---|---|
| 1 | DWT_LSTM | 11.26 | 2.02 | 17.35 |
| DWT_RNN | 12.16 | 2.60 | 17.57 | |
| DWT_BP | 14.27 | 2.79 | 22.51 | |
| LSTM | 28.78 | 5.07 | 46.08 | |
| RNN | 29.97 | 5.17 | 46.20 | |
| BP | 30.18 | 5.19 | 46.11 | |
| 2 | DWT_LSTM | 21.11 | 3.52 | 32.13 |
| DWT_RNN | 24.84 | 3.95 | 34.26 | |
| DWT_BP | 25.23 | 4.68 | 38.28 | |
| LSTM | 36.71 | 6.56 | 55.32 | |
| RNN | 37.23 | 6.79 | 56.02 | |
| BP | 37.86 | 6.91 | 56.52 | |
| 3 | DWT_LSTM | 28.55 | 5.31 | 43.6 |
| DWT_RNN | 29.64 | 5.40 | 44.09 | |
| DWT_BP | 35.97 | 6.74 | 52.18 | |
| LSTM | 43.70 | 8.05 | 64.87 | |
| RNN | 44.75 | 8.16 | 66.05 | |
| BP | 47.27 | 8.32 | 68.35 | |
| 4 | DWT_LSTM | 38.13 | 6.96 | 55.91 |
| DWT_RNN | 39.24 | 7.17 | 56.34 | |
| DWT_BP | 46.68 | 8,12 | 67.65 | |
| LSTM | 48.91 | 9.02 | 72.88 | |
| RNN | 51.83 | 9.33 | 74.65 | |
| BP | 52.00 | 9.78 | 75.16 | |
| 5 | DWT_LSTM | 44.52 | 8.36 | 64.62 |
| DWT_RNN | 44.73 | 8.77 | 65.21 | |
| DWT_BP | 48.10 | 9.08 | 70.99 | |
| LSTM | 55.71 | 10.17 | 81.56 | |
| RNN | 58.29 | 10.21 | 83.33 | |
| BP | 59.78 | 10.59 | 84.09 |
| Prediction Step | Algorithms | MAE/MW | MAPE/% | RMSE/MW |
|---|---|---|---|---|
| 1 | DWT_LSTM | 5.49 | 1.75 | 8.64 |
| DWT_RNN | 5.63 | 1.89 | 8.67 | |
| DWT_BP | 8.96 | 3.64 | 12.95 | |
| LSTM | 15.23 | 4.41 | 24.13 | |
| RNN | 15.28 | 4.41 | 24.16 | |
| BP | 15.74 | 4.94 | 24.33 | |
| 2 | DWT_LSTM | 10.21 | 3.04 | 15.75 |
| DWT_RNN | 10.40 | 3.11 | 15.96 | |
| DWT_BP | 13.12 | 3.95 | 20.29 | |
| LSTM | 18.36 | 5.43 | 28.62 | |
| RNN | 18.96 | 5.48 | 29.41 | |
| BP | 19.77 | 6.87 | 29.44 | |
| 3 | DWT_LSTM | 15.27 | 4.35 | 22.92 |
| DWT_RNN | 15.82 | 5.36 | 23.46 | |
| DWT_BP | 19.71 | 7.66 | 28.15 | |
| LSTM | 22.80 | 6.65 | 34.95 | |
| RNN | 23.35 | 6.67 | 35.17 | |
| BP | 23.92 | 8.42 | 35.32 | |
| 4 | DWT_LSTM | 19.85 | 5.77 | 29.73 |
| DWT_RNN | 20.08 | 6.75 | 29.89 | |
| DWT_BP | 22.94 | 6.76 | 34.37 | |
| LSTM | 25.96 | 7.65 | 39.83 | |
| RNN | 26.47 | 8.62 | 39.84 | |
| BP | 26.71 | 8.71 | 39.96 | |
| 5 | DWT_LSTM | 23.96 | 7.11 | 35.83 |
| DWT_RNN | 24.20 | 7.20 | 36.22 | |
| DWT_BP | 26.67 | 8.48 | 40.01 | |
| LSTM | 29.27 | 8.61 | 44.10 | |
| RNN | 30.14 | 10.01 | 44.13 | |
| BP | 30.26 | 10.06 | 44.96 |
© 2019 by the authors. Licensee MDPI, Basel, Switzerland. This article is an open access article distributed under the terms and conditions of the Creative Commons Attribution (CC BY) license (http://creativecommons.org/licenses/by/4.0/).
Share and Cite
Liu, Y.; Guan, L.; Hou, C.; Han, H.; Liu, Z.; Sun, Y.; Zheng, M. Wind Power Short-Term Prediction Based on LSTM and Discrete Wavelet Transform. Appl. Sci. 2019, 9, 1108. https://doi.org/10.3390/app9061108
Liu Y, Guan L, Hou C, Han H, Liu Z, Sun Y, Zheng M. Wind Power Short-Term Prediction Based on LSTM and Discrete Wavelet Transform. Applied Sciences. 2019; 9(6):1108. https://doi.org/10.3390/app9061108
Chicago/Turabian StyleLiu, Yao, Lin Guan, Chen Hou, Hua Han, Zhangjie Liu, Yao Sun, and Minghui Zheng. 2019. "Wind Power Short-Term Prediction Based on LSTM and Discrete Wavelet Transform" Applied Sciences 9, no. 6: 1108. https://doi.org/10.3390/app9061108
APA StyleLiu, Y., Guan, L., Hou, C., Han, H., Liu, Z., Sun, Y., & Zheng, M. (2019). Wind Power Short-Term Prediction Based on LSTM and Discrete Wavelet Transform. Applied Sciences, 9(6), 1108. https://doi.org/10.3390/app9061108

