Shading by Overhang PV Collectors
Abstract
1. Introduction
2. Materials and Methods
2.1. Shadow on a South Facing Walls Cast by a Horizontal Pole
2.2. Shadow on Walls Cast by Horizontal Plate
2.3. Shadow of a Horizontal Pole on a Horizontal Plate
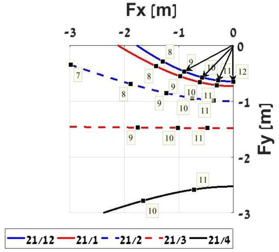
2.4. Shadow of an Inclined Pole on a Horizontal Plate
2.5. Shadow by Inclined Plates
3. Results
3.1. Shaded Area
3.2. Incident Radiation on Overhang PV Collectors
3.2.1. Single Overhang Collector
3.2.2. Multiple Overhang Collectors
3.3. Bifacial PV Modules
Bifacial PV Overhang
4. Discussion
5. Conclusions
Author Contributions
Funding
Conflicts of Interest
References
- James, T.; Goodrich, A.; Woodhouse, M.; Margolis, R.; Ong, S. Building-Integrated Photovoltaics (BIPV) in Residential Sector: An Analysis of Installed Rooftops Systems Prices; Technical Report NREL/TP-6A20-53103; National Renewable Energy Lab: Golden, CO, USA, 2011. [Google Scholar]
- Kaan, H.; Reijenga, T. Photovoltaics in an architectural context. Prog. Photovolt. Res. Appl. 2004, 12, 395–408. [Google Scholar] [CrossRef]
- Gaiddon, B.; Kaan, H.; Munro, D. Photovoltaics in the Urban Environment, Lessons Learned from Large-Scale Projects; Taylor & Francis Group: London, UK, 2009; ISBN 978-1-84407-771-7. [Google Scholar]
- Loulas, N.M.; Karteris, M.M.; Pilavachi, P.A.; Papadopoulos, A.M. Photovoltaics in urban environment: A case study for typical apartment buildings in Greece. Renew. Energy 2012, 48, 453–463. [Google Scholar] [CrossRef]
- Sick, F.; Erge, T. Photovoltaics in Buildings–A Design Handbook for Architects and Engineers; James & James: London, UK, 1996; ISBN 1-873936-59-1. [Google Scholar]
- Castellanos, S.; Sutter, D.A.; Kammen, D.M. Rooftop solar photovoltaic potential in cities: How scalable are assessment approaches? Environ. Res. Lett. 2017, 12, 125005. [Google Scholar] [CrossRef]
- Vulkan, A.; Kloog, I.; Dorman, M.; Erell, E. Modeling the potential for PV installation in residential buildings in dense urban areas. Energy Build. 2018, 169, 97–109. [Google Scholar] [CrossRef]
- Kermani, A.Y.; Nasrollahi, F.; Mahdavinejad, M. Investigation of the relationship between depth of overhang and amount of daylight indicators in office buildings of Kerman city. Environ. Health Eng. Manag. J. 2018, 5, 129–136. [Google Scholar] [CrossRef]
- Robbins, C.L. Daylighting: Design and Analysis; Van Nostrand Reinhold: New York, NY, USA, 1986. [Google Scholar]
- Budin, R.; Budin, L. A mathematical model for shading calculation. Sol. Energy 1982, 29, 339–349. [Google Scholar] [CrossRef]
- Yoo, S.H. Simulation for an optimal application of BIPV through parameter variation. Sol. Energy 2011, 85, 1291–1301. [Google Scholar] [CrossRef]
- Jones, R.E., Jr. Effects of overhang shading of windows having arbitrary azimuth. Sol. Energy 1980, 24, 305–312. [Google Scholar] [CrossRef]
- Yolanda, V.; Jones, R.E. Shading effect of finite width overhang on windows facing toward the equator. Sol. Energy 1883, 30, 171–180. [Google Scholar]
- Sharp, K. Calculation of monthly average insolation on shaded surface and any tilt and azimuth. Sol. Energy 1982, 28, 531–538. [Google Scholar] [CrossRef]
- Pongpattana, C.; Rakkwamsuk, P. Efficient algorithm and computing tool for shading calculation. Songklanakarin J. Sci. Technol. 2006, 28, 375–386. [Google Scholar]
- Bany, J.; Appelbaum, J. The effect of shading on the design of a field of solar collectors. Sol. Cells 1987, 20, 201–228. [Google Scholar] [CrossRef]
- Duffie, J.A.; Beckman, W.A. Solar Engineering of Thermal Processes; John Wiley & Sons, Inc.: Hoboken, NJ, USA, 1991. [Google Scholar]
- Hottel, H.C.; Sarofin, A.F. Radiative Transfer; McGraw Hill: New York, NY, USA, 1967; pp. 31–39. [Google Scholar]
- Duran, C. Bifacial Solar Cells: High Efficiency Design, Characterization, Module and Applications. Ph.D. Thesis, University of Konstanz, Konstanz, Germany, 2012. [Google Scholar]
- Joge, T.; Eguchi, Y.; Imazu, Y.; Araki, I.; Uematsu, T.; Matsukuma, K. Application and field test of bifacial solar modules. In Proceedings of the 29th IEEE Photovoltaic Specialists Conference, New Orleans, LA, USA, 19–24 May 2002. [Google Scholar]
- Appelbaum, J. Bifacial photovoltaic panels field. Renew. Energy 2016, 85, 338–343. [Google Scholar] [CrossRef]
- Chudinzow, D.; Haas, J.; Diaz-Ferran, G.; Moreno-Leiva, S.; Eltrop, L. Simulating the energy yield of a bifacial photovoltaic power plant. Sol. Energy 2019, 183, 812–822. [Google Scholar] [CrossRef]
- Hezel, R. Novel application of bifacial solar cells. Prog. Photovolt. Res. Appl. 2003, 11, 549–556. [Google Scholar] [CrossRef]
- Appelbaum, J. The role of view factors in solar photovoltaic fields. Renew. Sustain. Energy Rev. 2018, 81, 161–171. [Google Scholar] [CrossRef]
















| Distance | Beam-top | Diffuse-top | Global-top | Beam-bottom | Diffuse-bottom | Global-bottom |
|---|---|---|---|---|---|---|
| 1.0 | 38,644 | 15,297 | 53,941 | 20,654 | 6,928 | 27,582 |
| 2.0 | 38,644 | 15,297 | 53,941 | 27,418 | 8,750 | 36,168 |
| 3.0 | 38,644 | 15,297 | 53,941 | 30,805 | 9,392 | 40,197 |
© 2019 by the authors. Licensee MDPI, Basel, Switzerland. This article is an open access article distributed under the terms and conditions of the Creative Commons Attribution (CC BY) license (http://creativecommons.org/licenses/by/4.0/).
Share and Cite
Appelbaum, J.; Aronescu, A.; Maor, T. Shading by Overhang PV Collectors. Appl. Sci. 2019, 9, 4280. https://doi.org/10.3390/app9204280
Appelbaum J, Aronescu A, Maor T. Shading by Overhang PV Collectors. Applied Sciences. 2019; 9(20):4280. https://doi.org/10.3390/app9204280
Chicago/Turabian StyleAppelbaum, Joseph, Avi Aronescu, and Tamir Maor. 2019. "Shading by Overhang PV Collectors" Applied Sciences 9, no. 20: 4280. https://doi.org/10.3390/app9204280
APA StyleAppelbaum, J., Aronescu, A., & Maor, T. (2019). Shading by Overhang PV Collectors. Applied Sciences, 9(20), 4280. https://doi.org/10.3390/app9204280

