Analysis of Bio-Based Fatty Esters PCM’s Thermal Properties and Investigation of Trends in Relation to Chemical Structures
Abstract
1. Introduction
2. Materials and Methods
2.1. Synthesis
2.2. Characterization
2.2.1. Differential Scanning Calorimetry (DSC)
2.2.2. Thermal Gravimetric Analysis (TGA)
2.2.3. Attenuated Total Reflectance Infrared Spectroscopy (ATR-IR)
2.2.4. Gas Chromatography Coupled with Mass Spectroscopy (GC-MS)
2.2.5. Nuclear Magnetic Resonance (NMR)
3. Results
3.1. ATR-IR
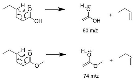
3.2. GC-MS
3.3. NMR
3.4. Thermal Properties
4. Discussion
5. Conclusions and Outlook
Author Contributions
Funding
Acknowledgments
Conflicts of Interest
Abbreviations
| AR | Arachidic Acid | 
| ATR-IR | Attenuated Total Reflectance InfraRed Spectroscopy | 
| BE | Behenic Acid | 
| CDCl3 | Deuterated Chloroform | 
| CHS | Chemical Heat Storage | 
| DEAR | Decyl Arachidate (C10-C20) | 
| DEBE | Decyl Behenate (C10-C22) | 
| DEMY | Decyl Myristate (C10-C14) | 
| DEPA | Decyl Palmitate (C10-C16) | 
| DESA | Decyl Stearate (C10-C18) | 
| DSC | Differential Scanning Calorimetry | 
| EtOAc | Ethyl Acetate | 
| GC-MS | Gas-Chromatography coupled with Mass Spectrometry | 
| H2SO4 | Sulfuric Acid | 
| LHS | Latent Heat Storage | 
| MEAR | Methyl Arachidate (C1-C20) | 
| MEBE | Methyl Behenate (C1-C22) | 
| MEMY | Methyl Myristate (C1-C14) | 
| MeOH | Methanol | 
| MEPA | Methyl Palmitate (C1-C16) | 
| MESA | Methyl Stearate (C1-C18) | 
| MSD | Mass Selective Detector | 
| MY | Myristic Acid | 
| Na2SO4 | Sodium Sulfate | 
| NMR | Nuclear Magnetic Resonance | 
| PA | Palmitic Acid | 
| PCM | Phase Change Material | 
| PEAR | Pentyl Arachidate (C5-C20) | 
| PEBE | Pentyl Behenate (C5-C22) | 
| PEMY | Pentyl Myristate (C5-C14) | 
| PEPA | Pentyl Palmitate (C5-C16) | 
| PESA | Pentyl Stearate (C5-C18) | 
| PFTBA | Perfluorotributylamine | 
| SA | Stearic Acid | 
| SHS | Sensible Heat Storage | 
| Tc | Crystallization Temperature | 
| TCS | Thermochemical Storage Material | 
| TES | Thermal Energy Storage | 
| TGA | Thermogravimetric Analysis | 
| Tm | Melting Temperature | 
| TMS | Tetramethylsilane | 
| ΔH | Enthalpy of fusion | 
Appendix A

References
- International Energy Agency, World Energy Balances 2018: Overview. 2018. Available online: https://webstore.iea.org/download/direct/2263?filename=world_energy_balances_2018_overview.pdf (accessed on 18 October 2018).
 - International Energy Agency, World Energy Outlook 2016. Available online: https://webstore.iea.org/download/direct/202?fileName=WEO2016.pdf (accessed on 18 October 2018).
 - International Energy Agency, Technology Collaboration Programmes: Highlights and Outcomes. 2016, pp. 1–98. Available online: https://www.iea.org/publications/freepublications/publication/TechnologyCollaborationProgrammes.pdf (accessed on 20 October 2018).
 - European Commission, EU, An EU Strategy on Heating and Cooling. 2016. Available online: https://ec.europa.eu/energy/sites/ener/files/documents/1_EN_ACT_part1_v14.pdf (accessed on 20 October 2018).
 - Zalba, B.; Marín, J.M.; Cabeza, L.F.; Mehling, H. Review on thermal energy storage with phase change: Materials, heat transfer analysis and applications. Appl. Therm. Eng. 2003, 23, 251–283. [Google Scholar] [CrossRef]
 - Mehling, H.; Cabeza, L.F. Heat and Cold Storage with PCM; Springer: Berlin/Heidelberg, Germany, 2008; ISBN 978-3-540-68557-9. [Google Scholar]
 - Cabeza, L.F.; Castell, A.; Barreneche, C.; de Gracia, A.; Fernández, A.I. Materials used as PCM in thermal energy storage in buildings: A review. Renew. Sustain. Energy Rev. 2011, 15, 1675–1695. [Google Scholar] [CrossRef]
 - Nkwetta, D.N.; Haghighat, F. Thermal energy storage with phase change material—A state-of-the art review. Sustain. Cities Soc. 2013, 1–14. [Google Scholar] [CrossRef]
 - Sepe, R.; Armentani, E.; Pozzi, A. Development and Stress Behaviour of an Innovative Refrigerated Container with PCM for Fresh and Frozen Goods. Multidiscip. Model. Mater. Struct. 2015, 11, 202–215. [Google Scholar] [CrossRef]
 - Stamatiou, A.; Obermeyer, M.; Fischer, L.J.; Schuetz, P.; Worlitschek, J. Investigation of unbranched, saturated, carboxylic esters as phase change materials. Renew. Energy 2017, 108, 401–409. [Google Scholar] [CrossRef]
 - Sari, A. Thermal energy storage properties of mannitol–fatty acid esters as novel organic solid–liquid phase change materials. Energy Convers. Manag. 2012, 64, 68–78. [Google Scholar] [CrossRef]
 - Aydin, A.A. High-chain fatty acid esters of 1-octadecanol as novel organic phase change materials and mathematical correlations for estimating the thermal properties of higher fatty acid esters’ homologous series. Sol. Energy Mater. Sol. Cells 2013, 113, 44–51. [Google Scholar] [CrossRef]
 - Aydin, A.A.; Okutan, H. High-chain fatty acid esters of myristyl alcohol with odd carbon number: Novel organic phase change materials for thermal energy storage. Sol. Energy Mater. Sol. Cells 2011, 95, 2417–2423. [Google Scholar] [CrossRef]
 - Ravotti, R.; Fellmann, O.; Lardon, N.; Fischer, J.L.; Stamatiou, A.; Worlitschek, J. Synthesis and Investigation of Thermal Properties of Highly Pure Carboxylic Fatty Esters to Be Used as PCM. Appl. Sci. 2018, 8, 1069. [Google Scholar] [CrossRef]
 - Sharma, A.; Tyagi, V.V.; Chen, C.R.; Buddhi, D. Review on thermal energy storage with phase change materials and applications. Renew. Sustain. Energy Rev. 2009, 13, 318–345. [Google Scholar] [CrossRef]
 - Menou, K.; Castell, A.; Farid, M.M.; Boer, D.; Cabeza, L.F. Life Cycle Assessment of experimental cubicles including PCM manufactured from natural resources (esters): A theoretical study. Renew. Energy 2013, 51, 398–403. [Google Scholar] [CrossRef]
 - Pereira, J.; Eames, P. Thermal energy storage for low and medium temperature applications using phase change materials—A review. Appl. Energy 2016, 177, 227–238. [Google Scholar] [CrossRef]
 - Noël, J.A.; White, M.A.; Kahwaji, S. Molecular Structure and Melting: Implications for Phase Change Materials. Can. J. Chem. 2017, 1–30. [Google Scholar] [CrossRef]
 - Yang, K.; Cai, Z.; Jaiswal, A.; Madhudusan, T.; Moore, S.J.; Zhang, Y. Dynamic Odd—Even Effect in Liquid n-Alkanes near Their Melting Points. Angew. Chem. Int. Ed. 2016, 55, 14090–14095. [Google Scholar] [CrossRef]
 - Katritzky, A.R.; Jain, R.; Lomaka, A.; Petrukhin, R.; Maran, U.; Karelson, M. Perspective on the Relationship between Melting Points and Chemical Structure. Cryst. Growth Des. 2001, 1, 261–265. [Google Scholar] [CrossRef]
 - Austin, J.B. A Relation between the Molecular Weights and Melting Points of Organic Compounds. J. Am. Chem. Soc. 1930, 52, 1049–1053. [Google Scholar] [CrossRef]
 - Jain, A.; Yang, G.; Yalkowsky, S.H. Estimation of Melting Points of Organic Compounds. Ind. Eng. Chem. Res. 2004, 43, 7618–7621. [Google Scholar] [CrossRef]
 - Tariq, M.; Ali, S.; Ahmad, F.; Ahmad, M.; Zafar, M. Identification, FT-IR, NMR (1 H and 13 C) and GC/MS studies of fatty acid methyl esters in biodiesel from rocket seed oil. Fuel Process. Technol. 2011, 92, 336–341. [Google Scholar] [CrossRef]
 - McLafferty, F.W.; Gohike, R.S. Mass Spectrometric Analysis. Aromatic Acids and Esters. Anal. Chem. 1959, 31, 2076–2082. [Google Scholar] [CrossRef]
 - Mjøs, S.A. The prediction of fatty acid structure from selected ions in electron impact mass spectra of fatty acid methyl esters. Eur. J. Lipid Sci. Technol. 2004, 106, 550–560. [Google Scholar] [CrossRef]
 - Bunn, C.W. The Melting Points of Chain Polymers. J. Polym. Sci. 1955, XVI, 323–343. [Google Scholar] [CrossRef]
 - Du, K.; Calautit, J.; Wang, Z.; Wu, Y.; Liu, H. A review of the applications of phase change materials in cooling, heating and power generation in different temperature ranges. Appl. Energy 2018, 220, 242–273. [Google Scholar] [CrossRef]
 - Chidambaram, L.A.; Ramana, A.S.; Kamaraj, G.; Velraj, R. Review of solar cooling methods and thermal storage options. Renew. Sustain. Energy Rev. 2011, 15, 3220–3228. [Google Scholar] [CrossRef]
 





| Compound | Retention Time GC, min | Fragmentation Peaks MS, m/z with Relative Intensities (%) | 
|---|---|---|
| PEMY | 16.53 | 298 (4), 255 (2), 229 (44), 211 (22), 199 (4), 185 (9), 171 (3), 157 (2), 143 (9), 129 (11), 115 (9), 97 (8), 83 (9), 70 (100), 57 (22) | 
| PEPA | 18.26 | 326 (7), 284 (1), 257 (42), 239 (16), 227 (3), 213 (6), 199 (5), 185 (5), 171 (4), 157 (6), 143 (7), 129 (9), 115 (11), 97 (9), 83 (10), 70 (100), 57 (22) | 
| PESA | 19.86 | 354 (7), 311 (1), 285 (30), 267 (10), 241 (7), 227 (1), 213 (1), 199 (4), 185 (5), 171 (2), 157 (1), 143 (7), 129 (11), 115 (10), 97 (8), 83 (11), 70 (100), 57 (28) | 
| PEBE | 22.70 | 411 (12), 341 (29), 323 (7), 297 (4), 281 (1), 255 (2), 241 (3), 227 (1), 207 (8), 199 (4), 185 (5), 143 (8), 131 (9), 115 (10), 97 (10), 83 (10), 70 (100), 57 (30) | 
| MEAR | 18.64 | 326 (19), 295 (5), 283 (14), 269 (3), 255 (4), 241 (7), 227 (7), 213 (4), 199 (7), 185 (8), 171 (5), 157 (4), 143 (22), 129 (9), 115 (5), 101 (8), 87 (71), 74 (100), 57 (19) | 
| PEAR | 21.33 | 382 (14), 340 (1), 313 (34), 295 (12), 283 (1), 269 (8), 255 (1), 241 (2), 227 (2), 213 (4), 199 (6), 185 (4), 171 (3), 157 (2), 143 (6), 129 (10), 115 (11), 97 (10), 83 (11), 70 (100), 57 (33) | 
| DEAR | 24.52 | 453 (8), 341 (1), 327 (1), 313 (50), 295 (4), 281 (6), 269 (5), 253 (4), 227 (1), 207 (23), 185 (6), 171 (1), 157 (1), 140 (57), 129 (7), 115 (3), 111 (35), 97 (34), 85 (36), 69 (40), 57 (100) | 
| Compound | Chemical Structure | Peak (ppm/TMS) | Integral | Interpretation | 
|---|---|---|---|---|
| PEMY (C5-C14)  | C19H38O2 | 4.07–4.04 (t), 2.31–2.27 (t), 1.64–1.55 (m), 1.35–1.26 (m), 0.92–0.86 (m) | 2, 2, 4, 24, 6 | –CH2 in α (alcohol chain), –CH2 in α (carbonyl), –CH2 in β (aliphatic chain), –CH2 (aliphatic chains), –CH3 (end aliphatic chains from both alcohol and acid sides) | 
| PEPA (C5-C16)  | C21H42O2 | 4.07–4.04 (t), 2.31–2.27 (t), 1.64–1.59 (m), 1.35–1.25 (m), 0.91–0.86 (m) | 2, 2, 4, 28, 6 | –CH2 in α (alcohol chain), –CH2 in α (carbonyl), –CH2 in β (aliphatic chain), –CH2 (aliphatic chains), –CH3 (end aliphatic chains from both alcohol and acid sides) | 
| PESA (C5-C18)  | C23H46O2 | 4.07–4.04 (t), 2.31–2.27 (t), 1.63–1.56 (m), 1.35–1.25 (m), 0.92–0.86 (m) | 2, 2, 4, 32, 6 | –CH2 in α (alcohol chain), –CH2 in α (carbonyl), –CH2 in β (aliphatic chain), –CH2 (aliphatic chains), –CH3 (end aliphatic chains from both alcohol and acid sides) | 
| PEBE (C5-C22)  | C27H54O2 | 4.07–4.04 (t), 2.31–2.27 (t), 1.64–1.55 (m), 1.35–1.26 (m), 0.92–0.86 (m) | 2, 2, 4, 40, 6 | –CH2 in α (alcohol chain), –CH2 in α (carbonyl), –CH2 in β (aliphatic chain), –CH2 (aliphatic chains), –CH3 (end aliphatic chains from both alcohol and acid sides) | 
| MEAR (C1-C20)  | C21H42O2 | 3.69 (s), 2.34–2.30 (t), 1.68–1.58 (m), 1.27 (m), 0.92–0.88 (t) | 3, 2, 2, 32, 3 | –CH3 (alcohol chain), –CH2 in α (carbonyl), –CH2 in β (aliphatic chain), –CH2 (aliphatic chain), –CH3 (end carboxylic chain) | 
| PEAR (C5-C20)  | C25H50O2 | 4.07–4.04 (t), 2.31–2.27 (t), 1.64–1.56 (m), 1.35–1.26 (m), 0.92–0.86 (m) | 2, 2, 4, 36, 6 | –CH2 in α (alcohol chain), –CH2 in α (carbonyl), –CH2 in β (aliphatic chain), –CH2 (aliphatic chains), –CH3 (end aliphatic chains from both alcohol and acid sides) | 
| DEAR (C10-C20)  | C30H60O2 | 4.07–4.04 (t), 2.31–2.27 (t), 1.64–1.55 (m), 1.25 (m), 0.92–0.86 (t) | 2, 2, 4, 46, 6 | –CH2 in α (alcohol chain), –CH2 in α (carbonyl), –CH2 in β (aliphatic chain), –CH2 (aliphatic chains), –CH3 (end aliphatic chains from both alcohol and acid sides) | 
| Structure | Carbon Number | MW (g/mol) | Purity | Tc (Onset, °C) | Tm (Onset, °C) | Supercooling (°C) | ΔH (J/g) | ΔH (KJ/mol) | Tdegradation (Start, °C) | Tdegradation (End, °C) | |
|---|---|---|---|---|---|---|---|---|---|---|---|
| PEMY (C5-C14) | C19H38O2 | 19 | 298.50 | ≥95% | 4.17 ± 1.22 | 9.90 ± 0.51 | 5.73 | 177 ± 5 | 56.72 | 155 ± 35 | 273 ± 35 | 
| PEPA (C5-C16) | C21H42O2 | 21 | 326.57 | ≥95% | 15.24 ± 0.47 | 19.63 ± 0.48 | 4.39 | 187 ± 6 | 63.68 | 147 ± 7 | 277 ± 29 | 
| MEAR (C1-C20) | C21H42O2 | 21 | 326.57 | ≥95% | 41.75 ± 1.06 | 44.05 ± 0.35 | 2.30 | 213 ± 17 | 69.23 | 190 ± 14 | 330 ± 28 | 
| PESA (C5-C18) | C23H46O2 | 23 | 354.61 | ≥95% | 17.83 ± 0.98 | 25.17 ± 0.79 | 7.34 | 151 ± 39 | 59.22 | 163 ± 23 | 317 ± 15 | 
| PEAR (C5-C20) | C25H50O2 | 25 | 382.67 | ≥95% | 35.75 ± 0.28 | 35.45 ± 0.21 | 0.30 | 189 ± 31 | 70.79 | 213 ± 11 | 335 ± 7 | 
| PEBE (C5-C22) | C27H54O2 | 27 | 410.73 | ≥95% | 43.02 ± 0.20 | 42.38 ± 0.59 | 0.64 | 165 ± 19 | 67.77 | 220 ± 10 | 350 ± 10 | 
| DEAR (C10-C20) | C30H60O2 | 30 | 452.81 | ≥95% | 40.83 ± 0.17 | 40.89 ± 0.45 | 0.06 | 232 ± 24 | 105.96 | 240 ± 14 | 355 ± 7 | 
| Carbon Number | Tc (Onset, °C) | Tm (Onset, °C) | |
|---|---|---|---|
| PEMY (C5-C14) | 19 | 4.17 ± 1.22 | 9.90 ± 0.51 | 
| MEMY (C1-C14) | 15 | 13.58 ± 0.84 | 15.15 ± 1.50 | 
| PEPA (C5-C16) | 21 | 15.24 ± 0.47 | 19.63 ± 0.48 | 
| PESA (C5-C18) | 23 | 17.83 ± 0.98 | 25.17 ± 0.79 | 
| DEMY (C10-C14) | 24 | 22.89 ± 0.16 | 25.16 ± 0.44 | 
| MEPA (C1-C16) | 17 | 24.33 ± 0.24 | 26.25 ± 0.06 | 
| DEPA (C10-C16) | 26 | 28.92 ± 1.24 | 29.03 ± 1.87 | 
| PEAR (C5-C20) | 25 | 35.75 ± 0.28 | 35.45 ± 0.21 | 
| MESA (C1-C18) | 19 | 31.86 ± 1.14 | 35.63 ± 0.97 | 
| DESA (C10-C18) | 28 | 33.83 ± 1.29 | 36.22 ± 0.79 | 
| DEAR (C10-C20) | 30 | 40.83 ± 0.17 | 40.89 ± 0.45 | 
| PEBE (C5-C22) | 27 | 43.02 ± 0.20 | 42.38 ± 0.59 | 
| MEAR (C1-C20) | 21 | 41.75 ± 1.06 | 44.05 ± 0.35 | 
| DEBE (C10-C22) | 32 | 44.71 ± 0.63 | 44.79 ± 0.68 | 
| MEBE (C1-C22) | 23 | 41.47 ± 1.03 | 47.91 ± 0.71 | 
© 2019 by the authors. Licensee MDPI, Basel, Switzerland. This article is an open access article distributed under the terms and conditions of the Creative Commons Attribution (CC BY) license (http://creativecommons.org/licenses/by/4.0/).
Share and Cite
Ravotti, R.; Fellmann, O.; Lardon, N.; Fischer, L.J.; Stamatiou, A.; Worlitschek, J. Analysis of Bio-Based Fatty Esters PCM’s Thermal Properties and Investigation of Trends in Relation to Chemical Structures. Appl. Sci. 2019, 9, 225. https://doi.org/10.3390/app9020225
Ravotti R, Fellmann O, Lardon N, Fischer LJ, Stamatiou A, Worlitschek J. Analysis of Bio-Based Fatty Esters PCM’s Thermal Properties and Investigation of Trends in Relation to Chemical Structures. Applied Sciences. 2019; 9(2):225. https://doi.org/10.3390/app9020225
Chicago/Turabian StyleRavotti, Rebecca, Oliver Fellmann, Nicolas Lardon, Ludger J. Fischer, Anastasia Stamatiou, and Jörg Worlitschek. 2019. "Analysis of Bio-Based Fatty Esters PCM’s Thermal Properties and Investigation of Trends in Relation to Chemical Structures" Applied Sciences 9, no. 2: 225. https://doi.org/10.3390/app9020225
APA StyleRavotti, R., Fellmann, O., Lardon, N., Fischer, L. J., Stamatiou, A., & Worlitschek, J. (2019). Analysis of Bio-Based Fatty Esters PCM’s Thermal Properties and Investigation of Trends in Relation to Chemical Structures. Applied Sciences, 9(2), 225. https://doi.org/10.3390/app9020225
        
