Next Article in Journal
AR Pointer: Advanced Ray-Casting Interface Using Laser Pointer Metaphor for Object Manipulation in 3D Augmented Reality Environment
Next Article in Special Issue
Chromium (VI) Adsorption on Modified Activated Carbons
Previous Article in Journal
A Time Integration Method Based on Galerkin Weak Form for Nonlinear Structural Dynamics
 
 
Font Type:
Arial Georgia Verdana
Font Size:
Aa Aa Aa
Line Spacing:
Column Width:
Background:
Article

Adsorption of Nitrate by a Novel Polyacrylic Anion Exchange Resin from Water with Dissolved Organic Matters: Batch and Column Study

1
School of Civil Engineering, Southeast University, Nanjing 210096, China
2
Nanjing University & Yancheng Academy of Environmental Protection Technology and Engineering, Yancheng 224051, China
*
Author to whom correspondence should be addressed.
Appl. Sci. 2019, 9(15), 3077; https://doi.org/10.3390/app9153077
Submission received: 6 July 2019 / Revised: 26 July 2019 / Accepted: 29 July 2019 / Published: 30 July 2019

Abstract

Featured Application

The novelty of this work is that the prepared resin AEE-3 has a potential application in the removal of nitrate from real secondary treated wastewater containing dissolved organic matters.

Abstract

A novel anion exchange resin AEE-3 was synthesized by N-alkylation of a weakly basic polyacrylic anion exchanger D311 with 1-bromopropane to effectively remove nitrate (NO3-N) from aqueous solution. The related finding revealed that its adsorption isotherm obeyed the Langmuir model well, and the second-order model was more validated for the NO3-N adsorption kinetics study. Compared to commercially-available polystyrene-based nitrate specialty resin Purolite A 520E (A520E), AEE-3 resin has a higher adsorbed amount and better regeneration performance toward NO3-N in the existence of dissolved organic matter (DOM) using static and dynamic methods. Notably, a real secondary treated wastewater (STWW) obtained from a local municipal wastewater treatment plant was also assessed for NO3-N removal in fixed-bed columns. Observations from this study indicated that AEE-3 could effectively remove NO3-N from contaminated surface water.

1. Introduction

With the rapid development of industry and agriculture, excessively-used nutrients such as nitrogen (N) and phosphorous (P) in crop production have been infiltrated into rivers, lakes and ponds, leading to the eutrophication of aquatic systems [1,2]. Nowadays, nitrate (NO3-N) pollution in surface and ground water is a severe environmental problem due to its carcinogenicity, toxicity and potential hazards to human health and livestock. Therefore, the World Health Organization (WHO) set the NO3-N concentration limit of 50 mg/L, whereas the U.S. Environmental protection Agency (U.S. EPA) allows 10 mg/L in drinking water [3,4].
Current approaches like reverse osmosis, electrodialysis, biological denitrification, adsorption and ion exchange have been utilized to treat NO3-N polluted water [5,6]. In consideration of the merits of ion exchange, such as high efficiency, acceptable regeneration and cost-effective preparation, anion exchange resins (AERs) have been employed to adsorb NO3-N from contaminated water [7,8,9]. On the basis of their chemical structure, commercial AERs are normally categorized into two skeletons, namely, polystyrene and polyacrylic. Polystyrene AERs have been used to effectively adsorb NO3-N from ground water in the past decade [10,11]. However, high concentrations of dissolved organic matters (DOMs) always exist in surface water, including secondary treated wastewater (STWW), and can engender a strong affinity for resins via electrostatic attraction, hydrophobic interaction and so on [12,13,14]. Hence, AERs are more sensitive to fouling with DOMs, which would compete with NO3-N for the active sites and cause the decrease in NO3-N adsorption. More seriously, coexisting DOM could lead to an irreversible fixation to anion exchangers. Polyacrylic AERs with hydrophilic structures reveal a stronger resistance to organic fouling performance than polystyrene AERs [15]. Moreover, acrylic-based resins possess unique physiochemical properties, rapid adsorption rates and high ion-exchange capacities [16,17]. Accordingly, polyacrylic AERs could serve as a promising absorbent to effectively remove NO3-N from polluted water in the presence of DOMs. Nevertheless, few works have shown the feasibility of polyacrylic resins for NO3-N removal in real STWW containing NO3-N at high levels.
However, competitive anions such as chloride (Cl) or sulfate (SO42−) exist widely in water, which can weaken NO3-N uptake efficacy of AERs [18]. To circumvent this limitation, studies have been devoted to preparing a novel anion exchanger with prominent selectivity toward NO3-N. The long alkyl chain addition at the exchange sites of resins could be of great benefit for the preferable selectivity toward monovalent anions because of its steric hindrance and hydrophobic effect [19,20]. Hence, it is intriguing for us to modify the weakly basic resin by introducing long alkyl groups around the active amine groups, which can easily form strongly basic functional groups (quaternary ammonium) which interact with NO3-N through strong electrostatic attraction.
Herein, a weakly basic polyacrylic anion exchanger D311 was modified with 1-bromopropane (C3H7Br) to prepare a strongly basic anion exchanger AEE-3 with high efficiency and brilliant selectivity for NO3-N uptake. The adsorption kinetics, isotherms, influence of pH value and competitive anions were investigated. In addition, commercial nitrate-selective polystyrene resin Purolite A 520E (A520E) was chosen to make a comparison with AEE-3 in both batch and fixed-bed column experiments, further demonstrating that AEE-3 is more resistant to fouling by DOMs (humic acid, tannic acid and sodium dodecyl benzene sulfonate). Also, a dynamic experiment was studied to evaluate the adsorption performance of AEE-3 toward NO3-N in real STWW.

2. Materials and Methods

2.1. Material

A commercially-available weakly basic anion exchanger D311 and strongly basic anion exchanger Purolite A 520E (A520E) were obtained from Huizhu Resin Co., Ltd. (Shanghai, China) and Purolite Co., Ltd. (Huzhou, China), respectively. Tannic acid (TA), humic acid (HA) and sodium dodecyl benzene sulfonate (SDBS) were purchased from Sinopharm Chemical Reagent Company (Shanghai, China). Other chemicals in this work were of analytical reagent acquired from Nanjing Chemical Reagent Co., Ltd. (Nanjing, China). STWW samples with a high NO3-N concentration were obtained from a local municipal wastewater treatment plant in Nanjing, China.

2.2. Preparation and Characterization of AEE-3

D311 resin was firstly rinsed successively with 1 mol/L HCl and 1 mol/L NaOH in turn to remove impurities, and then washed with deionized water until neutral. Finally, resin was washed by ethyl alcohol and then dried at 323 K for 8 h.
The synthesis method of AEE-3 is the following (Scheme 1): 10 g of dried D311 resin was swollen in 100 mL of acetonitrile for 2 h. Afterwards, 20 mmol of KI and 20 mmol C3H7Br were added separately and the mixture maintained with stirring at 333 K for 48 h. After alkylation, the obtained resin beads were rinsed successively with dilute HCl, distilled water and dilute NaOH to attain a neutral pH. Finally, the product was extracted with anhydrous ethanol and dried at 323 K for 8 h. The obtained resin AEE-3 was characterized by Fourier transform infrared spectrometer (Nicolet 5700, Madison, USA) and N2 adsorption analysis (ASAP-2010C, Micromeritics, Norcross, GA, USA).

2.3. Batch Adsorption Experiments

Isothermal adsorption experiments of NO3-N on adsorbents were performed when 0.05 g resin was introduced to each 150 mL conical flasks containing 50 mL of NO3-N in solution (10 to 60 mg/L concentration). To investigate the adsorption kinetics, 0.2 g resin was immersed into 200 mL NO3-N solution with the initial concentration of 60 mg/L, and samples were withdrawn at different time intervals. The pH (4.0–10.0) with 50 mg/L NO3-N solution in the presence of Cl (200 mg/L) was adjusted using 0.1 mol/L HCl or 0.1 mol/L NaOH solution, respectively, as required. A competing anion (SO42− or Cl) was added to the NO3-N solution to study the effect of negative ions on adsorption capacities. The static tests of D311 and AEE-3 were conducted in a bi-solute system (HA/NO3, SDBS/NO3 or TA/NO3) for four adsorption-desorption cycles. Analyses of NO3-N were obtained by measuring the UV1800 spectrophotometer at a wavelength of 220 nm. The adsorption amount Qe (mg/g) was calculated using Equation (1):
Q e = ( C 0 C e ) V W
where C0 and Ce are the initial and equilibrium concentrations (mg/L) of NO3-N, V is the volume of solution (L) and W represents the weight of dry resin (g).

2.4. Column Adsorption and Desorption

The experiments were carried out using a glass column (Φ18 × 200 mm) with 5 mL of dry fresh resin and a peristaltic pump to ensure the constant flow rate under 298 K. The initial concentration of NO3-N was 20 mg/L, containing 1 mg/L TA, 1 mg/L HA and 2 mg/L SDBS. The superficial liquid velocity (SLV) was 30 bed volume per hour (BV/h), and the breakthrough curve was obtained by analysis of different time intervals of the effluent. After adsorption, the elution of NO3-N from the resin was performed using 0.6 mol/L NaCl solution. The adsorption–desorption cycle was repeated three times to evaluate the regeneration efficiency of resins. The desorption rate (D) of NO3-N was defined by Equation (2):
D ( % ) = C d C a × 100
where Ca is the amount of NO3-N adsorbed on resins and Cd is the amount of NO3-N desorbed from resins by NaCl solution.

3. Results and Discussion

3.1. Characterization

The adsorption-desorption isotherms and the pore size distribution curve of D311 and AEE-3 are displayed in Figure 1. The isotherm plot of two resins can be considered type IV with a hysteresis loop in the relative pressure range of 0.8–1.0, hinting at the existence of both mesopores and macropores in these resins. Table 1 lists the essential properties of D311 and AEE-3.
The FT-IR spectra of D311 and AEE-3 samples are shown in Figure 2. Notably, two bands with peaks at 1366 cm−1 and 2930 cm−1 are ascribed to asymmetric bands of the alkyl groups (–CH2–and‒CH3), and the peak at 1478 cm−1 is assigned to C–N group. The appearance of a new band at 1407 cm−1 is associated with –CH2–of–CH2–N+R3 group [7]. On the other side, the fact that the strong base ion-exchange capacity of the resin increased from 0 to 3.42 mmol/g implied that propyl groups were successfully introduced onto the primary amine after alkylation. These observations proved AEE-3 had been synthesized successfully.

3.2. Adsorption Kinetics

Figure 3 describes the effect of contact time on NO3-N uptake by AEE-3 and A520E at 298 K, and all the data were simulated using two commonly used kinetic models [21,22]:
Pseudo - first - order :   Q t = Q e ( 1 e k 1 t )
Pseudo - sec ond - order :   Q t = k 2 Q e 2 t 1 + k 2 Q e t
The initial adsorption rate was calculated by Equation (5):
h 0 = k 2 Q e 2
where Qe (mg/g) is the equilibrium adsorption capacity of NO3-N, and Qt (mg/g) refers to the amounts of NO3-N in resins at time t (min). k1 (1/min) and k2 (g/(mg·min)) represent the rate constants for the pseudo-first- and pseudo-second-order kinetic models, respectively. h0 is the initial adsorption rate (mg/(g·min)). The kinetic parameters, together with the coefficient of determination (R2), are listed in Table 2. It is evident that the adsorption behavior of NO3-N onto both resins was preferable to fit the pseudo-second-order based on the R2 values. Obviously, AEE-3 exhibited a greater capacity for NO3-N than A520E, illustrating that the introduction of alkyl chains would form quaternary ammonium groups which can easily interact with NO3-N via electrostatic attraction. Finally, a larger h0 value of AEE-3 was obtained, and the difference in the adsorption rate is related to the difference of the resin matrix.

3.3. Effect of Coexisting Anions

In general, some coexisting anions in water would strongly compete with NO3-N to occupy active sites via electrostatic interaction. Thus, the selective absorption of resin is of vital importance in evaluating the practical application, as well as in considering the absorption performance. A520E is known for its good selectivity toward NO3-N, and its adsorption capacities are still relatively high in the present of Cl or SO42− [20]. As displayed in Figure 4, a slightly higher adsorption amount of AEE-3 was detected compared to A520E with an identical addition of anions. The phenomena may be rationalized by the fact that the long alkyl chain on AEE-3 is conducive to the adsorption selectivity for NO3-N with lower hydration energy than Cl or SO42−.

3.4. Effect of pH

The primary mechanism for NO3-N uptake onto a strongly basic anion exchanger can be explained by electrostatic interaction or columbic force [23]. Figure 5 displays the influence of solution pH varying from 4.0 and 10.0; the adsorption capacity of NO3-N on AEE-3 was in the range of 25.5 to 26.0 mg/g under a Cl concentration of 200 mg/L. It shows a considerable amount of NO3-N uptake independent of the pH for the strongly basic anion exchanger. It may be concluded that the quaternary tripropylamine groups of AEE-3 could remain stable, thereby causing steady adsorption activity for NO3-N under both acidic and alkaline conditions [24].

3.5. Adsorption Isotherms

The isotherms of NO3-N adsorption by AEE-3 are displayed in Figure 6. The experimental data were fitted by both Langmuir and Freundlich equations which are represented as follows [25,26]:
Q e = Q m K L C e 1 + K L C e
Q e = K F C e 1 / n
where Ce (mg/L) is the concentration at equilibrium state, Qe (mg/g) is the adsorption capacity at equilibrium state, Qm (mg/g) is the maximum adsorption capacity, KL is the Langmuir constant and KF and n are the Freundlich constants. The R2 of the isothermal fit are presented in Table 3. In view of the R2 values, the equilibrium adsorption of NO3-N onto AEE-3 was better described by the Langmuir isotherm, which coincided with the prevalent ion-exchange mechanism [7,23]. Moreover, the Qm values of AEE-3 dropped with the increase of temperature, revealing that the NO3-N adsorption by the resin was an exothermic process, and therefore, reducing the temperature benefited NO3-N uptake.
The maximum NO3-N adsorption amount of AEE-3, as evaluated according to the Langmuir model, was compared with other materials including chitosan, activated carbon and commercial anion exchange resins (A520E and D201), etc. As shown in Table 4, the Qm of AEE-3 for NO3-N uptake was higher than that of these commercially available materials, signifying that the novel anion exchange resin can act as a potential material for the technological application of NO3-N removal from water.

3.6. Effect of DOMs on Static Adsorption and Desorption

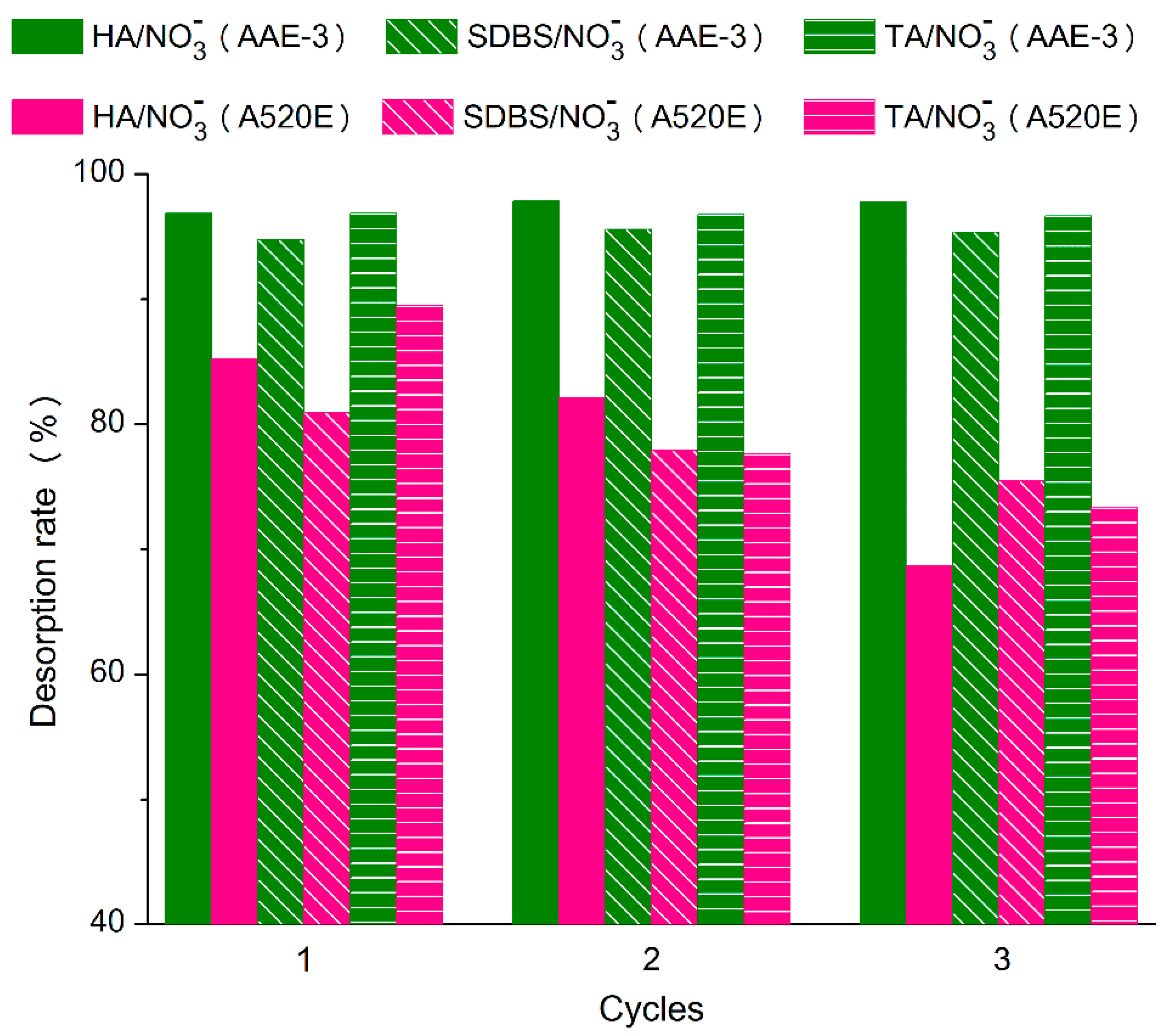
Figure 7 shows the adsorption amounts of NO3-N using AEE-3 and A520E in a bi-solute system (HA/NO3, SDBS/NO3 or TA/NO3) for four adsorption-desorption cycles. It was seen that the adsorption capacities of A520E for NO3-N distinctly declined over the four cycles. DOMs can occupy more active sites through hydrophobic and electrostatic interactions on the A520E resin with a polystyrene matrix [12]. By contrast, AEE-3 exhibited greater NO3-N adsorption in bi-solute systems, and the reduction of NO3-N uptake was slight with increasing the number of adsorption-desorption cycles. This result validated the hypothesis that AEE-3 has a strong resistance to interferential organics due to its hydrophilic matrix. Besides, over 94% of the adsorbed NO3-N on AEE-3 was desorbed, while the desorption rates of A520E in the presence of organic matters declined gradually with the number of adsorption-desorption cycle (Figure 8). In addition, Figure 9 presents the desorption rates of DOMs regenerated by a NaCl solution, and the low values for A520E resin can be attributed to the strong affinity between the polystyrene matrix and the hydrophobic organics, causing the DOMs to not be removed fully by regeneration. Hence, these results demonstrate an improved performance on adsorption/regeneration of AEE-3 compared to A520E.

3.7. Effect of DOMs on Column Mode Experiments

It is imperative to test the utilization efficiency of adsorbents in a dynamic fixed-bed experiment related to real operating systems [32]. The influence of three organics on NO3-N adsorption was studied using an influent with constant NO3-N concentration of 20 mg/L in the presence of HA, TA and SDBS. As can be seen in Figure 10, the breakthrough curves (Run 2 and Run 3) for NO3-N adsorption onto AEE-3 have a close coincidence with the original breakthrough curve (Run 1). Nevertheless, a large separation between the three breakthrough curves was observed for NO3-N adsorption onto A520E, which is indicative of a limited reusability of A520E towards NO3-N solution containing DOMs.

3.8. Assessments of Practical Application

Conventional heterotrophic denitrification techniques are severely restricted by the low C/N ratio of wastewater, thereby causing the high NO3-N content in STWW [33,34]. To further assess the practical application of AEE-3, the dynamic column test of NO3-N uptake onto AEE-3 was performed using a real STWW effluent which was collected from a local sewage treatment plant, containing the following quality parameters: pH, 6.54; NO3-N, 20 mg/L; COD, 39 mg/L; TDS, 436 mg/L. The breakthrough curves of AEE-3 are shown in Figure 11. An inconspicuous deviation between Run 1 and Run 3 breakthrough curves was found, further confirming its potential application in the removal of NO3-N from real STWW effluent.

4. Conclusions

The strong base polyacrylic AER AEE-3 could be developed and utilized to absorb NO3-N selectively from aqueous solutions. Batch adsorption studies exhibited that a pseudo-second-order model was appropriate for depicting the kinetic process, and that the best fit for the isotherms data was Langmuir model. In addition, AEE-3 displayed a greater adsorption capacity and better regeneration capability for NO3-N uptake than the commonly-used, nitrate-selective AER A520E in the presence of interferential DOMs. Notably, the effective adsorption of NO3-N in real STWW by AEE-3 packed in fixed-bed columns revealed its promising potential in the removal of NO3-N from actual complex wastewater.

Author Contributions

Conceptualization, Y.S.; Formal analysis, Y.S.; Funding acquisition, Y.S.; Resources, X.D.; Visualization, W.Z.; Writing—original draft, Y.S.; Writing—review & editing, W.Z. and R.P.S.

Funding

This research was funded by National Natural Science Foundation of China (No. 51578131) and Open Foundation of Institute of Water Environmental Engineering, Jiangsu Industrial Technology Research Institute, Yancheng (NDYCKF201701). The APC was funded by Open Foundation of Institute of Water Environmental Engineering, Jiangsu Industrial Technology Research Institute, Yancheng (NDYCKF201701).

Acknowledgments

We thank the reviewers for their insightful comments and suggestions.

Conflicts of Interest

The authors declare no conflict of interest.

References

  1. Chowdhury, R.B.; Moore, G.A.; Weatherley, A.J.; Arora, M. A novel substance flow analysis model for analysing multi-year phosphorus flow at the regional scale. Sci. Total Environ. 2016, 572, 1269–1280. [Google Scholar] [CrossRef] [PubMed]
  2. Yang, Z.; Zhang, M.; Shi, X.; Kong, F.; Ma, R.; Yu, Y. Nutrient reduction magnifies the impact of extreme weather on cyanobacterial bloom formation in large shallow Lake Taihu. Water Res. 2016, 103, 302–310. [Google Scholar] [CrossRef] [PubMed]
  3. Loganathan, P.; Vigneswaran, S.; Kandasamy, J. Enhanced removal of nitrate from water using surface modification of adsorbents—A review. J. Environ. Manag. 2013, 131, 363–374. [Google Scholar] [CrossRef] [PubMed]
  4. Hafshejani, L.D.; Hooshmand, A.; Naseri, A.A.; Mohammadi, A.S.; Abbasi, F.; Bhatnagar, A. Removal of nitrate from aqueous solution by modified sugarcane bagasse biochar. Ecol. Eng. 2016, 95, 101–111. [Google Scholar] [CrossRef]
  5. Kalaruban, M.; Loganathan, P.; Shim, W.; Kandasamy, J.; Ngo, H.; Vigneswaran, S. Enhanced removal of nitrate from water using amine-grafted agricultural wastes. Sci. Total. Environ. 2016, 565, 503–510. [Google Scholar] [CrossRef] [PubMed]
  6. Epsztein, R.; Nir, O.; Lahav, O.; Green, M. Selective nitrate removal from groundwater using a hybrid nanofiltration–reverse osmosis filtration scheme. Chem. Eng. J. 2015, 279, 372–378. [Google Scholar] [CrossRef]
  7. Song, H.; Zhou, Y.; Li, A.; Mueller, S. Selective removal of nitrate from water by a macroporous strong basic anion exchange resin. Desalination 2012, 296, 53–60. [Google Scholar] [CrossRef]
  8. Bergquist, A.M.; Choe, J.K.; Strathmann, T.J.; Werth, C.J. Evaluation of a hybrid ion exchange-catalyst treatment technology for nitrate removal from drinking water. Water Res. 2016, 96, 177–187. [Google Scholar] [CrossRef]
  9. Ebrahimi, S.; Roberts, D.J. Bioregeneration of single use nitrate selective ion-exchange resin enclosed in a membrane: Kinetics of desorption. Sep. Purif. Technol. 2015, 146, 268–275. [Google Scholar] [CrossRef]
  10. Samatya, S.; Kabay, N.; Yüksel, Ü.; Arda, M.; Yüksel, M. Removal of nitrate from aqueous solution by nitrate selective ion exchange resins. React. Funct. Polym. 2006, 66, 1206–1214. [Google Scholar] [CrossRef]
  11. Wu, Y.; Wang, Y.; Wang, J.; Xu, S.; Yu, L.; Philippe, C.; Wintgens, T. Nitrate removal from water by new polymeric adsorbent modified with amino and quaternary ammonium groups: Batch and column adsorption study. J. Taiwan Inst. Chem. Eng. 2016, 66, 191–199. [Google Scholar] [CrossRef]
  12. Shuang, C.; Wang, J.; Li, H.; Li, A.; Zhou, Q. Effect of the chemical structure of anion exchange resin on the adsorption of humic acid: Behavior and mechanism. J. Colloid Interface Sci. 2015, 437, 163–169. [Google Scholar] [CrossRef] [PubMed]
  13. Wang, Q.; Li, A.; Wang, J.; Shuang, C. Selection of magnetic anion exchange resins for the removal of dissolved organic and inorganic matters. J. Environ. Sci. 2012, 24, 1891–1899. [Google Scholar] [CrossRef]
  14. Wang, J.; Zhou, Y.; Li, A.; Xu, L. Adsorption of humic acid by bi-functional resin JN-10 and the effect of alkali-earth metal ions on the adsorption. J. Hazard. Mater. 2010, 176, 1018–1026. [Google Scholar] [CrossRef] [PubMed]
  15. Shuang, C.; Wang, M.; Zhou, Q.; Zhou, W.; Li, A. Enhanced adsorption and antifouling performance of anion-exchange resin by the effect of incorporated Fe3O4 for removing humic acid. Water Res. 2013, 47, 6406–6414. [Google Scholar] [CrossRef] [PubMed]
  16. Wójcik, G.; Neagu, V.; Bunia, I. Sorption studies of chromium(VI) onto new ion exchanger with tertiary amine, quaternary ammonium and ketone groups. J. Hazard. Mater. 2011, 190, 544–552. [Google Scholar] [CrossRef] [PubMed]
  17. Dan, Z.; Xiao, K.; Han, G.; Li, J.; Xu, F.; Jiang, L.; Duan, N. Evaluation of polyacrylic anion exchange resins on the removal of Cr(vi) from aqueous solutions. RSC Adv. 2016, 6, 5233–5239. [Google Scholar]
  18. Hekmatzadeh, A.; Karimi-Jashani, A.; Talebbeydokhti, N.; Kløve, B. Modeling of nitrate removal for ion exchange resin in batch and fixed bed experiments. Desalination 2012, 284, 22–31. [Google Scholar] [CrossRef]
  19. Wang, J.; Wang, Q.; Deng, Y.; Li, Y.; Chen, B.H.; Zhang, R. Modified polystyrene anion exchange resins with long chain alkyl groups to enhance the aldolization reaction selectivity. Appl. Catal. A Gen. 2013, 452, 57–63. [Google Scholar] [CrossRef]
  20. Chauhan, K.; Kaur, J.; Singh, P.; Sharma, P.; Sharma, P.; Chauhan, G.S. An Efficient and Regenerable Quaternary Starch for Removal of Nitrate from Aqueous Solutions. Ind. Eng. Chem. Res. 2016, 55, 2507–2519. [Google Scholar] [CrossRef]
  21. Wang, L. Application of activated carbon derived from waste bamboo culms for the adsorption of azo disperse dye: Kinetic, equilibrium and thermodynamic studies. J. Environ. Manag. 2012, 102, 79–87. [Google Scholar] [CrossRef] [PubMed]
  22. Saki, H.; Alemayehu, E.; Schomburg, J.; Lennartz, B. Halloysite Nanotubes as Adsorptive Material for Phosphate Removal from Aqueous Solution. Water 2019, 11, 203. [Google Scholar] [CrossRef]
  23. Li, Q.; Lu, X.; Shuang, C.; Qi, C.; Wang, G.; Li, A.; Song, H. Preferential adsorption of nitrate with different trialkylamine modified resins and their preliminary investigation for advanced treatment of municipal wastewater. Chemosphere 2019, 223, 39–47. [Google Scholar] [CrossRef] [PubMed]
  24. Gu, B.; Ku, Y.K.; Jardine, P.M. Sorption and Binary Exchange of Nitrate, Sulfate, and Uranium on an Anion-Exchange Resin. Environ. Sci. Technol. 2004, 38, 3184–3188. [Google Scholar] [CrossRef] [PubMed]
  25. Xu, X.; Bai, B.; Wang, H.; Suo, Y. Enhanced adsorptive removal of Safranine T from aqueous solutions by waste sea buckthorn branch powder modified with dopamine: Kinetics, equilibrium, and thermodynamics. J. Phys. Chem. Solids 2015, 87, 23–31. [Google Scholar] [CrossRef]
  26. Wasielewski, S.; Rott, E.; Minke, R.; Steinmetz, H. Evaluation of Different Clinoptilolite Zeolites as Adsorbent for Ammonium Removal from Highly Concentrated Synthetic Wastewater. Water 2018, 10, 584. [Google Scholar] [CrossRef]
  27. Rajeswari, A.; Amalraj, A.; Pius, A. Adsorption studies for the removal of nitrate using chitosan/PEG and chitosan/PVA polymer composites. J. Water Process. Eng. 2016, 9, 123–134. [Google Scholar] [CrossRef]
  28. Cho, D.W.; Chon, C.M.; Kim, Y.; Jeon, B.H.; Schwartz, F.W.; Lee, E.S.; Song, H. Adsorption of nitrate and Cr(VI) by cationic polymer-modified granular activated carbon. Chem. Eng. J. 2011, 175, 298–305. [Google Scholar] [CrossRef]
  29. Mazarji, M.; Aminzadeh, B.; Baghdadi, M.; Bhatnagar, A. Removal of nitrate from aqueous solution using modified granular activated carbon. J. Mol. Liq. 2017, 233, 139–148. [Google Scholar] [CrossRef]
  30. Wang, B.; Song, H.; Wang, C.; Shuang, C.; Li, Q.; Li, A. Evaluation of nitrate removal properties of magnetic anion-exchange resins in water. J. Chem. Technol. Biotechnol. 2016, 91, 1306–1313. [Google Scholar] [CrossRef]
  31. Song, H.O.; Yao, Z.J.; Wang, M.Q.; Wang, J.N.; Zhu, Z.L.; Li, A.M. Effect of dissolved organic matter on nitrate-nitrogen removal by anion exchange resin and kinetics studies. J. Environ. Sci. 2013, 25, 105–113. [Google Scholar] [CrossRef]
  32. Xu, X.; Gao, B.; Zhao, Y.; Chen, S.; Tan, X.; Yue, Q.; Lin, J.; Wang, Y. Nitrate removal from aqueous solution by Arundo donax L. reed based anion exchange resin. J. Hazard. Mater. 2012, 203, 86–92. [Google Scholar] [CrossRef] [PubMed]
  33. Yang, Y.; Chen, T.; Morrison, L.; Gerrity, S.; Collins, G.; Porca, E.; Li, R.; Zhan, X. Nanostructured pyrrhotite supports autotrophic denitrification for simultaneous nitrogen and phosphorus removal from secondary effluents. Chem. Eng. J. 2017, 328, 511–518. [Google Scholar] [CrossRef]
  34. Kong, D.; Li, W.; Deng, Y.; Ruan, Y.; Chen, G.; Yu, J.; Lin, F. Denitrification-Potential Evaluation and Nitrate-Removal-Pathway Analysis of Aerobic Denitrifier Strain Marinobacter hydrocarbonoclasticus RAD-2. Water 2018, 10, 1298. [Google Scholar] [CrossRef]
Scheme 1. The alkylation reaction of C3H7Br onto D311 resin.
Scheme 1. The alkylation reaction of C3H7Br onto D311 resin.
Applsci 09 03077 sch001
Figure 1. Nitrogen adsorption–desorption isotherms of D311 (a) and AEE-3 (b) with inset showing the corresponding pore size distribution.
Figure 1. Nitrogen adsorption–desorption isotherms of D311 (a) and AEE-3 (b) with inset showing the corresponding pore size distribution.
Applsci 09 03077 g001
Figure 2. FT-IR spectra of D311 and AEE-3.
Figure 2. FT-IR spectra of D311 and AEE-3.
Applsci 09 03077 g002
Figure 3. Adsorption kinetics of NO3-N onto two resins at 298 K.
Figure 3. Adsorption kinetics of NO3-N onto two resins at 298 K.
Applsci 09 03077 g003
Figure 4. Effect of competitive anions Cl and SO42− on NO3-N removal by two resins.
Figure 4. Effect of competitive anions Cl and SO42− on NO3-N removal by two resins.
Applsci 09 03077 g004
Figure 5. Effect of pH on NO3-N removal by AEE-3.
Figure 5. Effect of pH on NO3-N removal by AEE-3.
Applsci 09 03077 g005
Figure 6. Equilibrium isotherm for NO3-N adsorbed using AEE-3.
Figure 6. Equilibrium isotherm for NO3-N adsorbed using AEE-3.
Applsci 09 03077 g006
Figure 7. Effect of different DOMs (HA, TA or SDBS) on NO3-N removal by AEE-3 and A520E.
Figure 7. Effect of different DOMs (HA, TA or SDBS) on NO3-N removal by AEE-3 and A520E.
Applsci 09 03077 g007
Figure 8. Desorption rate of NO3-N in the presence of DOMs.
Figure 8. Desorption rate of NO3-N in the presence of DOMs.
Applsci 09 03077 g008
Figure 9. Desorption rates of different DOMs (HA, TA or SDBS) by AEE-3 and A520E.
Figure 9. Desorption rates of different DOMs (HA, TA or SDBS) by AEE-3 and A520E.
Applsci 09 03077 g009
Figure 10. NO3-N breakthrough curves of AEE-3 (a) and A520E (b) for presence of HA, TA and SDBS.
Figure 10. NO3-N breakthrough curves of AEE-3 (a) and A520E (b) for presence of HA, TA and SDBS.
Applsci 09 03077 g010aApplsci 09 03077 g010b
Figure 11. Breakthrough curves of NO3-N adsorbed on AEE-3 in real STWW.
Figure 11. Breakthrough curves of NO3-N adsorbed on AEE-3 in real STWW.
Applsci 09 03077 g011
Table 1. Physicochemical properties of two resins.
Table 1. Physicochemical properties of two resins.
ResinStrong Base Ion-Exchange Capacity (mmol/g Dry Resin)Average Pore Diameter a (nm)BET Surface Area (m2/g)Pore Volume (cm3/g)
D311040.9231.880.36
AEE-33.4247.4423.460.20
a BJH Desorption average pore diameter.
Table 2. Kinetic parameters of NO3-N adsorption by two resins.
Table 2. Kinetic parameters of NO3-N adsorption by two resins.
ResinQe, exp (mg/g)Pseudo-First-OrderPseudo-Second-Order
Qe (mg/g)k1 (1/min)R2Qe (mg/g)103k2 (g/(mg·min))R2h0 (mg/(g·min))
AEE-332.7530.850.3270.937133.666.060.98197.13
A520E30.2229.190.1000.989730.141.450.99871.16
Table 3. Isotherm parameters for NO3-N adsorption at 288, 303, and 318 K.
Table 3. Isotherm parameters for NO3-N adsorption at 288, 303, and 318 K.
T (K)Langmuir ModelFreundlich Model
KLQm (mg/g)R2KFnR2
2880.1240.320.99157.182.210.9816
3030.1040.000.99776.392.130.9810
3180.0939.450.99735.662.060.9721
Table 4. Comparison of NO3-N maximum adsorption capacity (Qm) by different materials.
Table 4. Comparison of NO3-N maximum adsorption capacity (Qm) by different materials.
SamplesQm (mg/g)Reference
Chitosan/PVA35.00[27]
Cationic polymer-modified granular activated carbon (CPMG)27.56[28]
Modified commercial activated carbon21.51[29]
Magnetic anion-exchange resin MD21730.40[30]
A520E 36.15[31]
D201 38.46[31]
AEE-340.32This study

Share and Cite

MDPI and ACS Style

Sun, Y.; Zheng, W.; Ding, X.; Singh, R.P. Adsorption of Nitrate by a Novel Polyacrylic Anion Exchange Resin from Water with Dissolved Organic Matters: Batch and Column Study. Appl. Sci. 2019, 9, 3077. https://doi.org/10.3390/app9153077

AMA Style

Sun Y, Zheng W, Ding X, Singh RP. Adsorption of Nitrate by a Novel Polyacrylic Anion Exchange Resin from Water with Dissolved Organic Matters: Batch and Column Study. Applied Sciences. 2019; 9(15):3077. https://doi.org/10.3390/app9153077

Chicago/Turabian Style

Sun, Yue, Weisheng Zheng, Xinchun Ding, and Rajendra Prasad Singh. 2019. "Adsorption of Nitrate by a Novel Polyacrylic Anion Exchange Resin from Water with Dissolved Organic Matters: Batch and Column Study" Applied Sciences 9, no. 15: 3077. https://doi.org/10.3390/app9153077

APA Style

Sun, Y., Zheng, W., Ding, X., & Singh, R. P. (2019). Adsorption of Nitrate by a Novel Polyacrylic Anion Exchange Resin from Water with Dissolved Organic Matters: Batch and Column Study. Applied Sciences, 9(15), 3077. https://doi.org/10.3390/app9153077

Note that from the first issue of 2016, this journal uses article numbers instead of page numbers. See further details here.

Article Metrics

Back to TopTop