A Thermodynamic Analysis of the Pressure Gain of Continuously Rotating Detonation Combustor for Gas Turbine
Abstract
1. Introduction
2. Numerical Model and Methods
2.1. Physical Model and Computational Domain
2.2. Numerical Method
2.3. Boundary Conditions
- Inlet: mass flow inlet boundary. The injection total pressure of 0.3 MPa and total temperature of 430 K were fixed and remained constant in this study. The detailed injection principle and setup of this boundary can be found in [35].
- Outlet: pressure outlet boundary. The back pressure of the outlet was 0.1 MPa.
- Left and right sides: periodic boundary.
- Ignition region: CJ ignition kernel. As mentioned above, an instantaneous CJ ignition kernel was used to initiate detonation in the combustor channel.
3. Independence Test and Model Validation
4. Results and Discussion
4.1. Formation and Evolution Process of Continuously Rotating Detonation (CRD) Waves
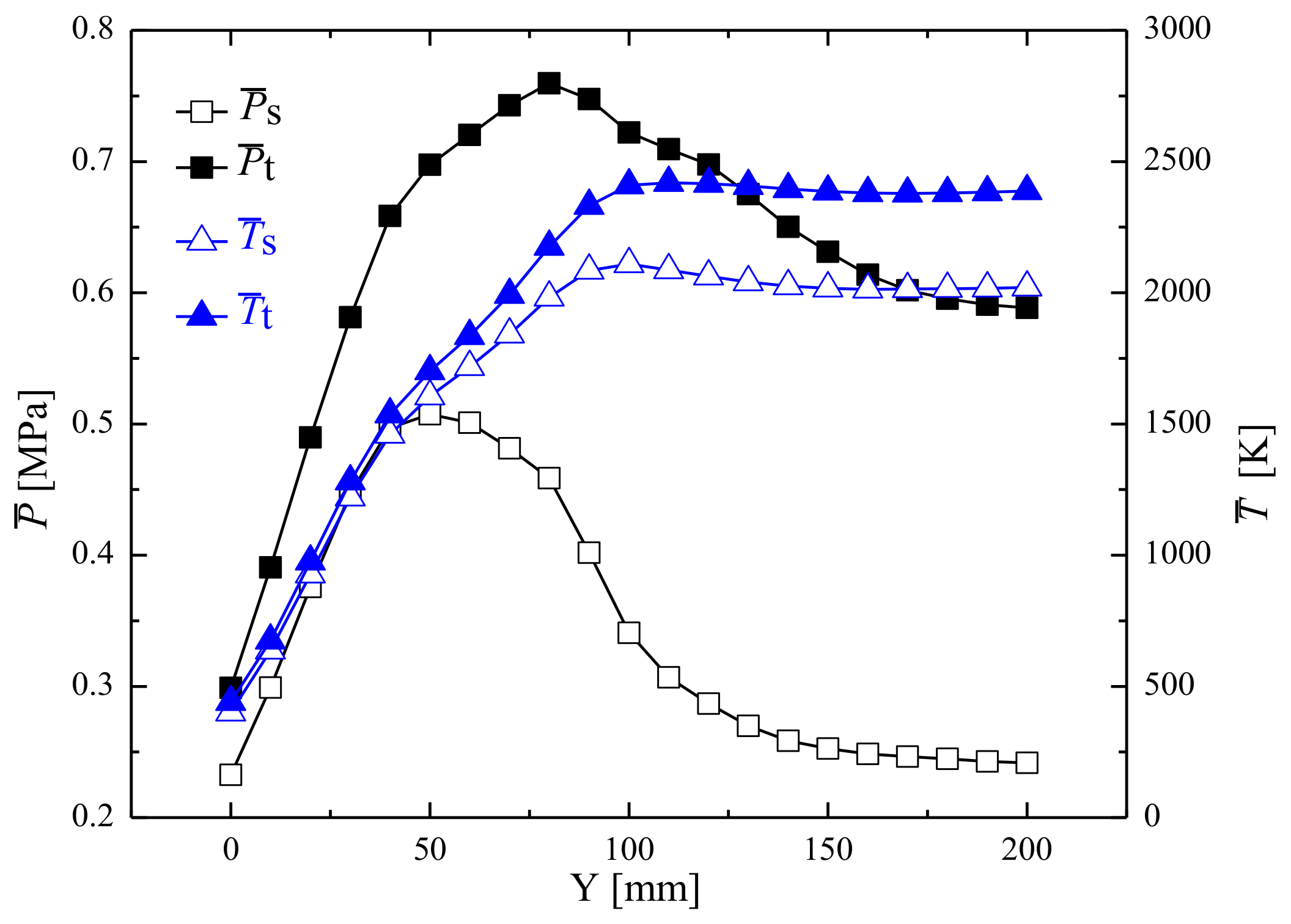
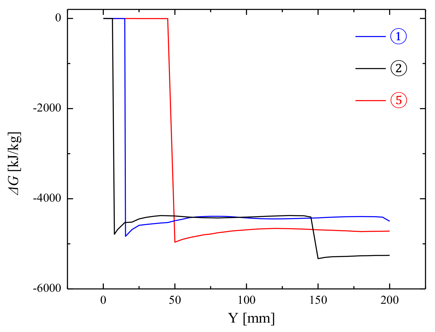
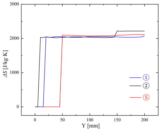
4.2. Thermodynamic Parameter Characteristic of CRD Combustors
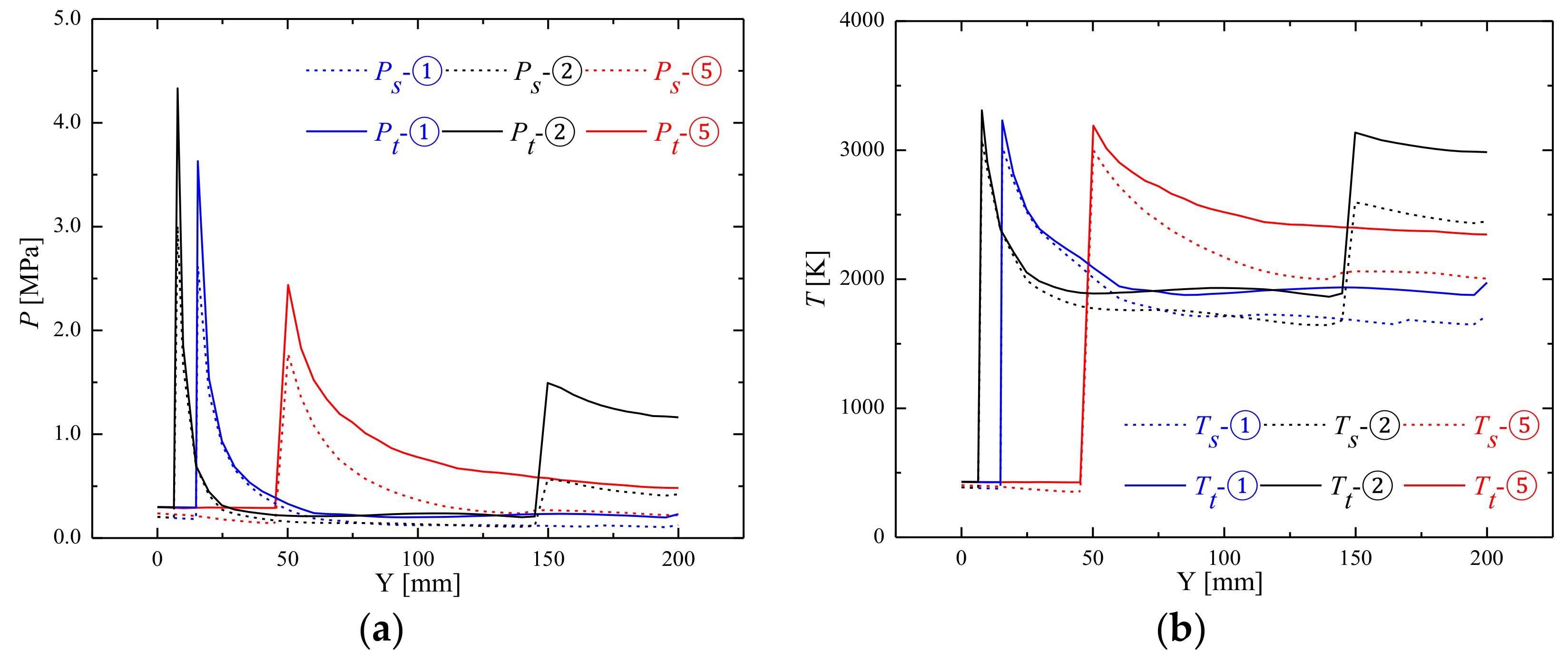
4.3. Parameter Analysis of Flow Path in CRD Combustors
4.4. Effect of CRD Combustor Axial Length on Pressure Gain Performance
5. Conclusions
- (1)
- From the perspective of potential power, pressure gain characteristics were associated with a change in Gibbs free energy. For the constant inlet parameters, the CRD combustor had a higher pressure ratio and lower Gibbs free energy loss than the approximate constant pressure-based combustor, which is usually used in the gas turbine studied. However, due to the complex effects of detonation waves, oblique shock waves and other factors, the performance of the CRD combustor was inferior to that of the ideal constant volume-based combustor.
- (2)
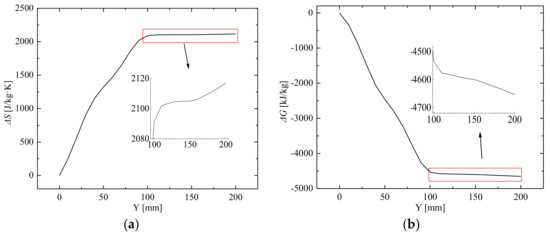
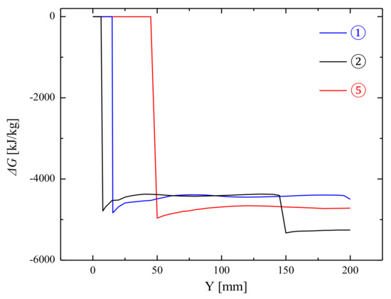
- With the CRD combustor, the detonation wave was the main factor that significantly increased pressure, temperature, entropy generation, and Gibbs free energy loss. Gibbs free energy loss in the detonation region was similar along different streamlines and the oblique shock led to an extra Gibbs free energy loss of 20.9% along the second streamline.
- (3)
- As the CRD combustor axial length decreased, there was no noticeable change in both the detonation wave propagating characteristics and combustion thermal efficiency. However, due to the effects of oblique shock wave height, the parameters of pressure ratio and Gibbs free energy loss, were affected by combustor axial length. When the axial length of the combustor varied from 200 mm to 100 mm, the above two parameters changed from 2.0664 to 2.3922 and 4668.8 kJ/kg to 4548.2 kJ/kg, respectively.
- (4)
- According to the present numerical results, it was found that the oblique shock waves did not directly disappear at the back of the CRD combustor when the axial length was decreased only. Therefore, how to effectively weaken and even eliminate oblique shock waves is the key to designing a connected structure between a CRD combustor and turbine. This is an important problem that should be urgently remedied if we are to realize the application of CRD combustion in gas turbines.
Acknowledgments
Author Contributions
Conflicts of interest
Nomenclature
| A | pre-exponential factor |
| E | activation energy |
| e | internal energy |
| G | Gibbs free energy |
| Gibbs free energy increment | |
| Gibbs free energy loss | |
| H | enthalpy |
| average enthalpy | |
| grid size | |
| j | the label of species |
| k | specific heat ratio |
| L | axial length of CRD combustor |
| M | molecular weight |
| average mass flux | |
| Nn | total numbers of the reactions |
| Ns | total numbers of the species |
| P | pressure |
| average pressure | |
| Q | heat release of fuel |
| R | universal gas constant |
| S | entropy |
| entropy generation | |
| T | temperature |
| average temperature | |
| t | time |
| trot | propagating period of detonation wave |
| time step | |
| u | velocity in X direction |
| v | velocity in Y direction |
| vrot | propagation velocity of detonation wave |
| Wi | internal work |
| WT | output work of turbine |
| variation of mechanical energy | |
| inlet mass flow rate of divided that of whole combustor | |
| origin width of the streamlines passing detonation wave and oblique shock wave | |
| Greek letters | |
| temperature exponent | |
| the label of reaction | |
| combustion thermal efficiency | |
| turbine efficiency | |
| reaction rate constant | |
| pressure ratio | |
| expansion ratio | |
| density | |
| stoichiometric coefficient | |
| production rate | |
| molar concentration | |
| Superscripts | |
| ‘ | backward reaction |
| “ | forward reaction |
| Subscripts | |
| in | inlet of combustor |
| out | outlet of combustor |
| out-T | outlet of turbine |
| s | static |
| t | total |
References
- Liu, Y.; Sun, X.; Sethi, V.; Nalianda, D.; Li, Y.G.; Wang, L. Review of modern low emissions combustion technologies for aero gas turbine engines. Prog. Aerosp. Sci. 2017, 94, 12–45. [Google Scholar] [CrossRef]
- Andriani, R.; Ingenito, A.; Agresta, A. Thermal analysis and performance of a pressure gain combustion system. In Proceedings of the 7th European Conference for Aeronautics and Space Sciences (EUCASS), Milan, Italy, 3–6 July 2017. [Google Scholar]
- Lisanti, J.C.; Roberts, W.L. Design of an actively valved and acoustically resonant pulse combustor for pressure-gain combustion applications. In Proceedings of the 54th AIAA Aerospace Sciences Meeting, San Diego, CA, USA, 4–8 January 2016. [Google Scholar]
- Chan, S.; Liu, H. Mass-based design and optimization of wave rotors for gas turbine engine enhancement. Shock Waves 2017, 27, 313–324. [Google Scholar] [CrossRef]
- Akbari, P.; Nalim, R.; Mueller, N. A review of wave rotor technology and its applications. J. Eng. Gas Turbines Power 2006, 128, 717–735. [Google Scholar] [CrossRef]
- Nalim, R.; Li, H.; Akbari, P. Air-standard aerothermodynamic analysis of gas turbine engines with wave rotor combustion. J. Eng. Gas Turbines Power 2009, 131, 445–456. [Google Scholar] [CrossRef]
- Akbari, P.; Nalim, R. Review of recent developments in wave rotor combustion technology. J. Eng. Gas Turbines Power 2009, 25, 833–844. [Google Scholar] [CrossRef]
- Bobusch, B.C.; Berndt, P.; Paschereit, C.O.; Klein, R. Shockless explosion combustion: An innovative way of efficient constant volume combustion in gas turbines. Combust. Sci. Technol. 2014, 186, 1680–1689. [Google Scholar] [CrossRef]
- Lu, F.K.; Braun, E.M. Rotating detonation wave propulsion: Experimental challenges, modeling, and engine concepts. J. Propuls. Power 2011, 30, 1–18. [Google Scholar]
- Wolański, P. Detonative propulsion. Proc. Combust. Inst. 2013, 34, 125–158. [Google Scholar] [CrossRef]
- News Releases 2012. Available online: https://www.nrl.navy.mil/media/news-releases/2012/ (accessed on 10 January 2018).
- Gray, J.; Vinkeloe, J.; Moeck, J.; Paschereit, C.O. Thermodynamic evaluation of pulse detonation combustion for gas turbine power cycles. In Proceedings of the Turbomachinery Technical Conference and Exposition, ASME Turbo Expo, Seoul, Korea, 13–17 June 2016. [Google Scholar]
- Sousa, J.; Paniagua, G.; Morata, E.C. Thermodynamic analysis of a gas turbine engine with a rotating detonation combustor. Appl. Energy 2017, 195, 247–256. [Google Scholar] [CrossRef]
- Zhao, N.B.; Zheng, H.T.; Wen, X.Y.; Zhao, N.B.; Zheng, H.T.; Wen, X.Y.; Xiao, D.M. Thermodynamic performance enhancement of marine gas turbine by using detonation combustion. In Proceedings of the ASME Turbo Expo 2017: Turbomachinery Technical Conference and Exposition, ASME, Oslo, Norway, 11–15 June 2018; GT2018-75493. 2018. [Google Scholar]
- Kaemming, T.; Fotia, M.L.; Hoke, J.; Schauer, F. Thermodynamic modeling of a rotating detonation engine through a reduced-order approach. J. Propuls. Power 2017, 33, 1–9. [Google Scholar] [CrossRef]
- Nordeen, C.; Schwer, D.; Schauer, F.; Hoke, J.; Barber, T.; Cetegen, B. Energy transfer in a rotating detonation engine. In Proceedings of the 47th AIAA/ASME/SAE/ASEE Joint Propulsion Conference & Exhibit, AIAA 2011-6045, San Diego, CA, USA, 31 July–3 August 2011. [Google Scholar]
- Zhou, R.; Wang, J.P. Numerical investigation of flow particle paths and thermodynamic performance of continuously rotating detonation engines. Combust. Flame 2012, 159, 3632–3645. [Google Scholar] [CrossRef]
- Yao, S.; Tang, X.; Wang, J.P.; Shao, Y.; Zhou, R. Three-dimensional numerical study of flow particle paths in rotating detonation engine with a hollow combustor. Combust. Sci. Technol. 2017, 189, 965–979. [Google Scholar] [CrossRef]
- Roy, A.; Ferguson, D.H.; Sidwell, T.; O’Meara, B.; Strakey, P.; Bedick, C.; Sisler, A. Experimental study of rotating detonation combustor performance under preheat and back pressure operation. In Proceedings of the 55th AIAA Aerospace Sciences Meeting, AIAA SciTech Forum, AIAA 2017-1065, Grapevine, TX, USA, 9–13 January 2017. [Google Scholar]
- Yi, T.H.; Lou, J.; Turangan, C. Effect of nozzle shapes on the performance of continuously rotating detonation engine. In Proceedings of the 48th AIAA Aerospace Sciences Meeting Including the New Horizons Forum and Aerospace Exposition, AIAA 2010-152, Orlando, FL, USA, 4–7 January 2010. [Google Scholar]
- Yi, T.-H.; Lou, J.; Turangan, C.; Choi, J.Y.; Wolanski, P. Propulsive performance of a continuously rotating detonation engine. J. Propuls. Power 2011, 27, 171–181. [Google Scholar] [CrossRef]
- Fotia, M.; Kaemming, T.A.; Hoke, J.; Schauer, F. Study of the experimental performance of a rotating detonation engine with nozzled exhaust flow. In Proceedings of the 53rd AIAA Aerospace Sciences Meeting, AIAA 2015-0631, Kissimmee, FL, USA, 5–9 January 2015. [Google Scholar]
- Paxson, D.E. Numerical analysis of a rotating detonation engine in the relative reference frame. In Proceedings of the 52nd Aerospace Sciences Meeting, National Harbor, MD, USA, 13–17 January 2014. [Google Scholar]
- Paxson, D.E.; Fotia, M.; Hoke, J.; Schauer, F. Comparison of numerically simulated and experimentally measured performance of a rotating detonation engine. In Proceedings of the 53rd AIAA Aerospace Sciences Meeting, AIAA 2015-1101, Kissimmee, FL, USA, 5 January 2015. [Google Scholar]
- Paxson, D.E.; Naples, A. Numerical and analytical assessment of a coupled rotating detonation engine and turbine experiment. In Proceedings of the 55th AIAA Aerospace Sciences Meeting, AIAA 2017-1746, Grapevine, TX, USA, 9–13 January 2017. [Google Scholar]
- Wu, D.; Liu, Y.; Liu, Y.S.; Wang, J. Numerical investigations of the restabilization of hydrogen-air rotating detonation engines. Int. J. Hydrogen Energy 2014, 39, 15803–15809. [Google Scholar] [CrossRef]
- Tsuboi, N.; Watanabe, Y.; Kojima, T.; Hayashi, A.K. Numerical estimation of the thrust performance on a rotating detonation engine for a hydrogen–oxygen mixture. Proc. Combust. Inst. 2015, 35, 2005–2013. [Google Scholar] [CrossRef]
- Oran, E.S.; Weber, J.W., Jr.; Stefaniw, E.I.; Lefebvre, M.H.; Anderson, J.D., Jr. A Numerical study of a two-dimensional H2-O2-Ar detonation using a detailed chemical reaction model. Combust. Flame 1998, 113, 147–163. [Google Scholar] [CrossRef]
- Nordeen, C.; Schwer, D.; Schauer, F.; Hoke, J.; Cetegen, B.; Barber, T. Thermodynamic modeling of a rotating detonation engine. In Proceedings of the 49th AIAA Aerospace Sciences Meeting including the New Horizons Forum and Aerospace Exposition, AIAA 2011-803, Orlando, FL, USA, 4–7 January 2011. [Google Scholar]
- Wang, Y.H. Rotating detonation in a combustor of trapezoidal cross section for the hydrogen-air mixture. Int. J. Hydrogen Energy 2016, 41, 5605–5616. [Google Scholar] [CrossRef]
- Xisto, C.; Ali, F.; Petit, O.; Grönstedt, T.; Rolt, A.; Lundbladh, A. Analytical model for the performance estimation of pre-cooled pulse detonation turbofan engines. In Proceedings of the Turbomachinery Technical Conference and Exposition. American Society of Mechanical Engineers, ASME Turbo Expo 2017, Charlotte, NC, USA, 26–30 June 2017. [Google Scholar]
- Liu, L.; Zhang, Q.; Shen, S.; Li, D.; Lian, Z.; Wang, Y. Evaluation of detonation characteristics of aluminum/JP-10/air mixtures at stoichiometric concentrations. Fuel 2016, 169, 41–49. [Google Scholar] [CrossRef]
- Uemura, Y.; Hayashi, A.K.; Asahara, M.; Tsuboi, N.; Yamada, E. Transverse wave generation mechanism in rotating detonation. Proc. Combust. Inst. 2013, 34, 1981–1989. [Google Scholar] [CrossRef]
- Graf, A.P.; Riedel, U. Numerical simulation of supersonic reactive flows using explicit Runge–Kutta methods. In Proceedings of the 38th Aerospace Sciences Meeting and Exhibit, AIAA 2000-0438, Reno, NV, USA, 10–13 January 2000. [Google Scholar]
- Wu, D.; Zhou, R.; Liu, M.; Wang, J. Numerical investigation of the stability of rotating detonation engines. Combust. Sci. Technol. 2014, 186, 1699–1715. [Google Scholar] [CrossRef]
- Bykovskii, F.A.; Vedernikov, E.F. Continuous detonation of a subsonic flow of a propellant. Combust. Explos. Shock Waves 2003, 39, 323–334. [Google Scholar] [CrossRef]
- Schwer, D.; Kailasanath, K. Fluid dynamics of rotating detonation engines with hydrogen and hydrocarbon fuels. Proc. Combust. Inst. 2013, 34, 1991–1998. [Google Scholar] [CrossRef]
- Schwer, D.; Kailasanath, K. Numerical investigation of the physics of rotating-detonation-engines. Proc. Combust. Inst. 2011, 33, 2195–2202. [Google Scholar] [CrossRef]


















| /mm | /µs | /MPa | /K | |||
|---|---|---|---|---|---|---|
| 0.25 | 446.3 | - | 0.62499 | - | 2413.5 | - |
| 0.5 | 447.2 | 0.2% | 0.62309 | 0.3% | 2413.4 | 0% |
| 1 | 448.0 | 0.2% | 0.61992 | 0.5% | 2413.4 | 0% |
| 2 | 451.5 | 0.8% | 0.60257 | 2.8% | 2409.1 | 0.2% |
| /µs | /µs | /MPa | /K | |||
|---|---|---|---|---|---|---|
| 0.05 | 444.3 | - | 0.63156 | - | 2414.2 | - |
| 0.1 | 445.6 | 0.3% | 0.62589 | 0.9% | 2413.1 | 0% |
| 0.2 | 448.0 | 0.5% | 0.61992 | 0.9% | 2413.4 | 0% |
| 0.4 | 459.2 | 2.5% | 0.60035 | 3.2% | 2410.2 | 0.1% |
© 2018 by the authors. Licensee MDPI, Basel, Switzerland. This article is an open access article distributed under the terms and conditions of the Creative Commons Attribution (CC BY) license (http://creativecommons.org/licenses/by/4.0/).
Share and Cite
Zheng, H.; Qi, L.; Zhao, N.; Li, Z.; Liu, X. A Thermodynamic Analysis of the Pressure Gain of Continuously Rotating Detonation Combustor for Gas Turbine. Appl. Sci. 2018, 8, 535. https://doi.org/10.3390/app8040535
Zheng H, Qi L, Zhao N, Li Z, Liu X. A Thermodynamic Analysis of the Pressure Gain of Continuously Rotating Detonation Combustor for Gas Turbine. Applied Sciences. 2018; 8(4):535. https://doi.org/10.3390/app8040535
Chicago/Turabian StyleZheng, Hongtao, Lei Qi, Ningbo Zhao, Zhiming Li, and Xiao Liu. 2018. "A Thermodynamic Analysis of the Pressure Gain of Continuously Rotating Detonation Combustor for Gas Turbine" Applied Sciences 8, no. 4: 535. https://doi.org/10.3390/app8040535
APA StyleZheng, H., Qi, L., Zhao, N., Li, Z., & Liu, X. (2018). A Thermodynamic Analysis of the Pressure Gain of Continuously Rotating Detonation Combustor for Gas Turbine. Applied Sciences, 8(4), 535. https://doi.org/10.3390/app8040535
