Incoherent Shock and Collapse Singularities in Non-Instantaneous Nonlinear Media
Abstract
1. Introduction
2. NLS Simulations
3. Vlasov Approach
4. Hydrodynamic-Like Model
4.1. Singular Solutions of the Vlasov Equation
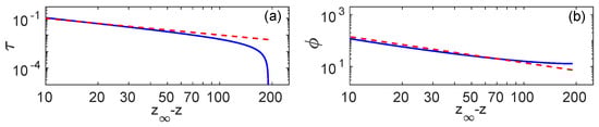
4.2. Evolution Along the Characteristics
4.3. Dynamics after the Shock-Collapse Singularity
5. Discussion and Conclusions
5.1. Toward Incoherent Rogue Waves?
5.2. Coherent Initial Conditions
5.3. Anomalous dispersion
Author Contributions
Funding
Acknowledgments
Conflicts of Interest
References
- Whitham, G.B. Linear and Nonlinear Waves; Wiley: New York, NY, USA, 1974. [Google Scholar]
- El, G.A.; Hoefer, M.A. Dispersive shock waves and modulation theory. Physica D 2016, 333, 11–65. [Google Scholar] [CrossRef]
- Onorato, M.; Residori, S.; Baronio, F. (Eds.) Rogue and Shock Waves in Nonlinear Dispersive Media; Lectures Notes in Physics; Springer: Berlin, Germany, 2016. [Google Scholar]
- Taylor, R.J.; Baker, D.R.; Ikezi, H. Observation of collisionless electrostatic shocks. Phys. Rev. Lett. 1970, 24, 206–209. [Google Scholar] [CrossRef]
- Smyth, N.F.; Holloway, P.E. Hydraulic Jump and Undular Bore Formation on a Shelf Break. J. Phys. Oceanogr. 1988, 18, 947–962. [Google Scholar] [CrossRef]
- Rothenberg, J.E.; Grischkowsky, D. Observation of the formation of an optical intensity shock and wave breaking in the nonlinear propagation of pulses in optical fibers. Phys. Rev. Lett. 1989, 62, 531. [Google Scholar] [CrossRef]
- Wan, W.; Jia, S.; Fleischer, J.W. Dispersive superfluid-like shock waves in nonlinear optics. Nat. Phys. 2007, 3, 46–51. [Google Scholar] [CrossRef]
- Whalen, P.; Moloney, J.V.; Newell, A.C.; Newell, K.; Kolesik, M. Optical shock and blow-up of ultrashort pulses in transparent media. Phys. Rev. A 2012, 86, 033806. [Google Scholar] [CrossRef]
- Fatome, J.; Finot, C.; Millot, G.; Armaroli, A.; Trillo, S. Observation of Optical Undular Bores in Multiple Four-Wave Mixing. Phys. Rev. X 2014, 4, 021022. [Google Scholar] [CrossRef]
- Conforti, M.; Baronio, F.; Trillo, S. Resonant radiation shed by dispersive shock waves. Phys. Rev. A 2014, 89, 013807. [Google Scholar] [CrossRef]
- Wetzel, B.; Bongiovanni, D.; Kues, M.; Hu, Y.; Chen, Z.; Trillo, S.; Dudley, J.M.; Wabnitz, S.; Morandotti, R. Experimental Generation of Riemann Waves in Optics: A Route to Shock Wave Control. Phys. Rev. Lett. 2016, 117, 073902. [Google Scholar] [CrossRef]
- Trillo, S.; Deng, G.; Biondini, G.; Klein, M.; Clauss, G.F.; Chabchoub, A.; Onorato, M. Experimental Observation and Theoretical Description of Multisoliton Fission in Shallow Water. Phys. Rev. Lett. 2016, 117, 144102. [Google Scholar] [CrossRef]
- Xu, G.; Conforti, M.; Kudlinski, A.; Mussot, A.; Trillo, S. Dispersive Dam-Break Flow of a Photon Fluid. Phys. Rev. Lett. 2017, 118, 254101. [Google Scholar] [CrossRef] [PubMed]
- Ghofraniha, N.; Conti, C.; Ruocco, G.; Trillo, S. Shocks in Nonlocal Media. Phys. Rev. Lett. 2007, 99, 043903. [Google Scholar] [CrossRef] [PubMed]
- Ghofraniha, N.; Amato, L.S.; Folli, V.; Trillo, S.; DelRe, E.; Conti, C. Measurement of scaling laws for shock waves in thermal nonlocal media. Opt. Lett. 2012, 37, 2325–2327. [Google Scholar] [CrossRef] [PubMed]
- Karpov, M.; Congy, T.; Sivan, Y.; Fleurov, V.; Pavloff, N.; Bar-Ad, S. Spontaneously formed autofocusing caustics in a confined self-defocusing medium. Optica 2015, 2, 1053–1057. [Google Scholar] [CrossRef]
- El, G.A.; Smyth, N.F. Radiating dispersive shock waves in non-local optical media. Proc. R. Soc. A 2016, 472, 20150633. [Google Scholar] [CrossRef] [PubMed]
- Gentilini, S.; Braidotti, M.C.; Marcucci, G.; DelRe, E.; Conti, C. Nonlinear Gamow vectors, shock waves, and irreversibility in optically nonlocal media. Phys. Rev. A 2015, 92, 023801. [Google Scholar] [CrossRef]
- Fratalocchi, A.; Armaroli, A.; Trillo, S. Time-reversal focusing of an expanding soliton gas in disordered replicas. Phys. Rev. A 2011, 83, 053846. [Google Scholar] [CrossRef]
- Ghofraniha, N.; Gentilini, S.; Folli, V.; DelRe, E.; Conti, C. Shock waves in disordered media. Phys. Rev. Lett. 2012, 109, 243902. [Google Scholar] [CrossRef]
- Garnier, J.; Xu, G.; Trillo, S.; Picozzi, A. Incoherent Dispersive Shocks in the Spectral Evolution of Random Waves. Phys. Rev. Lett. 2013, 111, 113902. [Google Scholar] [CrossRef]
- Xu, G.; Garnier, J.; Trillo, S.; Picozzi, A. Impact of self-steepening on incoherent dispersive spectral shocks and collapse-like spectral singularities. Phys. Rev. A 2014, 90, 013828. [Google Scholar] [CrossRef]
- Xu, G.; Vocke, D.; Faccio, D.; Garnier, J.; Rogers, T.; Trillo, S.; Picozzi, A. From coherent shocklets to giant collective incoherent shock waves in nonlocal turbulent flows. Nat. Commun. 2015, 6, 8131. [Google Scholar] [CrossRef] [PubMed]
- Peccianti, M.; Conti, C.; Assanto, G.; de Luca, A.; Umeton, C. Routing of anisotropic spatial solitons and modulational instability in liquid crystals. Nature 2004, 2004 432, 733–737. [Google Scholar] [CrossRef]
- Krolikowski, W.; Bang, O.; Nikolov, N.I.; Neshev, D.; Wyller, J.; Rasmussen, J.J.; Edmundson, D. Modulational instability, solitons and beam propagation in spatially nonlocal nonlinear media. J. Opt. B Quant. Semicl. Opt. 2004, 6, S288. [Google Scholar] [CrossRef]
- Alberucci, A.; Jisha, C.P.; Smyth, N.F.; Assanto, G. Spatial optical solitons in highly nonlocal media. Phys. Rev. A 2015, 91, 013841. [Google Scholar] [CrossRef]
- Vocke, D.; Roger, T.; Marino, F.; Wright, E.M.; Carusotto, I.; Clerici, M.; Faccio, D. Experimental characterisation of nonlocal photon fluids. Optica 2015, 2, 484–490. [Google Scholar] [CrossRef]
- Picozzi, A.; Garnier, J.; Hansson, T.; Suret, P.; Randoux, S.; Millot, G.; Christodoulides, D. Optical wave turbulence: Toward a unified nonequilibrium thermodynamic formulation of statistical nonlinear optics. Phys. Rep. 2014, 542. [Google Scholar] [CrossRef]
- Fanjoux, G.; Michaud, J.; Maillotte, H.; Sylvestre, T. Slow-Light Spatial Solitons. Phys. Rev. Lett. 2008, 100, 013908. [Google Scholar] [CrossRef]
- Conti, C.; Schmidt, M.; Russell, P.; Biancalana, F. Highly noninstantaneous solitons in liquid-core photonic crystal fibers. Phys. Rev. Lett. 2010, 105, 263902. [Google Scholar] [CrossRef]
- Pricking, S.; Giessen, H. Generalized retarded response of nonlinear media and its influence on soliton dynamics. Opt. Express 2011, 19, 2895–2903. [Google Scholar] [CrossRef]
- Saleh, M.F.; Chang, W.; Hölzer, P.; Nazarkin, A.; Travers, J.C.; Joly, N.Y.; Russell, P.S.J.; Biancalana, F. Theory of photoionization-induced blueshift of ultrashort solitons in gas-filled hollow-core photonic crystal fibers. Phys. Rev. Lett. 2011, 107, 203902. [Google Scholar] [CrossRef]
- Husko, C.A.; Combrie, S.; Colman, P.; Zheng, J.; de Rossi, A.; Wong, C.W. Soliton dynamics in the multiphoton plasma regime. Sci. Rep. 2013, 3, 1100. [Google Scholar] [CrossRef]
- Chemnitz, M.; Gebhardt, M.; Gaida, C.; Stutzki, F.; Kobelke, J.; Limpert, J.; Tünnermann, A.; Schmidt, M.A. Hybrid soliton dynamics in liquid-core fibres. Nat. Commun. 2017, 8, 42. [Google Scholar] [CrossRef] [PubMed]
- Markos, C.; Travers, J.C.; Abdolvand, A.; Eggleton, B.J.; Bang, O. Hybrid photonic-crystal fiber. Rev. Mod. Phys. 2017, 89, 045003. [Google Scholar] [CrossRef]
- Saleh, M.F.; Armaroli, A.; Marini, A.; Biancalana, F. Strong Raman-induced noninstantaneous soliton interactions in gas-filled photonic crystal fibers. Opt. Lett. 2015, 40, 4058–4061. [Google Scholar] [CrossRef] [PubMed]
- Saleh, M.F.; Armaroli, A.; Tran, T.X.; Marini, A.; Belli, F.; Abdolvand, A.; Biancalana, F. Raman-induced temporal condensed matter physics in gas-filled photonic crystal fibers. Opt. Express 2015, 23, 11879–11886. [Google Scholar] [CrossRef] [PubMed]
- Kibler, B.; Michel, C.; Garnier, J.; Picozzi, A. Temporal dynamics of incoherent waves in noninstantaneous response nonlinear Kerr media. Opt. Lett. 2012, 37, 2472–2474. [Google Scholar] [CrossRef] [PubMed]
- Michel, C.; Kibler, B.; Garnier, J.; Picozzi, A. Temporal incoherent solitons supported by a defocusing nonlinearity with anomalous dispersion. Phys. Rev. A 2012, 86, 041801. [Google Scholar] [CrossRef]
- The wave-packet is red-shifted P(z) < 0 and evolves according to ∂zP(z) = ∫V(t,z)∂tN(t,z)dt, while the mean time position T(z) = ∫∫tnω(t,z)dtdω verifies ∂zT(z) = σP(z).
- Xu, G.; Garnier, J.; Faccio, D.; Trillo, S.; Picozzi, A. Incoherent shock waves in long-range optical turbulence. Physica D 2016, 333, 310–322. [Google Scholar] [CrossRef]
- Evans, L.C. Partial Differential Equations; AMS: Providence, RI, USA, 2002. [Google Scholar]
- If the response function is not continuous at the origin (0) ≠ 0 (e.g., purely exponential response), then ∂tN(T(z),z) could be of the same order as τ2(z) in Equation (8). However, at the time where N(t, z) is maximal, the term ∂tN(t, z) is zero, so that the system still exhibits the catastrophic singularity.
- Levermore, C.D. Moment closure hierarchies for kinetic theories. J. Stat. Phys. 1996, 83, 1021–1065. [Google Scholar] [CrossRef]
- Perin, M.; Chandre, C.; Morrison, P.J.; Tassi, E. Higher order Hamiltonian fluid reduction of Vlasov equation. Ann. Phys. 2014, 2014 348, 50–63. [Google Scholar] [CrossRef]
- Zakharov, V.E.; L’vov, V.S.; Falkovich, G. Kolmogorov Spectra of Turbulence I; Springer: Berlin, Germnay, 1992. [Google Scholar]
- Newell, A.C.; Rumpf, B. Wave Turbulence. Annu. Rev. Fluid Mech. 2011, 43, 59. [Google Scholar] [CrossRef]
- Newell, A.C.; Nazarenko, S.; Biven, L. Wave turbulence and intermittency. Physica D 2001, 152–153, 520. [Google Scholar] [CrossRef]
- Nazarenko, S. Wave Turbulence; Lectures Notes in Physics; Springer: Berlin, Germany, 2011. [Google Scholar]
- Barviau, B.; Kibler, B.; Picozzi, A. Wave-turbulence approach of supercontinuum generation: Influence of self-steepening and higher-order dispersion. Phys. Rev. A 2009, 79, 063840. [Google Scholar] [CrossRef]
- Laurie, J.; Bortolozzo, U.; Nazarenko, S.; Residori, S. Optical wave turbulence and the condensation of light. Phys. Rep. 2012, 514, 121. [Google Scholar] [CrossRef]
- Barviau, B.; Garnier, J.; Xu, G.; Kibler, B.; Millot, G.; Picozzi, A. Truncated thermalization of incoherent optical waves through supercontinuum generation in photonic crystal fibers. Phys. Rev. A 2013, 87, 035803. [Google Scholar] [CrossRef]
- Xu, G.; Garnier, J.; Rumpf, B.; Fusaro, A.; Suret, P.; Randoux, S.; Kudlinski, A.; Millot, G.; Picozzi, A. Origins of spectral broadening of incoherent waves: Catastrophic process of coherence degradation. Phys. Rev. A 2017, 96, 023817. [Google Scholar] [CrossRef]
- Guasoni, M.; Garnier, J.; Rumpf, B.; Sugny, D.; Fatome, J.; Amrani, F.; Millot, G.; Picozzi, A. Incoherent Fermi-Pasta-Ulam Recurrences and Unconstrained Thermalization Mediated by Strong Phase Correlations. Phys. Rev. X 2017, 7, 011025. [Google Scholar] [CrossRef]
- Santić, N.; Fusaro, A.; Salem, S.; Garnier, J.; Picozzi, A.; Kaiser, R. Nonequilibrium precondensation of classical waves in two dimensions propagating through atomic vapors. Phys. Rev. Lett. 2018, 120, 055301. [Google Scholar] [CrossRef]
- Babin, S.; Churkin, D.; Ismagulov, A.; Kablukov, S.; Podivilov, E. Four-wave-mixing-induced turbulent spectral broadening in a long Raman fiber laser. J. Opt. Soc. Am. B 2007, 24, 1729–1738. [Google Scholar] [CrossRef]
- Turitsyna, E.; Falkovich, G.; El-Taher, A.; Shu, X.; Harper, P.; Turitsyn, S. Optical turbulence and spectral condensate in long fibre lasers. Proc. R. Soc. A 2012, 468, 2496–2508. [Google Scholar] [CrossRef]
- Turitsyna, E.; Smirnov, S.; Sugavanam, S.; Tarasov, N.; Shu, X.; Babin, S.; Podivilov, E.; Churkin, D.; Falkovich, G.; Turitsyn, S. The laminar-turbulent transition in a fibre laser. Nat. Photon. 2013, 7, 783–786. [Google Scholar] [CrossRef]
- Churkin, D.; Kolokolov, I.; Podivilov, E.; Vatnik, I.; Vergeles, S.; Terekhov, I.; Lebedev, V.; Falkovich, G.; Nikulin, M.; Babin, S.; et al. Wave kinetics of a random fibre laser. Nat. Commun. 2015, 2, 6214. [Google Scholar] [CrossRef] [PubMed]
- Campa, A.; Dauxois, T.; Ruffo, S. Statistical mechanics and dynamics of solvable models with long-range interactions. Phys. Rep. 2009, 480, 57–159. [Google Scholar] [CrossRef]
- Levin, Y.; Pakter, R.; Rizzato, F.B.; Teles, T.N.; Benetti, F.P. Nonequilibrium statistical mechanics of systems with long-range interactions. Phys. Rep. 2014, 535, 1–60. [Google Scholar] [CrossRef]
- Heidt, A.M.; Feehan, J.S.; Price, J.H.V.; Feurer, T. Limits of coherent supercontinuum generation in normal dispersion fibers. J. Opt. Soc. Am. B 2017, 34, 764–775. [Google Scholar] [CrossRef]
- Akhmediev, N.; Pelinovsky, E. Introductory remarks on Discussion & Debate: Rogue Waves—Towards a Unifying Concept? Eur. Phys. J. Spec. Top. 2010, 185, 1–4. [Google Scholar]
- Onorato, M.; Residori, S.; Bortolozzo, U.; Montina, A.; Arecchi, F.T. Rogue Waves and Their Generating Mechanisms in Different Physical Contexts. Phys. Rep. 2013, 528, 47–89. [Google Scholar] [CrossRef]
- Dudley, J.M.; Dias, F.; Erkintalo, M.; Genty, G. Instabilities, breathers and rogue waves in optics. Nat. Photonics 2014, 8, 755–764. [Google Scholar] [CrossRef]
- Akhmediev, N.; Kibler, B.; Baronio, F.; Belic, M.; Zhong, W.; Zhang, Y.; Chang, W.; Soto-Crespo, J.-M.; Vouzas, P.; Grelu, P.; et al. Roadmap on optical rogue waves and extreme events. J. Opt. 2016, 18, 063001. [Google Scholar] [CrossRef]
- Hammani, K.; Picozzi, A.; Finot, C. Extreme statistics in Raman fiber amplifiers: From analytical description to experiments. Opt. Commun. 2011, 284, 2594–2603. [Google Scholar] [CrossRef]
- Monfared, Y.E.; Ponomarenko, S.A. Non-Gaussian statistics and optical rogue waves in stimulated Raman scattering. Opt. Express 2017, 2017 25, 5941–5950. [Google Scholar] [CrossRef]
- Monfared, Y.E.; Ponomarenko, S.A. Non-Gaussian statistics of extreme events in stimulated Raman scattering: The role of coherent memory and source noise. Phys. Rev. A 2017, 96, 043817. [Google Scholar] [CrossRef]
- Chen, S.; Baronio, F.; Soto-Crespo, J.M.; Grelu, P.; Conforti, M.; Wabnitz, S. Optical rogue waves in parametric three-wave mixing and coherent stimulated scattering. Phys. Rev. A 2015, 92, 033847. [Google Scholar] [CrossRef]
- Armaroli, A.; Conti, C.; Biancalana, F. Rogue solitons in optical fibers: A dynamical process in a complex energy landscape? Optica 2015, 2, 497–504. [Google Scholar] [CrossRef]
- Akhmediev, N.; Ankiewicz, A.; Soto-Crespo, J.M. Rogue waves and rational solutions of the nonlinear Schrödinger equation. Phys. Rev. E 2009, 80, 026601. [Google Scholar] [CrossRef] [PubMed]
- Hammani, K.; Kibler, B.; Finot, C.; Picozzi, A. Emergence of rogue waves from optical turbulence. Phys. Lett. A 2010, 374, 3585–3589. [Google Scholar] [CrossRef]
- Kibler, B.; Hammani, K.; Finot, C.; Picozzi, A. Rogue waves, rational solitons and wave turbulence theory. Phys. Lett. A 2011, 3149–3155. [Google Scholar] [CrossRef]
- Walczak, P.; Randoux, S.; Suret, P. Optical Rogue Waves in Integrable Turbulence. Phys. Rev. Lett. 2015, 114, 143903. [Google Scholar] [CrossRef]
- Suret, P.; el Koussaifi, R.; Tikan, A.; Evain, C.; Randoux, S.; Szwaj, C.; Bielawski, S. Single-shot observation of optical rogue waves in integrable turbulence using time microscopy. Nat. Commun. 2016, 7, 13136. [Google Scholar] [CrossRef]
- Agafontsev, D.S.; Zakharov, V.E. Integrable turbulence and formation of rogue waves. Nonlinearity 2015, 2015 28, 2791–2821. [Google Scholar] [CrossRef]
- Soto-Crespo, J.M.; Devine, N.; Akhmediev, N. Integrable Turbulence and Rogue Waves: Breathers or Solitons? Phys. Rev. Lett. 2016, 116, 103901. [Google Scholar] [CrossRef] [PubMed]
- Akhmediev, N.; Soto-Crespo, J.M.; Devine, N. Breather turbulence versus soliton turbulence: Rogue waves, probability density functions, and spectral features. Phys. Rev. E 2016, 94, 022212. [Google Scholar] [CrossRef] [PubMed]
- Safari, A.; Fickler, R.; Padgett, M.J.; Boyd, R.W. Generation of Caustics and Rogue Waves from Nonlinear Instability. Phys. Rev. Lett. 2017, 119, 203901. [Google Scholar] [CrossRef] [PubMed]
- Toffoli, A.; Proment, D.; Salman, H.; Monbaliu, J.; Frascoli, F.; Dafilis, M.; Stramignoni, E.; Forza, R.; Manfrin, M.; Onorato, M. Wind generated rogue waves in an annular wave flume. Phys. Rev. Lett. 2017, 118, 144503. [Google Scholar] [CrossRef] [PubMed]
- Tikan, A.; Bielawski, S.; Szwaj, C.; Randoux, S.; Suret, P. Single-shot measurement of phase and amplitude by using a heterodyne time-lens system and ultrafast digital time-holography. Nat. Photon. 2018, 2018 12, 228–234. [Google Scholar] [CrossRef]
- el Koussaifi, R.; Tikan, A.; Toffoli, A.; Randoux, S.; Suret, P.; Onorato, M. Spontaneous emergence of rogue waves in partially coherent waves: A quantitative experimental comparison between hydrodynamics and optics. Phys. Rev. E 2018, 97, 012208. [Google Scholar] [CrossRef]
- Wang, J.; Ma, Q.W.; Yan, S.; Chabchoub, A. Breather rogue waves in random seas. Phys. Rev. Appl. 2018, 9, 014016. [Google Scholar] [CrossRef]
- Fusaro, A.; Garnier, J.; Xu, G.; Conti, C.; Faccio, D.; Trillo, S.; Picozzi, A. Emergence of long-range phase coherence in nonlocal fluids of light. Phys. Rev. A 2017, 95, 063818. [Google Scholar] [CrossRef]
- Braidotti, M.C.; Mecozzi, A.; Conti, C. Squeezing in a nonlocal photon fluid. Phys. Rev. A 2017, 96, 043823. [Google Scholar] [CrossRef]
- Marcucci, G.; Braidotti, M.C.; Gentilini, S.; Conti, C. Time asymmetric quantum mechanics and shock waves: exploring the irreversibility in nonlinear optics. Ann. Phys. 2017, 529, 1600349. [Google Scholar] [CrossRef]
- Picozzi, A.; Garnier, J. Incoherent soliton turbulence in nonlocal nonlinear media. Phys. Rev. Lett. 2011, 107, 233901. [Google Scholar] [CrossRef] [PubMed]
- Xu, G.; Garnier, J.; Picozzi, A. Spectral long-range interaction of temporal incoherent solitons. Opt. Lett. 2014, 39, 590–593. [Google Scholar] [CrossRef] [PubMed]








© 2018 by the authors. Licensee MDPI, Basel, Switzerland. This article is an open access article distributed under the terms and conditions of the Creative Commons Attribution (CC BY) license (http://creativecommons.org/licenses/by/4.0/).
Share and Cite
Xu, G.; Fusaro, A.; Garnier, J.; Picozzi, A. Incoherent Shock and Collapse Singularities in Non-Instantaneous Nonlinear Media. Appl. Sci. 2018, 8, 2559. https://doi.org/10.3390/app8122559
Xu G, Fusaro A, Garnier J, Picozzi A. Incoherent Shock and Collapse Singularities in Non-Instantaneous Nonlinear Media. Applied Sciences. 2018; 8(12):2559. https://doi.org/10.3390/app8122559
Chicago/Turabian StyleXu, Gang, Adrien Fusaro, Josselin Garnier, and Antonio Picozzi. 2018. "Incoherent Shock and Collapse Singularities in Non-Instantaneous Nonlinear Media" Applied Sciences 8, no. 12: 2559. https://doi.org/10.3390/app8122559
APA StyleXu, G., Fusaro, A., Garnier, J., & Picozzi, A. (2018). Incoherent Shock and Collapse Singularities in Non-Instantaneous Nonlinear Media. Applied Sciences, 8(12), 2559. https://doi.org/10.3390/app8122559
