Interference Alignment in Multi-Hop Cognitive Radio Networks under Interference Leakage
Abstract
1. Introduction
1.1. Related Works
1.2. Motivation and Contributions
- A decode-and-forward (DF) multi-hop SN is considered, and end-to-end SNRs are derived for two cases: (1) perfect interference alignment; (2) in the presence of interference leakages.
- Exact outage probability is derived for perfect IA and interference leakages.
- Approximate ergodic capacity expressions are derived for both cases.
1.3. Paper Organization
2. Signal and System Model
2.1. Interference Alignment Approach and End-to-End SNR Analysis
2.2. End-to-End SNRs in the Presence of Interference Leakage
3. Outage Probability Analysis
3.1. Outage Probability Performance of the Perfect IA Scheme
3.2. Outage Probability in the Presence of Interference Leakages
4. Ergodic Capacity
4.1. Ergodic Capacity For Perfect IA
4.2. Ergodic Capacity in the Presence of Interference Leakages
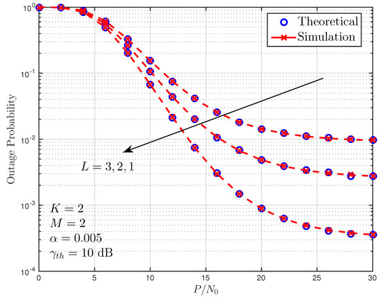
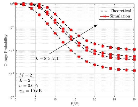
5. Numerical Results
6. Conclusions
Author Contributions
Funding
Acknowledgments
Conflicts of Interest
References
- Ericsson. Mobile Data Surpasses Voice, Stockholm, Sweden. 2010. Available online: http://www.ericsson.com/thecompany/press/releases/2010/03/1396928 (accessed on 29 October 2018).
- Dahlman, E.; Parkvall, S.; Skold, J.; Beming, P. 3G Evolution: HSPA and LTE for Mobile Broadband; Academic Press: New York, NY, USA, 2010. [Google Scholar]
- Yucek, T.; Arslan, H. A survey of spectrum sensing algorithms for cognitive radio application. IEEE Commun. Surv. Tutor. 2009, 11, 116–130. [Google Scholar] [CrossRef]
- Li, Q.; Hu, R.Q.; Qian, Y.; Wu, G. Cooperative communications for wireless networks: Techniques and applications in LTE-advanced systems. IEEE Wirel. Commun. 2012, 19, 22–29. [Google Scholar]
- Haykin, S. Cognitive radio: Brain-empowered wireless communications. IEEE J. Sel. Areas Commun. 2005, 23, 201–220. [Google Scholar] [CrossRef]
- Mitola, J.; Maguire, G.Q. Cognitive radio: Making software radios more personal. IEEE Pers. Commun. 1999, 6, 13–18. [Google Scholar] [CrossRef]
- Cirik, A.C.; Biswas, S.; Taghizadeh, O.; Ratnarajah, T. Robust transceiver design in full-duplex MIMO cognitive radios. IEEE Trans. Veh. Technol. 2018, 67, 1313–1330. [Google Scholar] [CrossRef]
- Sharma, S.K.; Bogale, T.E.; Chatzinotas, S.; Ottersten, B.; Le, L.B.; Wang, X. Cognitive radio techniques under practical imperfections: A survey. IEEE Commun. Surv. Tutor. 2015, 17, 1858–1884. [Google Scholar] [CrossRef]
- Liang, W.; Ng, S.X.; Hanzo, L. Cooperative overlay spectrum access in cognitive radio networks. IEEE Commun. Surv. Tutor. 2017, 19, 1924–1944. [Google Scholar] [CrossRef]
- Biglieri, E.; Goldsmith, A.J.; Greenstein, L.J.; Poor, H.V.; Mandayam, N.B. Principles of Cognitive Radio; Cambridge University Press: Cambridge, UK, 2013. [Google Scholar]
- Razaviyayn, M.; Sanjabi, M.; Luo, Z.Q. Linear transceiver design for interference alignment: Complexity and computation. IEEE Trans. Inf. Theory 2012, 58, 2896–2910. [Google Scholar] [CrossRef]
- Liu, T.; Yang, C. On the feasibility of linear interference alignment for MIMO interference broadcast channels with constant coefficients. arXiv, 2012; arXiv:1207.1517. [Google Scholar] [CrossRef]
- González, Ó.; Beltrán, C.; Santamaría, I. A Feasibility test for linear interference alignment in MIMO channels with constant coefficients. IEEE Trans. Inf. Theory 2014, 60, 1840–1856. [Google Scholar] [CrossRef]
- Razaviyayn, M.; Lyubeznik, G.; Luo, Z.Q. On the degrees of freedom achievable through interference alignment in a MIMO interference channel. IEEE Trans. Signal Process. 2012, 60, 812–821. [Google Scholar] [CrossRef]
- Zhao, N.; Yu, F.R.; Sun, H.; Li, M. Adaptive power allocation schemes for spectrum sharing in interference-alignment-based cognitive radio networks. IEEE Trans. Veh. Technol. 2016, 65, 3700–3714. [Google Scholar] [CrossRef]
- Sam, R.P.; Govindaswamy, U.M. Antenna selection and adaptive power allocation for IA-based underlay CR. IET Signal Process. 2017, 11, 734–742. [Google Scholar]
- Sultana, R.; Sarkar, M.; Hossain, M. Linear precoding techniques in enhancing security of cognitive radio networks. In Proceedings of the IEEE International Conference on Electrical, Computer & Telecommunication Engineering (ICECTE), Rajshahi, Bangladesh, 8–10 December 2016; pp. 1–4. [Google Scholar]
- Zhao, N.; Yu, F.R.; Sun, H. Adaptive energy-efficient power allocation in green interference-alignment-based wireless networks. IEEE Trans. Veh. Technol. 2015, 64, 4268–4281. [Google Scholar] [CrossRef]
- Bao, V.N.Q.; Thanh, T.T.; Nguyen, T.D.; Vu, T.D. Spectrum sharing-based multi-hop decode-and-forward relay networks under interference constraints: Performance analysis and relay position optimization. J. Commun. Netw. 2013, 15, 266–275. [Google Scholar] [CrossRef]
- Hyadi, A.; Benjillali, M.; Alouini, M.S.; da Costa, D.B. Performance analysis of underlay cognitive multihop regenerative relaying systems with multiple primary receivers. IEEE Trans. Wirel. Commun. 2013, 12, 6418–6429. [Google Scholar] [CrossRef]
- Phan, H.; Zepernick, H.J.; Tran, H. Impact of interference power constraint on multi-hop cognitive amplify-and-forward relay networks over Nakagami-m fading. IET Commun. 2013, 7, 860–866. [Google Scholar] [CrossRef]
- Bao, V.N.Q.; Duong, T.Q.; Tellambura, C. On the performance of cognitive underlay multihop networks with imperfect channel state information. IEEE Trans. Commun. 2013, 61, 4864–4873. [Google Scholar] [CrossRef]
- Kamga, G.N.; Fredj, K.B.; Aïssa, S. Multihop cognitive relaying over composite multipath/shadowing channels. IEEE Trans. Veh. Technol. 2015, 64, 3807–3812. [Google Scholar] [CrossRef]
- Khoshafa, M.H.; Al-Ahmadi, S. On the capacity of underlay multihop cognitive relaying over generalized-K composite fading channels. Wirel. Pers. Commun. 2017, 96, 361–370. [Google Scholar] [CrossRef]
- Park, J.; Jang, C.; Lee, J.H. Outage analysis of underlay cognitive radio networks with multihop primary transmission. IEEE Commun. Lett. 2016, 20, 800–803. [Google Scholar] [CrossRef]
- Hussein, J.A.; Ikki, S.S.; Boussakta, S.; Tsimenidis, C.C.; Chambers, J. Performance analysis of a multi-hop UCRN with co-channel interference. IEEE Trans. Commun. 2016, 64, 4346–4364. [Google Scholar] [CrossRef]
- Al-Qahtani, F.S.; Radaydeh, R.M.; Hessien, S.; Duong, T.Q.; Alnuweiri, H. Underlay cognitive multihop MIMO networks with and without receive interference cancellation. IEEE Trans. Commun. 2017, 65, 1477–1493. [Google Scholar] [CrossRef]
- Boddapati, H.K.; Bhatnagar, M.R.; Prakriya, S. Performance analysis of cluster-based multi-hop underlay CRNs using max-link-selection protocol. IEEE Trans. Cogn. Commun. Netw. 2018, 4, 15–29. [Google Scholar] [CrossRef]
- Shahjehan, W.; Shah, S.; Lloret, J.; Bosch, I. Joint Interference and Phase Alignment among Data Streams in Multicell MIMO Broadcasting. Appl. Sci. 2018, 8, 1237. [Google Scholar] [CrossRef]
- Afana, A.; Asghari, V.; Ghrayeb, A.; Affes, S. Cooperative relaying in spectrum-sharing systems with beamforming and interference constraints. In Proceedings of the IEEE 13th International Workshop on Signal Processing Advances in Wireless Communications (SPAWC), Cesme, Turkey, 17–20 June 2012; pp. 429–433. [Google Scholar]
- Basgumus, A.; Namdar, M.; Alakoca, H.; Erdogan, E.; Durak-Ata, L. Interference Alignment in Multi-Input Multi-Output Cognitive Radio-Based Network. In Cognitive Radio in 4G/5G Wireless Communication Systems; IntechOpen: Rijeka, Croita, 2018. [Google Scholar]
- Ata, S.Ö.; Altunbaş, İ. Analog network coding over cascaded fast fading Rayleigh channels in the presence of self-interference. In Proceedings of the 2016 24th Signal Processing and Communication Application Conference (SIU), Zonguldak, Turkey, 16–19 May 2016; pp. 253–256. [Google Scholar]
- Alakoca, H. Linear Interference Alignment in Cognitive Radio Networks; Istanbul Technical University, Informatics Institute: Istanbul, Turkey, 2018. [Google Scholar]
- Sung, H.; Park, S.H.; Lee, K.J.; Lee, I. Linear precoder designs for K-user interference channels. IEEE Trans. Wirel. Commun. 2010, 9, 291–301. [Google Scholar] [CrossRef]
- Ikki, S.; Ahmed, M.H. Performance analysis of cooperative diversity wireless networks over Nakagami-m fading channel. IEEE Commun. Lett. 2007, 11, 334–336. [Google Scholar] [CrossRef]
- Lo, T.K. Maximum ratio transmission. In Proceedings of the IEEE International Conference on Communications (ICC’99), Vancouver, BC, Canada, 6–10 June 1999; Volume 2, pp. 1310–1314. [Google Scholar]
- Spanier, J.; Oldham, K.B. An Atlas of Functions; Hemisphere: Washington, DC, USA, 1987. [Google Scholar]
- Alakoca, H.; Ustunbas, S.; Namdar, M.; Basgumus, A.; Erdogan, E.; Durak-Ata, L. System performance of interference alignment in MIMO cognitive radio networks under interference leakage. In Proceedings of the IEEE 41st International Conference on Telecommunications and Signal Processing, Izmir, Turkey, 2–5 May 2018; Volume 2, pp. 569–572. [Google Scholar]






| Parameter | Definition |
|---|---|
| M | The number of transmit and receive antennas |
| K | Number of hops |
| L | Number of primary users |
| H | Channel coefficient matrix |
| V | Precoding matrix |
| U | Linear suppression matrix |
| Q | QR decomposition matrix |
| S | Singular-value decomposition matrix |
| The interference leakage coefficient |
© 2018 by the authors. Licensee MDPI, Basel, Switzerland. This article is an open access article distributed under the terms and conditions of the Creative Commons Attribution (CC BY) license (http://creativecommons.org/licenses/by/4.0/).
Share and Cite
Erdogan, E.; Çolak, S.A.; Alakoca, H.; Namdar, M.; Basgumus, A.; Durak-Ata, L. Interference Alignment in Multi-Hop Cognitive Radio Networks under Interference Leakage. Appl. Sci. 2018, 8, 2486. https://doi.org/10.3390/app8122486
Erdogan E, Çolak SA, Alakoca H, Namdar M, Basgumus A, Durak-Ata L. Interference Alignment in Multi-Hop Cognitive Radio Networks under Interference Leakage. Applied Sciences. 2018; 8(12):2486. https://doi.org/10.3390/app8122486
Chicago/Turabian StyleErdogan, Eylem, Sultan Aldırmaz Çolak, Hakan Alakoca, Mustafa Namdar, Arif Basgumus, and Lutfiye Durak-Ata. 2018. "Interference Alignment in Multi-Hop Cognitive Radio Networks under Interference Leakage" Applied Sciences 8, no. 12: 2486. https://doi.org/10.3390/app8122486
APA StyleErdogan, E., Çolak, S. A., Alakoca, H., Namdar, M., Basgumus, A., & Durak-Ata, L. (2018). Interference Alignment in Multi-Hop Cognitive Radio Networks under Interference Leakage. Applied Sciences, 8(12), 2486. https://doi.org/10.3390/app8122486

