Effects of a Reduced Effective Active Region Volume on Wavelength-Dependent Efficiency Droop of InGaN-Based Light-Emitting Diodes
Abstract
1. Introduction
2. Methodology
3. Experiments
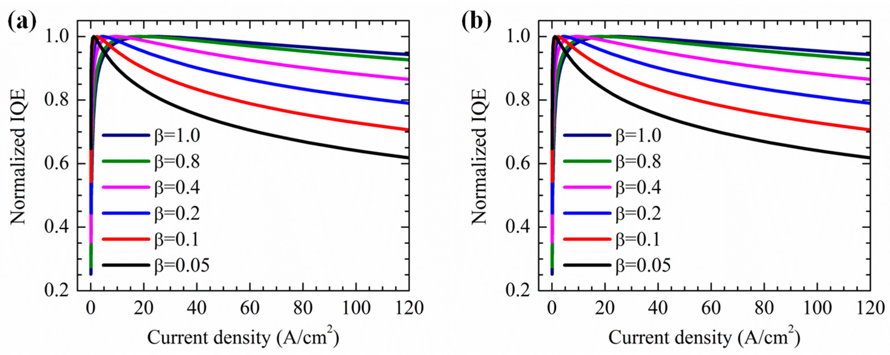
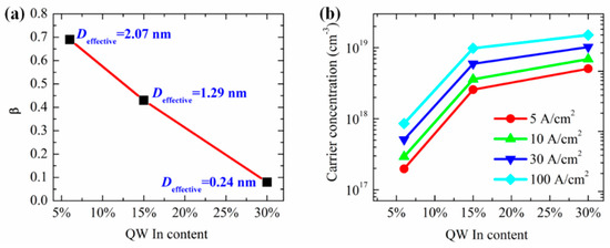
4. Results and Discussion
5. Conclusions
Author Contributions
Funding
Conflicts of Interest
References
- Shen, Y.C.; Müller, G.O.; Watanabe, S.; Gardner, N.F.; Munkholm, A.; Krames, M.R. Auger recombination in InGaN measured by photoluminescence. Appl. Phys. Lett. 2007, 91, 141101. [Google Scholar] [CrossRef]
- Delaney, K.T.; Rinke, P.; Van de Walle, C.G. Auger recombination rates in nitrides from first principles. Appl. Phys. Lett. 2009, 94, 191109. [Google Scholar] [CrossRef]
- Iveland, J.; Martinelli, L.; Peretti, J.; Speck, J.S.; Weisbuch, C. Direct Measurement of Auger Electrons Emitted from a Semiconductor Light-Emitting Diode under Electrical Injection: Identification of the Dominant Mechanism for Efficiency Droop. Phys. Rev. Lett. 2013, 110, 177406. [Google Scholar] [CrossRef] [PubMed]
- Schubert, M.F.; Chhajed, S.; Kim, J.K.; Schubert, E.F.; Koleske, D.D.; Crawford, M.H.; Lee, S.R.; Fischer, A.J.; Thaler, G.; Banas, M.A. Effect of dislocation density on efficiency droop in light-emitting diodes. Appl. Phys. Lett. 2007, 91, 231114. [Google Scholar] [CrossRef]
- Piprek, J.; Li, S. Electron leakage effects on GaN-based light-emitting diodes. Appl. Phys. Lett. 2010, 42, 89–95. [Google Scholar] [CrossRef]
- Xie, J.; Ni, X.F.; Fan, Q.; Shimada, R.; Özgür, Ü.; Morkoc, H. On the efficiency droop in InGaN multiple quantum well blue light emitting diodes and its reduction with -doped quantum well barriers. Appl. Phys. Lett. 2008, 93, 121107. [Google Scholar] [CrossRef]
- Li, H.; Kang, J.; Li, P.; Ma, J.; Wang, H.; Liang, M.; Li, Z.; Li, J.; Yi, X.; Wang, G. Enhanced performance of GaN based light-emitting diodes with a low temperature p-GaN hole injection layer. Appl. Phys. Lett. 2013, 102, 011105. [Google Scholar] [CrossRef]
- Zhang, Z.-H.; Ju, Z.G.; Tan, S.T.; Kyaw, Z.; Liu, W.; Ji, Y.; Zhang, X.L.; Hasanov, N.; Sun, X.W.; Demir, H.V. Improving hole injection efficiency by manipulating the hole transport mechanism through p-type electron blocking layer engineering. Opt. Lett. 2014, 39, 2483. [Google Scholar] [CrossRef] [PubMed]
- Yang, Y.; Cao, X.A.; Yan, C.H. Rapid efficiency roll-off in high-quality green light-emitting diodes on freestanding GaN substrates. Appl. Phys. Lett. 2009, 94, 041117. [Google Scholar] [CrossRef]
- Shin, D.S.; Han, D.P.; Oh, J.Y.; Shim, J.I. Study of droop phenomena in InGaN-based blue and green light-emitting diodes by temperature-dependent electroluminescence. Appl. Phys. Lett. 2012, 100, 153506. [Google Scholar] [CrossRef]
- Dai, Q.; Shan, Q.F.; Cho, J.H.; Schubert, E.F.; Crawford, M.H.; Koleske, D.D.; Kim, M.H.; Park, Y.J. On the symmetry of efficiency-versus-carrier-concentration curves in GaInN/GaN light-emitting diodes and relation to droop-causing mechanisms. Appl. Phys. Lett. 2011, 98, 033506. [Google Scholar] [CrossRef]
- Laubsch, A.; Sabathil, M.; Bergbauer, W.; Strassburg, M.; Lugauer, H.; Peter, M.; Lutgen, S.; Linder, N.; Streubel, K.; Hader, J.; et al. On the origin of IQE-’droop’in InGaN LEDs. Phys. Status Solidi C 2009, 6, S913–S916. [Google Scholar] [CrossRef]
- Verzellesi, G.; Saguatti, D.; Meneghini, M.; Bertazzi, F.; Goano, M.; Meneghesso, G.; Zanoni, E. Efficiency droop in InGaN/GaN blue light-emitting diodes: Physical mechanisms and remedies. J. Appl. Phys. 2013, 114, 071101. [Google Scholar] [CrossRef]
- Karpov, S. ABC-model for interpretation of internal quantum efficiency and its droop in III-nitride LEDs: A review. Opt. Quantum Electron. 2015, 47, 1293–1303. [Google Scholar] [CrossRef]
- Li, H.; Li, P.; Kang, J.; Li, Z.; Zhang, Y.; Liang, M.; Li, Z.; Li, J.; Yi, X.; Wang, G. Analysis model for efficiency droop of InGaN light-emitting diodes based on reduced effective volume of active region by carrier localization. Appl. Phys. Express 2013, 6, 092101. [Google Scholar] [CrossRef]
- Jeong, H.; Jeong, H.J.; Min Oh, H.; Hong, C.-H.; Suh, E.-K.; Leronde, G. Carrier localization in In-rich InGaN/GaN multiple quantum wells for green light-emitting diodes. Sci. Rep. 2015, 5, 9373. [Google Scholar] [CrossRef] [PubMed]
- Watson-Parris, D.; Godfrey, M.J.; Dawson, P.; Oliver, R.A.; Galtrey, M.J.; Kappers, M.J.; Humphreys, C.J. Carrier localization mechanisms in InGaN/GaN quantum wells. Phys. Rev. B 2011, 83, 115321. [Google Scholar] [CrossRef]
- Yang, T.-J.; Shivaraman, R.; Speck, J.S.; Wu, Y.-R. The influence of random indium alloy fluctuations in indium gallium nitride quantum wells on the device behavior. J. Appl. Phys. 2014, 116, 113104. [Google Scholar] [CrossRef]
- Okamoto, K.; Kaneta, A.; Kawakami, Y.; Fujita, S.; Choi, J.; Terazima, M.; Mukai, T. Confocal microphotoluminescence of InGaN-based light-emitting diodes. J. Appl. Phys. 2005, 98, 064503. [Google Scholar] [CrossRef]
- Gardner, N.F.; Müller, G.O.; Shen, Y.C.; Chen, G.; Watanabe, S.; Göez, W.; Krames, M.R. Blue-emitting InGaN–GaN double-heterostructure light-emitting diodes reaching maximum quantum efficiency above. Appl. Phys. Lett. 2007, 91, 243506. [Google Scholar] [CrossRef]
- Ryu, H.Y.; Shin, D.S.; Shim, J.I. Analysis of efficiency droop in nitride light-emitting diodes by the reduced effective volume of InGaN active material. Appl. Phys. Lett. 2012, 100, 131109. [Google Scholar] [CrossRef]
- Li, P.; Li, H.; Wang, L.; Yi, X.; Wang, G. High Quantum Efficiency and Low Droop of 400-nm InGaN Near-ultraviolet light-emitting diodes through suppressed leakage current. IEEE J. Quantum Electron. 2015, 51, 3300605. [Google Scholar] [CrossRef]
- Dai, Q.; Shan, Q.; Wang, J.; Chhajed, S.; Cho, J.; Schubert, E.F.; Crawford, M.H.; Koleske, D.D.; Kim, M.-H.; Park, Y. Carrier recombination mechanisms and efficiency droop in GaInN/GaN light-emitting diodes. Appl. Phys. Lett. 2010, 97, 133507. [Google Scholar] [CrossRef]
- Ryu, H.Y.; Shim, J.I. Effect of current spreading on the efficiency droop of InGaN light-emitting diodes. Opt. Express 2011, 19, 2886–2894. [Google Scholar] [CrossRef] [PubMed]
- Kioupakis, E.; Rinke, P.; Delaney, K.T.; Van de Walle, C.G. Indirect Auger recombination as a cause of efficiency droop in nitride light-emitting diodes. Appl. Phys. Lett. 2011, 98, 161107. [Google Scholar] [CrossRef]
- Chen, J.R.; Wu, Y.C.; Ling, S.C.; Ko, T.S.; Lu, T.C.; Kuo, H.C.; Kuo, Y.K.; Wang, S.C. Investigation of wavelength-dependent efficiency droop in InGaN light-emitting diodes. Appl. Phys. B 2010, 98, 779–789. [Google Scholar] [CrossRef]
- Kaneta, A.; Funato, M.; Kawakami, Y. Nanoscopic recombination processes in InGaN/GaN quantum wells emitting violet, blue, and green spectra. Phys. Rev. B 2008, 78, 125317. [Google Scholar] [CrossRef]
- Li, H.; Khoury, M.; Bonef, B.; Alhassan, A.I.; Mughal, A.J.; Azimah, E.; De Mierry, P.; Nakamura, S.; Speck, J.S.; DenBaars, S.P. Efficient Semipolar (11-22) 550 nm Yellow/Green InGaN Light-Emitting Diodes on Low Defect Density (11-22) GaN/Sapphire Templates. ACS Appl. Mater. Interfaces 2017, 9, 36417. [Google Scholar] [CrossRef] [PubMed]
- Li, P.; Li, H.; Li, Z.; Kang, J.; Yi, X.; Li, J.; Wang, G. Strong carrier localization effect in carrier dynamics of 585 nm InGaN amber light-emitting diodes. J. Appl. Phys. 2015, 117, 073101. [Google Scholar] [CrossRef]
- Lee, Y.J.; Chiu, C.H.; Ke, C.C.; Lin, P.C.; Lu, T.C.; Kuo, H.C.; Wang, S.C. Study of the excitation power dependent internal quantum efficiency in InGaN/GaN LEDs grown on patterned sapphire substrate. IEEE J. Sel. Top. Quantum Electron. 2009, 15, 1137–1143. [Google Scholar]
- Ryou, J.-H.; Douglas Yoder, P.; Liu, J.; Lochner, Z.; Kim, H.; Choi, S.; Kim, H.J.; Dupuis, R.D. Control of quantum-confined stark effect in InGaN-based quantum wells. IEEE J. Sel. Top. Quantum Electron. 2009, 15, 1080–1091. [Google Scholar] [CrossRef]
- Pan, C.-C.; Tanaka, S.; Wu, F.; Zhao, Y.; Speck, J.S.; Nakamura, S.; DenBaars, S.P.; Feezell, D. High-power, low-efficiency-droop semipolar (2021) single-quantum-well blue light-emitting diodes. Appl. Phys. Express 2012, 5, 062103. [Google Scholar] [CrossRef]
- Ling, S.-C.; Lu, T.-C.; Chang, S.-P.; Chen, J.-R.; Kuo, H.-C.; Wang, S.-C. Low efficiency droop in blue-green m-plane InGaN/GaN light emitting diodes. Appl. Phys. Lett. 2010, 96, 231101. [Google Scholar] [CrossRef]





© 2018 by the authors. Licensee MDPI, Basel, Switzerland. This article is an open access article distributed under the terms and conditions of the Creative Commons Attribution (CC BY) license (http://creativecommons.org/licenses/by/4.0/).
Share and Cite
Li, P.; Zhao, Y.; Yi, X.; Li, H. Effects of a Reduced Effective Active Region Volume on Wavelength-Dependent Efficiency Droop of InGaN-Based Light-Emitting Diodes. Appl. Sci. 2018, 8, 2138. https://doi.org/10.3390/app8112138
Li P, Zhao Y, Yi X, Li H. Effects of a Reduced Effective Active Region Volume on Wavelength-Dependent Efficiency Droop of InGaN-Based Light-Emitting Diodes. Applied Sciences. 2018; 8(11):2138. https://doi.org/10.3390/app8112138
Chicago/Turabian StyleLi, Panpan, Yongbing Zhao, Xiaoyan Yi, and Hongjian Li. 2018. "Effects of a Reduced Effective Active Region Volume on Wavelength-Dependent Efficiency Droop of InGaN-Based Light-Emitting Diodes" Applied Sciences 8, no. 11: 2138. https://doi.org/10.3390/app8112138
APA StyleLi, P., Zhao, Y., Yi, X., & Li, H. (2018). Effects of a Reduced Effective Active Region Volume on Wavelength-Dependent Efficiency Droop of InGaN-Based Light-Emitting Diodes. Applied Sciences, 8(11), 2138. https://doi.org/10.3390/app8112138
