Blind Detection for Serial Relays in Free Space Optical Communication Systems
Abstract
:Featured Application
Abstract
1. Introduction
- The combined advantages of blind detection and assisted relays motivated the research group to investigate the combined system in more details.
- Approximated average BER, which was not derived earlier in [7,13], is derived within the paper. Although the derivation of the analytical model is more difficult than the Monte Carlo simulation, it allows a better understanding of the proposed system and an easier comparison between the proposed model and other ones.
- The Monte Carlo simulation verifies the correctness of the derived expression.
- The obtained results show the closeness of the employed method using small windows compared with channel state information.
- The new results would promote the use of blind detection for more applications.
2. System Model
2.1. Channel Model
2.2. Data Detection
2.2.1. For Perfect CSI
2.2.2. For Blind Data Detection
3. Derivation of Closed Form Average BER Expression
Average BER for Log-Normal Channel
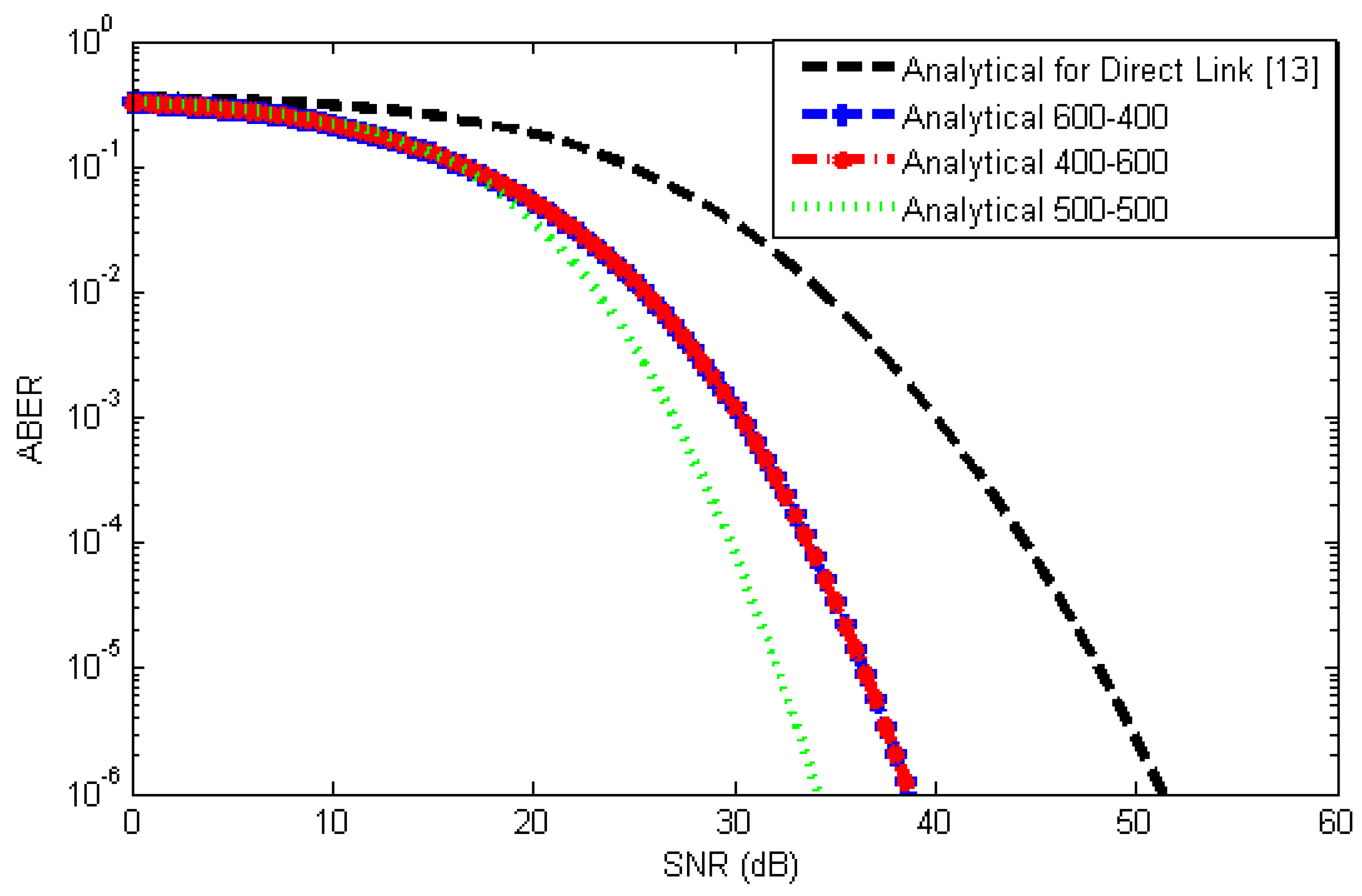
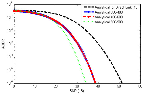
4. Numerical Results and Discussion
5. Conclusions
Author Contributions
Funding
Conflicts of Interest
References
- Khalighi, M.A.; Uysal, M. Survey on free space optical communication: A communication theory perspective. IEEE Commun. Surv. Tutor. 2014, 16, 2231–2258. [Google Scholar] [CrossRef]
- Kaushal, H.; Kaddoum, G. Optical communication in space: challenges and mitigation techniques. IEEE Commun. Surv. Tutor. 2017, 19, 57–96. [Google Scholar] [CrossRef]
- Pham, H.T.T.; Dang, N.T.; Vu, L.T.; Bui, H.T. A survey of performance improvement methods for free-space optical communication systems. Presented at the International Conference on Advanced Technologies for Communications (ATC 2014), Hanoi, Vietnam, 15–17 October 2014. [Google Scholar]
- Mansour, A.; Mesleh, R.; Abaza, M. New challenges in wireless and free space optical communications. Opt. Lasers Eng. 2017, 89, 95–108. [Google Scholar] [CrossRef]
- Toyoshima, M.; Takayama, Y. Free-Space Laser Communications: The Japanese Experience. Presented at the 35th European Conference on Optical Communication, Vienna, Austria, 20–24 October 2009. [Google Scholar]
- Abaza, M.R.; Mesleh, R.; Mansour, A.; Aggoune, E.M. Relay selection for full-duplex FSO relays over turbulent channels. Presented at the 2016 IEEE International Symposium, Limassol, Cyprus, 12–14 December 2016. [Google Scholar]
- Dabiri, M.T.; Sadough, S.M.S. Generalized blind detection of OOK modulation for free-space optical communication. IEEE Commun. Lett. 2017, 21, 2170–2173. [Google Scholar] [CrossRef]
- Chowdhury, M.Z.; Hossan, M.D.T.; Islam, A.; Jang, Y.M.A. Comparative survey of optical wireless technologies: architectures and applications. IEEE Access 2018, 6, 9819–9840. [Google Scholar] [CrossRef]
- Ijaz, M.; Ghassemlooy, Z.; Le Minh, H.; Rajbhandari, S.; Perez, J.; Gholami, A. Bit error rate measurement of free space optical communication links under laboratory-controlled fog conditions. Presented at the 16th European Conference on Networks and Optical Communications, Newcastle Upon Tyne, UK, 20–22 July 2011. [Google Scholar]
- Abadi, M.; Zabih, G.; Bhatnagar, M.; Zvanovec, S.; Khalighi, M.; Maheri, A. Using differential signalling to mitigate pointing errors effect in FSO communication link. Presented at the IEEE International Conference on Communications Workshops (ICC), Kuala Lumpur, Malaysia, 23–27 May 2016. [Google Scholar]
- Song, T.; Wu, M.-W.; Kam, P.-Y. Mitigation of the background radiation for free-space optical IM/DD systems. IEEE Commun. Lett. 2018, 22, 292–295. [Google Scholar] [CrossRef]
- Mroueh, L. Extended golden light code for FSO-MIMO communications with time diversity. IEEE Trans. Commun. 2018. [Google Scholar] [CrossRef]
- Dabiri, M.T.; Sadough, S.M.S.; Safi, H. Closed-form error probability of blind detection for free space optical systems. Presented at the 8th International Symposium on Telecommunications (IST), Tehran, Iran, 27–28 September 2016. [Google Scholar]
- Abaza, M.; Mesleh, R.; Mansour, A.; Aggoune, E.M. Diversity techniques for a free-space optical communication system in correlated log-normal channels. Opt. Eng. 2014, 53, 1–6. [Google Scholar] [CrossRef]
- Dabiri, M.T.; Sadough, S.M.S.; Safi, H. GLRT-based sequence detection of OOK modulation over FSO turbulence channels. IEEE Photonics Technol. Lett. 2017, 29, 1494–1497. [Google Scholar] [CrossRef]
- Dabiri, M.T.; Sadough, S.M.S.; Khalighi, M.A. FSO channel estimation for OOK modulation with APD receiver over atmospheric turbulence and pointing errors. Opt. Commun. 2017, 402, 577–584. [Google Scholar] [CrossRef]
- Dabiri, M.T.; Sadough, S.M.S. Performance analysis of EM-based blind detection for ON–OFF keying modulation over atmospheric optical channels. Opt. Commun. 2018, 413, 299–303. [Google Scholar] [CrossRef]
- Riediger, M.L.B.; Schober, R.; Lampe, L. Blind detection of on-off keying for free-space optical communications. Presented at the 2008 Canadian Conference on Electrical and Computer Engineering, Niagara Falls, ON, Canada, 4–7 May 2008. [Google Scholar]
- Mansour Abadi, M.; Ghassemlooy, Z.; Bhatnagar, M.R.; Zvanovec, S.; Khalighi, M.-A.; Lavery, M.P.J. Differential signalling in free-space optical communication Ssystems. Appl. Sci. 2018, 8, 872. [Google Scholar] [CrossRef]
- Chatzidiamantis, N.D.; Uysal, M.; Tsiftsis, T.A.; Karagiannidis, G.K. Iterative near maximum-likelihood sequence detection for MIMO optical wireless systems. J. Lightwave Technol. 2009, 28, 1064–1070. [Google Scholar] [CrossRef]
- Kiasaleh, K. Performance of APD-based, PPM free-space optical communication systems in atmospheric turbulence. IEEE Trans. Commun. 2005, 53, 1455–1461. [Google Scholar] [CrossRef]
- Abramowitz, M.; Stegun, I.A. Handbook of Mathematical Functions with Formulas, Graphs, and Mathematical Tables, 9th ed.; Dover Publication: New York, NY, USA, 1972. [Google Scholar]
- Chatzidiamantis, N.D.; Michalopoulos, D.S.; Kriezis, E.E.; Karagiannidis, G.K.; Schober, R. Relay selection protocols for relay-assisted free-space optical systems. IEEE/OSA J. Opt. Commun. Netw. 2013, 5, 92–103. [Google Scholar] [CrossRef]





| Reference Number | Pros | Cons |
|---|---|---|
| [7] | Novel data detection methodology | No mathematical model |
| [13] | Two decision steps | Monte Carlo simulations is missing |
| [15] | Gamma-gamma channel which covers moderate to strong range of atmospheric turbulence | Missing of weak turbulence regime |
| [16] | Proposed data efficient channel estimation method | Single iteration method |
| [18] | Two decision steps | No closed form equation |
| Symbol | Value |
|---|---|
| 1 km | |
| 1 mrad |
| Atmospheric Turbulence | Link Type | Standard Deviation of the First Hop | Standard Deviation of the Second Hop |
|---|---|---|---|
| Weak Turbulence | Direct | 0.1572 | |
| Dual-hop 500-500 | 0.0833 | 0.0833 | |
| Dual-hop 600-400 | 0.0984 | 0.0679 | |
| Dual-hop 400-600 | 0.0679 | 0.0984 | |
| Moderate Turbulence | Direct | 0.3145 | |
| Dual-hop 500-500 | 0.1666 | 0.1666 | |
| Dual-hop 600-400 | 0.196 | 0.1358 | |
| Dual-hop 400-600 | 0.1358 | 0.196 |
© 2018 by the authors. Licensee MDPI, Basel, Switzerland. This article is an open access article distributed under the terms and conditions of the Creative Commons Attribution (CC BY) license (http://creativecommons.org/licenses/by/4.0/).
Share and Cite
Elbawab, M.; Abaza, M.; H. Aly, M. Blind Detection for Serial Relays in Free Space Optical Communication Systems. Appl. Sci. 2018, 8, 2074. https://doi.org/10.3390/app8112074
Elbawab M, Abaza M, H. Aly M. Blind Detection for Serial Relays in Free Space Optical Communication Systems. Applied Sciences. 2018; 8(11):2074. https://doi.org/10.3390/app8112074
Chicago/Turabian StyleElbawab, Mohamed, Mohamed Abaza, and Moustafa H. Aly. 2018. "Blind Detection for Serial Relays in Free Space Optical Communication Systems" Applied Sciences 8, no. 11: 2074. https://doi.org/10.3390/app8112074
APA StyleElbawab, M., Abaza, M., & H. Aly, M. (2018). Blind Detection for Serial Relays in Free Space Optical Communication Systems. Applied Sciences, 8(11), 2074. https://doi.org/10.3390/app8112074

