Performance Analysis of Satellite-to-Ground Coherent Optical Communication System with Aperture Averaging
Abstract
1. Introduction
2. Atmosphere Channel
2.1. Scintillation Index with Aperture Averaging
2.2. Log-Normal Model
3. Receiver Model
4. Performance Analysis
4.1. Bit Error Rate
4.2. Outage Probability
4.3. Average Capacity
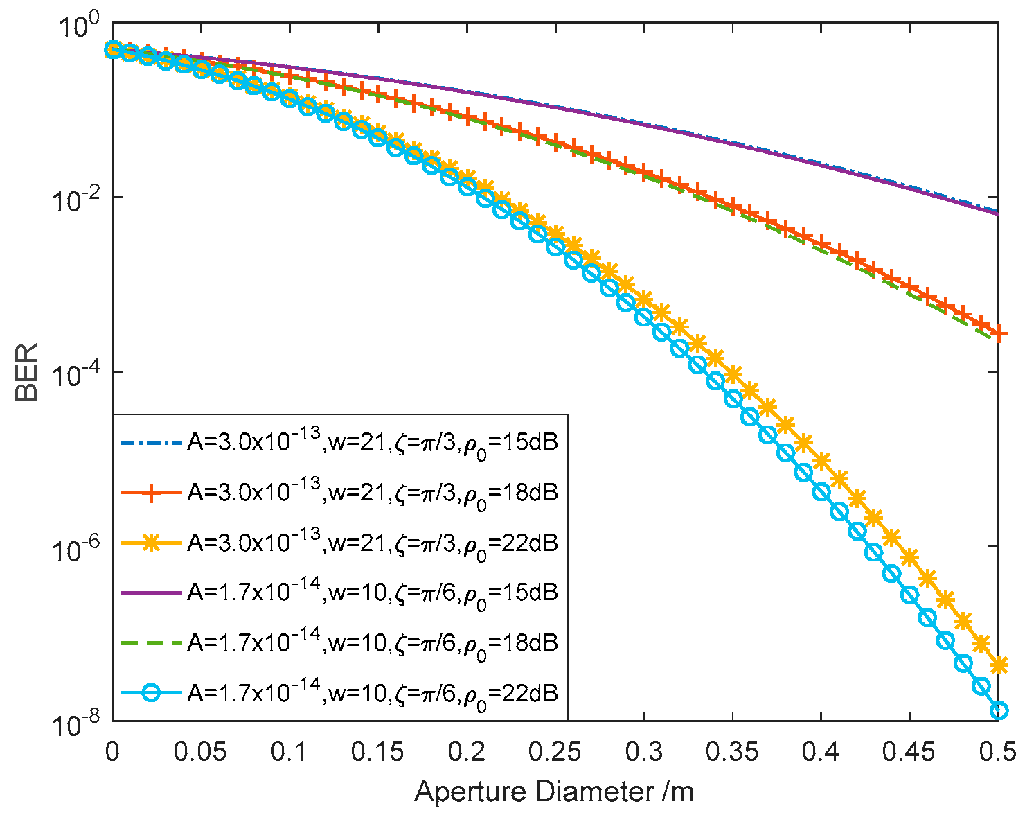
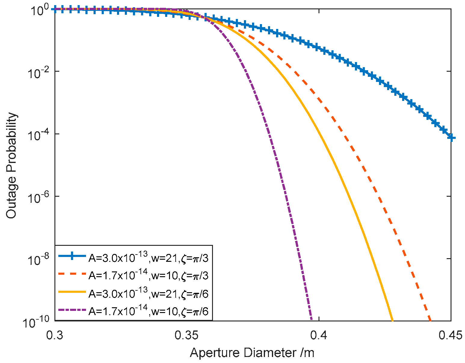
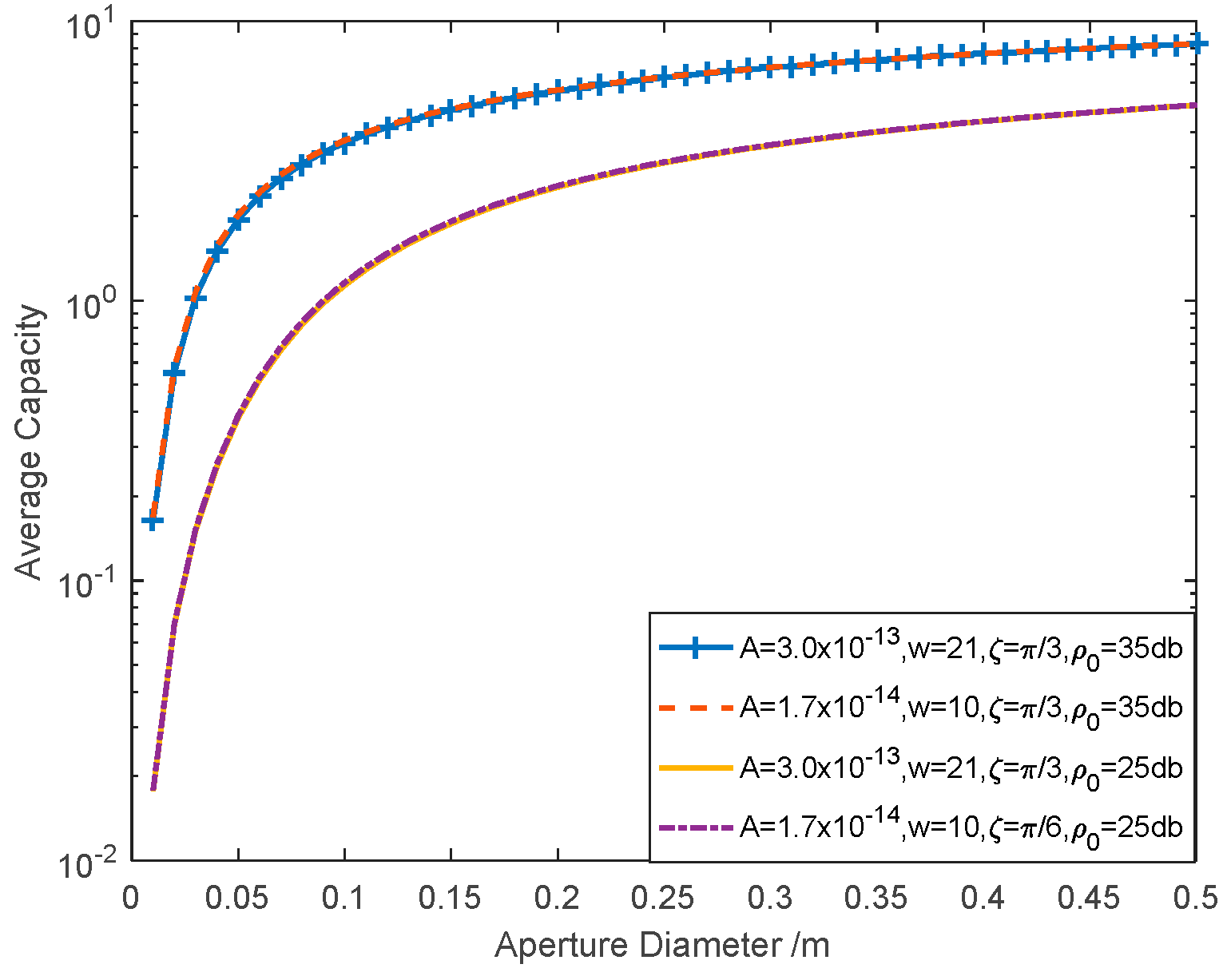
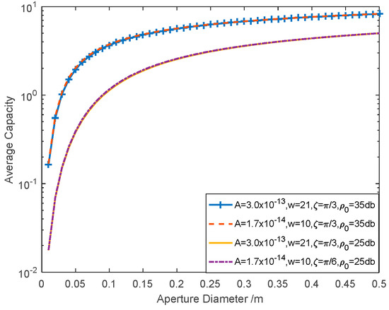
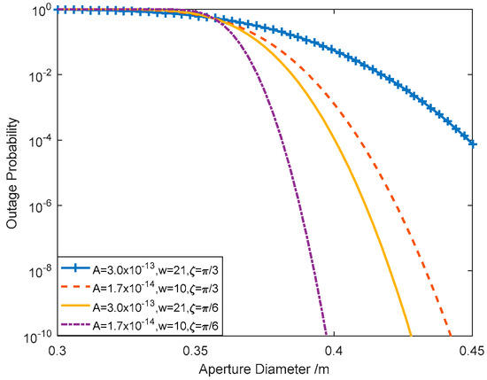
5. Numerical Results
6. BER Performance Based on Measuring Data
7. Conclusions and Future Work
Author Contributions
Acknowledgments
Conflicts of Interest
References
- Kaushal, H.; Kaddoum, G. Optical communication in space: Challenges and mitigation techniques. IEEE Commun. Surv. Tutor. 2017, 19, 57–96. [Google Scholar] [CrossRef]
- Khatri, F.I.; Robinson, B.S.; Semprucci, M.D.; Boroson, D.M. Lunar laser communication demonstration operations architecture. Acta Astronaut. 2015, 111, 77–83. [Google Scholar] [CrossRef]
- Niu, M.; Song, X.; Cheng, J.; Holzman, J.F. Performance analysis of coherent wireless optical communications with atmospheric turbulence. Opt. Express 2012, 20, 6515–6521. [Google Scholar] [CrossRef]
- Niu, M.; Cheng, J.; Holzman, J.F. Error rate analysis of M-Ary coherent free-space optical communication systems with k-distributed turbulence. IEEE Trans. Commun. 2011, 59, 664–668. [Google Scholar] [CrossRef]
- Faruk, M.S.; Louchet, H.; Erkılınç, M.S.; Savory, S.J. DSP algorithms for recovering single-carrier Alamouti coded signals for PON applications. Opt. Express 2016, 24, 24083–24091. [Google Scholar] [CrossRef] [PubMed]
- Schaefer, S.; Gregory, M.; Rosenkranz, W. Coherent receiver design based on digital signal processing in optical high-speed intersatellite links with M-phase-shift keying. Opt. Eng. 2016, 55, 111614. [Google Scholar] [CrossRef]
- Kazovsky, L.G.; Kalogerakis, G.; Shaw, W.T. Homodyne phase-shift-keying systems: Past challenges and future opportunities. J. Light. Technol. 2006, 24, 4876–4884. [Google Scholar] [CrossRef]
- Khalighi, M.A.; Uysal, M. Survey on free space optical communication: A communication theory perspective. IEEE Commun. Surv. Tutor. 2014, 16, 2231–2258. [Google Scholar] [CrossRef]
- Yuksel, H.; Milner, S.; Davis, C. Aperture averaging for optimizing receiver design and system performance on free-space optical communication links. J. Opt. Netw. 2005, 4, 462–475. [Google Scholar] [CrossRef]
- Khalighi, M.A.; Schwartz, N.; Aitamer, N.; Bourennane, S. Fading reduction by aperture averaging and spatial diversity in optical wireless systems. IEEE/OSA J. Opt. Commun. Netw. 2009, 1, 580–593. [Google Scholar] [CrossRef]
- Samimi, H.; Akhavan, F. FSO communication with EGC diversity receiver over double generalised gamma turbulence channel. IET Optoelectron. 2017, 11, 253–258. [Google Scholar] [CrossRef]
- Priyadarshani, R.; Bhatnagar, M.R.; Ghassemlooy, Z.; Zvanovec, S. Outage analysis of a SIMO FSO system over an arbitrarily correlated a M-distributed channel. IEEE Photonics Technol. Lett. 2018, 30, 141–144. [Google Scholar] [CrossRef]
- Lyke, S.D.; Voelz, D.G.; Roggemann, M.C. Probability density of aperture-averaged irradiance fluctuations for long range free space optical communication links. Appl. Opt. 2009, 48, 6511–6527. [Google Scholar] [CrossRef] [PubMed]
- Tsiftsis, T.A.; Sandalidis, H.G.; Karagiannidis, G.K.; Uysal, M. Optical wireless links with spatial diversity over strong atmospheric turbulence channels. IEEE Trans. Wirel. Commun. 2009, 8, 951–957. [Google Scholar] [CrossRef]
- Holzman, J.F.; Cheng, J.; Niu, M. MIMO architecture for coherent optical wireless communication: System design and performance. IEEE/OSA J. Opt. Commun. Netw. 2013, 5, 411–420. [Google Scholar]
- Kaur, P.; Jain, V.K.; Kar, S. Performance analysis of free space optical links using multi-input multi-output and aperture averaging in presence of turbulence and various weather conditions. Commun. IET 2015, 9, 1104–1109. [Google Scholar] [CrossRef]
- Viswanath, A.; Jain, V.K.; Kar, S. Aperture averaging and receiver diversity for FSO downlink in presence of atmospheric turbulence and weather conditions for OOK, M-PPM and M-DPPM schemes. Opt. Quantum Electron. 2016, 48, 435. [Google Scholar] [CrossRef]
- Ma, J.; Li, K.; Tan, L.; Yu, S.; Cao, Y. Performance analysis of satellite-to-ground downlink coherent optical communications with spatial diversity over gamma-gamma atmospheric turbulence. Appl. Opt. 2015, 54, 7575–7585. [Google Scholar] [CrossRef]
- Andrews, L.C.; Phillips, R.L. Laser Beam Propagation through Random Media, 2nd ed.; SPIE Press: Washington, DC, USA, 2005; pp. 481–496. [Google Scholar]
- Andrews, L.C.; Phillips, R.L.; Hopen, C.Y. Scintillation model for a satellite communication link at large zenith angles. Opt. Eng. 2000, 39, 3272–3280. [Google Scholar]
- Proakis, J.G.; Salehi, M. Digital Communications, 5th ed.; McGraw-Hill: New York, NY, USA, 2008; pp. 190–193. [Google Scholar]
- Liu, C.; Yao, Y.; Sun, Y.; Zhao, X. Average capacity for heterodyne fso communication systems over gamma-gamma turbulence channels with pointing errors. Electron. Lett. 2010, 46, 851–853. [Google Scholar] [CrossRef]
- Ghassemlooy, Z.; Popoola, W.; Rajbhandari, S. Optical Wireless Communications: System and Channel Modelling with MATLAB; CRC Press: New York, NY, USA, 2012; pp. 133–135. [Google Scholar]
- Jian, H.; Ke, D.; Chao, L.; Peng, Z.; Dagang, J.; Zhoushi, Y. Effectiveness of adaptive optics system in satellite-to-ground coherent optical communication. Opt. Express 2014, 22, 16000–16007. [Google Scholar] [CrossRef] [PubMed]









© 2018 by the authors. Licensee MDPI, Basel, Switzerland. This article is an open access article distributed under the terms and conditions of the Creative Commons Attribution (CC BY) license (http://creativecommons.org/licenses/by/4.0/).
Share and Cite
Li, H.; Huang, Y.; Wang, Q.; He, D.; Peng, Z.; Li, Q. Performance Analysis of Satellite-to-Ground Coherent Optical Communication System with Aperture Averaging. Appl. Sci. 2018, 8, 2496. https://doi.org/10.3390/app8122496
Li H, Huang Y, Wang Q, He D, Peng Z, Li Q. Performance Analysis of Satellite-to-Ground Coherent Optical Communication System with Aperture Averaging. Applied Sciences. 2018; 8(12):2496. https://doi.org/10.3390/app8122496
Chicago/Turabian StyleLi, Hongwei, Yongmei Huang, Qiang Wang, Dong He, Zhenming Peng, and Qing Li. 2018. "Performance Analysis of Satellite-to-Ground Coherent Optical Communication System with Aperture Averaging" Applied Sciences 8, no. 12: 2496. https://doi.org/10.3390/app8122496
APA StyleLi, H., Huang, Y., Wang, Q., He, D., Peng, Z., & Li, Q. (2018). Performance Analysis of Satellite-to-Ground Coherent Optical Communication System with Aperture Averaging. Applied Sciences, 8(12), 2496. https://doi.org/10.3390/app8122496

