Room Response Equalization—A Review
Abstract
1. Introduction
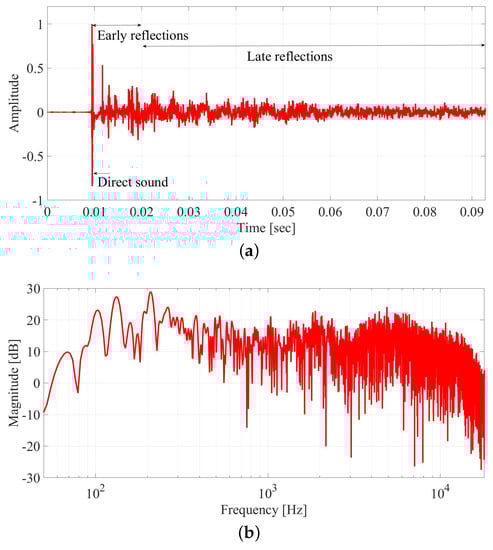
2. The Room Response and Its Perception
3. Invertibility of the Room Response
- When the room response is non-minimum-phase, an exact inverse cannot be implemented with a single sound source, since the inverse is either unstable or acausal.
- The exact equalization of the room response—or of its minimum-phase part—requires very long filters.
- Exact equalization is possible only in one location, and the extent of the equalized zone is just a fraction of the acoustic wavelength [6]. At high frequencies, the equalized zone can be smaller than the inter-aural distance of the ears (around 18 cm).
- The human ear is sensitive to the excess-phase of the RTF [53].
4. Equalizer Design Techniques
- Homomorphic filtering;
- Linear predictive coding (LPC) analysis;
- Least-squares (or other) optimization techniques;
- Frequency domain deconvolution;
- Multiple-input/multiple-output inverse theorem (MINT) solutions.
4.1. Homomorphic Filtering
4.2. LPC Analysis
4.3. Least-Squares Optimization Methods
4.4. Frequency Domain Deconvolution
4.5. Multiple-Input/Multiple-Output Inverse Theorem Methods
4.6. Alternative Classification of Equalizers
5. Pre-Processing Techniques
5.1. Short Filters
5.2. Non-Uniform Frequency Resolution
- Complex smoothing,
- Frequency warping,
- Kautz filters and parallel IIR filters with fixed poles,
- Multirate approaches.
5.2.1. Complex Smoothing
5.2.2. Frequency Warping
5.2.3. Kautz Filters and Parallel IIR Filters with Fixed Poles
5.2.4. Multirate Approaches
5.3. Room Impulse Response Reshaping
6. From Single-Point to Multi-Point Equalization
6.1. Average and Weighted Average Methods
6.2. Clustering Methods
6.3. Prototype Approach
6.4. Common Acoustical Poles Compensation
6.5. Modal Equalization
6.6. Plane Wave Approach
6.7. Other Low-Frequency RRE Approaches
6.8. Quasi-Anechoic Approach
7. Adaptive Single-Point and Multi-Point Equalization
7.1. SISO/SIMO Approaches
7.1.1. Time Domain Approaches
7.1.2. Frequency Domain Approaches
7.2. MISO/MIMO Approaches
8. Fixed and Adaptive Wave Domain Equalization
8.1. Physical Background
8.2. Wave-Domain Adaptive Filtering
8.3. Transform Domain Approaches
8.4. Room Geometry-Aware Methods
8.5. MIMO and SIMO Approaches
9. Evaluation Methods for RRE
9.1. Instrumental Measures
9.1.1. Spectral Deviation Measures
9.1.2. Sammon Map
9.1.3. Energy Decay Reliefs
9.1.4. Acoustic Parameters
9.2. Perceptual Evaluation
- ITU-R BS.1116-1 [242]: “Methods for subjective assessment of small impairments in audio systems including multichannel sound systems”,
- ITU-R BS.1534-1 [243]: “Method for the subjective assessment of intermediate quality level of coding systems”,
- ITU-R BS.1284-1 [244]: “General methods for the subjective assessment of sound quality”.
- reference sequence without equalization;
- same sequence, equalized with one of the selected equalization techniques;
- reference sequence without equalization (repeated);
- same sequence, equalized with one of the selected equalization techniques (repeated).
10. Emerging Topics and New Trends
10.1. Personal Sound Zones
10.2. Portable Devices
10.3. Nonlinear Equalization
10.4. Room Equalization with Moving Microphone
11. Conclusions
Author Contributions
Conflicts of Interest
References
- Karjalainen, M.; Paatero, T.; Mourjopoulos, J.N.; Hatziantoniou, P.D. About room response equalization and dereverberation. In Proceedings of the IEEE Workshop on Applications of Signal Processing to Audio and Acoustics (WASPAA), New Paltz, NY, USA, 14–16 October 2005; pp. 183–186. [Google Scholar]
- Hatziantoniou, P.D.; Mourjopoulos, J.N. Errors in real-time room acoustics dereverberation. J. Audio Eng. Soc. 2004, 52, 883–899. [Google Scholar]
- Karjalainen, M.; Esquef, P.A.A.; Antsalo, P.; Mäkivirta, A.; Välimäki, V. Frequency-zooming ARMA modeling of resonant and reverberant systems. J. Audio Eng. Soc. 2002, 50, 1012–1029. [Google Scholar]
- Mäkivirta, A.; Antsalo, P.; Karjalainen, M.; Välimäki, V. Low-frequency modal equalization of loudspeaker-room responses. In Proceedings of the 111th Audio Engineering Society Convention, New York, NY, USA, 30 November–3 December 2001; Volume 5480. [Google Scholar]
- Neely, S.T.; Allen, J.B. Invertibility of a room impulse response. J. Acoust. Soc. Am. 1979, 66, 165–169. [Google Scholar] [CrossRef]
- Mourjopoulos, J. On the variation and invertibility of room impulse response functions. J. Sound Vib. 1985, 102, 217–228. [Google Scholar] [CrossRef]
- Kyriakakis, C. Fundamental and technological limitations of immersive audio systems. Proc. IEEE 1998, 86, 941–951. [Google Scholar] [CrossRef]
- Mourjopoulos, J. Comments on “Analysis of traditional and reverberation-reducing methods of room equalization”. J. Audio Eng. Soc. 2003, 51, 1186–1188. [Google Scholar]
- Bharitkar, S.; Kyriakakis, C. Immersive Audio Signal Processing; Springer Science & Business Media: New York, NY, USA, 2006. [Google Scholar]
- Spors, S.; Buchner, H.; Rabenstein, R.; Herbordt, W. Active listening room compensation for massive multichannel sound reproduction systems using wave-domain adaptive filtering. J. Acoust. Soc. Am. 2007, 122, 354–369. [Google Scholar] [CrossRef] [PubMed]
- Välimäki, V.; Reiss, J.D. All about audio equalization: Solutions and frontiers. Appl. Sci. 2016, 6, 129. [Google Scholar] [CrossRef]
- Hacihabiboglu, H.; De Sena, E.; Cvetkovic, V.; Johnston, J.; Smith III, J.O. Perceptual spatial audio recording, simulation, and rendering: An overview of spatial-audio techniques based on psychoacoustics. IEEE Signal Process. Mag. 2017, 34, 36–54. [Google Scholar] [CrossRef]
- Kuttruff, H. Room Acoustics; CRC Press: Boca Raton, FL, USA, 2016. [Google Scholar]
- Defrance, G.; Daudet, L.; Polack, J.D. Using matching pursuit for estimating mixing time within room impulse responses. Acta Acust. United Acust. 2009, 6, 1071–1081. [Google Scholar] [CrossRef]
- Primavera, A.; Cecchi, S.; Li, J.; Piazza, F. Objective and Subjective Investigation on a Novel Method for Digital Reverberator Parameters Estimation. IEEE/ACM Trans. Audio Speech Lang. Process. 2014, 22, 441–452. [Google Scholar] [CrossRef]
- Wallach, H.; Newman, E.B.; Rosenzweig, M.R. A precedence effect in sound localization. J. Acoust. Soc. Am. 1949, 21, 468. [Google Scholar] [CrossRef]
- Haas, H. The influence of a single echo on the audibility of speech. J. Audio Eng. Soc. 1972, 20, 146–159. [Google Scholar]
- Walker, R. Equalization of room acoustics and adaptive systems in the equalization of small room acoustics. In Proceedings of the 15th International Audio Engineering Society Conference: Audio, Acoustics & Small Spaces, Copenhagen, Denmark, 31 October– 2 November 1998. [Google Scholar]
- Olive, S.E.; Toole, F.E. The detection of reflections in typical rooms. J. Audio Eng. Soc. 1989, 37, 539–553. [Google Scholar]
- Toole, F.E.; Olive, S.E. The modification of timbre by resonances: Perception and measurement. J. Audio Eng. Soc. 1988, 36, 122–142. [Google Scholar]
- Schuck, P.L.; Olive, S.E.; Ryan, J.G.; Toole, F.E.; Sally, S.; Bonneville, M.E.; Momtahan, K.L.; Verreault, E.S. Perception of perceived sound in rooms: some results of the Athena project. In Proceedings of the 12th International Audio Engineering Society Conference: The Perception of Reproduced Sound, Copenhagen, Denmark, 28–30 June 1993. [Google Scholar]
- Bech, S. Perception of reproduced sound: audibility of individual reflections in a complete sound field, II. In Proceedings of the 99th Audio Engineering Society Convention, New York, NY, USA, 6–9 October 1995. [Google Scholar]
- Bech, S. Timbral aspects of reproduced sound in small rooms. I. J. Acoust. Soc. Am. 1995, 97, 1717–1726. [Google Scholar] [CrossRef] [PubMed]
- Begault, D. Audible and inaudible early reflections: thresholds for auralization system design. In Proceedings of the 100th Audio Engineering Society Convention, Copenhagen, Denmark, 11–14 May 1996. [Google Scholar]
- Bech, S. Perception of reproduced sound: Audibility of individual reflections in a complete sound field, III. In Proceedings of the 100th Audio Engineering Society Convention, Copenhagen, Denmark, 11–14 May 1996. [Google Scholar]
- Bücklein, R. The audibility of frequency response irregularities. J. Audio Eng. Soc. 1981, 29, 126–131. [Google Scholar]
- Hikichi, T. Time variation of room acoustic transfer functions and its effect on a multi-microphone dereverberation approach. In Proceedings of the Workshop on Microphone Arrays: Theory, Design & Application, Piscataway, NJ, USA, October 1994. [Google Scholar]
- Omura, M.; Yada, M.; Saruwatari, H.; Kajita, S.; Takeda, K.; Itakura, F. Compensating of room acoustic transfer functions affected by change of room temperature. In Proceedings of the IEEE International Conference on Acoustics, Speech, and Signal Processing (ICASSP), Phoenix, AZ, USA, 15–19 March 1999; Volume 2, pp. 941–944. [Google Scholar]
- Kajita, S.; Takeda, K.; Itakura, F. Compensation of room acoustic transfer functions affected by the change of room temperature. In Proceedings of the 107th Audio Engineering Society Convention, New York, NY, USA, 24–27 September 1999. [Google Scholar]
- Bharitkar, S.; Kyriakakis, C. A classification scheme for acoustical room responses. In Proceedings of the IEEE Sixth International, Symposium on Signal Processing and its Applications, Kuala Lumpur, Malaysia, 13–16 August 2001; Volume 2, pp. 671–674. [Google Scholar]
- Bharitkar, S.; Hilmes, P.; Kyriakakis, C. Robustness of spatial averaging equalization methods: A statistical approach. In Proceedings of the IEEE Thirty-Sixth Asilomar Conference on Signals, Systems and Computers, Pacific Grove, CA, USA, 3–6 November 2002; Volume 1, pp. 184–187. [Google Scholar]
- Bharitkar, S.; Hilmes, P.; Kyriakakis, C. Sensitivity of multichannel room equalization to listener position. In Proceedings of the International Conference on Multimedia and Expo (ICME), Baltimore, MD, USA, 6–9 July 2003; Volume 1, p. I-721. [Google Scholar]
- Bharitkar, S.; Hilmes, P.; Kyriakakis, C. Robustness of spatial average equalization: A statistical reverberation model approach. J. Acoust. Soc. Am. 2004, 116, 3491–3497. [Google Scholar] [CrossRef] [PubMed]
- Lundeby, A.; Vigran, T.E.; Bietz, H.; Vorländer, M. Uncertainties of measurements in room acoustics. Acta Acust. United Acust. 1995, 81, 344–355. [Google Scholar]
- Hatziantoniou, P.D.; Mourjopoulos, J.N. Generalized fractional-octave smoothing of audio and acoustic responses. J. Audio Eng. Soc. 2000, 48, 259–280. [Google Scholar]
- Greenwood, D. A cochlear frequency-position function for several species—29 years later. J. Acoust. Soc. Am. 1990, 87, 2592–2605. [Google Scholar] [CrossRef] [PubMed]
- Stevens, S.S.; Volkmann, J.; Newman, E.B. A scale for the measurement of the psychological magnitude pitch. J. Acoust. Soc. Am. 1937, 8, 185–190. [Google Scholar] [CrossRef]
- Scharf, B. Critical bands. In Foundations of Modern Auditory Theory; Academic Press: New York, NY, USA, 1970; Volume 1. [Google Scholar]
- Moore, B.C.; Peters, R.W.; Glasberg, B.R. Auditory filter shapes at low center frequencies. J. Acoust. Soc. Am. 1990, 88, 132–140. [Google Scholar] [CrossRef] [PubMed]
- Moore, B.C.; Glasberg, B.R.; Plack, C.; Biswas, A. The shape of the ear’s temporal window. J. Acoust. Soc. Am. 1988, 83, 1102–1116. [Google Scholar] [CrossRef] [PubMed]
- Bilsen, F.A. The minimum integration time of the auditory system. In Proceedings of the 86th Audio Engineering Society Convention, Hamburg, Germany, 7–10 March 1989. [Google Scholar]
- Moore, B. An Introduction to the Psychology of Hearing; Emerald: Bingley, UK, 2012. [Google Scholar]
- Fielder, L.D. Analysis of traditional and reverberation-reducing methods of room equalization. J. Audio Eng. Soc. 2003, 51, 3–261. [Google Scholar]
- Zwicker, E.; Fastl, H. Psychoacoustics: Facts and models; Springer Science & Business Media: New York, NY, USA, 2013; Volume 22. [Google Scholar]
- Raab, D.H. Forward and backward masking between acoustic clicks. J. Acoust. Soc. Am. 1961, 33, 137–139. [Google Scholar] [CrossRef]
- Dolan, T.G.; Small, A.M., Jr. Frequency effects in backward masking. J. Acoust. Soc. Am. 1984, 75, 932–936. [Google Scholar] [CrossRef] [PubMed]
- Fielder, L.D. Practical limits for room equalization. In Proceedings of the 111th Audio Engineering Society Convention, New York, NY, USA, 30 November–3 December 2001. [Google Scholar]
- Buchholz, J.; Mourjopoulos, J.; Blauert, J. Room masking: Understanding and modelling the masking of reflections in rooms. In Proceedings of the 110th Audio Engineering Society Convention, Amsterdam, The Netherlands, 12–15 May 2001. [Google Scholar]
- Pedersen, J.A.; Hermansen, K.; Rubak, P. The distribution of the low frequency sound field and its relation to room equalization. In Proceedings of the 96th Audio Engineering Society Convention, Amsterdam, The Netherlands, 26 February–1 March 1994. [Google Scholar]
- Bean, C.; Craven, P.G. Loudspeaker and room correction using digital signal processing. In Proceedings of the 86th Audio Engineering Society Convention, Hamburg, Germany, 7–10 March 1989. [Google Scholar]
- Kirkeby, O.; Nelson, P.A.; Hamada, H.; Orduna-Bustamante, F. Fast deconvolution of multichannel systems using regularization. IEEE Trans. Speech Audio Process. 1998, 6, 189–194. [Google Scholar] [CrossRef]
- Kirkeby, O.; Nelson, P.A. Digital filter design for inversion problems in sound reproduction. J. Audio Eng. Soc. 1999, 47, 583–595. [Google Scholar]
- Johansen, L.G.; Rubak, P. The excess phase in loudspeaker/room transfer functions: Can it be ignored in equalization tasks? In Proceedings of the 100th Audio Engineering Society Convention, Copenhagen, Denmark, 11–14 May 1996. [Google Scholar]
- Paatero, T.; Karjalainen, M. Kautz filters and generalized frequency resolution: theory and audio applications. J. Audio Eng. Soc. 2003, 51, 27–44. [Google Scholar]
- Karjalainen, M.; Paatero, T. Equalization of loudspeaker and room responses using Kautz filters: Direct least squares design. EURASIP J. Appl. Signal Process. 2006, 2007, 060949. [Google Scholar] [CrossRef]
- Mourjopoulos, J.; Clarkson, P.; Hammond, J. A comparative study of least-squares and homomorphic techniques for the inversion of mixed phase signals. In Proceedings of the IEEE International Conference on Acoustics, Speech, and Signal Processing (ICASSP), Paris, France, 3–5 May 1982; Volume 7, pp. 1858–1861. [Google Scholar]
- Radlovic, B.D.; Kennedy, R.A. Nonminimum-phase equalization and its subjective importance in room acoustics. IEEE Trans. Speech Audio Process. 2000, 8, 728–737. [Google Scholar] [CrossRef]
- Maamar, A.; Kale, I.; Krukowski, A.; Daoud, B. Partial equalization of non-minimum-phase impulse responses. EURASIP J. Adv. Signal Process. 2006, 2006, 067467. [Google Scholar] [CrossRef]
- Hammond, J.; Mourjopoulos, J. Cepstral Methods applied to the Analysis of Room Impulse Response. In Proceedings of the Institute of Acoustics Autumn Conference, Windermere, UK, November 1980; pp. 51–54. [Google Scholar]
- Mourjopoulos, J. The Removal of Room Reverberation from Signals; Ph.D. Thesis, University of Southamption, Southampton, UK, 1984. [Google Scholar]
- Mourjopoulos, J.; Paraskevas, M. Pole and zero modeling of room transfer functions. J. Sound Vib. 1991, 146, 281–302. [Google Scholar] [CrossRef]
- Durbin, J. The fitting of time-series models. In Revue de l’Institut International de Statistique; International Statistical Institute (ISI): Haguethe, The Netherlands, 1960; pp. 233–244. [Google Scholar]
- Haneda, Y.; Makino, S.; Kaneda, Y. Common acoustical pole and zero modeling of room transfer functions. IEEE Trans. Speech Audio Process. 1994, 2, 320–328. [Google Scholar] [CrossRef]
- Haneda, Y.; Makino, S.; Kaneda, Y. Multiple-point equalization of room transfer functions by using common acoustical poles. IEEE Trans. Speech Audio Process. 1997, 5, 325–333. [Google Scholar] [CrossRef]
- Fontana, F.; Gibin, L.; Rocchesso, D.; Ballan, O. Common pole equalization of small rooms using a two-step real-time digital equalizer. In Proceedings of the IEEE Workshop on Applications of Signal Processing to Audio and Acoustics (WASPAA), New Paltz, NY, USA, 20–20 October 1999; pp. 195–198. [Google Scholar]
- Härmä, A.; Karjalainen, M.; Savioja, L.; Välimäki, V.; Laine, U.K.; Huopaniemi, J. Frequency-warped signal processing for audio applications. J. Audio Eng. Soc. 2000, 48, 1011–1031. [Google Scholar]
- Härmä, A. Linear predictive coding with modified filter structures. IEEE Trans. Speech Audio Process. 2001, 9, 769–777. [Google Scholar] [CrossRef]
- Härmä, A. Frequency-Warped Autoregressive Modeling and Filtering; Helsinki University of Technology: Helsinki, Finland, 2001. [Google Scholar]
- Harma, A.; Paatero, T. Discrete representation of signals on a logarithmic frequency scale. In Proceedings of the IEEE Workshop on the Applications of Signal Processing to Audio and Acoustics (WASPAA), New Paltz, NY, USA, 21–24 October 2001; pp. 39–42. [Google Scholar]
- Bharitkar, S.; Kyriakakis, C. Perceptual multiple location equalization with clustering. In Proceedings of the IEEE Thirty-Sixth Asilomar Conference on Signals, Systems and Computers, Pacific Grove, CA, USA, 3–6 November 2002; Volume 1, pp. 179–183. [Google Scholar]
- Bharitkar, S.; Kyriakakis, C. A comparison between multi-channel audio equalization filters using warping. In Proceedings of the IEEE Workshop on Applications of Signal Processing to Audio and Acoustics (WASPAA), New Paltz, NY, USA, 19–22 October 2003; pp. 63–66. [Google Scholar]
- Bharitkar, S.; Kyriakakis, C. Multirate signal processing for multiple listener low frequency room acoustic equalization. In Proceedings of the IEEE Thirty-Eighth Asilomar Conference on Signals, Systems and Computers, Pacific Grove, CA, USA, 7–10 November 2004; Volume 1, pp. 263–267. [Google Scholar]
- Omiciuolo, I.; Carini, A.; Sicuranza, G.L. Multiple position room response equalization with frequency domain fuzzy c-means prototype design. In Proceedings of the International Workshop on Acoustic Signal Enhancement (IWAENC), Seattle, WA, USA, 14–17 September 2008. [Google Scholar]
- Carini, A.; Omiciuolo, I.; Sicuranza, G.L. Multiple position room response equalization: Frequency domain prototype design strategies. In Proceedings of the 6th International Symposium on Image and Signal Processing and Analysis (ISPA), Salzburg, Austria, 16–18 September 2009; pp. 638–643. [Google Scholar]
- Carini, A.; Cecchi, S.; Piazza, F.; Omiciuolo, I.; Sicuranza, G.L. Multiple position room response equalization in frequency domain. IEEE Trans. Audio Speech Lang. Process. 2012, 20, 122–135. [Google Scholar] [CrossRef]
- Clarkson, P.M.; Mourjopoulos, J.; Hammond, J. Spectral, phase, and transient equalization for audio systems. J. Audio Eng. Soc. 1985, 33, 127–132. [Google Scholar]
- Elliott, S.J.; Nelson, P.A. Multiple-point equalization in a room using adaptive digital filters. J. Audio Eng. Soc. 1989, 37, 899–907. [Google Scholar]
- Mei, T.; Mertins, A.; Kallinger, M. Room impulse response reshaping/shortening based on least mean squares optimization with infinity norm constraint. In Proceedings of the 16th International Conference on Digital Signal Processing, Santorini-Hellas, Greece, 5–7 July 2009; pp. 1–6. [Google Scholar]
- Kolundžija, M.; Faller, C.; Vetterli, M. Multi-channel low-frequency room equalization using perceptually motivated constrained optimization. In Proceedings of the IEEE International Conference on Acoustics, Speech and Signal Processing (ICASSP), Kyoto, Japan, 25–30 March 2012; pp. 533–536. [Google Scholar]
- Kulp, B.D. Digital equalization using Fourier transform techniques. In Proceedings of the 85th Audio Engineering Society Convention, Los Angeles, CA, USA, 3–6 November 1988. [Google Scholar]
- Kirkeby, O.; Nelson, P.A.; Hamada, H.; Orduna-Bustamante, F. Fast deconvolution of multi-channel systems using regularisation. ISVR Tech. Rep. 1996, 18, 2829–2832. [Google Scholar]
- Kirkeby, O.; Rubak, P.; Farina, A. Analysis of ill-conditioning of multi-channel deconvolution problems. In Proceedings of the IEEE Workshop on Applications of signal processing to Audio and Acoustics (WASPAA), New Paltz, NY, USA, 20 October 1999; pp. 155–158. [Google Scholar]
- Cecchi, S.; Palestini, L.; Peretti, P.; Piazza, F.; Carini, A. Multipoint equalization of digital car audio systems. In Proceedings of the 6th International Symposium on Image and Signal Processing and Analysis (ISPA), Salzburg, Austria, 16–18 September 2009; pp. 650–655. [Google Scholar]
- Cecchi, S.; Carini, A.; Primavera, A.; Piazza, F. An adaptive multiple position room response equalizer in warped domain. In Proceedings of the 20th European Signal Processing Conference (EUSIPCO), Bucharest, Romania, 27–31 August 2012; pp. 1955–1959. [Google Scholar]
- Spors, S.; Kuntz, A.; Rabenstein, R. Listening room compensation for wave field synthesis. In Proceedings of the IEEE International Conference on Multimedia and Expo (ICME), Baltimore, MD, USA, 6–9 July 2003; Volume 1, p. I–725. [Google Scholar]
- Miyoshi, M.; Kaneda, Y. Inverse control of room acoustics using multiple loudspeakers and/or microphones. In Proceedings of the IEEE International Conference on Acoustics, Speech, and Signal Processing (ICASSP), Tokyo, Japan, 7–11 April 1986; Volume 11, pp. 917–920. [Google Scholar]
- Miyoshi, M.; Kaneda, Y. Inverse filtering of room acoustics. IEEE Trans. Acoust. Speech Signal Process. 1988, 36, 145–152. [Google Scholar] [CrossRef]
- Putnam, W.; Rocchesso, D.; Smith, J. A numerical investigation of the invertibility of room transfer functions. In Proceedings of the IEEE Workshop on Applications of Signal Processing to Audio and Acoustics (WASPAA), New Paltz, NY, USA, 15–18 October 1995; pp. 249–252. [Google Scholar]
- Nelson, P.; Orduna-Bustamante, F.; Hamada, H. Inverse filter design and equalization zones in multichannel sound reproduction. IEEE Trans. Speech Audio Process. 1995, 3, 185–192. [Google Scholar] [CrossRef]
- Hirofumi, N.; Miyoshi, M.; Tohyama, M. Sound field control by indefinite MINT filters. IEICE Trans. Fundam. Electron. Commun. Comput. Sci. 1997, 80, 821–824. [Google Scholar]
- Zhang, W.; Naylor, P.A. An iterative method for equalization of multichannel acoustic systems robust to system identification errors. In Proceedings of the International Workshop on Acoustic Signal Enhancement (IWAENC), Xi’an, China, 13–16 September 2016; pp. 1–5. [Google Scholar]
- Gaubitch, N.D.; Naylor, P.A. Equalization of multichannel acoustic systems in oversampled subbands. IEEE Trans. Audio Speech Lang. Process. 2009, 17, 1061–1070. [Google Scholar] [CrossRef]
- Abildgaard Pedersen, J.; Thomsen, K. Fully automatic loudspeaker-room adaptation—the RoomPerfect system. In Proceedings of the 32nd International Conference of Audio Engineering Society: DSP for loudspeakers, Hillerød, Denmark, 21–23 September 2007. [Google Scholar]
- Hatziantoniou, P.; Tsoukalas, D.; Mourjopoulos, J.; Salamouris, S. Time-frequency mapping based on non-uniform smoothed spectral representations. In Proceedings of the IEEE International Conference on Acoustics, Speech, and Signal Processing (ICASSP), Phoenix, AZ, USA, 15–19 March 1999; Volume 3, pp. 1425–1428. [Google Scholar]
- Hatziantoniou, P.D.; Mourjopoulos, J.N. Results for room acoustics equalisation based on smoothed responses. In Proceedings of the 114th Audio Engineering Society Convention, Amsterdam, The Netherlands, 22–25 March 2003. [Google Scholar]
- Karjalainen, M.; Paatero, T. Frequency-dependent signal windowing. In Proceedings of the IEEE Workshop on the Applications of Signal Processing to Audio and Acoustics (WASPAA), New Paltz, NY, USA, 24 October 2001; pp. 35–38. [Google Scholar]
- Panzer, J.; Ferekidis, L. The use of continuous phase for interpolation, smoothing and forming mean values of complex frequency response curves. In Proceedings of the 116th Audio Engineering Society Convention, Berlin, Germany, 8–11 May 2004. [Google Scholar]
- Karjalainen, M. Auditory interpretation and application of warped linear prediction. In Proceedings of the Consistent & Reliable Acoustic Cues for Sound Analysis, Aalborg, Denmark, 2 September 2001. [Google Scholar]
- Oppenheim, A.; Johnson, D.; Steiglitz, K. Computation of spectra with unequal resolution using the fast Fourier transform. Proc. IEEE 1971, 59, 299–301. [Google Scholar] [CrossRef]
- Strube, H.W. Linear prediction on a warped frequency scale. J. Acoust. Soc. Am. 1980, 68, 1071–1076. [Google Scholar] [CrossRef]
- Smith, J.O.; Abel, J.S. Bark and ERB bilinear transforms. IEEE Trans. Speech Audio Process. 1999, 7, 697–708. [Google Scholar] [CrossRef]
- Härmä, A. Implementation of frequency-warped recursive filters. Signal Process. 2000, 80, 543–548. [Google Scholar] [CrossRef]
- Oliveira, T. Laguerre filters: An introduction. Electrónica e Telecomunicações 1995, 1, 237–248. [Google Scholar]
- Moorer, J.A. The manifold joys of conformal mapping: Applications to digital filtering in the studio. J. Audio Eng. Soc. 1983, 31, 826–841. [Google Scholar]
- Bank, B. Warped IIR filter design with custom warping profiles and its application to room response modeling and equalization. In Proceedings of the 130th Audio Engineering Society Convention, London, UK, 13–16 May 2011. [Google Scholar]
- Tyril, M.; Pedersen, J.A.; Rubak, P. Digital filters for low-frequency equalization. J. Audio Eng. Soc. 2001, 49, 36–43. [Google Scholar]
- López, J.J.; Pueo, B.; Ramos, G. Combination of warped and linear filter structures for loudspeaker equalization. In Proceedings of the 124th Audio Engineering Society Convention, Amsterdam, The Netherlands, 17–20 May 2008. [Google Scholar]
- Ramos, G.; López, J.J.; Pueo, B. Cascaded warped-FIR and FIR filter structure for loudspeaker equalization with low computational cost requirements. Digit. Signal Process. 2009, 19, 393–409. [Google Scholar] [CrossRef]
- Karjalainen, M.; Harma, A.; Laine, U.K.; Huopaniemi, J. Warped filters and their audio applications. In Proceedings of the IEEE Workshop on Applications of Signal Processing to Audio and Acoustics (WASPAA), New Paltz, NY, USA, 19–22 October 1997; pp. 1–4. [Google Scholar]
- Kautz, W. Transient synthesis in the time domain. IEEE Trans. IRE Prof. Group Circuit Theory 1954, 1, 29–39. [Google Scholar] [CrossRef]
- Broome, P.W. Discrete orthonormal sequences. J. ACM (JACM) 1965, 12, 151–168. [Google Scholar] [CrossRef]
- Bank, B. Direct design of parallel second-order filters for instrument body modeling. In Proceedings of the International Computer Music Conference (ICMC), Copenhagen, Denmark, August 2017; pp. 458–465. [Google Scholar]
- Bank, B. Perceptually motivated audio equalization using fixed-pole parallel second-order filters. IEEE Signal Process. Lett. 2008, 15, 477–480. [Google Scholar] [CrossRef]
- Bank, B. Audio Equalization with Fixed-Pole Parallel Filters: An Efficient Alternative to Complex Smoothing. J. Audio Eng. Soc. 2013, 61, 39–49. [Google Scholar]
- Bank, B. Loudspeaker and room response equalization Using parallel filters: comparison of pole positioning strategies. In Proceedings of the 51st International Audio Engineering Society Conference: Loudspeakers and Headphones, Helsinki, Finland, 21–24 August 2013. [Google Scholar]
- Genereux, R.P. Adaptive loudspeaker systems: Correcting for the acoustic environment. In Proceedings of the 8th International Audio Engineering Society Conference: The Sound of Audio, Washington, WA, USA, 3–6 May 1990. [Google Scholar]
- Craven, P.G.; Gerzon, M.A. Practical adaptive room and loudspeaker equaliser for HI-FI use. In Proceedings of the 7th Audio Engineering Society Conference: Digital Signal Processing (DSP), London, UK, 14–15 September 1992. [Google Scholar]
- Elliott, S.J.; Bhatia, L.P.; Deghan, F.S.; Fu, A.H.; Stewart, M.S.; Wilson, D.W. Practical implementation of low-frequency equalization using adaptive digital filters. J. Audio Eng. Soc. 1994, 42, 988–998. [Google Scholar]
- Rubak, P.; Johansen, L.G. Design and evaluation of digital filters applied to loudspeaker/room equalization. In Proceedings of the 108th Audio Engineering Society Convention, Paris, France, 19–22 February 2000. [Google Scholar]
- Johansen, L.; Rubak, P. Listening test results from a new digital loudspeaker/room correction systems. In Proceedings of the 110th Audio Engineering Society Convention, Amsterdam, The Netherlands, 12–15 May 2001. [Google Scholar]
- Bharitkar, S.; Kyriakakis, C. A cluster centroid method for room response equalization at multiple locations. In Proceedings of the IEEE Workshop on the Applications of Signal Processing to Audio and Acoustics, New Paltz, NY, USA, 21–24 October 2001; pp. 55–58. [Google Scholar]
- Kallinger, M.; Mertins, A. Room impulse response shortening by channel shortening concepts. In Proceedings of the Asilomar Conf. Signals, Systems and Computers, Pacific Grove, CA, USA, 30 October–2 November 2005; pp. 898–902. [Google Scholar]
- Kallinger, M.; Mertins, A. Impulse response shortening for acoustic listening room compensation. In Proceedings of the International Workshop on Acoustic Echo and Noise Control (IWAENC), Eindhoven, The Netherlands, 12–15 September 2005; pp. 197–200. [Google Scholar]
- Mei, T.; Mertins, A.; Kallinger, M. Room impulse response shortening with infinity-norm optimization. In Proceedings of the IEEE International Conference on Acoustics, Speech and Signal Processing (ICASSP), Taipei, Taiwan, 19–24 April 2009; pp. 3745–3748. [Google Scholar]
- Mei, T.; Mertins, A. On the robustness of room impulse response reshaping. In Proceedings of the International Workshop on Acoustic Echo and Noise control (IWAENC), Tel Aviv, Israel, 30 August–2 September 2010. [Google Scholar]
- Mertins, A.; Mei, T.; Kallinger, M. Room impulse response shortening/reshaping with infinity-and p-norm optimization. IEEE Trans. Audio Speech Lang. Process. 2010, 18, 249–259. [Google Scholar] [CrossRef]
- Mazur, R.; Jungmann, J.O.; Mertins, A. On CUDA implementation of a multichannel room impulse response reshaping algorithm based on p-norm optimization. In Proceedings of the IEEE Workshop on Applications of Signal Processing to Audio and Acoustics (WASPAA), New Paltz, NY, USA, 16–19 October 2011; pp. 305–308. [Google Scholar]
- Jungmann, J.O.; Mei, T.; Goetze, S.; Mertins, A. Room impulse response reshaping by joint optimization of multiple p-norm based criteria. In Proceedings of the 19th European Signal Processing Conference (EUSIPCO), Barcelona, Spain, 29 August–2 September 2011; pp. 1658–1662. [Google Scholar]
- Mazur, R.; Jungmann, J.O.; Mertins, A. Optimized gradient calculation for room impulse response reshaping algorithm based on p-norm optimization. In Proceedings of the IEEE International Conference on Acoustics, Speech and Signal Processing (ICASSP), Kyoto, Japan, 25–30 March 2012; pp. 185–188. [Google Scholar]
- Jungmann, J.O.; Mazur, R.; Kallinger, M.; Mei, T.; Mertins, A. Combined acoustic mimo channel crosstalk cancellation and room impulse response reshaping. IEEE Trans. Audio Speech Lang. Process. 2012, 20, 1829–1842. [Google Scholar] [CrossRef]
- Al-Dhahir, N.; Cioffi, J.M. Efficiently computed reduced-parameter input-aided MMSE equalizers for ML detection: A unified approach. IEEE Trans. Inf. Theory 1996, 42, 903–915. [Google Scholar] [CrossRef]
- Falconer, D.; Magee, F. Adaptive channel memory truncation for maximum likelihood sequence estimation. Bell Labs Tech. J. 1973, 52, 1541–1562. [Google Scholar] [CrossRef]
- Melsa, P.J.; Younce, R.C.; Rohrs, C.E. Impulse response shortening for discrete multitone transceivers. IEEE Trans. Commun. 1996, 44, 1662–1672. [Google Scholar] [CrossRef]
- Martin, R.; Ding, M.; Evans, B.L.; Johnson, C.R. Efficient channel shortening equalizer design. EURASIP J. Adv. Signal Process. 2003, 2003, 906491. [Google Scholar] [CrossRef]
- Jungmann, J.O.; Mazur, R.; Mertins, A. On the equalization and reshaping of room impulse responses. In Proceedings of the German Annual Conference on Acoustics (DAGA), Oldenburg, Germany, 10–13 March 2014; pp. 497–498. [Google Scholar]
- Munshi, A. Equalizability of room acoustics. In Proceedings of the IEEE International Conference on Acoustics, Speech, and Signal Processing (ICASSP), San Francisco, CA, USA, 23–26 March 1992; Volume 2, pp. 217–220. [Google Scholar]
- Howe, R.; Hawksford, M.J. Methods of local room equalization and their effect over the listening area. In Proceedings of the 91th Audio Engineering Society Convention, New York, NY, USA, 4–8 October 1991. [Google Scholar]
- Mourjopoulos, J. Digital equalization of room acoustics. J. Audio Eng. Soc. 1994, 42, 884–900. [Google Scholar]
- Kyriakakis, C.; Bharitkar, S. New factors in room equalization using a fuzzy logic approach. In Proceedings of the 111th Audio Engineering Society Convention, New York, NY, USA, 30 November–3 December 2001. [Google Scholar]
- Bharitkar, S.; Kyriakakis, C. The influence of reverberation on multichannel equalization: an experimental comparison between methods. In Proceedings of the IEEE Thirty-Seventh Asilomar Conference on Signals, Systems and Computers, Pacific Grove, CA, USA, 9–12 November 2003; Volume 1, pp. 546–549. [Google Scholar]
- Kosko, B. Fuzzy systems as universal approximators. IEEE Trans. Comput. 1994, 43, 1329–1333. [Google Scholar] [CrossRef]
- Kosko, B. Combining fuzzy systems. In Proceedings of the IEEE International Joint Conference of the Fourth International Conference on Fuzzy Systems and The Second International Fuzzy Engineering Symposium, Yokohama, Japan, 20–24 March 1995; Volume 4, pp. 1855–1863. [Google Scholar]
- Turmchokkasam, S.; Mitaim, S. Effects of weights in weighted fuzzy c-means algorithm for room equalization at multiple locations. In Proceedings of the IEEE International Conference on Fuzzy Systems, Vancouver, BC, Canada, 16–21 July 2006; pp. 1468–1475. [Google Scholar]
- Cecchi, S.; Palestini, L.; Peretti, P.; Romoli, L.; Piazza, F.; Carini, A. Evaluation of a multipoint equalization system based on impulse response prototype extraction. J. Audio Eng. Soc. 2011, 59, 110–123. [Google Scholar]
- Cecchi, S.; Piazza, F.; Carini, A. Subjective evaluation of a multiple position room response equalization approach applied in frequency domain. In Proceedings of the IEEE 7th International Symposium on Image and Signal Processing and Analysis (ISPA), Dubrovnik, Croatia, 4–6 September 2011; pp. 84–89. [Google Scholar]
- Carini, A.; Cecchi, S.; Romoli, L. Multipoint room response equalization with group delay compensation. In Proceedings of the International Workshop on Acoustic Echo and Noise Control (IWAENC), Tel Aviv, Israel, 30 August–2 September 2010. [Google Scholar]
- Primavera, A.; Cecchi, S.; Piazza, F.; Carini, A. Mixed time-frequency approach for multipoint room response equalization. In Proceedings of the 45th International Audio Engineering Society Conference: Applications of Time-Frequency Processing in Audio, Helsinki, Finland, 1–4 March 2012. [Google Scholar]
- Primavera, A.; Cecchi, S.; Romoli, L.; Peretti, P.; Piazza, F. An advanced implementation of a digital artificial reveberator. In Proceedings of the 130th Audio Engineering Society Convention, London, UK, 13–16 May 2011. [Google Scholar]
- Brannmark, L.; Ahlén, A. Spatially robust audio compensation based on SIMO feedforward control. IEEE Trans. Signal Process. 2009, 57, 1689–1702. [Google Scholar] [CrossRef]
- Johansen, L.G.; Rubak, P. Target functions and preprocessing techniques in digital equalization design. In Proceedings of the 106th Audio Engineering Society Convention, Munich, Germany, 8–11 May 1999. [Google Scholar]
- Abildgaard Pedersen, J. Loudspeaker-room adaptation for a specific listening position using information about the complete sound field. In Proceedings of the 121st Audio Engineering Society Convention, San Francisco, CA, USA, 5–8 October 2006. [Google Scholar]
- Abildgaard Pedersen, J.; Mortensen, H.G. Natural timbre in room correction systems. In Proceedings of the 122nd Audio Engineering Society Convention, Vienna, Austria, 5–8 May 2007. [Google Scholar]
- Abildgaard Pedersen, J.; El-Azm, F. Natural timbre in room correction systems (Part II). In Proceedings of the 32nd International Conference of Audio Engineering Society: DSP for loudspeakers, Hillerød, Denmark, 21–23 September 2007. [Google Scholar]
- International Electrotechnical Commission (IEC). Sound system equipment-Part 13: Listening tests on loudspeakers. In Proceedings of the International Electrotechnical Commission, Geneva, Switzerland, 11 March 1988. [Google Scholar]
- Bunkheila, G.; Parisi, R.; Uncini, A. Model order selection for estimation of common acoustical poles. In Proceedings of the IEEE International Symposium on Circuits and Systems (ISCAS), Seattle, WA, USA, 18–21 May 2008; pp. 1180–1183. [Google Scholar]
- Lakhdhar, K.; Jaidane, M.; Shaiek, H.; Boucher, J. Iterative equalization of room transfer function using biquadratic filters. In Proceedings of the IEEE Instrumentation and Measurement Technology Conference (IMTC), Singapore, 5–7 May 2009; pp. 1463–1466. [Google Scholar]
- Mäkivirta, A.; Antsalo, P.; Karjalainen, M.; Välimäki, V. Modal equalization of loudspeaker-room responses at low frequencies. J. Audio Eng. Soc. 2003, 51, 324–343. [Google Scholar]
- Karjalainen, M.; Antsalo, P.; Mäkivirta, A.; Peltonen, T.; Välimäki, V. Estimation of modal decay parameters from noisy response measurements. J. Audio Eng. Soc. 2002, 50, 867–878. [Google Scholar]
- Santillán, A.O. Spatially extended sound equalization in rectangular rooms. J. Acoust. Soc. Am. 2001, 110, 1989–1997. [Google Scholar] [CrossRef] [PubMed]
- Santillán, A.; Pedersen, C.S.; Lydolf, M. Experimental implementation of a low-frequency global sound equalization method based on free field propagation. Appl. Acoust. 2007, 68, 1063–1085. [Google Scholar] [CrossRef]
- Celestinos, A.; Birkedal Nielsen, S. Multi-Source low frequency room simulation using finite difference time domain approximations. In Proceedings of the 117th Audio Engineering Society Convention, San Francisco, CA, USA, 28–31 October 2004. [Google Scholar]
- Birkedal Nielsen, S.; Celestinos, A. Optimizing placement and equalization of multiple low frequency loudspeakers in rooms. In Proceedings of the 119th Audio Engineering Society Convention, New York, NY, USA, 7–10 October 2005. [Google Scholar]
- Celestinos, A.; Birkedal Nielsen, S. Low frequency sound field enhancement system for rectangular rooms using multiple low frequency loudspeakers. In Proceedings of the 120th Audio Engineering Society Convention, Paris, France, 20–23 May 2006. [Google Scholar]
- Celestinos, A.; Birkedal Nielsen, S. Controlled acoustic bass system (CABS) A method to achieve uniform sound field distribution at low frequencies in rectangular rooms. J. Audio Eng. Soc. 2008, 56, 915–931. [Google Scholar]
- Celestinos, A.; Birkedal Nielsen, S. Applications of a plane wave based room correction system for low frequencies using multiple loudspeakers. J. Acoust. Soc. Am. 2008, 123, 3091. [Google Scholar] [CrossRef]
- Vanderkooy, J. Multi-source room equalization: Reducing room resonances. In Proceedings of the 123rd Audio Engineering Society Convention, New York, NY, USA, 5–8 October 2007. [Google Scholar]
- Bank, B. Full room equalization at low frequencies with asymmetric loudspeaker arrangements. In Proceedings of the 132nd Audio Engineering Society Convention, Budapest, Hungary, 26–29 April 2012. [Google Scholar]
- Stefanakis, N.; Sarris, J.; Jacobsen, F. Regularization in global sound equalization based on effort variation. J. Acoust. Soc. Am. 2009, 126, 666–675. [Google Scholar] [CrossRef] [PubMed]
- Nelson, P.A.; Hamada, H.; Elliott, S.J. Adaptive inverse filters for stereophonic sound reproduction. IEEE Trans. Signal Process. 1992, 40, 1621–1632. [Google Scholar] [CrossRef]
- Pedersen, C.S.; Møller, H. Sound field control for a low-frequency test facility. In Proceedings of the 52nd International Audio Engineering Society Conference: Sound Field Control-Engineering and Perception, Guildford, UK, 2–4 September 2013. [Google Scholar]
- Blauert, J. Spatial Hearing: The Psychophysics of Human Sound Localization; MIT Press: Cambridge, MA, USA, 1997. [Google Scholar]
- Bank, B. Combined quasi-anechoic and in-room equalization of loudspeaker responses. In Proceedings of the 134th Audio Engineering Society Convention, Rome, Italy, 4–7 May 2013. [Google Scholar]
- Cecchi, S.; Romoli, L.; Piazza, F.; Bank, B.; Carini, A. A novel approach for prototype extraction in a multipoint equalization procedure. In Proceedings of the 136th Audio Engineering Society Convention, Berlin, Germany, 26–29 April 2014. [Google Scholar]
- Toole, F.E. Loudspeakers and rooms for sound reproduction -— A scientific review. J. Audio Eng. Soc. 2006, 54, 451–476. [Google Scholar]
- Ziomek, L. Fundamentals of Acoustic Field Theory and Space-Time Signal Processing; CRC Press: Boca Raton, FL, USA, 1995; pp. 651–662. [Google Scholar]
- Elko, G.W.; Diethorn, E.; Gänsler, T. Room impulse response variation due to thermal fluctuation and its impact on acoustic echo cancellation. In Proceedings of the International Workshop on Acoustic Echo and Noise Control (IWAENC), Kyoto, Japan, September 2003; pp. 67–70. [Google Scholar]
- Leitão, J.; Ferreira, A.J.; Fernandes, G. Adaptive room equalization in the frequency domain. In Proceedings of the 116th Audio Engineering Society Convention, Berlin, Germany, 8–11 May 2004. [Google Scholar]
- Ferreira, A.; Leite, A. An improved adaptive room equalization in the frequency domain. In Proceedings of the 118th Audio Engineering Society Convention, Barcelona, Spain, 28–31 May 2005. [Google Scholar]
- Ferreira, A.J.; Leite, A.; Pinto, F.; Rocha, A.F. Adaptive audio equalization of rooms based on a technique of transparent insertion of acoustic probe signals. In Proceedings of the 120th Audio Engineering Society Convention, Paris, France, 20–23 May 2006. [Google Scholar]
- Cecchi, S.; Primavera, A.; Piazza, F.; Carini, A. An adaptive multiple position room response equalizer. In Proceedings of the 19th European Signal Processing Conference (EUSIPCO), Barcelona, Spain, 29 August–3 September 2011; pp. 1274–1278. [Google Scholar]
- Benesty, J.; Morgan, D.; Sondhi, M. A better understanding and an improved solution to the specific problems of stereophonic acoustic echo cancellation. IEEE Trans. Speech Audio Process. 1998, 6, 156–165. [Google Scholar] [CrossRef]
- Ali, M. Stereophonic acoustic echo cancellation system using time-varying all-pass filtering for signal decorrelation. In Proceedings of the IEEE International Conference on Acoustics, Speech, and Signal Processing (ICASSP), Seattle, WA, USA, 15 May 1998; pp. 3689–3692. [Google Scholar]
- Cecchi, S.; Romoli, L.; Piazza, F.; Carini, A. A multichannel and multiple position adaptive room response equalizer in warped domain. In Proceedings of the IEEE 8th International Symposium on Image and Signal Processing and Analysis (ISPA), Trieste, Italy, 4–6 September 2013; pp. 761–766. [Google Scholar]
- Cecchi, S.; Romoli, L.; Peretti, P.; Piazza, F. Low-complexity implementation of a real-time decorrelation algorithm for stereophonic acoustic echo cancellation. Signal Process. 2012, 92, 2668–2675. [Google Scholar] [CrossRef]
- Cecchi, S.; Romoli, L.; Carini, A.; Piazza, F. A multichannel and multiple position adaptive room response equalizer in warped domain: Real-time implementation and performance evaluation. Appl. Acoust. 2014, 82, 28–37. [Google Scholar] [CrossRef]
- Fuster, L.; de Diego, M.; Ferrer, M.; Gonzalez, A.; Piñero, G. A biased multichannel adaptive algorithm for room equalization. In Proceedings of the 20th European Signal Processing Conference (EUSIPCO), Bucharest, Romania, 27–31 August 2012; pp. 1344–1348. [Google Scholar]
- Arenas-Garcia, J.; de Diego, M.; Azpicueta-Ruiz, L.A.; Ferrer, M.; Gonzalez, A. Combinations of proportionate adaptive filters in acoustics: an application to ANC. In Proceedings of the 20th European Signal Processing Conference (EUSIPCO), Bucharest, Romania, 27–31 August 2012. [Google Scholar]
- Fuster, L.; de Diego, M.; Azpicueta-Ruiz, L.A.; Ferrer, M. Adaptive filtered-x algorithms for room equalization based on block-based combination schemes. IEEE/ACM Trans. Audio Speech Lang. Process. 2016, 24, 1732–1745. [Google Scholar] [CrossRef]
- Nelson, P.; Orduna-Bustamante, F.; Hamada, H. Adaptive Audio Systems and Sound Reproduction Systems. U.S. Patent 5,949,894, 7 September 1999. [Google Scholar]
- Weiss, S.; Rice, G.W.; Stewart, R.W. Multichannel equalization in subbands. In Proceedings of the IEEE Workshop on Applications of Signal Processing to Audio and Acoustics (WASPAA), New Paltz, NY, USA, 1999; pp. 203–206. [Google Scholar]
- Williams, E. Fourier Acoustics: Sound Radiation and Nearfield Acoustical Holography; Academic Press: San Diego, CA, USA, 1999. [Google Scholar]
- Zotter, F.; Spors, S. Is sound field control determined at all frequencies? How is it related to numerical acoustics? In Proceedings of the 52nd Conference on Sound Field Control—Engineering and Perception, Audio Engineering Society, Guildford, UK, 2–4 September 2013. [Google Scholar]
- Spors, S. Active Listening Room Compensation for Spatial Sound Reproduction Systems. Ph.D. Thesis, University of Erlangen-Nuremberg, Nuremberg, Bavaria, Germany, 2006. [Google Scholar]
- Spors, S.; Rabenstein, R. Spatial aliasing artifacts produced by linear and circular loudspeaker arrays used for wave field synthesis. In Proceedings of the 120th Convention of the Audio Engineering Society, Paris, France, 20–23 May 2006. [Google Scholar]
- Ahrens, J.; Spors, S. A modal analysis of spatial discretization in spherical loudspeaker arrays used for sound field synthesis. IEEE Trans. Audio Speech Lang. Process. 2012, 20, 2564–2574. [Google Scholar] [CrossRef]
- Rafaely, B. Fundamentals of Spherical Array Processing; Springer: Berlin/Heidelberg, Germany, 2015. [Google Scholar]
- Spors, S.; Renk, M.; Rabenstein, R. Limiting effects of active room compensation using Wave field synthesis. In Proceedings of the 118th Convention of the Audio Engineering Society, Barcelona, Spain, 28–31 May 2005. [Google Scholar]
- Petrausch, S.; Spors, S.; Rabenstein, R. Simulation and visualization of room compensation for wave field synthesis with the functional transformation method. In Proceedings of the 119th Convention of the Audio Engineering Society, New York, NY, USA, 7–10 October 2005. [Google Scholar]
- Bouchard, M.; Quednau, S. Multichannel recursive-least-squares algorithms and fast-transversal-filter Algorithms for Active Noise Control and Sound Reproduction Systems. IEEE Trans. Speech Audio Process. 2000, 8, 606–618. [Google Scholar] [CrossRef]
- Spors, S.; Buchner, H.; Rabenstein, R. Spatio-temporal adaptive inverse filtering in the wave domain. In Speech and Audio Processing in Adverse Environments; Haensler, E., Schmidt, G., Eds.; Springer: Berlin/Heidelberg, Germany, 2008; pp. 551–583. [Google Scholar]
- Schneider, M.; Kellermann, W. Multichannel acoustic echo cancellation in the wave domain with increased robustness to nonuniqueness. IEEE/ACM Trans. Audio Speech Lang. Process. (TASLP) 2016, 24, 518–529. [Google Scholar] [CrossRef]
- Talagala, D.S.; Zhang, W.; Abhayapala, T.D. Efficient multi-channel adaptive room compensation for spatial soundfield reproduction using a modal decomposition. IEEE/ACM Trans. Audio Speech Lang. Process. (TASLP) 2014, 22, 1522–1532. [Google Scholar] [CrossRef]
- Schneider, M.; Kellermann, W. A Direct Derivation of Transforms for Wave-Domain Adaptive Filtering Based on Circular Harmonics. In Proceedings of the 20th European Signal Processing Conference (EUSIPCO), Bucharest, Romania, 27–31 August 2012. [Google Scholar]
- Peretti, P.; Palestini, L.; Cecchi, S.; Piazza, F. A subband approach to wave domain adaptive filtering. In Proceedings of the Hands-Free Speech Communication and Microphone Arrays, Trento, Italy, 6–8 May 2008. [Google Scholar]
- Hofmann, C.; Kellermann, W. Generalized wave-domain transforms for listening room equalization with azimuthally irregularly spaced loudspeaker arrays. In Proceedings of the IEEE International Conference on Acoustics, Speech and Signal Processing (ICASSP), Shanghai, China, 20–25 March 2016. [Google Scholar]
- Betlehem, T.; Abhayapala, T.D. Theory and design of sound field reproduction in reverberant rooms. J. Acoust. Soc. Am. 2005, 117, 2100–2111. [Google Scholar] [CrossRef] [PubMed]
- Zha, M.f.; Bao, C.c.; Jia, M.s. 3D multizone soundfield reproduction in the reverberant room using a spherical loudspeaker array. In Proceedings of the Asia-Pacific Signal and Information Processing Association Annual Summit and Conference, Hong Kong, China, 16–19 December 2015. [Google Scholar]
- Poletti, M.; Abhayapala, T.; Samarasinghe, P. Interior and exterior sound field control using two dimensional higher-order variable-directivity sources. J. Acoust. Soc. Am. 2012, 131, 3814–3823. [Google Scholar] [CrossRef] [PubMed]
- Corteel, E.; Nicol, R. Listening room compensation for wave field synthesis. What can be done? In Proceedings of the 23rd International Audio Engineering Society Conference: Signal Processing in Audio Recording and Reproduction, Helsingør, Denmark, 23–25 May 2003. [Google Scholar]
- Sontacchi, A.; Hoeldrich, R. Enhanced 3D sound field synthesis and reproduction system by compensating interfering reflections. In Proceedings of the Conference on Digital Audio Effects (DAFX-00), Verona, Italy, December 2000. [Google Scholar]
- Canclini, A.; Marković, D.; Antonacci, F.; Sarti, A.; Tubaro, S. A room-compensated virtual surround system exploiting early reflections in a reverberant room. In Proceedings of the 20th European Signal Processing Conference (EUSIPCO), Bucharest, Romania, 27–31 August 2012; pp. 1029–1033. [Google Scholar]
- Canclini, C.; Markovic, D.; Bianchi, L.; Antonacci, F.; Sarti, A.; Tubaro, S. A geometrical approach to room compensation for sound field rendering applications. In Proceedings of the 22nd European Signal Processing Conference (EUSIPCO), Lisbon, Portugal, 1–5 September 2014. [Google Scholar]
- Takane, S.; Toshio, S. A new theory for active suppression of reflected sound waves from the walls based on Kirchhoff-helmholtz boundary integral equation. Acoust. Sci. Technol. 2004, 25, 37–44. [Google Scholar] [CrossRef]
- Zhang, W.; Habets, E.A.; Naylor, P.A. On the use of channel shortening in multichannel acoustic system equalization. In Proceedings of the International Workshop on Acoustic Echo Noise Control (IWAENC), Tel Aviv, Israel, 30 August–2 September 2010. [Google Scholar]
- Kallinger, M.; Mertins, A. Multi-channel room impulse response shaping-a study. In Proceedings of the IEEE International Conference on Acoustics, Speech and Signal Processing (ICASSP), Toulouse, France, 14–19 May 2006; Volume 5, pp. 101–104. [Google Scholar]
- Guillaume, M.; Grenier, Y.; Richard, G. Iterative algorithms for multichannel equalization in sound reproduction systems. In Proceedings of the IEEE International Conference on Acoustics, Speech, and Signal Processing (ICASSP), Philadelphia, PA, USA, 23 March 2005; Volume 3, pp. 269–272. [Google Scholar]
- Schneider, M.; Kellermann, W. Iterative DFT-domain inverse filter determination for adaptive listening room equalization. In Proceedings of the International Workshop on Acoustic Signal Enhancement (IWAENC), Aachen, Germany, 4–6 September 2012; pp. 1–4. [Google Scholar]
- Korst-Fagundes, B.; Xie, J.; Snelgrove, M. Multipoint equalization with the condition number. In Proceedings of the 38th Midwest Symposium on Circuits and Systems, Rio de Janeiro, Brazil, 13–16 August 1995; Volume 2, pp. 807–810. [Google Scholar]
- Brännmark, L.; Bahne, A.; Ahlen, A. Compensation of loudspeaker–room responses in a robust MIMO control framework. IEEE Transa. Audio Speech Lang. Process. 2013, 21, 1201–1216. [Google Scholar] [CrossRef]
- Brännmark, L.; Bahne, A.; Ahlén, A. Improved loudspeaker–room equalization using multiple loudspeakers and MIMO feedforward control. In Proceedings of the IEEE International Conference on Acoustics, Speech and Signal Processing (ICASSP), Kyoto, Japan, 25–30 March 2012; pp. 237–240. [Google Scholar]
- Brännmark, L.; Ahlén, A. Multichannel room correction with focus control. J. Audio Eng. Soc. 2015, 63, 21–30. [Google Scholar] [CrossRef]
- Bahne, A.; Ahlén, A. Optimizing the Similarity of Loudspeaker–Room Responses in Multiple Listening Positions. IEEE/ACM Trans. Audio Speech Lang. Process. 2016, 24, 340–353. [Google Scholar] [CrossRef]
- Bahne, A.; Brännmark, L.; Ahlén, A. Symmetric loudspeaker-room equalization utilizing a pairwise channel similarity criterion. IEEE Trans. Signal Process. 2013, 61, 6276–6290. [Google Scholar] [CrossRef]
- Bahne, A.; Brännmark, L.; Ahlén, A. Improved loudspeaker-room equalization for stereo systems regarding channel similarity. In Proceedings of the International Conference on Audio, Language and Image Processing (ICALIP), Shanghai, China, 16–18 July 2012; pp. 254–259. [Google Scholar]
- Johansson, M.; Brännmark, L.; Bahne, A.; Sternad, M. Sound field control using a limited number of loudspeakers. In Proceedings of the 36th International Audio Engineering Society Conference: Automotive Audio, Dearborn, MI, USA, 2–4 June 2009. [Google Scholar]
- Farina, A.; Ugolotti, E. Spatial Equalization of sound systems in cars. In Proceedings of the 15th International Audio Engineering Society Conference: Audio, Acoustics & Small Spaces, Copenhagen, Denmark, 31 October–2 November 1998. [Google Scholar]
- Lingvall, F.; Brännmark, L. Multiple-point statistical room correction for audio reproduction: Minimum mean squared error correction filtering. J. Acoust. Soc. Am. 2009, 125, 2121–2128. [Google Scholar] [CrossRef] [PubMed]
- Radlovic, B.D.; Williamson, R.C.; Kennedy, R.A. Equalization in an acoustic reverberant environment: Robustness results. IEEE Trans. Speech Audio Process. 2000, 8, 311–319. [Google Scholar] [CrossRef]
- Cecchi, S.; Romoli, L.; Piazza, F.; Carini, A. Multipoint room response equalization with group delay compensation: Subjective listening tests. In Proceedings of the IEEE 7th International Symposium on Image and Signal Processing and Analysis (ISPA), Dubrovnik, Croatia, 4–6 September 2011; pp. 57–62. [Google Scholar]
- Bharitkar, S.; Kyriakakis, C. Visualization of multiple listener room acoustic equalization with the Sammon map. IEEE Trans. Audio Speech Lang. Process. 2007, 15, 542–551. [Google Scholar] [CrossRef]
- Jot, J. An analysis/synthesis approach to real-time artificial reverberation. In Proceedings of the IEEE International Conference on Acoustics, Speech and Signal Processing (ICASSP), San Francisco, CA, USA, 23–26 March 1992; pp. 221–224. [Google Scholar]
- Jot, J.M.; Cerveau, L.; Warusfel, O. Analysis and synthesis of room reverberation based on a statistical time-frequency model. In Proceedings of the 103rd Audio Engineering Society Convention, New York, NY, USA, 26–29 September 1997. [Google Scholar]
- Goetze, S.; Albertin, E.; Kallinger, M.; Mertins, A.; Kammeyer, K. Quality assessment for listening-room compensation algorithms. In Proceedings of the IEEE International Conference on Acoustics Speech and Signal Processing (ICASSP), Dallas, TX, USA, 14–19 March 2010; pp. 2450–2453. [Google Scholar]
- Meyer, E.; Thiele, R. Raumakustische Untersuchungen in zahlreichen Konzertsälen und Rundfunkstudios unter Antoendung neuerer Meβverfahren. Acta Acust. United Acust. 1956, 6, 425–444. [Google Scholar]
- Reichardt, W.; Alim, O.A.; Schmidt, W. Abhängigkeit der grenzen zwischen brauchbarer und unbrauchbarer durchsichtigkeit von der art des musikmotives, der nachhallzeit und der nachhalleinsatzzeit. Appl. Acoust. 1974, 7, 243–264. [Google Scholar] [CrossRef]
- Vilhelm Lassen, J. Acoustical criteria for auditoriums and their relation to model techniques. J. Acoust. Soc. Am. 1970, 47, 408–412. [Google Scholar]
- Von Békésy, G. Über die Entstehung der Entfernungsempfindung beim Hören. Akust. Z. 1938, 3, 21–31. [Google Scholar]
- Triki, M.; Slock, D. Iterated delay and predict equalization for blind speech dereverberation. In Proceedings of the International Workshop on Acoustic Echo and Noise Control (IWAENC), Paris, France, 12–14 September 2006; pp. 1–4. [Google Scholar]
- Kürer, R. Zur Gewinnung von Einzahlkriterien bei Impulsmessung in der Raumakustik. Acustica 1969, 21, 370–372. [Google Scholar]
- Bech, S.; Zacharov, N. Perceptual Audio Evaluation-Theory, Method and Application; Wiley: Hoboken, NJ, USA, 2006. [Google Scholar]
- Campbell, D.; Jones, E.; Glavin, M. Audio quality assessment techniques—A review, and recent developments. Signal Process. 2009, 89, 1489–1500. [Google Scholar] [CrossRef]
- Methods for the Subjective Assessment of Small Impairments in Audio System Including Multichannel Sound Systems, ITU-R BS. 1116-1. 1997.
- Method for Subjective Listening Tests of Intermediate Audio Quality, ITU-R BS. 1534. 2003.
- General Methods for the Subjective Assessment of Sound Quality, ITU-R BS. 1284-1. 2003.
- Rumsey, F. Sound field control: Personal sound zones and moving listeners. J. Audio Eng. Soc. 2016, 64, 808–813. [Google Scholar]
- Zhang, W.; Samarasinghe, P.N.; Chen, H.; Abhayapala, T.D. Surround by sound: A review of spatial audio recording and reproduction. Appl. Sci. 2017, 7, 532. [Google Scholar] [CrossRef]
- Choi, J.W.; Kim, Y.H. Generation of an acoustically bright zone with an illuminated region using multiple sources. J. Acoust. Soc. Am. 2002, 111, 1695–1700. [Google Scholar] [CrossRef] [PubMed]
- Poletti, M. An investigation of 2-d multizone surround sound systems. In Proceedings of the 125th Audio Engineering Society Convention, San Francisco, CA, USA, 2–5 October 2008. [Google Scholar]
- Chang, J.H.; Lee, C.-H.; Park, J.Y.; Kim, Y.H. A realization of sound focused personal audio system using acoustic contrast control. J. Acoust. Soc. Am. 2009, 125, 2091–2097. [Google Scholar] [CrossRef] [PubMed]
- Shin, M.; Lee, S.Q.; Fazi, F.M.; Nelson, P.A.; Kim, D.; Wang, S.; Park, K.H.; Seo, J. Maximization of acoustic energy difference between two spaces. J. Acoust. Soc. Am. 2010, 128, 121–131. [Google Scholar] [CrossRef] [PubMed]
- Wu, Y.J.; Abhayapala, T.D. Spatial multizone soundfield reproduction: Theory and design. IEEE Trans. Audio Speech Lang. Process. 2011, 19, 1711–1720. [Google Scholar] [CrossRef]
- Betlehem, T.; Withers, C. Sound field reproduction with energy constraint on loudspeaker weights. IEEE Trans. Audio Speech Lang. Process. 2012, 20, 2388–2392. [Google Scholar] [CrossRef]
- Chang, J.H.; Jacobsen, F. Sound field control with a circular double-layer array of loudspeakers. J. Acoust. Soc. Am. 2012, 131, 4518–4525. [Google Scholar] [CrossRef] [PubMed]
- Elliott, S.J.; Cheer, J.; Choi, J.W.; Kim, Y. Robustness and regularization of personal audio systems. IEEE Trans. Audio Speech Lang. Process. 2012, 20, 2123–2133. [Google Scholar] [CrossRef]
- Chang, J.H.; Jacobsen, F. Experimental validation of sound field control with a circular double-layer array of loudspeakers. J. Acoust. Soc. Am. 2013, 133, 2046–2054. [Google Scholar] [CrossRef] [PubMed]
- Cheer, J.; Elliott, S.J.; Gálvez, M.F.S. Design and implementation of a car cabin personal audio system. J. Audio Eng. Soc. 2013, 61, 412–424. [Google Scholar]
- Radmanesh, N.; Burnett, I.S. Generation of isolated wideband sound fields using a combined two-stage lasso-ls algorithm. IEEE Trans. Audio Speech Lang. Process. 2013, 21, 378–387. [Google Scholar] [CrossRef]
- Cai, Y.; Wu, M.; Yang, J. Sound reproduction in personal audio systems using the least-squares approach with acoustic contrast control constraint. J. Acoust. Soc. Am. 2014, 135, 734–741. [Google Scholar] [CrossRef] [PubMed]
- Coleman, P.; Jackson, P.J.; Olik, M.; Abildgaard Pedersen, J. Personal audio with a planar bright zone. J. Acoust. Soc. Am. 2014, 136, 1725–1735. [Google Scholar] [CrossRef] [PubMed]
- Coleman, P.; Jackson, P.J.; Olik, M.; Møller, M.; Olsen, M.; Abildgaard Pedersen, J. Acoustic contrast, planarity and robustness of sound zone methods using a circular loudspeaker array a. J. Acoust. Soc. Am. 2014, 135, 1929–1940. [Google Scholar] [CrossRef] [PubMed]
- Helwani, K.; Spors, S.; Buchner, H. The synthesis of sound figures. Multidimens. Syst. Signal Process. 2014, 25, 379–403. [Google Scholar] [CrossRef]
- Betlehem, T.; Zhang, W.; Poletti, M.A.; Abhayapala, T.D. Personal sound zones: delivering interface-free audio to multiple listeners. IEEE Signal Process. Mag 2015, 32, 81–91. [Google Scholar] [CrossRef]
- Jin, W.; Kleijn, W.B. Theory and design of multizone soundfield reproduction using sparse methods. IEEE/ACM Trans. Audio Speech Lang. Process. (TASLP) 2015, 23, 2343–2355. [Google Scholar]
- Menzies, D. Sound field synthesis with distributed modal constraints. Acta Acust. United Acust. 2012, 98, 15–27. [Google Scholar] [CrossRef]
- Poletti, M.A.; Fazi, F. An approach to generating two zones of silence with application to personal sound systems. J. Acoust. Soc. Am. 2015, 137, 598–605. [Google Scholar] [CrossRef] [PubMed]
- Simón, G.; Marcos, F.; Elliott, S.J.; Cheer, J. Time domain optimization of filters used in a loudspeaker array for personal audio. IEEE/ACM Trans. Audio Speech Lang. Process. (TASLP) 2015, 23, 1869–1878. [Google Scholar]
- Antonello, N.; De Sena, E.; Moonen, M.; Naylor, P.A.; van Waterschoot, T. Sound field control in a reverberant room using the Finite Difference Time Domain method. In Proceedings of the 60th Audio Engineering Society International Conference: Dereverberation and Reverberation of Audio, Music, and Speech (DREAMS), Leuven, Belgium, 3–5 February 2016. [Google Scholar]
- Poletti, M.A.; Fazi, F.M. Generation of half-space sound fields with application to personal sound systems. J. Acoust. Soc. Am. 2016, 139, 1294–1302. [Google Scholar] [CrossRef] [PubMed]
- Wakayama, K.; Takada, H. Spatial multi-zone sound field reproduction Using higher-order loudspeakers in reverberant rooms. In Proceedings of the 140th Audio Engineering Society Convention, Paris, France, 4–7 June 2016. [Google Scholar]
- Zhang, W.; Abhayapala, T.D.; Betlehem, T.; Fazi, F.M. Analysis and control of multi-zone sound field reproduction using modal-domain approach. J. Acoust. Soc. Am. 2016, 140, 2134–2144. [Google Scholar] [CrossRef] [PubMed]
- Zhu, Q.; Coleman, P.; Wu, M.; Yang, J. Robust personal audio reproduction based on acoustic transfer function modelling. In Proceedings of the 2016 Audio Engineering Society International Conference on Sound Field Control, Guildford, UK, 18–20 July 2016. [Google Scholar]
- Okamoto, T.; Sakaguchi, A. Experimental validation of spatial Fourier transform-based multiple sound zone generation with a linear loudspeaker array. J. Acoust. Soc. Am. 2017, 141, 1769–1780. [Google Scholar] [CrossRef] [PubMed]
- Piñero, G.; Botella, C.; de Diego, M.; Ferrer, M.; González, A. On the feasibility of personal audio systems over a network of distributed loudspeakers. In Proceedings of the 25th European Signal Processing Conference (EUSIPCO), Kos, Greece, 28 August–2 September 2017; pp. 2729–2733. [Google Scholar]
- Zhu, Q.; Coleman, P.; Wu, M.; Yang, J. Robust reproduction of sound zones with local sound orientation. J. Acoust. Soc. Am. 2017, 142, EL118–EL122. [Google Scholar] [CrossRef] [PubMed]
- Cecchi, S.; Virgulti, M.; Primavera, A.; Piazza, F.; Bettarelli, F.; Li, J. Investigation on audio algorithms architecture for stereo portable devices. J. Audio Eng. Soc. 2016, 64, 75–88. [Google Scholar] [CrossRef]
- Czyzewski, A.; Ciarkowski, A.; Kostek, B.; Kotus, J.; Lopatka, K.; Suchomski, P. Adaptive personal tuning of sound in mobile computers. J. Audio Eng. Soc. 2016, 64, 405–428. [Google Scholar] [CrossRef]
- Fuster, L. Linear and Nonlinear Room Compensation of Audio Rendering Systems. Ph.D. Thesis, Universitat Politecnica de Valencia, Valencia, Spain, 2015. [Google Scholar]
- Fuster, L.; de Diego, M.; Ferrer, M.; Gonzalez, A.; Pinero, G. Nonlinear filtered-X second-order adaptive volterra filters for listening-room compensation. In Proceedings of the 23rd European Signal Processing Conference (EUSIPCO), Nice, France, 31 August–4 September 2015; pp. 669–673. [Google Scholar]
- Fuster, L.; Ferrer, M.; de Diego, M.; Gonzalez, A. Combination of filtered-x adaptive filters for nonlinear listening-room compensation. In Proceedings of the 24th European Signal Processing Conference (EUSIPCO), Budapest, Hungary, 29 August–2 September 2016; pp. 1773–1777. [Google Scholar]
- Hahn, N.; Spors, S. Continuous measurement of impulse responses on a circle using a uniformly moving microphone. In Proceedings of the 23rd European Signal Processing Conference (EUSIPCO), Nice, France, 31 August–4 September 2015. [Google Scholar]
- Mazur, R.; Katzberg, F.; Phan, H.; Mertins, A. Room equalization based on measurements with moving microphones. In Proceedings of the IEEE Hands-free Speech Communications and Microphone Arrays (HSCMA), San Francisco, CA, USA, 1–3 March 2017; pp. 121–125. [Google Scholar]














| Pre-Processing | Minimum Phase | Mixed Phase | Fixed | Adaptive | Single-point | Multi-point | Direct | Indirect | Wave Domain | Section | |
|---|---|---|---|---|---|---|---|---|---|---|---|
| Short filters [61] | √ | √ | √ | √ | √ | 5.1 | |||||
| Complex smoothing [35,94] | √ | √ | √ | √ | √ | 5.2.1 | |||||
| Frequency warping [98] | √ | √ | √ | √ | √ | 5.2.2 | |||||
| Kautz filters [110] | √ | √ | √ | √ | √ | 5.2.3 | |||||
| Multirate approaches [50,72,116,117,118,119,120] | √ | √ | √ | √ | √ | 5.2.4 | |||||
| Room impulse response reshaping [78,122,123,124,125,126,127,128,129,130] | √ | √ | √ | 5.3 | |||||||
| Homomorphic filtering [5,56,57,58] | √ | √ | √ | √ | √ | 4.1 | |||||
| Linear predictive coding analysis [61,63,64,65,66,67,68,69,70,71,72,73,74,75] | √ | √ | √ | √ | 4.2 | ||||||
| Least-squares optimization techniques [76] | √ | √ | √ | √ | √ | √ | 4.3 | ||||
| Frequency domain deconvolution [51,80,81] | √ | √ | √ | √ | √ | 4.4 | |||||
| MINT solutions [86,87] | √ | √ | √ | √ | √ | 4.5 | |||||
| Average and weighted average methods [77] | √ | √ | √ | √ | 6.1 | ||||||
| Clustering methods [30,70,71,72,121,138,139,140] | √ | √ | √ | √ | √ | 6.2 | |||||
| Prototype approach [73,144,146,147] | √ | √ | √ | √ | √ | √ | √ | 6.3 | |||
| Common acoustical poles compensation [63,64,65] | √ | √ | √ | √ | 6.4 | ||||||
| Modal equalization [4,157] | √ | √ | √ | √ | 6.5 | ||||||
| Plane wave approach [159,160,161,162,163,164,165] | √ | √ | √ | 6.6 | |||||||
| Quasi-anechoic approach [172,173] | √ | √ | √ | √ | √ | 6.8 | |||||
| SISO/SIMO in time domain [77,169,189] | √ | √ | √ | √ | √ | √ | √ | 7.1.1 | |||
| SISO/SIMO in frequency domain [177,178,179,180] | √ | √ | √ | √ | √ | √ | √ | 7.1.2 | |||
| MIMO approaches [183,185,186] | √ | √ | √ | √ | √ | √ | 7.2 | ||||
| Wave domain adaptive filtering [10,200,201] | √ | √ | √ | √ | √ | 8 | |||||
| Transform domain approaches [206,208] | √ | √ | √ | √ | √ | 8 | |||||
| Room geometry aware methods [209,210,211,212] | √ | √ | √ | 8 |
© 2017 by the authors. Licensee MDPI, Basel, Switzerland. This article is an open access article distributed under the terms and conditions of the Creative Commons Attribution (CC BY) license (http://creativecommons.org/licenses/by/4.0/).
Share and Cite
Cecchi, S.; Carini, A.; Spors, S. Room Response Equalization—A Review. Appl. Sci. 2018, 8, 16. https://doi.org/10.3390/app8010016
Cecchi S, Carini A, Spors S. Room Response Equalization—A Review. Applied Sciences. 2018; 8(1):16. https://doi.org/10.3390/app8010016
Chicago/Turabian StyleCecchi, Stefania, Alberto Carini, and Sascha Spors. 2018. "Room Response Equalization—A Review" Applied Sciences 8, no. 1: 16. https://doi.org/10.3390/app8010016
APA StyleCecchi, S., Carini, A., & Spors, S. (2018). Room Response Equalization—A Review. Applied Sciences, 8(1), 16. https://doi.org/10.3390/app8010016

