Material Optimization for a High Power Thermoelectric Generator in Wearable Applications
Abstract
:1. Introduction
2. Materials and Methods
2.1. Thermoelectric Material Simulation
2.2. Device Simulation in the Human Body Application
3. Results
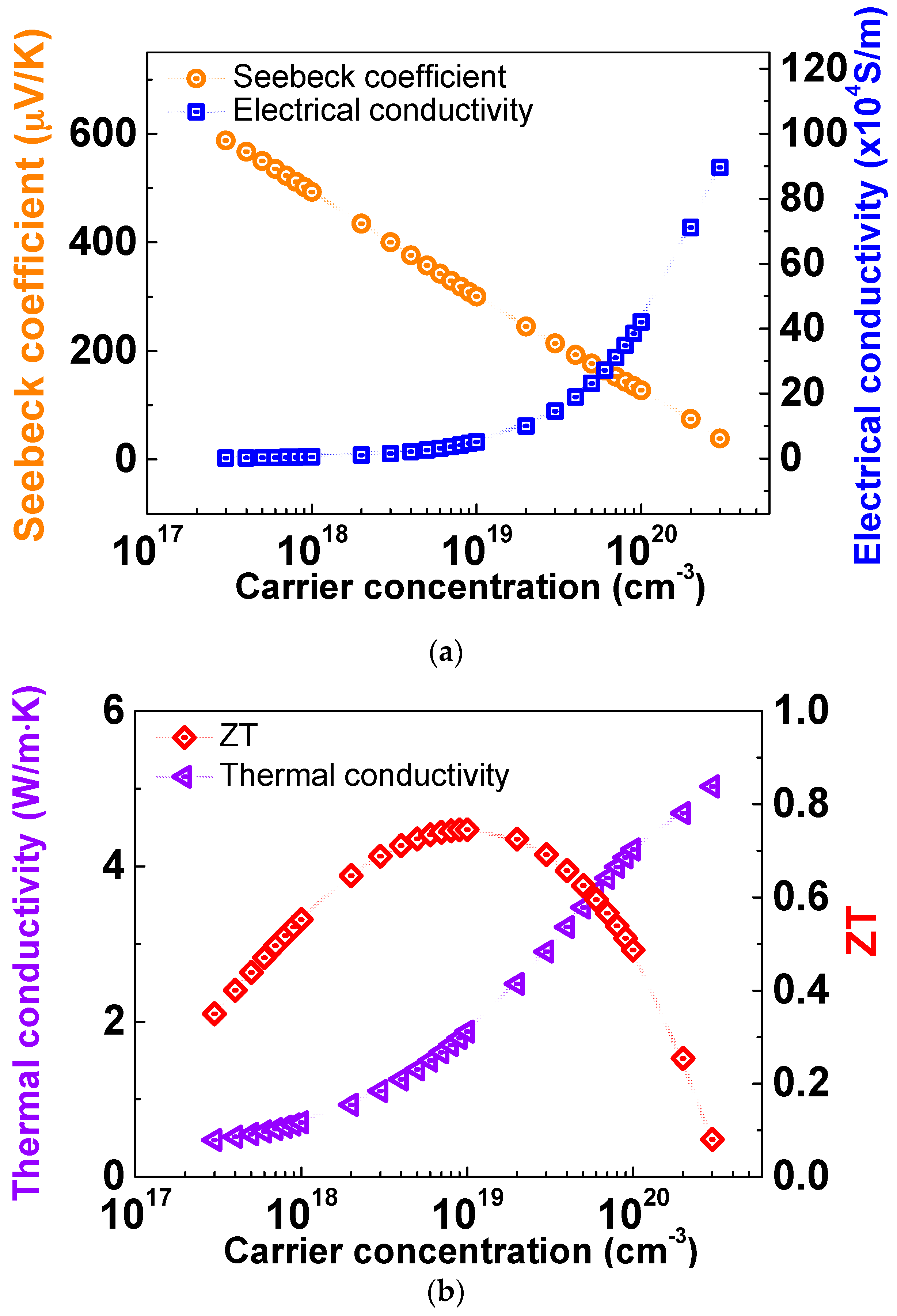
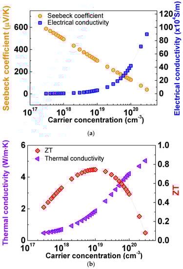
3.1. Carrier Concentration Difference between Maximum ZT and Maximum Power Density
3.2. Power Density for Different Thermal Conductivity
3.3. Device Structure and Environment Variation
3.3.1. Fill Factor Variation
3.3.2. Copper Electrode Thickness Variation
3.3.3. Convection Environment Variation
4. Discussion
Acknowledgments
Author Contributions
Conflicts of Interest
References
- Paradiso, J.A.; Starner, T. Energy scavenging for mobile and wireless electronics. IEEE Pervasive Comput. 2005, 4, 18–27. [Google Scholar] [CrossRef]
- Kim, S.J.; We, J.H.; Cho, B.J. A wearable thermoelectric generator fabricated on a glass fabric. Energy Environ. Sci. 2014, 7, 1959–1965. [Google Scholar] [CrossRef]
- Leonov, V. Thermoelectric energy harvesting of human body heat for wearable sensors. IEEE Sens. J. 2013, 13, 2284–2291. [Google Scholar] [CrossRef]
- Leonov, V.; Vullers, R.J.M. Wearable thermoelectric generators for body-powered devices. J. Electron. Mater. 2009, 38, 1491–1498. [Google Scholar] [CrossRef]
- Leonov, V.; Van Hoof, C.; Vullers, R.J. Thermoelectric and Hybrid Generators in Wearable Devices and Clothes. In Proceedings of the IEEE Sixth International Workshop on Wearable and Implantable Body Sensor Networks, Berkeley, CA, USA, 3–5 June 2009. [Google Scholar]
- Gelbstein, Y.; Tunbridge, J.; Dixon, R.; Reece, M.J.; Ning, H.P.; Gilchrist, R.; Summers, R.; Agote, I.; Lagos, M.A.; Simpson, K.; et al. Physical, mechanical and structural properties of highly efficient nanostructured n- and p- silicides for practical thermoelectric applications. J. Electron. Mater. 2014, 43, 1703–1711. [Google Scholar] [CrossRef]
- Appel, O.; Schwall, M.; Kohne, M.; Balke, B.; Gelbstein, Y. Effects of microstructural evolution effects on the thermoelectric properties of spark plasma sintered Ti0.3Zr0.35Hf0.35NiSn half-Heusler compound. J. Electron. Mater. 2013, 42, 1340–1345. [Google Scholar] [CrossRef]
- Appel, O.; Zilber, T.; Kalabukhov, S.; Beeri, O.; Gelbstein, Y. Morpholoical effects on the thermoelectric properties of Ti0.3Zr0.35Hf0.35Ni1+δSn alloys following phase separation. J. Mater. Chem. C 2015, 3, 11653–11659. [Google Scholar] [CrossRef]
- Vizel, R.; Bargig, T.; Beeri, O.; Gelbstein, Y. Bonding of Bi2Te3 based thermoelectric legs to metallic contacts using Bi0.82Sb0.18 alloy. J. Electron. Mater. 2016, 45, 1296–1300. [Google Scholar] [CrossRef]
- Gelbstein, Y. Pb1-xSnxTe Alloys—Application Considerations. J. Electron. Mater. 2011, 40, 533–536. [Google Scholar] [CrossRef]
- Gelbstein, Y. Phase morphology effects on the thermoelectric properties of Pb0.25Sn0.25Ge0.5Te. Acta Mater. 2013, 61, 1499–1507. [Google Scholar] [CrossRef]
- Dado, B.; Gelbstein, Y.; Mogilansky, D.; Ezersky, V.; Dariel, M.P. Structural evolution following spinodal decomposition of the pseudo-ternary compound (Pb0.3Sn0.1Ge0.6)Te. J. Electron. Mater. 2010, 39, 2165–2171. [Google Scholar] [CrossRef]
- Hazan, E.; Ben-Yehuda, O.; Madar, N.; Gelbstein, Y. Functional graded germanium-lead chalcogenides-based thermoelectric module for renewable energy applications. Adv. Energy Mater. 2015, 5, 1500272. [Google Scholar] [CrossRef]
- Snyder, G.J.; Toberer, E.S. Complex thermoelectric materials. Nat. Mater. 2008, 7, 105–114. [Google Scholar] [CrossRef] [PubMed]
- Rowe, D.M. General Principle and Basic Considerations. In Thermoelectrics Handbook: Macro to Nano; Rowe, D.M., Ed.; CRC Press: Boca Raton, FL, USA; Taylor & Francis: Boca Raton, FL, USA, 2006; pp. 1-1–1-14. ISBN 9780849322648. [Google Scholar]
- Ebling, D.; Bartholomé, K.; Bartel, M.; Jägle, M. Module geometry and contact resistance of thermoelectric generators analyzed by multiphysics simulation. J. Electron. Mater. 2010, 39, 1376–1380. [Google Scholar] [CrossRef]
- Tritt, T.M.; Subramanian, M.A. Thermoelectric materials, phenomena, and applications: A bird’s eye view. MRS Bull. 2006, 31, 188–198. [Google Scholar] [CrossRef]
- Leonov, V.; Fiorini, P. Thermal matching of a thermoelectric energy scavenger with the ambience. In Proceedings of the European Conference on Thermoelectrics, Paris, France, 22 October 2007; pp. 129–133. [Google Scholar]
- Lee, Y.G.; Kim, J.; Kang, M.S.; Baek, S.H.; Kim, S.K.; Lee, S.M.; Lee, J.; Hyun, D.B.; Ju, B.K.; Moon, S.E.; et al. Design and Experimental Investigation of Thermoelectric Generators for Wearable Applications. Adv. Mater. Technol. 2017, 2, 1600292. [Google Scholar] [CrossRef]
- Suarez, F.; Nozariasbmarz, A.; Vashaee, D.; Öztürk, M.C. Designing thermoelectric generators for self-powered wearable electronics. Energy Environ. Sci. 2016, 9, 2099–2113. [Google Scholar] [CrossRef]
- Yazawa, K.; Shakouri, A. Cost-efficiency trade-off and the design of thermoelectric power generators. Environ. Sci. Technol. 2011, 45, 7548–7553. [Google Scholar] [CrossRef] [PubMed]
- Leonov, V. Simulation of maximum power in the wearable thermoelectric generator with a small thermopile. Microsyst. Technol. 2011, 17, 495–504. [Google Scholar] [CrossRef]
- Yamashita, O.; Sadatomi, N. Thermoelectric properties of Si1−x Gex (x ≤ 0.10) with alloy and dopant segregations. J. Appl. Phys. 2000, 88, 245–251. [Google Scholar] [CrossRef]
- Jacguot, A.; Liu, W.L.; Chen, G.; Fleurial, J.P.; Dauscher, A.; Lenoir, B. Figure-of-Merit and Emissivity Measurement of Fine-Grained Polycrystalline Silicon Thin Films. In Proceedings of the ICT’02 Twenty-First International Conference on Thermoelectrics, Long Beach, CA, USA, 29 August 2002; pp. 118–121. [Google Scholar]
- Hicks, L.D.; Dresselhaus, M.S. Effect of quantum-well structures on the thermoelectric figure of merit. Phys. Rev. B 1993, 47, 12727. [Google Scholar] [CrossRef]
- Mayer, P.M.; Ram, R.J. Optimization of heat sink–limited thermoelectric generators. Nanoscale Microscale Thermophys. Eng. 2006, 10, 143–155. [Google Scholar] [CrossRef]
- Bahk, J.H.; Fang, H.; Yazawa, K.; Shakouri, A. Flexible thermoelectric materials and device optimization for wearable energy harvesting. J. Mater. Chem. C 2015, 3, 10362–10374. [Google Scholar] [CrossRef]
- Oh, M.W.; Ryu, B.; Lee, J.E.; Joo, S.J.; Kim, B.S.; Park, S.D.; Min, B.K.; Lee, H.W. Electronic Structures and Seebeck Coefficients of Bi2Te3, Sb2Te3, and (Bi0.25Sb0.75)2Te3: A First-Principles Calculation Study. J. Nanoelectron. Optoelectron. 2015, 10, 391–396. [Google Scholar] [CrossRef]
- Anderson, T.L.; Krause, H.B. Refinement of the Sb2Te3 and Sb2Te2Se structures and their relationship to nonstoichiometric Sb2Te3−ySey compounds. Acta Crystallogr. Sect. B 1974, 30, 1307–1310. [Google Scholar] [CrossRef]
- Momma, K.; Izumi, F. VESTA 3 for three-dimensional visualization of crystal, volumetric and morphology data. J. Appl. Crystallogr. 2011, 44, 1272–1276. [Google Scholar] [CrossRef]
- Kresse, G.; Hafner, J. Ab initio molecular dynamics for liquid metals. Phys. Rev. B 1993, 47, 558. [Google Scholar] [CrossRef]
- Kresse, G.; Joubert, D. From ultrasoft pseudopotentials to the projector augmented-wave method. Phys. Rev. B 1999, 59, 1758. [Google Scholar] [CrossRef]
- Perdew, J.P.; Burke, K.; Ernzerhof, M. Generalized gradient approximation made simple. Phys. Rev. Lett. 1996, 77, 3865. [Google Scholar] [CrossRef] [PubMed]
- Pack, J.D.; Monkhorst, H.J. Special points for Brillouin-zone integrations—A reply. Phys. Rev. B 1977, 16, 1748. [Google Scholar] [CrossRef]
- Mahan, G.D.; Sofo, J.O. The best thermoelectric. Proc. Natl. Acad. Sci. USA 1996, 93, 7436–7439. [Google Scholar] [CrossRef] [PubMed]
- Kittel, C. Introduction to Solid State Physics, 8th ed.; John Wiley & Sons, Inc.: Hoboken, NJ, USA, 2005; ISBN 978-0-471-41526-8. [Google Scholar]
- Madsen, G.K.; Singh, D.J. BoltzTraP. A code for calculating band-structure dependent quantities. Comput. Phys. Commun. 2006, 175, 67–71. [Google Scholar] [CrossRef]
- Fan, X.A.; Yang, J.; Zhu, W.; Bao, S.; Duan, X.; Zhang, Q. Thermoelectric properties of P-type Te-doped (Bi, Sb)2Te3 alloys by mechanical alloying and plasma activated sintering. J. Alloys Compd. 2008, 448, 308–312. [Google Scholar] [CrossRef]
- Seo, S.; Lee, K.; Jeong, Y.; Oh, M.W.; Yoo, B. Method of efficient Ag doping for Fermi level tuning of thermoelectric Bi0.5Sb1.5Te3 alloys using a chemical displacement reaction. J. Phys. Chem. C 2015, 119, 18038–18045. [Google Scholar] [CrossRef]
- Leonov, V.; Fiorini, P.; Sedky, S.; Torfs, T.; Van Hoof, C. Thermoelectric MEMS generators as a power supply for a body area network. In Proceedings of the 13th International Conference on Solid-State Sensors, Actuators and Microsystems, TRANSDUCERS’05, Seoul, South Korea, 5–9 June 2005; Volume 1, pp. 291–294. [Google Scholar]
- Esarte, J.; Min, G.; Rowe, D.M. Modelling heat exchangers for thermoelectric generators. J. Power Sour. 2001, 93, 72–76. [Google Scholar] [CrossRef]
- Lossec, M.; Multon, B.; Ahmed, H.B. Sizing optimization of a thermoelectric generator set with heatsink for harvesting human body heat. Energy Convers. Manag. 2013, 68, 260–265. [Google Scholar] [CrossRef]







| Variables | Values |
|---|---|
| Fill factor (FF) | 10% |
| TE leg height | 2.5 mm |
| TE leg width | 2.0 mm |
| Contact resistance | 10−6 Ω·cm2 |
| Copper pad width | 1.4 × Leg width |
| Copper pad thickness | 35 μm |
| Thermal conductivity of filler | 0.03 W/m·K |
| Variables | Values |
|---|---|
| Body core temperature | 37 °C |
| Ambient temperature | 25 °C |
| Heat transfer coefficient (skin) | 39.2 W/m2·K |
| Heat transfer coefficient (air) | 10.5 W/m2·K |
© 2017 by the authors. Licensee MDPI, Basel, Switzerland. This article is an open access article distributed under the terms and conditions of the Creative Commons Attribution (CC BY) license (http://creativecommons.org/licenses/by/4.0/).
Share and Cite
Lee, G.; Choi, G.; Kim, C.S.; Kim, Y.J.; Choi, H.; Kim, S.; Kim, H.S.; Lee, W.B.; Cho, B.J. Material Optimization for a High Power Thermoelectric Generator in Wearable Applications. Appl. Sci. 2017, 7, 1015. https://doi.org/10.3390/app7101015
Lee G, Choi G, Kim CS, Kim YJ, Choi H, Kim S, Kim HS, Lee WB, Cho BJ. Material Optimization for a High Power Thermoelectric Generator in Wearable Applications. Applied Sciences. 2017; 7(10):1015. https://doi.org/10.3390/app7101015
Chicago/Turabian StyleLee, Gyusoup, Garam Choi, Choong Sun Kim, Yong Jun Kim, Hyeongdo Choi, Seongho Kim, Hyo Seok Kim, Won Bo Lee, and Byung Jin Cho. 2017. "Material Optimization for a High Power Thermoelectric Generator in Wearable Applications" Applied Sciences 7, no. 10: 1015. https://doi.org/10.3390/app7101015
APA StyleLee, G., Choi, G., Kim, C. S., Kim, Y. J., Choi, H., Kim, S., Kim, H. S., Lee, W. B., & Cho, B. J. (2017). Material Optimization for a High Power Thermoelectric Generator in Wearable Applications. Applied Sciences, 7(10), 1015. https://doi.org/10.3390/app7101015
