Investigation of Microbiological Quality and Chemical Properties of Ready-to-Eat Milk Jam †
Abstract
1. Introduction
2. Materials and Methods
2.1. Materials
2.2. Microbiological Analyses
2.3. Chemical Analyses
2.4. Statistical Analyses
3. Results
4. Discussion
4.1. Evaluation of Chemical Quality
4.2. Evaluation of Microbiological Quality
5. Conclusions
Limitations
Author Contributions
Funding
Data Availability Statement
Acknowledgments
Conflicts of Interest
References
- Tuna, C.; Arslan, S. Production Methods and Properties of Milk Jam. Akad. Gıda 2016, 14, 204–208. [Google Scholar]
- Ranalli, N.; Andrés, S.C.; Califano, A.N. Physicochemical and Rheological Characterization of ‘Dulce de Leche’. J. Texture Stud. 2012, 43, 115–123. [Google Scholar] [CrossRef]
- Tavares Filho, E.R.; Pimentel, T.C.; Silva, R.; Praxedes, C.I.S.; Oliveira, J.M.S.; Prudêncio, E.S.; Felix, P.H.C.; Neta, M.T.S.L.; Silva, P.H.F.; Mársico, E.T.; et al. Inulin or Xylooligosaccharide Addition to Dulce de Leche Affects Consumers’ Sensory Experience and Emotional Response. Food Res. Int. 2025, 200, 115492. [Google Scholar] [CrossRef] [PubMed]
- Rodríguez, A.; Lema, P.; Bessio, M.I.; Moyna, G.; Panizzolo, L.A.; Ferreira, F. Isolation and Characterization of Melanoidins from Dulce de Leche, a Confectionary Dairy Product. Molecules 2019, 24, 4163. [Google Scholar] [CrossRef] [PubMed]
- Hentges, D.; da Silva, D.T.; Dias, P.A.; da Conceição, R.D.C.S.; Zonta, M.N.; Timm, C.D. Pathogenic Microorganism Survival in Dulce de Leche. Food Control 2010, 21, 1291–1293. [Google Scholar] [CrossRef]
- Alan, S.; Büyük, G.D.; Adem, B.; Çetin, G. Investigation of microbiological quality and chemical properties of ready-to-eat milk jam. In Proceedings of the Van Yüzüncü Yıl University 4th International Health Sciences Congress, Van, Türkiye, 15–16 December 2025; Available online: https://webportal.yyu.edu.tr/vusak2025 (accessed on 11 February 2026).
- Maturin, L.; Peeler, J.T. Bacteriological Analytical Manual: Chapter 3, Aerobic Plate Count; U.S. Food and Drug Administration: College Park, MD, USA, 2001. [Google Scholar]
- Cirolini, A.; Miotto, M.; Machado, F.M.; Silva, H.S.D.; Ogliari, P.J.; Vieira, C.R.W. Evaluation of the Petrifilm™ EB and TEMPO® EB Systems with ISO 21528-2:2004 Method for the Count of Enterobacteriaceae in Milk. Braz. J. Microbiol. 2013, 44, 771–775. [Google Scholar] [CrossRef]
- Bird, P.; Bastin, B.; Klass, N.; Crowley, E.; Agin, J.; Goins, D.; Bakken, H.; Lingle, C.; Schumacher, A. Evaluation of the 3M™ Petrifilm™ Rapid E. coli/Coliform Count Plate for the Enumeration of E. coli and Coliforms: Collaborative Study, First Action 2018.13. J. AOAC Int. 2020, 103, 513–522. [Google Scholar] [CrossRef]
- Alan, S.; Akgöl, M.; Öksüztepe, G. Some quality parameters of unpackaged raw milk sold in Elazığ. FU Sağ. Bil. Vet. Derg. 2023, 37, 209–216. [Google Scholar]
- Williams, S. (Ed.) Official Methods of Analysis of the Association of Official Analytical Chemists, 14th ed; Association of Official Analytical Chemists: Rockville, MD, USA, 1984. [Google Scholar]
- Andrade, E.H.P.; da Fonseca, L.M.; de Souza, M.R.; Penna, C.F.D.A.M.; Cerqueira, M.M.O.P.; de Oliveira Leite, M. Fat Content in Fermented Milk Beverages: Determination by the Gerber Method. Semin. Ciênc. Agrár. 2022, 43, 441–448. [Google Scholar] [CrossRef]
- Da Silva, L.C.A.; Junior, J.A.L.; Leite, M.O.; Fontes, E.A.; Coimbra, J.S. Comparative Appraisal of HPLC, Chloramine-T and Lane-Eynon Methods for Quantification of Carbohydrates in Concentrated Dairy Products. Int. J. Dairy Technol. 2020, 73, 795–800. [Google Scholar] [CrossRef]
- Akal, C.; Buran, İ.; Delialioğlu, R.A.; Yetişemiyen, A. The Effect of Different Sugar Ratios on the Quality Properties of Milk Jam. GIDA 2018, 43, 865–875. [Google Scholar] [CrossRef]
- Gaze, L.V.; Costa, M.P.; Monteiro, M.L.G.; Lavorato, J.A.A.; Júnior, C.C.; Raices, R.S.L.; Cruz, A.G.; Freitas, M.Q. Dulce de Leche, a Typical Product of Latin America: Characterisation by Physicochemical, Optical and Instrumental Methods. Food Chem. 2015, 169, 471–477. [Google Scholar] [CrossRef]
- Martin, N.H.; Torres-Frenzel, P.; Wiedmann, M. Invited Review: Controlling Dairy Product Spoilage to Reduce Food Loss and Waste. J. Dairy Sci. 2021, 104, 1251–1261. [Google Scholar] [CrossRef] [PubMed]
- Sulejmani, E.I.; Boran, O.S.; Coşkun, A.; Hayaloglu, A.A. Physicochemical, Sensorial and Rheological Characterisation of Whole-Fat or Low-Fat Milk Jams as Influenced by Calcium Chloride, Sodium Bicarbonate and Sucrose Content. Int. J. Food Sci. Technol. 2021, 56, 4455–4464. [Google Scholar] [CrossRef]
- Giménez, A.; Ares, G.; Gámbaro, A. Consumer Reaction to Changes in Sensory Profile of Dulce De Leche Due to Lactose Hydrolysis. Int. Dairy J. 2008, 18, 951–955. [Google Scholar] [CrossRef]
- Beuchat, L.R.; Komitopoulou, E.; Beckers, H.; Betts, R.P.; Bourdichon, F.; Fanning, S.; Joosten, H.M.; Kuile, B.H. Low-Water Activity Foods: Increased Concern as Vehicles of Foodborne Pathogens. J. Food Prot. 2013, 76, 150–172. [Google Scholar] [CrossRef]
- Martin, N.H.; Evanowski, R.L.; Wiedmann, M. Invited Review: Redefining Raw Milk Quality—Evaluation of Raw Milk Microbiological Parameters to Ensure High-Quality Processed Dairy Products. J. Dairy Sci. 2023, 106, 1502–1517. [Google Scholar] [CrossRef]
- Fusco, V.; Chieffi, D.; Fanelli, F.; Logrieco, A.F.; Cho, G.S.; Kabisch, J.; Böhnlein, C.; Franz, C.M. Microbial Quality and Safety of Milk and Milk Products in the 21st Century. Compr. Rev. Food Sci. Food Saf. 2020, 19, 2013–2049. [Google Scholar] [CrossRef]
- Shi, C.; Maktabdar, M. Lactic Acid Bacteria as Biopreservation Against Spoilage Molds in Dairy Products—A Review. Front. Microbiol. 2022, 12, 819684. [Google Scholar] [CrossRef]
- Hervert, C.J.; Martin, N.H.; Boor, K.J.; Wiedmann, M. Survival and Detection of Coliforms, Enterobacteriaceae, and Gram-Negative Bacteria in Greek Yogurt. J. Dairy Sci. 2017, 100, 950–960. [Google Scholar] [CrossRef]
- Aleksic, B.; Udovicki, B.; Kovacevic, J.; Miloradovic, Z.; Djekic, I.; Miocinovic, J.; Tomic, N.; Smigic, N. Microbiological Assessment of Dairy Products Produced by Small-Scale Producers in Serbia. Foods 2024, 13, 1456. [Google Scholar] [CrossRef]
- Souad, R.; Mossadak, H.T.; Leila, B. Assessing Hygiene Indicators in Two Dairies in Algeria in Producing Pasteurized Milk. Vet. World 2021, 14, 2317–2322. [Google Scholar] [CrossRef]
- European Commission. Commission Regulation (EC) No 2073/2005 of 15 November 2005 on Microbiological Criteria for Foodstuffs. Off. J. Eur. Union 2005, L338, 1–26. Available online: https://eur-lex.europa.eu/eli/reg/2005/2073/oj (accessed on 11 February 2026).
- Republic of Türkiye; Ministry of Agriculture and Forestry. Turkish Food Codex Microbiological Criteria Regulation. Off. Gaz. Repub. Turk. 2025, 32812. 13 February 2025. Available online: https://www.resmigazete.gov.tr/eskiler/2025/02/20250213-1.htm (accessed on 11 February 2026).
- Ahansaz, N.; Tarrah, A.; Pakroo, S.; Corich, V.; Giacomini, A. Lactic Acid Bacteria in Dairy Foods: Prime Sources of Antimicrobial Compounds. Fermentation 2023, 9, 964. [Google Scholar] [CrossRef]
- Alan, S.; Öksüztepe, G.; Güran, H.Ş. Effect of potassium sorbate, nisin and lysozyme singly and in combinations on the quality of pickled white cheese during storage. Rev. Cient. 2025, 35, 9. [Google Scholar] [CrossRef]
- World Health Organization (WHO). WHO Estimates of the Global Burden of Foodborne Diseases: Foodborne Diseases Burden Epidemiology Reference Group 2007–2015. 2015. Available online: https://www.who.int/publications/i/item/9789241565165 (accessed on 11 February 2026).








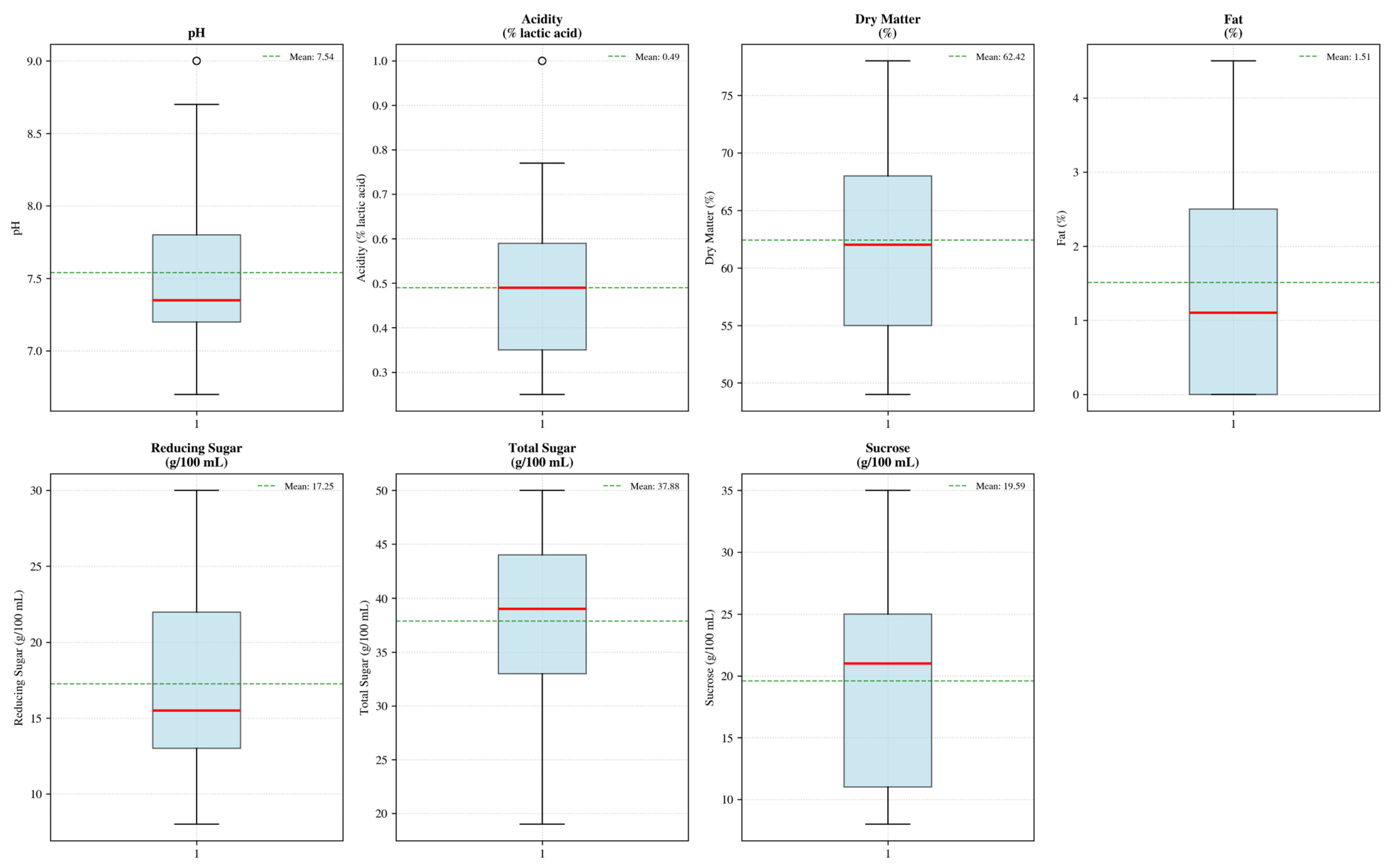
| Analysis | Minimum | Maximum | Mean ± SD |
|---|---|---|---|
| pH | 6.70 | 8.99 | 7.54 ± 0.63 |
| Acidity (% lactic acid) | 0.25 | 1.00 | 0.49 ± 0.19 |
| Dry matter (%) | 49.07 | 78.47 | 62.42 ± 8.85 |
| Fat (%) | 0.00 | 4.60 | 1.51 ± 1.50 |
| Reducing sugar (g/100 mL) | 8.12 | 30.37 | 17.25 ± 6.16 |
| Total sugar (g/100 mL) | 18.52 | 52.00 | 37.88 ± 8.67 |
| Sucrose (g/100 mL) | 8.34 | 35.04 | 19.59 ± 8.74 |
| Analysis | Number of Positive Samples (%) | Mean ± SD (For Positive Samples) | Range (Min–Max) (For Positive Samples) |
|---|---|---|---|
| TMAB | 10 (50.00%) | 4.51 ± 1.91 | 2.30–7.54 |
| Psychrophiles | 0 (0.00%) | - | - |
| Yeast-Mold | 9 (45.00%) | 3.92 ± 1.26 | 2.30–5.94 |
| Lactic acid bacteria | 3 (15.00) | 4.33 ± 1.86 | 2.30–5.95 |
| Enterobacteriaceae | 6 (30.00) | 3.15 ± 1.26 | 2.30–5.65 |
| Coliforms | 5 (25.00%) | 3.63 ± 1.06 | 2.87–5.46 |
| Proteolytic bacteria | 11 (55.00%) | 4.21 ± 1.57 | 2.30–7.00 |
| Log CFU/g | ||||||||||||
|---|---|---|---|---|---|---|---|---|---|---|---|---|
| Microorg. | <1.00 | 1.00–1.99 | 2.00–3.99 | 4.00–5.99 | 6.00–7.99 | >8.00 | ||||||
| n | % | n | % | n | % | n | % | n | % | n | % | |
| TMAB | 10 | 50 | - | - | 4 | 20 | 4 | 20 | 2 | 10 | - | - |
| Psychrophiles | - | - | - | - | - | - | - | - | - | - | - | - |
| Yeast-Mold | 11 | 55 | - | - | 5 | 25 | 4 | 20 | - | - | - | - |
| Lactic acid bacteria | 17 | 85 | - | - | 1 | 5 | 2 | 10 | - | - | - | - |
| Enterobacteriaceae | 14 | 70 | - | - | 5 | 25 | 1 | 5 | - | - | - | - |
| Coliforms | 15 | 75 | - | - | 4 | 20 | 1 | 5 | - | - | - | - |
| Proteolytic bacteria | 9 | 45 | - | - | 6 | 30 | 3 | 15 | 2 | 10 | - | - |
| Acidity | Dry Matter | Fat | Reducing Sugar | Total Sugar | Sucrose | TMAB | Yeast-Mold | Lactic Acid Bacteria | Enterobac. | Coliform | Proteolytic Bacteria | |
|---|---|---|---|---|---|---|---|---|---|---|---|---|
| pH | −0.247 | 0.189 | 0.086 | −0.258 | 0.311 | 0.466 * | −0.497 | −0.403 | −0.278 | −0.493 | −0.455 | 0.402 |
| Acidity | −0.393 | 0.358 | 0.392 | −0.261 | −0.509 * | 0.292 | 0.091 | −0.519 | 0.423 | 0.376 | 0.433 | |
| Dry matter | −0.447 * | 0.055 | 0.497 * | 0.432 | −0.617 | 0.001 | 0.184 | −0.438 | −0.455 | −0.732 * | ||
| Fat | 0.019 | −0.058 | −0.068 | 0.235 | 0.330 | −0.585 | −0.191 | −0.344 | 0.545 | |||
| Reducing sugar | 0.267 | −0.418 | 0.357 | 0.572 | 0.411 | 0.824 * | 0.908 * | −0.492 | ||||
| Total sugar | 0.764 ** | −0.360 | 0.498 | 1.000 * | 0.335 | 0.016 | −0.459 | |||||
| Sucrose | −0.573 | −0.040 | −0.102 | −0.502 | −0.679 | −0.241 | ||||||
| TMAB | 0.315 | 0.857 | 0.949 | 0.963 | 0.809 * | |||||||
| Yeast-mold | 0.999 * | 0.997 * | 0.544 | −0.312 | ||||||||
| Lactic acid bacteria | 1.000 ** | 0.687 | 1.000 ** | |||||||||
| Enterobac. | 1.000 ** | 0.688 | ||||||||||
| Coliform | −0.527 |
Disclaimer/Publisher’s Note: The statements, opinions and data contained in all publications are solely those of the individual author(s) and contributor(s) and not of MDPI and/or the editor(s). MDPI and/or the editor(s) disclaim responsibility for any injury to people or property resulting from any ideas, methods, instructions or products referred to in the content. |
© 2026 by the authors. Licensee MDPI, Basel, Switzerland. This article is an open access article distributed under the terms and conditions of the Creative Commons Attribution (CC BY) license.
Share and Cite
Alan, S.; Büyük, G.D.; Adem, B.; Çetin, G. Investigation of Microbiological Quality and Chemical Properties of Ready-to-Eat Milk Jam. Appl. Sci. 2026, 16, 2184. https://doi.org/10.3390/app16052184
Alan S, Büyük GD, Adem B, Çetin G. Investigation of Microbiological Quality and Chemical Properties of Ready-to-Eat Milk Jam. Applied Sciences. 2026; 16(5):2184. https://doi.org/10.3390/app16052184
Chicago/Turabian StyleAlan, Selçuk, Gönül Damla Büyük, Betül Adem, and Gökçenur Çetin. 2026. "Investigation of Microbiological Quality and Chemical Properties of Ready-to-Eat Milk Jam" Applied Sciences 16, no. 5: 2184. https://doi.org/10.3390/app16052184
APA StyleAlan, S., Büyük, G. D., Adem, B., & Çetin, G. (2026). Investigation of Microbiological Quality and Chemical Properties of Ready-to-Eat Milk Jam. Applied Sciences, 16(5), 2184. https://doi.org/10.3390/app16052184

