A Hybrid Current Source Converter-Based HVDC System with Power Coordination Control for Enhanced Reactive Power Support
Abstract
1. Introduction
- (1)
- Structural Novelty: Compared with existing hybrid HVDC transmission systems composed of LCC and MMC, the proposed HCSC-HVDC system based on IGCTs and thyristors features lower energy storage capacitor requirements, a more compact and lightweight structure, and higher control flexibility, while also demonstrating superior DC fault-clearing capability.
- (2)
- Control Framework Novelty: This study reveals the power operating characteristics of the HCSC system. The power decoupling control and reactive power coordination control (RPCC) strategy enables real-time compensation of the reactive power demand of the LCC valve group, facilitates unity power factor operation of the HCSC system, minimizes the reactive power demand on passive filter devices, and reduces the physical footprint of the converter station.
- (3)
- Robust Fault Ride-Through Performance: Particularly, the proposed RPCC strategy based on power decoupling and surplus power tracking not only ensures robust fault ride-through performance but also effectively mitigates the risk of transient overvoltages.
2. The HCSC-HVDC System
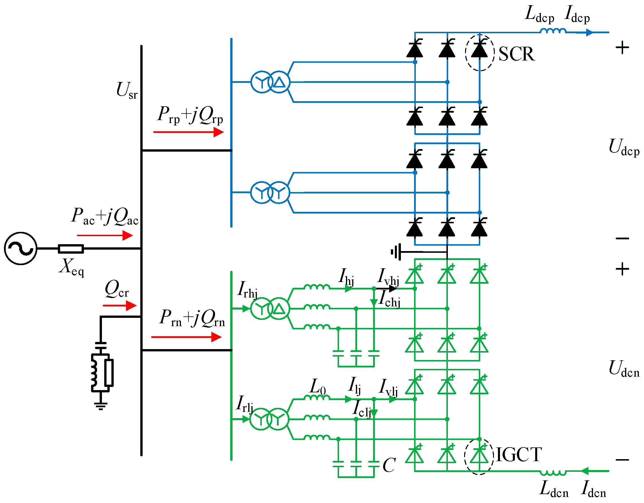
2.1. Topology of HCSC
2.2. Mathematical Model of HCSC
3. The PQ Operating Range of the HCSC
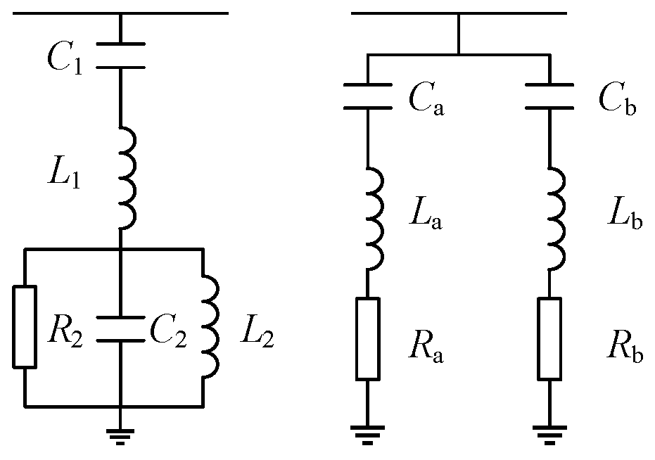
4. Parameter Design of the AC Filter
5. Reactive Power Coordination Control Strategy Based on Power Decoupling
5.1. Power Decoupling Control Strategy of the HCSC System
5.1.1. LCC Control Strategy
5.1.2. CSC Control Strategy
5.2. Ideology of RPCC Strategy
5.3. Comparative Analysis of Converter Characteristics
6. Simulation Analysis
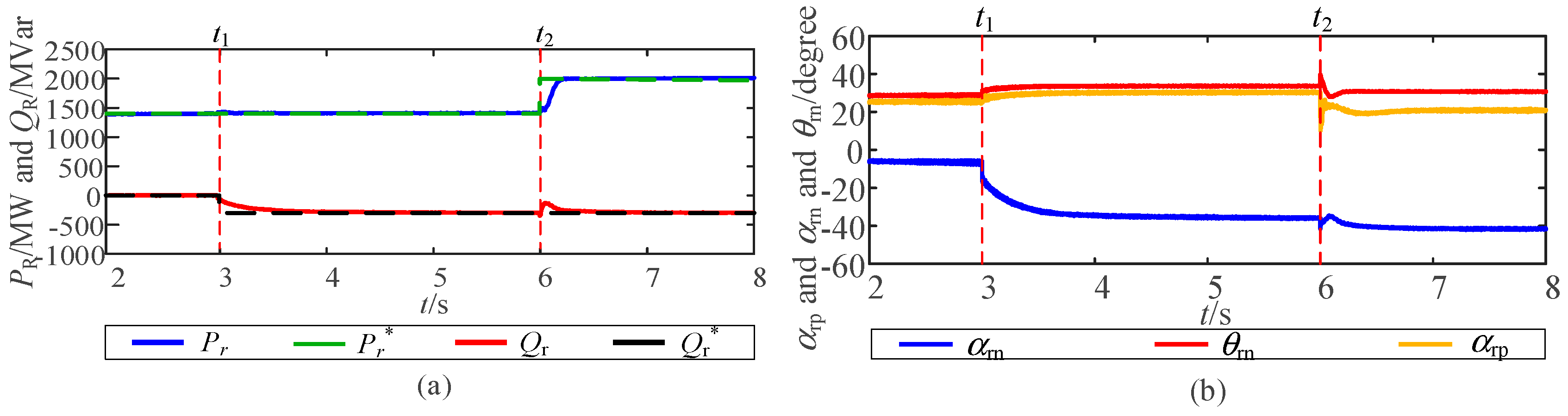
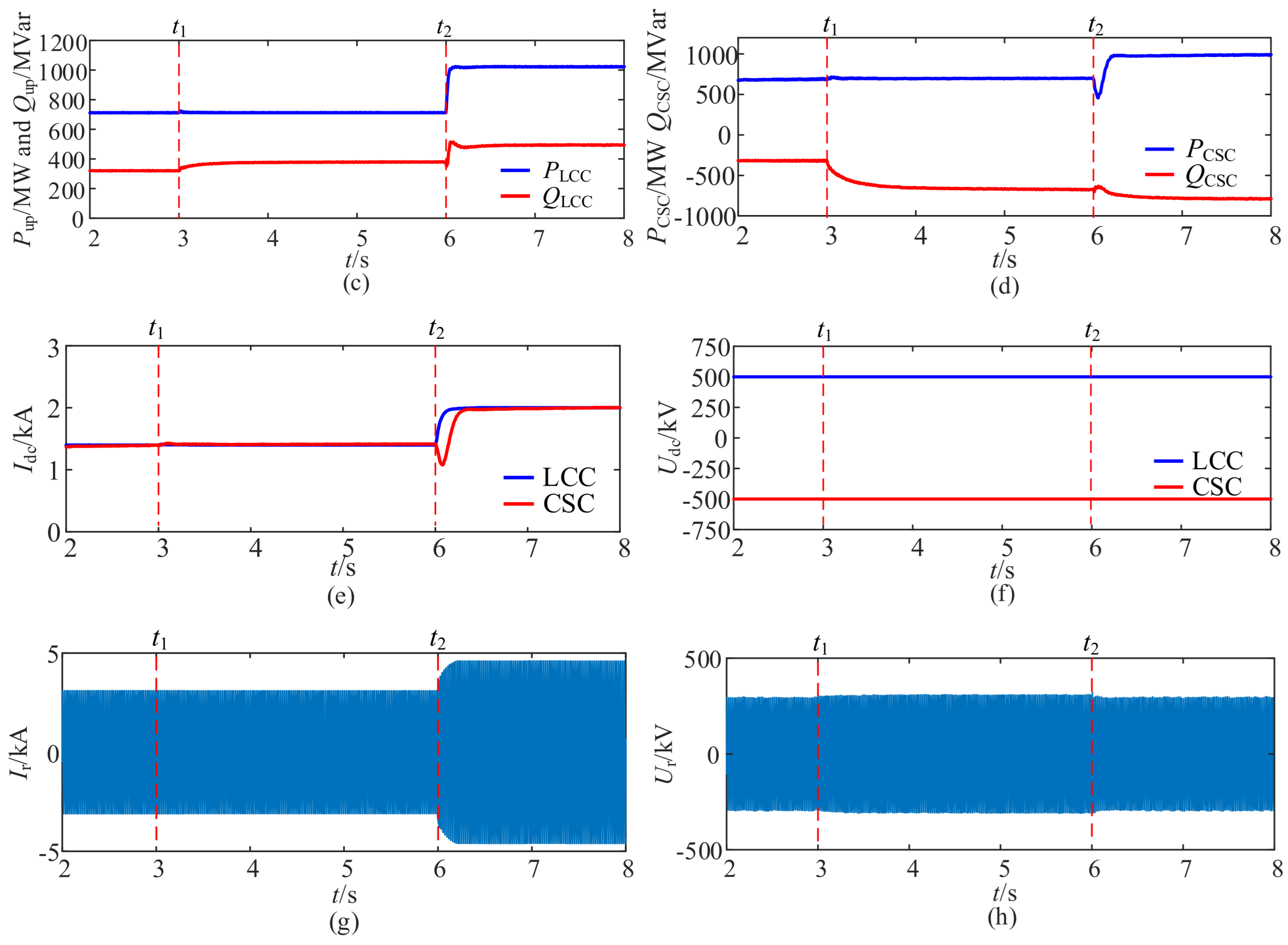
6.1. A. Case I: Steady-State Operating Conditions
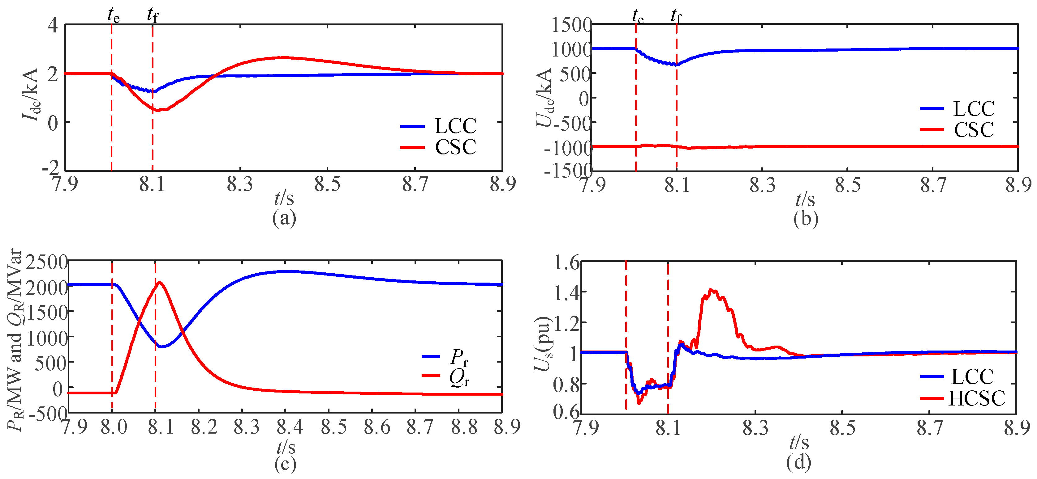
6.2. B. Case II: Characteristics of Inverter-Side AC Fault
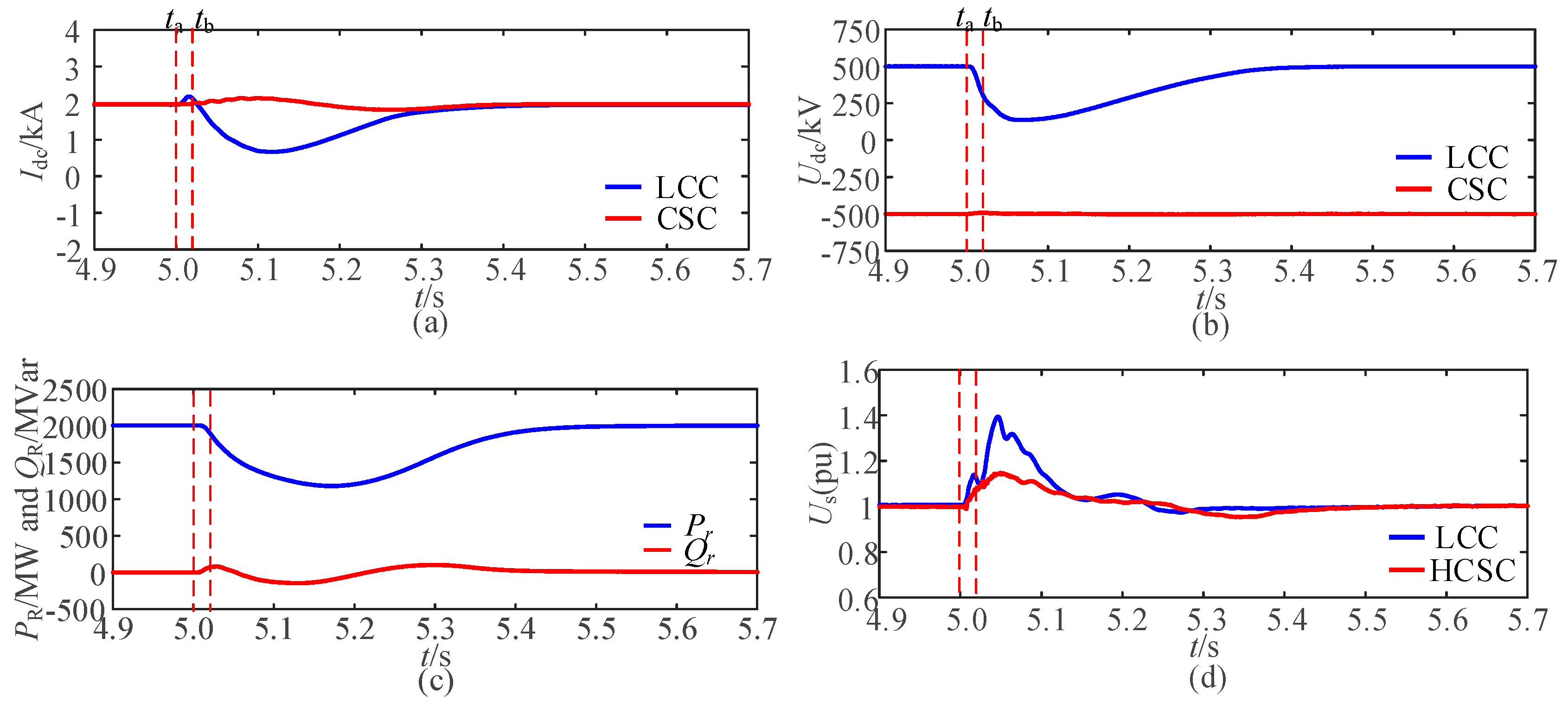
6.3. C. Case III: Characteristics of DC Blocking Fault
6.4. D. Case IV: Characteristics of Rectifier-Side AC Fault
7. Conclusions
- (1)
- The HCSC-HVDC system exhibits low reactive power compensation requirements and does not necessitate large-capacity reactive power compensation capacitors, thereby further reducing the high-voltage capacitor parameters by about 70.5% and enabling more compact and lightweight converter stations.
- (2)
- Under steady-state operating conditions, the proposed HCSC-HVDC system, combined with the RPCC strategy, enables partial decoupling of active and reactive power, while ensuring unity power factor operation at both the sending- and receiving-end converters.
- (3)
- The RPCC strategy based on power decoupling control provides fault ride-through capability under DC blocking faults and AC faults at both ends, and effectively mitigates the risk of transient overvoltage that conventional LCC-HVDC cannot withstand.
Author Contributions
Funding
Institutional Review Board Statement
Informed Consent Statement
Data Availability Statement
Acknowledgments
Conflicts of Interest
Abbreviations
| HCSC | Hybrid current source converter |
| RPCC | Reactive power coordination control |
| CSC | Actively commutated current source converter (CSC) |
| LCC | Line commutated converter |
| MMC | Modular multilevel converter |
| SCR | Silicon controlled rectifier |
| IGBT | Insulated gate bipolar transistor |
| IGCT | Integrated gate commutated thyristor |
| Nomenclature | |
| ap | Firing angle of the LCC valve group |
| μ | Commutation overlap angle of LCC |
| Xr | Commutation reactance per phase of LCC |
| Tp | Transformer ratio of LCC converter |
| Usr | RMS value of AC bus line voltage |
| Idcp | DC current of LCC |
| Udcp | DC current of LCC |
| Prp/Qrp | Active power/Reactive powe of LCC |
| αn | Firing angle of CSC |
| βn | Compensation angle of CSC |
| irnd/irnq | d/q-axis components of CSC AC-side current |
| Prn/Qrn | Active power/Reactive powe of CSC |
| Ldcn | DC smoothing reactor of CSC |
| L0 | AC-side filter inductor of CSC |
| C | AC-side filter capacitor of CSC |
| Tn | Transformer ratio of CSC converter |
Appendix A

| Device | Parameter | Device | Parameter |
|---|---|---|---|
| C1 | 6.685 μF | C4 | 74.28 μF |
| C2 | 6.685 μF | L1 | 136.4 mH |
| C3 | 3.342 μF | L2 | 13.6 mH |
References
- Arrillaga, J. High Voltage Direct Current Transmission, 2nd ed.; IET: Hertfordshire, UK, 1998. [Google Scholar]
- Mirsaeidi, S.; Dong, X. An enhanced strategy to inhibit commutation failure in line-commutated converters. IEEE Trans. Ind. Electron. 2020, 67, 340–349. [Google Scholar] [CrossRef]
- Wang, F.; Liu, T.Q.; Li, X.Y. Decreasing the frequency of HVDC commutation failures caused by harmonics. IET Power Electron. 2017, 10, 215–221. [Google Scholar] [CrossRef]
- Debnath, S.; Qin, J.; Bahrani, B.; Saeedifard, M.; Barbosa, P. Operation, Control, and Applications of the Modular Multilevel Converter: A Review. IEEE Trans. Power Electron. 2015, 30, 37–53. [Google Scholar] [CrossRef]
- Zhao, C.; Fan, Q.; Li, S.; Xu, J. Operation Method of MMC Capacitance Reduction Under Arm Inductor Switching Control. IEEE Trans. Power Deliv. 2021, 36, 418–428. [Google Scholar] [CrossRef]
- Tang, G.; Xu, Z. A LCC and MMC hybrid HVDC topology with DC line fault clearance capability. Int. J. Electr. Power Energy Syst. 2014, 62, 419–428. [Google Scholar] [CrossRef]
- Zeng, R.; Xu, L.; Yao, L.; Finney, S.J.; Wang, Y. Hybrid HVDC for integrating wind farms with special consideration on commutation failure. IEEE Trans. Power Deliv. 2016, 31, 789–797. [Google Scholar] [CrossRef]
- Goran, A.; Mats, H. Skagerrak the Next Generation; CIGRE: Paris, France, 2015; pp. 1–9. [Google Scholar]
- Xiao, H.; Sun, K.; Pan, J.; Li, Y.; Liu, Y. Review of hybrid HVDC systems combining line communicated converter and voltage source converter. Int. J. Electr. Power Energy Syst. 2021, 129, 106713. [Google Scholar] [CrossRef]
- Zhao, J.; Zeng, R.; Li, B.; Jiang, Q.; Tao, Y.; Liu, T. Inverter-side robust damping controller design of hybrid HVDC with cascaded multi-infeed mmc converters in asynchronous situation. Int. Trans. Electr. Energy Syst. 2021, 31, 127–136. [Google Scholar] [CrossRef]
- Liu, J.; Lin, S.; Xia, L.; Zhao, J.; Liu, L. Mitigation Strategy of Commutation Failure Based on Reactive Power Feedback Control in the Hybrid Cascaded HVDC System. IEEE Trans. Power Deliv. 2024, 39, 2079–2091. [Google Scholar] [CrossRef]
- Guo, C.; Zhao, C.; Peng, M.; Liu, W. A hybrid HVDC system with DC fault ride-through capability. CSEE J. Power Energy Syst. 2015, 35, 4345–4352. [Google Scholar] [CrossRef]
- Wu, S.; Qi, L.; Jin, M.; He, Z.; Zhang, X. An MMC With Integrated Energy Dissipation Function Using Thyristor-Based Chopper Modules for the Offshore Wind VSC-HVDC System. IEEE Trans. Power Electron. 2024, 39, 1609–1623. [Google Scholar] [CrossRef]
- Citroni, R.; Mangini, F.; Frezza, F. Integration of Ultra-low Power Techniques and Energy Harvesting in Self-Sufficient Devices: A Comprehensive Overview of Current Progress and Future Directions. Sensors 2024, 24, 4471. [Google Scholar] [CrossRef] [PubMed]
- Xu, C.; Yu, Z.; Zhao, B.; Chen, Z.; Wang, Z.; Ren, C.; Zeng, R. A Novel Hybrid Line Commutated Converter Based on IGCT to Mitigate Commutation Failure for High-Power HVdc Application. IEEE Trans. Power Electron. 2022, 37, 4931–4936. [Google Scholar] [CrossRef]
- Wei, Q.; Wu, B.; Xu, D.D.; Zargari, N.R. Optimal Space Vector Sequence Investigation Based on Natural Sampling SVM for Medium-Voltage Current-Source Converter. IEEE Trans. Power Electron. 2017, 32, 176–185. [Google Scholar] [CrossRef]
- Xia, J.; Guo, X.; Wang, C.; Xiong, X.; Zhao, C.; Guo, C. Cooperative Control Strategy of Fundamental Frequency Modulation-Based Current Source Converters for Offshore Wind Farms. IEEE Trans. Power Deliv. 2022, 37, 4805–4815. [Google Scholar] [CrossRef]
- Fu, S.; Xu, L.; Wang, Q.; Luo, Y.; Zhou, N.; Huang, P.; Lyu, Y.; Tang, Y. Dynamic Models for DC Fault Analysis of Actively Commutated CSC-HVDC under Different Grid Strengths. IEEE Trans. Ind. Electron. 2025, 73, 2300–2310. [Google Scholar] [CrossRef]
- Lyu, Y.; Luo, Y.; Jia, Z.; Fu, S.; Tang, Y.; Wang, Q.; Zeng, Y. Benefit evaluation of HVAC and HVDC for offshore wind power transmission system under the multidimensional index. Electr. Power Syst. Res. 2024, 237, 111018. [Google Scholar] [CrossRef]
- Xia, J.; Wang, C.; Zhan, R.; Zhao, C.; Guo, C. Hybrid DC transmission system for offshore wind power based on current source converter. Automat. Electric Power Syst. 2021, 45, 129–138. [Google Scholar] [CrossRef]
- Nguyen, T.H.; Lee, D.-C.; Kim, C.-K. A Series-Connected Topology of a Diode Rectifier and a Voltage-Source Converter for an HVDC Transmission System. IEEE Trans. Power Electron. 2014, 29, 1579–1584. [Google Scholar] [CrossRef]
- Liu, X.; Huang, J.; Zheng, D.; Xin, H.; Bi, T. Analysis and Suppression for Temporary Overvoltage Considering Dynamic Interactions Between LCC-HVDC and Renewable Energy Plants. IEEE Trans. Sustain. Energy 2025, 16, 1849–1859. [Google Scholar] [CrossRef]
- Yin, C.; Li, F. Reactive Power Control Strategy for Inhibiting Transient Overvoltage Caused by Commutation Failure. IEEE Trans. Power Syst. 2021, 36, 4764–4777. [Google Scholar] [CrossRef]
- Xiao, H.; Li, Y.; Lan, T. Sending end AC faults can cause commutation failure in LCC-HVDC inverters. IEEE Trans. Power Deliv. 2020, 35, 2554–2557. [Google Scholar] [CrossRef]
- Xie, Q.; Xiao, X.; Zheng, Z.; Wang, Y.; Song, D.; Du, K.; Zou, Y.; Zhang, J. An improved reactive power control strategy for LCC-HVDC to mitigate sending end transient voltage disturbance caused by commutation failures. Int. J. Electr. Power Energy Syst. 2023, 146, 108706. [Google Scholar] [CrossRef]
- Zhao, C.; Feng, D.; Xiong, X.; Li, X.; Yao, C. Enhanced Fundamental Frequency Modulation Based Current Source Converter for HVDC Transmission. CSEE J. Power Energy Syst. 2023, 44, 7726–7738. [Google Scholar] [CrossRef]
- Li, P.; Xu, Z.; Huang, Y.; Li, X. Algorithm for the parameters of AC Filters in HVDC transmission system. CSEE J. Power Energy Syst. 2008, 28, 115–121. [Google Scholar]
- Xue, Y.; Zhang, X.-P.; Yang, C. AC Filterless Flexible LCC HVDC With Reduced Voltage Rating of Controllable Capacitors. IEEE Trans. Power Syst. 2018, 33, 5507–5518. [Google Scholar] [CrossRef]















| Value of LCC Device | Value of HCSC Device | Parameter Reduction Amount | |
|---|---|---|---|
| High-voltage capacitors | C1: 6.685 μF | C1: 1.593 μF C3: 3.342 μF | 70.5% |
| C2: 6.685 μF | |||
| C3: 3.342 μF |
| Topology Solution | CSC [17,18] | LCC-MMC [6,7,8,9] | LCC-CSC |
|---|---|---|---|
| Device Type | IGCT | Thyristor + IGBT | Thyristor + IGCT |
| DC Fault-Clearing Capability | Strong | Weak | Strong |
| AC Filter Size | Small | Large | Medium |
| Reactive Power Support | Achievable | Achievable | Achievable |
| DC Fault Ride-Through | Strong | Weak | Strong |
| Volume and Weight | Small | Large | Medium |
| Harmonic Filtering Scheme | LC low-pass filters | Passive AC filters | Passive AC filters with LC filters |
| Patameter of LCC | Value |
|---|---|
| Rated DC voltage (kV) | 500 |
| Rated DC current (kA) | 2 |
| Converter transformer ratio | 345/213 |
| Smoothing inductor on the DC side of LCC (H) | 0.5968 |
| Smoothing inductor on the DC side of CSC (H) | 1.5968 |
| Capacitor on the DC side (Ohm) | 2.5 |
| Ground capacitor (mF) | 26 |
| Filter inductor L0 on the AC side | 0.05 |
| Filter capacitor C on the AC side | 15 |
| SCR of AC system | 2.5 |
| Case No. | Operation Condition |
|---|---|
| I | Steady-state operating conditions |
| II | Characteristics of DC blocking fault |
| III | Characteristics of inverter-side AC fault |
| IV | Characteristics of rectifier-side AC fault |
Disclaimer/Publisher’s Note: The statements, opinions and data contained in all publications are solely those of the individual author(s) and contributor(s) and not of MDPI and/or the editor(s). MDPI and/or the editor(s) disclaim responsibility for any injury to people or property resulting from any ideas, methods, instructions or products referred to in the content. |
© 2026 by the authors. Licensee MDPI, Basel, Switzerland. This article is an open access article distributed under the terms and conditions of the Creative Commons Attribution (CC BY) license.
Share and Cite
Guan, X.; Zhou, N.; Luo, Y.; Xu, L.; Márk, R.D.; Wu, Y. A Hybrid Current Source Converter-Based HVDC System with Power Coordination Control for Enhanced Reactive Power Support. Appl. Sci. 2026, 16, 1868. https://doi.org/10.3390/app16041868
Guan X, Zhou N, Luo Y, Xu L, Márk RD, Wu Y. A Hybrid Current Source Converter-Based HVDC System with Power Coordination Control for Enhanced Reactive Power Support. Applied Sciences. 2026; 16(4):1868. https://doi.org/10.3390/app16041868
Chicago/Turabian StyleGuan, Xin, Niancheng Zhou, Yongjie Luo, Luona Xu, Raisz Dávid Márk, and Yunfan Wu. 2026. "A Hybrid Current Source Converter-Based HVDC System with Power Coordination Control for Enhanced Reactive Power Support" Applied Sciences 16, no. 4: 1868. https://doi.org/10.3390/app16041868
APA StyleGuan, X., Zhou, N., Luo, Y., Xu, L., Márk, R. D., & Wu, Y. (2026). A Hybrid Current Source Converter-Based HVDC System with Power Coordination Control for Enhanced Reactive Power Support. Applied Sciences, 16(4), 1868. https://doi.org/10.3390/app16041868

