Next Article in Journal
Material and Technological Optimization of a 3D-Printed Hand Exoskeleton Within the Industry 4.0/5.0/6.0 Paradigms: A Short Review
Next Article in Special Issue
Preparation and Characterization of an Antibacterial Hydrogel Dressing Rich in Camel Milk and Vitamin B6
Previous Article in Journal
Comparative Cost–Benefit Analysis of Additive Manufacturing and Tool-Based Manufacturing for Battery Cell Housings in Low-Batch-Size Production
Previous Article in Special Issue
A Standardization Approach to Cellulose Nanomaterials for Industrial Deployment
 
 
Font Type:
Arial Georgia Verdana
Font Size:
Aa Aa Aa
Line Spacing:
Column Width:
Background:
Article

Machine Learning-Guided Optimization of Electrospun Fiber Morphology for Enhanced Osteoblast Growth and Bone Regeneration

by
Julia Radwan-Pragłowska
1,*,
Aleksander Radwan-Pragłowski
2,
Aleksandra Kopacz
1,
Łukasz Janus
1,
Aleksandra Sierakowska-Byczek
1,3 and
Piotr Radomski
4
1
Department of Biotechnology and Physical Chemistry, Faculty of Chemical Engineering and Technology, Cracow University of Technology, Warszawska 24 Street, 31-155 Cracow, Poland
2
Department of Computer Science, Faculty of Computer Science and Telecommunications, Cracow University of Technology, Warszawska 24 Street, 31-155 Cracow, Poland
3
CUT Doctoral School, Faculty of Chemical Engineering and Technology, Cracow University of Technology, Warszawska 24 Street, 31-155 Cracow, Poland
4
Department of Chemical Technology and Environmental Analytics, Faculty of Chemical Engineering and Technology, Cracow University of Technology, Warszawska 24 Street, 31-155 Cracow, Poland
*
Author to whom correspondence should be addressed.
Appl. Sci. 2026, 16(3), 1535; https://doi.org/10.3390/app16031535
Submission received: 17 December 2025 / Revised: 23 January 2026 / Accepted: 24 January 2026 / Published: 3 February 2026
(This article belongs to the Special Issue Advanced Biomaterials: Characterization and Applications)

Featured Application

The proposed workflow provides a practical, end-to-end route to design and select fiber morphologies in osteoconductive scaffolds. By combining automated SEM-based morphology quantification with learning-based predictors, the pipeline enables rapid down-selection of candidate recipes that favor elongated, spindle-like osteoblasts while maintaining proliferative viability.

Abstract

Optimizing nanofiber morphology is essential for promoting osteoblast elongation and supporting bone regeneration. This study aimed to develop a machine-learning framework capable of predicting optimal scaffold architectures directly from scanning electron microscopy (SEM) images and chemical composition. A four-module pipeline was implemented, combining tile-based SEM preprocessing, Cellpose-based cell morphology extraction with edge correction, ensemble machine-learning models, and an end-to-end convolutional neural network (CNN). Cellular quality was quantified using an elongation-weighted metric to emphasize morphological maturity over cell number. The analysis revealed consistent structure–function relationships across samples, with Sample_5 achieving the highest quality score at the 72 h time point. Ensemble models reached an R2 of 0.400, while the end-to-end CNN achieved an R2 of 0.750, indicating that raw SEM texture provides additional predictive information beyond handcrafted features. Feature-importance analysis identified nonlinear MgO effects and synergistic interactions between MgO and gold nanoparticles as key determinants of cell morphology. These findings demonstrate that the integrated workflow can reliably identify morphology–chemistry combinations favorable for osteoblast performance and provide a foundation for data-driven scaffold optimization. The approach supports rational design of nanofibrous biomaterials and may facilitate future development of intelligent scaffolds for bone regeneration applications.

1. Introduction

Electrospinning has become one of the most versatile and analytically tractable techniques for generating micro- and nanoscale fibrous architectures that emulate the structural hierarchy of natural extracellular matrices. Although the physical phenomena underlying electrically driven jet formation were first noted several centuries ago, the modern conceptual and technological foundation of electrospinning was established only in the late twentieth century, when Reneker and colleagues characterized the interplay between electrostatic forces, jet instabilities and fiber solidification [1,2,3]. Today, electrospinning enables the fabrication of continuous fibers with controlled diameters, ranging from tens of nanometers to several micrometers, through the application of a high-voltage electric field that transforms a polymer solution into a rapidly elongated and solidifying jet. The resulting fibrous network arises from a complex balance between solution viscosity, conductivity, and surface tension, as well as the applied voltage, flow rate, and collector configuration. This intrinsic tunability makes electrospinning an exceptionally powerful approach for designing scaffolds with customized topographies and hierarchical features relevant to biological tissue [1,2,3,4,5,6,7,8,9].
In the context of bone tissue engineering, electrospun scaffolds have gained particular attention due to their ability to approximate the architecture of the native collagenous extracellular matrix. Bone is a highly hierarchical material in which collagen molecules assemble into fibrils with diameters in the range of 100–500 nm, which in turn organize into lamellar sheets, osteonal structures, and eventually complete macroscopic bone segments. This multiscale organization dictates both the mechanical performance and the biological function of bone, influencing mineral deposition, osteoblast migration, osteoclast resorption, and mechanotransductive signaling across all length scales. Electrospun fibers, owing to their morphological similarity to collagen fibrils, provide an instructive substrate that supports the adhesion, elongation, and differentiation of osteoblasts while promoting ordered matrix deposition and sustained mineralization [1,2,3,4,5,6,7,8,9].
The spatial architecture and morphology of electrospun materials exert profound influence on the cellular processes that underlie bone regeneration. Unlike traditional biomaterials whose performance is dominated by bulk chemistry, nanofibrous scaffolds provide cells with biophysical cues encoded directly in their geometry and topology. Fiber diameter governs the degree of integrin clustering and cytoskeletal tension experienced by adherent osteoblasts; nanoscale fibers better replicate the dimensions of collagen fibrils and therefore promote elongated, spindle-like morphologies associated with osteogenic gene expression, whereas larger microfibers enhance infiltration and mass transport but may attenuate contact guidance. Fiber alignment further modulates cell polarity, nuclear deformation, and actin bundle organization, thereby engaging mechanotransductive pathways such as YAP/TAZ that regulate osteogenic differentiation. Randomly oriented fibers encourage multidirectional matrix deposition, while aligned fibers induce highly anisotropic growth patterns that resemble the native lamellar structure of bone.
Pore architecture and interconnectivity represent another essential morphological dimension. Effective bone regeneration requires sufficient porosity to support vascular infiltration, nutrient diffusion, and waste removal, while maintaining mechanical stability in the defect site. Interfiber spacing in the micron-scale range facilitates osteoblast migration into the scaffold interior, whereas nanoscale voids enhance protein adsorption and early adhesion events. The three-dimensional connectivity of pores determines whether the scaffold supports true volumetric bone ingrowth or merely encourages superficial mineral deposition. At the nanometer scale, surface roughness and microtexture modulate protein adsorption profiles, focal adhesion formation, and osteoblast metabolic activity. Electrospun fibers inherently possess nanoscale surface irregularities, which can be precisely tuned to enhance osteoconductivity and nucleate apatite formation.
Beyond microstructural considerations, the hierarchical organization of electrospun scaffolds contributes significantly to mechanotransduction, the process by which cells convert mechanical signals into biochemical responses. Bone regeneration is fundamentally mechanosensitive; osteoblasts and osteocytes respond to substrate stiffness, curvature, and strain gradients by altering cytoskeletal tension and gene expression. Electrospun fibers, particularly when aligned or arranged in multilayered architectures, create directional stiffness gradients and anisotropic load paths that mimic those of native bone. These structural features guide osteoblasts toward morphologies that favor mature matrix production, encourage mineral deposition, and enhance the remodeling processes essential for restoring functional bone tissue [1,2,3,4,5,6,7,8,9].
The chemical composition of electrospun scaffolds adds another dimension to their performance. Natural polymers such as collagen, gelatin, fibrin, and chitosan offer excellent biocompatibility and intrinsic biological activity but often exhibit insufficient mechanical strength and rapid enzymatic degradation. Synthetic aliphatic polyesters, including PLA, PGA, PLGA, and PCL, provide superior mechanical tunability and controlled biodegradation but lack inherent osteoconductive or osteoinductive properties. Consequently, composite strategies integrating polymers with bioactive ceramics, such as hydroxyapatite, β-tricalcium phosphate, and other calcium phosphate phases, have been widely adopted to replicate both the organic and mineral compartments of bone. Bioactive glasses further enhance osteogenesis by forming interfacial apatite layers and releasing biologically active ions that modulate cellular signaling and angiogenesis, thereby improving scaffold integration with host bone [10,11,12,13,14,15,16,17,18,19,20,21,22,23,24,25].
These considerations are particularly relevant in guided bone regeneration (GBR), where the scaffold or membrane must maintain defect space, prevent soft-tissue intrusion, and sustain a biological environment conducive to osteoprogenitor recruitment and differentiation. Electrospun membranes and 3D fibrous constructs, reinforced or mineral-modified as necessary, display mechanical integrity compatible with long-term regeneration while offering morphological features that support directed osteoblast migration, cell elongation, mechanotransductive activation, and progressive mineralization [26,27,28,29,30,31,32,33,34,35].
Collectively, the ability of electrospinning to precisely tune spatial architecture, fiber diameter, alignment, roughness, porosity, and hierarchical organization, combined with adaptable chemical design, positions this technique as a cornerstone in the development of next-generation scaffolds for bone regeneration. The morphological complexity attainable through electrospinning enables close replication of native bone ECM and provides instructive cues that orchestrate the coordinated cellular behaviors required for successful osteogenesis and long-term tissue remodeling [1,2,3,4,5,6,7,8,9,20,21,22,23,24,25,26,27,28,29,30,31,32,33,34,35].
Advances in machine learning (ML) and computer vision have recently transformed the field of biomaterials engineering by enabling quantitative, high-throughput analysis of scaffold architecture and its relationship to cellular behavior. Whereas traditional scaffold design relies heavily on empirical iteration, ML models trained on microscopy and SEM image datasets allow researchers to extract multiscale morphological descriptors such as fiber diameter distributions, orientation anisotropy, porosity, roughness gradients, and surface irregularities that are often imperceptible to human observers yet highly influential in regulating osteogenic processes. Through automated segmentation and feature extraction, ML frameworks capture the statistical complexity of 2D and 3D scaffold architectures, thereby allowing for predictive modeling of how specific spatial configurations influence osteoblast adhesion, elongation, proliferation, and differentiation [36,37,38,39,40,41,42].
The integration of image-based learning pipelines with electrospinning and additive manufacturing offers a powerful platform for designing scaffolds whose architecture is optimized not by trial-and-error but by data-driven inference. Convolutional neural networks (CNNs), in particular, excel at learning hierarchical image features that correspond to functionally relevant morphological cues. When trained on paired datasets of scaffold images and cellular outcomes, CNNs can identify subtle correlations between nanoscale fiber texture and osteoblast elongation, or between 3D pore geometry and volumetric bone ingrowth. Such models not only decode the structure–function relationship of biomaterials but can also predict optimal architectural configurations tailored to specific regenerative requirements. This predictive capability extends to nonlinear interactions between polymer chemistry, inorganic additives, and fabrication parameters, enabling holistic optimization that accounts for synergistic effects often overlooked in classical experimental design [41,42,43,44,45,46,47,48,49,50,51].
Moreover, machine learning provides a route to generative scaffold design, where algorithms do not merely evaluate existing structures but propose entirely new architectures that satisfy predefined biological objectives. Generative models, including variational autoencoders and generative adversarial networks, can learn the latent design space of effective scaffolds and produce candidate architectures with target mechanical stiffness, porosity, anisotropy, or topographic complexity. These designs can then be fabricated via electrospinning, melt-electrospinning writing, or 3D bioprinting, creating an iterative loop in which data from new experiments continuously refine the model. Over time, such systems evolve into self-improving design frameworks capable of converging on biomaterial morphologies that maximize osteogenic potential [36,37,38,39,40,41,42,43,44,45,46,47].
When extended into three dimensions, ML-guided design enables unprecedented control over scaffold architecture at multiple length scales. Micro-computed tomography (µCT), optical coherence tomography, and volumetric SEM provide rich 3D datasets from which ML algorithms infer relationships between pore interconnectivity, tortuosity, surface curvature, mechanical heterogeneity, and cell distribution patterns. By integrating these descriptors into predictive models, it becomes possible to map cellular migration trajectories, mineral deposition patterns, and mechanobiological responses throughout the scaffold volume. This approach facilitates the rational engineering of 3D constructs that distribute mechanical cues appropriately, maintain spatial gradients of stiffness or bioactivity, and support coordinated remodeling in a manner analogous to native bone.
Ultimately, the coupling of machine learning with high-resolution imaging ushers in a new generation of intelligent biomaterials that are not merely biocompatible and osteoconductive but are designed through informed computational reasoning to elicit specific biological responses. Such materials embody an engineered feedback between morphology, composition, and cell-level behavior, allowing the scaffold to replicate not only the structural hierarchy of bone but also the functional cues required to guide its regeneration. As ML models continue to improve in interpretability and predictive power, it is increasingly feasible to envision biomaterials whose architecture is optimized before fabrication, whose performance is quantifiable in silico, and whose regenerative efficacy emerges from deliberate, data-driven design rather than empirical approximation [42,48,49,50,51,52,53,54,55].
The aim of this research is to develop an integrated, data-driven framework that leverages high-resolution image analysis, machine-learning–based morphological prediction, and controlled electrospinning strategies to identify, optimize, and rationally design nanofibrous scaffold architectures that most effectively promote osteoblast elongation, proliferation, and ultimately functional bone tissue regeneration.

2. Materials and Methods

2.1. Materials

Poly(lactic acid) (PLA) was used as the polymer matrix for scaffold fabrication purchased from GoodFellow, Cambridge Limited, Huntington, UK. All other reagents were purchased from SigmaAldrich, Poznań, Poland. Dioxane and acetone were employed as solvents for polymer dissolution. Magnesium hydroxide and high-crystallinity magnesium oxide (periclase-type MgO) were used as ceramic components. Gold nanoparticles were synthesized in-house. Dulbecco’s Modified Eagle Medium (DMEM, high glucose) supplemented with fetal bovine serum and antibiotics was used for cell culture. Trypsin was applied for cell detachment, and the XTT assay was used to assess cellular metabolic activity. Simulated body fluid (SBF), polydopamine, isopropanol, distilled water, and acetone were used for surface treatment and sample preparation. All reagents were of analytical grade and used as received.

2.2. Methods

2.2.1. Synthesis of Magnesium Oxide (MgO)

Magnesium oxide was synthesized by thermal dehydration of reagent-grade magnesium. The precursor was calcined at temperatures ranging from 500 to 1200 °C for 4 h. To prevent rapid gas evolution, the powder layer thickness was maintained below 5 mm in quartz crucibles, which were introduced into a pre-cooled furnace (<100 °C) and heated to the target temperature. After calcination, samples were cooled to 200 °C inside the furnace, transferred to a desiccator, and stored in airtight containers. MgO calcined above 900 °C, exhibiting a periclase-type crystalline structure and enhanced chemical stability, was selected for scaffold fabrication.

2.2.2. Synthesis of Gold Nanoparticles

Gold nanoparticles were synthesized using a citrate reduction method. Briefly, 50 cm3 of distilled water was heated to 90 °C, followed by the addition of 0.5 cm3 of sodium citrate solution (2.2 g of sodium citrate per 50 cm3 of water). Subsequently, 0.5 cm3 of chloroauric acid solution (50 mg of HAuCl4 per 10 cm3 of water) was added. The mixture was maintained under continuous stirring and heating for 1 h, yielding a stable colloidal gold suspension.

2.2.3. Nanofibers Preparation

A PLA-based electrospinning solution was prepared by dissolving 15 g of PLA in a mixture of 15 g of dioxane and acetone in a 150 mL glass flask. The solution was stirred under controlled temperature until complete homogenization. For composite scaffolds, predetermined amounts of MgO and/or gold nanoparticles were incorporated into the polymer solution and further mixed to ensure uniform dispersion. Magnesium oxide (MgO) used in this study was obtained via thermal decomposition of magnesium hydroxide. The precursor was calcined at temperatures above 900 °C to obtain high-crystallinity, periclase-like MgO. The resulting MgO powder was characterized by low chemical reactivity and high thermal stability and was subsequently incorporated into the electrospinning solution as a ceramic additive. Prior to electrospinning, the solution was loaded into a 5 mL syringe equipped with a stainless-steel needle (1.2 × 40 mm). Electrospinning was performed at volumetric flow rates of 80 µL/min for composite samples and 150 µL/min for the reference PLA scaffold. Nanofibrous mats were collected on a grounded collector under ambient conditions. A total of ten scaffold compositions were fabricated by varying MgO content and gold nanoparticle volume, as summarized in Table 1. Ready materials were evaluated using SEM microscope. Collected images were further used for computational analysis. The incorporation of magnesium oxide and gold nanoparticles into the electrospun scaffolds was verified using atomic absorption spectroscopy (AAS) as well as SEM/EDS. Quantitative analysis confirmed the presence of magnesium and gold in all modified samples, indicating effective incorporation of the added inorganic components into the nanofibrous matrix.

2.2.4. Cell Culture

Human osteoblast-like MG-63 cells were used for biological evaluation. Cells were cultured in DMEM (high glucose) supplemented with fetal bovine serum and antibiotics under standard conditions (37 °C, 5% CO2, humidified atmosphere). Prior to cell seeding, nanofibrous scaffolds were sterilized using UV irradiation and conditioned in culture medium. MG-63 cells were seeded onto the scaffolds and incubated for predefined time points.

2.2.5. Cell Viability and Morphology Assessment

Cell metabolic activity was evaluated using the XTT assay following the manufacturer’s protocol. Cell morphology and adhesion were assessed by inverted optical microscope. Acquired images were further used for quantitative morphology analysis and machine-learning–based evaluation, as described in the computational analysis section.

2.2.6. Computational Analysis and Machine Learning

The dataset comprised multimodal imaging and compositional data obtained from ten scaffold formulations. Cell microscopy images were collected at 24, 48, and 72 h to evaluate osteoblast morphology, while scanning electron microscopy (SEM) images at multiple magnifications (4×, 10×, and 20×) were used to characterize nanofiber architecture. Chemical descriptors included MgO content and gold nanoparticle concentration normalized per 5 g of PLA, with reference samples serving as controls. Image preprocessing was performed using a tile-based strategy optimized for Cellpose segmentation. Images were divided into 512 × 512 pixel tiles with overlap to reduce boundary artifacts. Contrast enhancement was achieved using CLAHE, and image inversion was applied where required. Non-informative tiles were excluded based on intensity thresholds. Cell segmentation and morphology analysis were conducted using Cellpose 3.0. An edge correction scheme was applied to account for partial cells, and cell elongation was calculated from fitted ellipses. A composite quality score combining elongation and weighted cell count was used to assess scaffold performance. SEM images were further analyzed to extract quantitative descriptors, including fiber density, orientation uniformity, surface roughness, average fiber diameter, and fiber regularity. Predictive modeling was carried out using multiple machine-learning algorithms, including linear, tree-based, and neural network models. Model evaluation employed leave-one-out cross-validation, feature selection based on F-score ranking, and ensemble modeling to improve robustness. In parallel, an end-to-end convolutional neural network was developed to directly predict scaffold quality from SEM images and chemical inputs, achieving superior predictive performance. Together, these approaches enabled systematic evaluation of chemistry–morphology–cell relationships and supported data-driven scaffold optimization. Statistical analysis was performed to ensure transparency and reproducibility of the reported results. All quantitative values are reported as mean ± standard deviation (SD), unless stated otherwise. The number of biological replicates (n) for each sample and time point is provided in the corresponding table captions. Correlation analyses were performed using Pearson’s correlation coefficient, and associated p-values were calculated to assess statistical significance. Due to the limited dataset size, growth trends and temporal comparisons were treated as descriptive, and no formal hypothesis testing was applied where statistical power was insufficient. These analyses were intended to support comparative evaluation rather than definitive biological inference.

3. Results

3.1. Nanofiber Evaluation

Scanning electron microscopy (SEM) was employed to evaluate the morphology, uniformity, and spatial organization of electrospun nanofibrous scaffolds fabricated with varying MgO and gold nanoparticle contents. Representative SEM micrographs for Samples 1–10 are presented in Figure 1. All samples exhibited continuous fibrous structures without macroscopic defects such as film formation or bead agglomeration, confirming the stability of the electrospinning process across all compositions.
The reference PLA scaffold (Sample 1) displayed a relatively homogeneous fiber network with smooth fiber surfaces and moderate diameter distribution. Fibers were randomly oriented, forming an isotropic architecture with uniform inter-fiber spacing. In MgO-containing samples (Samples 2–4), the incorporation of increasing MgO content resulted in noticeable changes in fiber morphology. At lower MgO concentrations (Sample 2), fibers remained uniform with slightly increased surface roughness, while higher MgO loadings (Samples 3 and 4) led to enhanced topographical heterogeneity and a broader fiber diameter distribution. These samples exhibited increased micro- and nanoscale surface irregularities, suggesting effective incorporation of ceramic particles within the polymer matrix.
Scaffolds containing only gold nanoparticles (Samples 5–7) showed distinct morphological features compared to MgO-only systems. The presence of gold nanoparticles resulted in smoother fiber contours and improved fiber continuity, particularly at intermediate gold concentrations. At higher gold nanoparticle volumes (Sample 7), localized fiber thickening and increased junction density were observed, indicating alterations in jet stability during electrospinning.
Composite scaffolds containing both MgO and gold nanoparticles (Samples 8–10) exhibited the most complex architectures. These samples demonstrated combined characteristics of ceramic-induced surface roughness and metal-induced fiber continuity. Notably, Samples 9 and 10 showed increased fiber alignment and reduced inter-fiber void size, forming a more anisotropic and compact fibrous network. The spatial distribution of fibers appeared more organized, with improved structural coherence across the scaffold surface.
Across all samples, SEM analysis confirmed that variations in chemical composition directly influenced nanofiber morphology, including fiber diameter distribution, surface texture, and spatial arrangement. These morphological differences provided the structural basis for subsequent quantitative analysis and machine learning-based evaluation of scaffold performance.
Representative optical microscopy images of MG-63 osteoblast-like cells cultured on electrospun PLA-based nanofibrous scaffolds are presented in Figure 2. All tested materials supported effective cell adhesion and survival, confirming the overall cytocompatibility of the fabricated scaffolds. However, clear differences in cell morphology, spatial distribution, and alignment were observed as a function of scaffold composition and nanofiber architecture.
On the reference PLA scaffold, MG-63 cells exhibited predominantly isotropic spreading with compact, polygonal morphologies and limited elongation. Cells displayed short protrusions without a preferred orientation, indicating weak contact guidance associated with the randomly oriented fiber network. In contrast, scaffolds modified with MgO promoted more elongated cell morphologies and the formation of pronounced cytoplasmic extensions. Cells cultured on these surfaces frequently exhibited partial alignment along locally oriented fibers, suggesting enhanced topographical guidance resulting from changes in fiber surface chemistry and microstructural complexity.
Scaffolds containing gold nanoparticles supported homogeneous cell attachment and a more uniform surface coverage. Cells on these materials demonstrated increased spreading area and smoother cell outlines, indicative of favorable cell–material interactions. At higher gold nanoparticle contents, localized regions of increased cell density were observed, accompanied by moderate cell elongation, suggesting a balance between adhesion promotion and morphological maturation.
The most pronounced morphological response was observed on composite scaffolds incorporating both MgO and gold nanoparticles. On these materials, MG-63 cells adopted elongated, spindle-like morphologies with well-developed filopodial extensions and preferential alignment following the underlying nanofiber orientation. This behavior indicates strong cell–substrate interactions and efficient transmission of nanoscale topographical cues from the scaffold to the adherent cells. It should be noted that the presented microscopy images and subsequent quantitative analysis reflect surface-adhered cell morphology and do not capture three-dimensional cell infiltration within the scaffold.
Overall, the qualitative microscopy analysis demonstrates that both scaffold composition and nanofiber architecture critically influence osteoblast morphology and organization. These observations provided the qualitative foundation for the subsequent quantitative morphology assessment and machine-learning–based evaluation of scaffold performance.

3.2. Primary Sample Ranking (72 h)

To evaluate scaffold performance in the context of bone regeneration, a quality-based ranking was established using data collected after 72 h of cell culture. Scaffold quality was quantified using a composite quality score defined as the product of cell elongation and the square root of the total cell count, thereby prioritizing morphological maturity over cell quantity. This approach was selected to emphasize long-term cellular development relevant to bone tissue regeneration. The resulting ranking is summarized in Table 2. Among all evaluated samples, Sample_5 achieved the highest quality score at 72 h (33.71), followed by Sample_8 (26.47) and Sample_6 (24.84). These top-ranked scaffolds combined elevated elongation values with moderate-to-high cell counts, indicating balanced morphological and proliferative responses. Intermediate performance was observed for Samples 3, 2, and 7, which exhibited comparable elongation values but lower cell counts. The control sample cultured for 72 h ranked eighth, with a quality score of 18.66. The lowest quality scores were observed for Samples 9, 1, and 10, primarily due to reduced cell numbers despite moderate elongation values. Overall, the ranking highlights clear differences in scaffold performance at the 72 h time point and identifies distinct groups of high-, medium-, and low-performing materials based on morphology-weighted cellular response.

3.3. Growth Progression over Time (24 h–72 h)

Temporal changes in scaffold performance were evaluated by analyzing the quality score progression between 24, 48, and 72 h of MG-63 cell culture. The results are summarized in Table 3. This analysis provides insight into the stability and long-term suitability of the scaffolds for bone regeneration applications, where sustained cellular development is required. Among all samples, Sample_5 demonstrated a consistent and monotonic increase in quality score over time, rising from 26.92 at 24 h to 33.71 at 72 h, corresponding to a growth of +25.3%. A similar but less pronounced upward trend was observed for Sample_3, which exhibited an +18.8% increase between 24 and 72 h. Sample_6 showed moderate overall growth (+9.4%), despite a temporary decrease at 48 h, indicating partial recovery of cell quality at later stages. In contrast, several samples exhibited non-monotonic or declining trajectories. Samples 4 and 8 displayed relatively stable quality scores with minor decreases (−1.1% and −2.1%, respectively), suggesting limited long-term improvement. More pronounced declines were observed for Samples 7, 2, 10, 9, and 1, with reductions ranging from −8.0% to −66.6% over the analyzed period. Notably, Sample_1 showed the highest initial quality score at 24 h but experienced a substantial decrease by 72 h.
Overall, the results indicate that scaffold performance varies markedly over time. While some materials support sustained or improved cell quality, others exhibit diminishing performance at later stages, emphasizing the importance of temporal evaluation when assessing scaffold suitability for bone tissue regeneration.

3.4. Morphology and Chemistry Analysis

Quantitative analysis of nanofiber morphology revealed moderate variability across the fabricated scaffolds, as summarized in Table 4. Fiber density values were relatively consistent, with a mean of 0.256 and a narrow range (0.231–0.288), indicating comparable fiber packing among samples. Orientation uniformity also showed limited dispersion (mean = 0.357), suggesting that large-scale alignment differences were not dominant across the dataset. In contrast, average fiber diameter exhibited substantial variability, ranging from 3.19 to 5.61 µm, accompanied by the highest standard deviation among the analyzed features. Surface roughness values varied within a narrower interval but still demonstrated measurable differences between samples. Fiber regularity showed moderate dispersion, reflecting differences in fiber continuity and structural homogeneity.
Chemical composition analysis is presented in Table 5. The MgO content ranged from 0.99 to 9.09 wt%, with a mean value of 4.95 wt%. Gold nanoparticle content varied between 0.10 and 0.40 mL per 5 g of PLA. Correlation analysis revealed a moderate negative correlation between MgO content and scaffold quality score (r = −0.435), while a weaker negative correlation was observed for gold nanoparticle concentration (r = −0.211). These relationships indicate that increases in inorganic additive content do not translate linearly into improved scaffold performance.
Overall, the combined morphology and chemistry analysis demonstrates that variations in average fiber diameter and surface roughness coincide with differences in cellular elongation and quality metrics, while the chemical composition shows complex, non-linear associations with scaffold performance. These findings provide a quantitative basis for subsequent multivariate and machine learning-based evaluation of structure–function relationships.

3.5. Machine Learning Model Performance

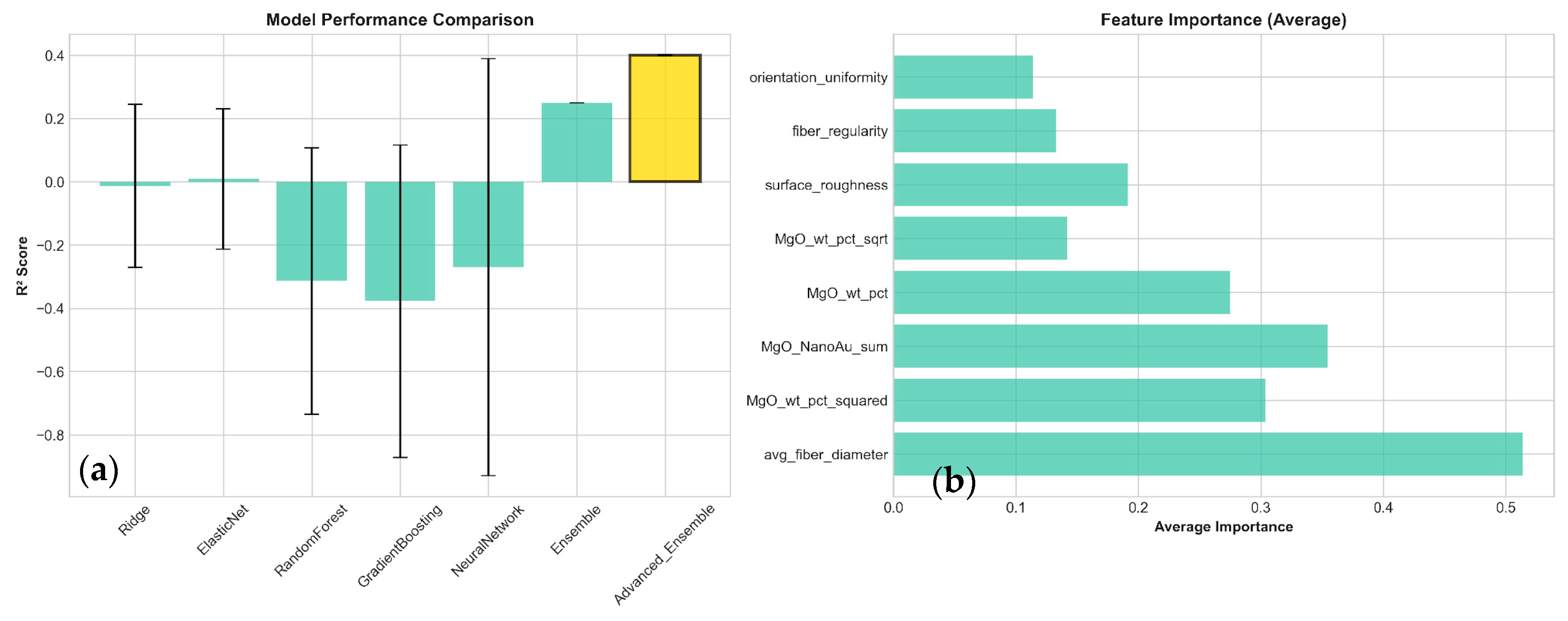
The predictive performance of multiple machine-learning models for estimating scaffold quality score from combined morphology and chemical features is summarized in Table 6. Linear models, including Ridge Regression and ElasticNet, exhibited limited predictive capability, with R2 values close to zero (−0.013 and 0.009, respectively), indicating an inability to capture the underlying relationships within the dataset. Tree-based models, such as Random Forest and Gradient Boosting, yielded lower mean squared error (MSE) and mean absolute error (MAE) values compared to linear approaches; however, their R2 scores remained negative, reflecting high variability and limited generalization under leave-one-out cross-validation.
The standalone neural network model did not outperform classical approaches, showing a negative R2 (−0.270) and substantial variance across validation folds. In contrast, the advanced ensemble model achieved the highest predictive performance, with an R2 score of 0.400 and the lowest MSE (18.784) among all evaluated methods. According to the adopted evaluation criteria, this level of performance indicates good predictive capability for biomedical research applications. The standard Ensemble model showed intermediate performance (R2 = 0.249), confirming the benefit of weighted model integration and feature optimization.
Feature importance analysis for the advanced ensemble model identified average fiber diameter as the most influential predictor of cell quality, followed by combined MgO–NanoAu descriptors and nonlinear MgO terms. Surface roughness also contributed to model performance, albeit to a lesser extent. Overall, these results demonstrate that multivariate combinations of morphological and chemical features are required to achieve meaningful prediction of scaffold performance.

3.6. Visual Analysis

3.6.1. Comprehensive Analysis Overview

Figure 3 presents an integrated visual summary of the experimental and computational analysis, combining scaffold ranking, cell quality relationships, temporal trends, and machine learning-derived feature importance. Together, these visualizations provide a multidimensional perspective on how nanofiber morphology and chemistry influence osteoblast behavior.
The primary ranking at 72 h (Figure 3a) highlights clear differentiation among the tested scaffolds. Sample_5 achieved the highest quality score, markedly outperforming the remaining samples, while Samples_8 and 6 formed a second performance tier. Control and lower-ranked samples exhibited substantially reduced quality, indicating that scaffold modification was necessary to achieve sustained osteoblast performance relevant to bone regeneration.
The cell quality scatter plot (Figure 3b) illustrates the relationship between cell count and elongation ratio, with bubble size representing the quality score. High-quality outcomes were not strictly associated with maximal cell numbers; instead, samples combining moderate-to-high cell counts with elevated elongation ratios generated the largest quality scores. This observation confirms that elongation-driven morphology, rather than proliferation alone, is a critical determinant of scaffold performance.
Temporal trends in cell quality between 24 h and 72 h (Figure 3c) reveal heterogeneous growth trajectories across samples. While Sample_5 and Sample_3 demonstrated sustained improvement over time, several samples showed stagnation or decline, underscoring time-dependent interactions between scaffold properties and cellular response. These results emphasize the importance of long-term evaluation when assessing scaffold suitability for bone regeneration. Finally, feature importance analysis (Figure 3d) identifies average fiber diameter as the dominant predictor of cell quality, followed by MgO–NanoAu interaction terms and MgO-related nonlinear features. Surface roughness and orientation uniformity contributed to a lesser extent. This ranking confirms that both architectural and chemical parameters jointly govern scaffold performance, with morphology exerting the strongest influence.
Overall, the visual analysis corroborates quantitative findings and demonstrates that optimal osteoblast response arises from a balanced combination of nanofiber architecture, controlled additive content, and time-dependent cellular adaptation.

3.6.2. Morphology–Quality Correlations

Figure 4 presents the statistical correlations between selected morphological and chemical parameters of electrospun scaffolds and the calculated cell quality score. Parameters showing statistically significant correlations (p < 0.05) are highlighted in green.
Among all analyzed features, MgO weight percentage exhibited the strongest statistically significant negative correlation with cell quality. This result indicates that increasing MgO content beyond a certain level adversely affects the elongation-driven quality metric, supporting the presence of non-linear or threshold-dependent effects of magnesium-based additives on osteoblast response.
Several morphological descriptors showed moderate negative correlations with quality, including fiber density and orientation uniformity. This suggests that excessively dense or highly uniform fiber arrangements may limit effective cell spreading and cytoskeletal reorganization, thereby reducing overall quality despite adequate cell attachment. Similarly, NanoAu content displayed a negative correlation with quality, indicating that higher nanoparticle loading does not necessarily translate into improved cellular performance.
In contrast, average fiber diameter showed a positive correlation with the quality score, suggesting that larger fiber diameters within the investigated range favor osteoblast elongation and contribute to improved scaffold performance. Fiber regularity also exhibited a weak positive trend, while surface roughness showed minimal correlation, indicating a secondary role under the conditions studied.
Overall, the correlation analysis confirms that scaffold architecture exerts a stronger influence on cell quality than individual chemical additives and highlights the importance of balanced morphology–chemistry optimization rather than unidirectional parameter maximization.

3.6.3. Chemical Composition Impact

Figure 5 illustrates the relationship between scaffold chemical composition and osteoblast quality score, focusing on the effects of MgO weight fraction and NanoAu content incorporated into the electrospun nanofibers.
As shown in Figure 5a, MgO content exhibits a non-linear influence on cell quality. Scaffolds containing the lowest MgO concentration (approximately 1 wt%) achieved the highest quality scores, whereas increasing MgO content to intermediate (≈5 wt%) and higher levels (≈9 wt%) resulted in a progressive decline in quality. This trend suggests the existence of an optimal MgO concentration range, beyond which potential adverse effects—such as altered ionic release, local pH changes, or excessive surface stiffness—may impair osteoblast elongation and overall scaffold performance.
A similar, albeit less pronounced, trend is observed for NanoAu content (Figure 6). Scaffolds with lower NanoAu loading (≈0.10 mL/5 g PLA) displayed higher and more consistent quality scores, while increasing the NanoAu content to 0.20 and 0.40 mL/5 g was associated with increased variability and a general reduction in quality. These results indicate that gold nanoparticles, while bioactive, require careful dosage control to avoid diminishing returns or negative cellular responses.
Overall, the data demonstrate that both MgO and NanoAu exert dose-dependent effects on osteoblast quality and confirm that optimal scaffold performance arises from moderate additive concentrations rather than maximal incorporation.

3.6.4. Prediction Accuracy

Figure 7 presents the comparison between experimentally measured quality scores and values predicted by the advanced ensemble machine learning model. The dashed diagonal line represents the ideal one-to-one agreement between predicted and actual values.
The model achieved a coefficient of determination of R2 = 0.400, indicating good predictive capability for a biomedical dataset of limited size and high experimental variability. Most data points cluster around the identity line, particularly in the mid-range of quality scores (approximately 18–28), demonstrating that the model captures the dominant trends governing scaffold performance.
Deviations from the ideal fit are more pronounced at the lower and higher extremes of the quality score range, where prediction errors increase. This behavior is consistent with the reduced representation of extreme samples in the dataset and suggests that model generalization in these regions is constrained by data sparsity rather than systematic bias. Importantly, the model does not exhibit clear overfitting, as predictions remain broadly distributed around the identity line without artificial compression toward the mean.
Overall, the results confirm that the advanced ensemble model can reasonably predict osteoblast quality based on combined morphological and chemical descriptors, providing a useful computational tool for preliminary screening and optimization of electrospun scaffolds prior to experimental validation.

4. Discussion

Electrospun nanofibrous scaffolds are widely recognized as effective platforms for bone tissue engineering due to their ability to reproduce key structural features of the native extracellular matrix, including high surface-to-volume ratio, interconnected porosity, and tunable fiber morphology [1,9,17]. In the present study, these well-established advantages were extended through a data-driven framework integrating nanofiber morphology, chemical composition, and machine-learning–based modeling to identify scaffold characteristics associated with enhanced osteoblast quality.

4.1. Role of Nanofiber Architecture in Osteoblast Response

The results confirm that nanofiber morphology plays a dominant role in regulating osteoblast behavior, with average fiber diameter emerging as the most influential descriptor across classical and ensemble machine-learning models. This observation is consistent with prior experimental and computational studies demonstrating that fiber diameters within the micrometer-to-submicrometer range modulate focal adhesion formation, cytoskeletal tension, and elongation-driven osteogenic phenotypes [4,15,22,30]. Moderate fiber density and partial orientation uniformity were also associated with improved cellular outcomes, supporting the concept that anisotropic yet permissive architectures provide effective contact guidance without excessively constraining cell spreading [5,10,25].
Surface roughness contributed to scaffold performance to a lesser extent but remained a non-negligible factor. Nanoscale and microscale roughness have been shown to influence integrin clustering, mechanotransduction pathways, and downstream osteogenic signaling [8,20,27]. The relatively narrow roughness range observed in this study suggests that even subtle topographical variations can influence cell morphology when combined with appropriate fiber architecture.

4.2. Structure–Activity Relationship Between Scaffold Architecture and Osteoblast Response

The biological response of osteoblast-like MG-63 cells observed in this study is strongly governed by the interplay between scaffold architecture and chemical composition, highlighting a clear structure–activity relationship. In particular, variations in nanofiber diameter, orientation, density, and surface roughness were found to modulate cell morphology, elongation, and spatial organization. Scaffolds characterized by intermediate fiber diameters and locally aligned fiber regions promoted enhanced cell elongation, suggesting effective contact guidance mechanisms driven by nanoscale topographical cues. Conversely, highly dense or excessively disordered fiber networks tended to limit directional spreading, resulting in more isotropic cell morphologies.
Surface roughness emerged as an additional factor influencing osteoblast behavior. Moderate increases in roughness likely enhanced focal adhesion formation and cytoskeletal anchoring, thereby facilitating cell elongation and maturation. However, excessive roughness did not further improve cell quality, indicating the presence of an optimal roughness window rather than a monotonic relationship.
Chemical modifications further modulated these structure-driven effects. Incorporation of MgO altered the physicochemical properties of the fibers, influencing local ionic environments and surface energy. While low MgO contents supported elongated morphologies, higher concentrations were associated with reduced overall cell quality, suggesting a nonlinear and concentration-dependent effect. This observation is consistent with reports indicating that excessive magnesium ion release may impair cell proliferation or induce local stress despite its known osteogenic potential at controlled levels. Similarly, gold nanoparticles enhanced cell attachment and surface coverage, but higher nanoparticle loadings did not proportionally increase elongation, likely due to partial masking of topographical cues or changes in surface chemistry.
Notably, the most favorable osteoblast response was observed for composite scaffolds combining MgO and gold nanoparticles, where optimized fiber architecture and balanced chemical composition acted synergistically. These scaffolds promoted elongated, spindle-like cell morphologies aligned with the nanofiber network, indicating efficient transmission of structural cues from the material to the cells. It should also be noted that scaffold performance was primarily evaluated at discrete time points, with particular emphasis on the 72 h results. While this time point provides insight into early-stage cell–material interactions, longer culture periods may reveal different trends related to differentiation, mineralization, or scaffold remodeling. Therefore, the designation of Sample 5 as the best-performing scaffold is limited to the investigated temporal window. Overall, these findings demonstrate that osteoblast behavior cannot be attributed to single parameters alone but instead arises from coupled structural and chemical effects, underscoring the importance of co-optimizing scaffold architecture and composition for bone tissue engineering applications.

4.3. Chemistry–Morphology Interplay and Nonlinear Effects

The influence of scaffold chemistry was found to be strongly non-linear. Although MgO and gold nanoparticles are commonly incorporated to enhance bioactivity, osteoconductivity, or antibacterial properties [23,24,34,35], the present results indicate that higher additive content does not necessarily improve cell quality. Negative correlations between MgO or NanoAu content and the quality score, together with the prominence of squared and interaction terms in the machine-learning models, point toward threshold-dependent behavior. Such nonlinear effects are increasingly reported for bioactive ceramics, magnesium-based materials, and nanoparticle-modified scaffolds, where excessive ionic release, local pH changes, or altered surface stiffness may impair long-term cellular performance [6,33,34,35]. Importantly, the best-performing scaffolds in this study were characterized by relatively low additive concentrations, reinforcing the concept that compositional optimization should prioritize balance rather than maximal loading.

4.4. Temporal Dependence of Scaffold Performance

Time-resolved analysis revealed that early culture stages, particularly at 24 h, were highly sensitive to scaffold architecture and chemistry. Several samples exhibited non-monotonic quality trajectories, with initial improvements followed by stagnation or decline at later time points. This behavior aligns with established models of bone regeneration, where early adhesion and cytoskeletal organization strongly influence subsequent proliferation and differentiation [16,18]. These findings emphasize that scaffold evaluation based solely on short-term assays may be insufficient and potentially misleading when predicting long-term regenerative performance.

4.5. Machine Learning as a Design Tool for Electrospun Scaffolds

A central contribution of this work lies in the application of machine-learning methods to integrate morphological, chemical, and temporal descriptors into a unified predictive framework. While linear and tree-based models showed limited predictive capability, the advanced ensemble model achieved good performance (R2 = 0.400), consistent with recent studies reporting moderate explanatory power for ML models trained on small experimental datasets [36,37,38,42,43,44].
Notably, the superior performance of the end-to-end convolutional neural network underscores the informational value of raw SEM images. This observation aligns with a growing body of literature demonstrating that deep learning can capture complex texture- and pattern-based features that are difficult to summarize using handcrafted descriptors [42,49,50,51,52,53,54]. Recent works have successfully applied ML to predict nanofiber diameter, alignment, mechanical properties, and process outcomes [36,37,38,42,43,44], however, relatively few studies have directly linked ML predictions to cell-based quality metrics relevant to tissue regeneration. In this context, the present study provides experimental evidence supporting the feasibility of ML-guided scaffold optimization driven by biological performance rather than solely by structural or processing parameters.
The identification of squared MgO terms among the most influential machine-learning features further supports the presence of nonlinear composition–response relationships. Although magnesium-based biomaterials are widely reported to promote osteogenic activity, the observed negative correlation between MgO content and quality score in the present study suggests a nonlinear and concentration-dependent effect. At higher MgO loadings, increased magnesium ion release or changes in local surface chemistry may induce cellular stress or impair morphological maturation, despite potential osteogenic benefits at lower concentrations. Such dose-dependent behavior has been previously reported for magnesium-containing scaffolds and highlights the importance of compositional balance rather than maximal additive content.
More broadly, the integration of ML into biomaterials design reflects a paradigm shift toward inverse design and multi-objective optimization, as highlighted in recent frameworks for architected materials and tissue engineering scaffolds [42,52,53,54,55]. The present results demonstrate that even with limited datasets, carefully engineered features, ensemble strategies, and image-based learning can yield actionable insights into structure–function relationships.

4.6. Limitations of the Study

Despite its contributions, this study has several limitations that should be acknowledged. First, the dataset size was limited, which constrained the generalizability of the machine-learning models and likely contributed to the moderate performance of classical algorithms. Expansion of the dataset with additional scaffold compositions and replicates would improve statistical robustness and enable more complex model architectures. Second, the analysis was based on two-dimensional SEM and cell microscopy images; extension to three-dimensional scaffold architectures and volumetric imaging would provide a more comprehensive representation of the cellular microenvironment. Third, biological validation was limited to a single osteoblast-like cell line (MG-63), and future studies should include primary human osteoblasts or mesenchymal stem cells to enhance translational relevance.
The applied microscopy-based analysis is restricted to two-dimensional evaluation of surface-adhered MG-63 cells. As a result, the current methodology does not capture true three-dimensional cell infiltration into the porous nanofibrous scaffold structure, which may play an important role in bone tissue regeneration.
Although edge-correction algorithms were implemented to reduce boundary-related bias during cell counting and morphology analysis, the assessment remains inherently limited to planar projections of cell morphology. Therefore, the obtained elongation and cell density metrics should be interpreted as surface-related indicators rather than volumetric descriptors of scaffold colonization.
At the 72 h time point, partial overgrowth of MG-63 cells may influence local cell density and apparent morphology, potentially affecting quantitative comparisons. To address these limitations, future studies should incorporate confocal z-stack imaging, three-dimensional reconstruction, or histological sectioning to enable volumetric analysis of cell infiltration and spatial organization within the scaffold. Consequently, the conclusions of the present work are limited to comparative surface morphology under the tested experimental conditions.
The composite quality score used in this study was designed to prioritize osteoblast morphological maturation rather than cell quantity alone. Osteoblast elongation is widely recognized as a key indicator of cytoskeletal organization, focal adhesion development, and mechanotransductive signaling, all of which are closely associated with osteogenic differentiation and functional maturation. In contrast, high proliferation without corresponding elongation may reflect immature or mechanically unstimulated cell states and does not necessarily correlate with enhanced osteogenic potential.
Therefore, elongation was weighted more strongly than cell number, while the square-root normalization of cell count was introduced to prevent overemphasis of highly proliferative but morphologically suboptimal conditions. The resulting quality score was applied as a heuristic ranking metric to enable comparative evaluation of scaffold performance under the tested experimental conditions. While this metric does not replace established osteogenic markers, it provides an interpretable and morphology-driven proxy suitable for early-stage scaffold screening. Future studies will aim to validate this approach against biochemical differentiation markers such as alkaline phosphatase activity, osteocalcin expression, and Runx2 signaling.

4.7. Implications for Intelligent Biomaterial Design

Taken together, the results support the concept of intelligent nanofibrous biomaterials whose architecture and composition can be rationally optimized using data-driven approaches. By combining electrospinning, quantitative morphology analysis, and machine-learning modeling, the proposed framework enables systematic exploration of complex design spaces and provides a scalable pathway toward predictive and adaptive scaffold development for bone tissue regeneration (Figure 8).

5. Conclusions

This work demonstrates that combining advanced electrospinning strategies with machine-learning–based SEM image analysis provides an effective, scalable framework for optimizing nanofibrous scaffolds intended for bone tissue regeneration. The three-module pipeline successfully linked scaffold chemistry, fiber morphology, and osteoblast response, enabling objective sample ranking and identification of architecture–function relationships. Both the ML ensemble (R2 = 0.400) and the CNN model (R2 = 0.750) confirmed that nanoscale and microscale morphological cues, together with MgO and gold nanoparticle content, strongly influence osteoblast elongation and overall scaffold quality. Sample_5 emerged as the optimal design, providing the most favorable microenvironment after 72 h. The resulting morphological and chemical design targets offer clear guidance for future scaffold engineering. Further improvements should focus on dataset expansion, inclusion of additional morphological descriptors, implementation of deep learning models, and experimental validation to fully establish predictive generalizability.

Author Contributions

Conceptualization, J.R.-P., Ł.J. and A.R.-P.; methodology, J.R.-P., A.R.-P. and Ł.J.; validation, A.S.-B., J.R.-P. and Ł.J.; investigation, A.K., A.S.-B., P.R. and J.R.-P.; data curation, Ł.J., A.K., J.R.-P. and A.R.-P.; writing—original draft preparation, A.K., J.R.-P. and A.R.-P.; resources, Ł.J. and J.R.-P.; supervision, J.R.-P. All authors have read and agreed to the published version of the manuscript.

Funding

This research and the APC were funded by the Ministry of Education and Science, TRL 4.0 Grant number MNiSW/2020/344/DIR. 537.

Institutional Review Board Statement

Not applicable.

Data Availability Statement

The raw data supporting the conclusions of this article will be made available by the authors on request.

Conflicts of Interest

The authors declare no conflicts of interest.

References

  1. Tucker, N.; Stanger, J.J.; Staiger, M.P.; Razzaq, H.; Hofman, K. The history of the science and technology of electrospinning from 1600 to 1995. J. Eng. Fibers Fabr. 2012, 7, 63–73. [Google Scholar] [CrossRef]
  2. Lewandowska, M.; Kurzydłowski, K. Nanomateriały Inżynierskie Konstrukcyjne i Funkcjonalne; Wydawnictwo Naukowe PWN: Warsaw, Poland, 2010. [Google Scholar]
  3. Dosunmu, O.O.; Chase, G.G.; Kataphinan, W.; Reneker, D.H. Electrospinning of polymer nanofibres from multiple jets on a porous tubular surface. Nanotechnology 2006, 17, 1123. [Google Scholar] [CrossRef]
  4. Nair, A.K.; Gautieri, A.; Chang, S.-W.; Buehler, M.J. Molecular mechanics of mineralized collagen fibrils in bone. Nat. Commun. 2013, 4, 1724. [Google Scholar] [CrossRef]
  5. Cowin, S.C.; Cardoso, L. Blood and interstitial flow in the hierarchical pore space architecture of bone tissue. J. Biomech. 2015, 48, 842–854. [Google Scholar] [CrossRef] [PubMed]
  6. Dejob, L.; Toury, B.; Tadier, S.; Gremillard, L.; Gaillard, C.; Salles, V. Electrospinning of in situ synthesized silica-based and calcium phosphate bioceramics for applications in bone tissue engineering: A review. Acta Biomater. 2021, 123, 123–153. [Google Scholar] [CrossRef]
  7. Alberts, B. Molecular Biology of the Cell; Garland Science: New York, NY, USA, 2017. [Google Scholar]
  8. Ducheyne, P. Comprehensive Biomaterials II; Elsevier: Amsterdam, The Netherlands, 2017. [Google Scholar]
  9. Bhardwaj, N.; Kundu, S.C. Electrospinning: A fascinating fiber fabrication technique. Biotechnol. Adv. 2010, 28, 325–347. [Google Scholar] [CrossRef]
  10. Currey, J.D. Bones: Structure and Mechanics; Princeton University Press: Princeton, NJ, USA, 2006. [Google Scholar]
  11. Lee, C.A.; Einhorn, T.A. The bone organ system: Form and function. In Osteoporosis; Academic Press: Cambridge, MA, USA, 2001; pp. 3–20. [Google Scholar]
  12. de Buffrénil, V.; de Ricqlès, A.J.; Zylberberg, L.; Padian, K. (Eds.) Vertebrate Skeletal Histology and Paleohistology; CRC Press: Boca Raton, FL, USA, 2021. [Google Scholar]
  13. Mohan, S.; Baylink, D.J. Bone growth factors. Clin. Orthop. Relat. Res. 1991, 263, 30–48. [Google Scholar] [CrossRef]
  14. Nordin, B.E.C.; Speed, R.; Aaron, J.; Crilly, R.G. Bone formation and resorption as the determinants of trabecular bone volume in postmenopausal osteoporosis. Lancet 1981, 318, 277–279. [Google Scholar] [CrossRef]
  15. Wang, B.; Zhang, Z.; Pan, H. Bone apatite nanocrystal: Crystalline structure, chemical composition, and architecture. Biomimetics 2023, 8, 90. [Google Scholar] [CrossRef] [PubMed]
  16. Pountos, I.; Giannoudis, P.V. Fracture healing: Back to basics and latest advances. In Fracture Reduction and Fixation Techniques: Upper Extremities; Springer: Berlin, Germany, 2018; pp. 3–17. [Google Scholar]
  17. Wang, Z.; Wang, Y.; Yan, J.; Zhang, K.; Lin, F.; Xiang, L.; Deng, L.; Guan, Z.; Cui, W.; Zhang, H. Pharmaceutical electrospinning and 3D printing scaffold design for bone regeneration. Adv. Drug Deliv. Rev. 2021, 174, 504–534. [Google Scholar] [CrossRef] [PubMed]
  18. Maruyama, M.; Rhee, C.; Utsunomiya, T.; Zhang, N.; Ueno, M.; Yao, Z.; Goodman, S.B. Modulation of the inflammatory response and bone healing. Front. Endocrinol. 2020, 11, 386. [Google Scholar] [CrossRef] [PubMed]
  19. Zakaria, O.; Madi, M.; Kasugai, S. Introduction of a novel guided bone regeneration memory shape based device. J. Biomed. Mater. Res. B Appl. Biomater. 2020, 108, 460–467. [Google Scholar] [CrossRef]
  20. Yu, L.; Wei, M. Biomineralization of collagen-based materials for hard tissue repair. Int. J. Mol. Sci. 2021, 22, 944. [Google Scholar] [CrossRef]
  21. Choi, I.-O.; Oh, J.-S.; Yu, S.-J.; Kim, B.-O.; Lee, W.-P. Retrospective analysis of the effect of three-dimensional preformed titanium mesh on peri-implant non-contained horizontal defects in 100 consecutive cases. Appl. Sci. 2021, 11, 872. [Google Scholar] [CrossRef]
  22. Zhou, X.; Cheng, X.; Xing, D.; Ge, Q.; Li, Y.; Luan, X.; Gu, N.; Qian, Y. Ca ions chelation, collagen I incorporation and 3D bionic PLGA/PCL electrospun architecture to enhance osteogenic differentiation. Mater. Des. 2021, 198, 109300. [Google Scholar] [CrossRef]
  23. dos Santos, V.I.; Merlini, C.; Aragones, Á.; Cesca, K.; Fredel, M.C. Influence of calcium phosphates incorporation into poly(lactic-co-glycolic acid) electrospun membranes for guided bone regeneration. Polym. Degrad. Stab. 2020, 179, 109253. [Google Scholar] [CrossRef]
  24. Kim, S.-Y.; Kim, Y.-K.; Chong, S.-W.; Lee, K.-B.; Lee, M.-H. Osteogenic effect of a biodegradable BMP-2 hydrogel injected into a cannulated mg screw. ACS Biomater. Sci. Eng. 2020, 6, 6173–6185. [Google Scholar] [CrossRef] [PubMed]
  25. Yu, L.; Cai, Y.; Wang, H.; Pan, L.; Li, J.; Chen, S.; Liu, Z.; Han, F.; Li, B. Biomimetic bone regeneration using angle-ply collagen membrane-supported cell sheets subjected to mechanical conditioning. Acta Biomater. 2020, 112, 75–86. [Google Scholar] [CrossRef] [PubMed]
  26. Lu, Q.; Han, W.J.; Choi, H.J. Smart and functional conducting polymers: Application to electrorheological fluids. Molecules 2018, 23, 2854. [Google Scholar] [CrossRef]
  27. Wang, S.-J.; Jiang, D.; Zhang, Z.-Z.; Chen, Y.-R.; Yang, Z.-D.; Zhang, J.-Y.; Shi, J.; Wang, X.; Yu, J.-K. Biomimetic nanosilica–collagen scaffolds for in situ bone regeneration: Toward a cell-free, one-step surgery. Adv. Mater. 2019, 31, 1904341. [Google Scholar] [CrossRef]
  28. Cui, Z.-K.; Kim, S.; Baljon, J.J.; Wu, B.M.; Aghaloo, T.; Lee, M. Microporous methacrylated glycol chitosan–montmorillonite nanocomposite hydrogel for bone tissue engineering. Nat. Commun. 2019, 10, 3523. [Google Scholar] [CrossRef]
  29. Arnaud, E.; Morieux, C.; Wybier, M.; De Vernejoul, M.C. Potentiation of transforming growth factor (TGF-β1) by natural coral and fibrin in a rabbit cranioplasty model. Calcif. Tissue Int. 1994, 54, 493–498. [Google Scholar] [CrossRef]
  30. Nie, W.; Gao, Y.; McCoul, D.J.; Gillispie, G.J.; Zhang, Y.; Liang, L.; He, C. Rapid mineralization of hierarchical poly(l-lactic acid)/poly(ε-caprolactone) nanofibrous scaffolds by electrodeposition for bone regeneration. Int. J. Nanomed. 2019, 14, 3929–3941. [Google Scholar] [CrossRef]
  31. Rieger, B.; Künkel, A.; Coates, G.W.; Reichardt, R.; Dinjus, E.; Zevaco, T.A. (Eds.) Synthetic Biodegradable Polymers; Springer: Berlin/Heidelberg, Germany, 2012; Volume 245. [Google Scholar] [CrossRef]
  32. Goonoo, N.; Bhaw-Luximon, A.; Passanha, P.; Esteves, S.R.; Jhurry, D. Third generation poly(hydroxyacid) composite scaffolds for tissue engineering. J. Biomed. Mater. Res. B Appl. Biomater. 2017, 105, 1667–1684. [Google Scholar] [CrossRef] [PubMed]
  33. Ana, I.D.; Satria, G.A.P.; Dewi, A.H.; Ardhani, R. Bioceramics for clinical application in regenerative dentistry. In Novel Biomaterials for Regenerative Medicine; Springer: Singapore, 2018; pp. 309–316. [Google Scholar] [CrossRef]
  34. Kaou, M.H.; Furkó, M.; Balázsi, K.; Balázsi, C. Advanced bioactive glasses: The newest achievements and breakthroughs in the area. Nanomaterials 2023, 13, 2287. [Google Scholar] [CrossRef]
  35. Kamrani, S.; Fleck, C. Biodegradable magnesium alloys as temporary orthopaedic implants: A review. Biometals 2019, 32, 185–193. [Google Scholar] [CrossRef]
  36. Sukpancharoen, S.; Wijakmatee, T.; Katongtung, T.; Ponhan, K.; Rattanachoung, N.; Khojitmate, S. Data-Driven Prediction of Electrospun Nanofiber Diameter Using Machine Learning: A Comprehensive Study and Web-Based Tool Development. Results Eng. 2024, 24, 102826. [Google Scholar] [CrossRef]
  37. Golbabaei, M.H.; Varnoosfaderani, M.S.; Hemmati, F.; Barati, M.R.; Pishbin, F.; Seyyed Ebrahimi, S.A. Machine Learning-Guided Morphological Property Prediction of 2D Electrospun Scaffolds: The Effect of Polymer Chemical Composition and Processing Parameters. RSC Adv. 2024, 14, 15178–15199. [Google Scholar] [CrossRef] [PubMed]
  38. López-Flores, F.J.; Ornelas-Guillén, J.A.; Pérez-Nava, A.; Ponce-Ortega, J.M. Data-Driven Machine Learning Approach for Modeling the Production and Predicting the Characteristics of Aligned Electrospun Nanofibers. Ind. Eng. Chem. Res. 2024, 63, 9904–9913. [Google Scholar] [CrossRef]
  39. Roldán, E.; Martín-Ramos, P.; Hernández-Navarro, S.; Martín-Gil, J. Machine Learning to Predict Morphology, Topography and Mechanical Properties of Electrospun Gelatin-Based Scaffolds. Sci. Rep. 2024, 14, 21017. [Google Scholar] [CrossRef]
  40. Roldán, E.; Reeves, N.D.; Cooper, G.; Andrews, K. Machine learning to mechanically assess 2D and 3D biomimetic electrospun scaffolds for tissue engineering applications: Between the predictability and the interpretability. J. Mech. Behav. Biomed. Mater. 2024, 157, 106630. [Google Scholar] [CrossRef]
  41. Stringer, C.; Wang, T.; Michaelos, M.; Pachitariu, M. Cellpose: A generalist algorithm for cellular segmentation. Nat. Methods 2021, 18, 100–106. [Google Scholar] [CrossRef]
  42. Pervez, N.; Yeo, W.S.; Mishu, M.M.R.; Talukder, E.; Roy, H.; Islam, S.; Zhao, Y.; Cai, Y.; Stylios, G.K.; Naddeo, V. Electrospun nanofiber membrane diameter prediction using a combined response surface methodology and machine learning approach. Sci. Rep. 2023, 13, 9679. [Google Scholar] [CrossRef]
  43. Ma, M.; Zhou, H.; Gao, S.; Li, N.; Guo, W.; Dai, Z. Analysis and prediction of electrospun nanofiber diameter using artificial neural networks. Polymers 2023, 15, 2813. [Google Scholar] [CrossRef]
  44. Cuahuizo-Huitzil, G.; Olivares-Xometl, O.; Eugenia Castro, M.; Arellanes-Lozada, P.; Meléndez-Bustamante, F.J.; Pineda Torres, I.H.; Santacruz-Vázquez, C.; Santacruz-Vázquez, V. Artificial Neural Networks for Predicting the Diameter of Electrospun Nanofibers Synthesized from Solutions/Emulsions of Biopolymers and Oils. Materials 2023, 16, 5720. [Google Scholar] [CrossRef]
  45. Fu, R.K.; Chen, Z.; Tian, H.; Hu, J.; Bu, F.; Zheng, P.; Chi, L.; Zhu, L. A review on the applications of machine learning in biomaterials, biomechanics, and biomanufacturing for tissue engineering. Smart Mater. Med. 2025, 2, 100003. [Google Scholar] [CrossRef]
  46. Jeznach, O.; Tabakoglu, S.; Zaszczyńska, A.; Sajkiewicz, P. Review on machine learning application in tissue engineering: What has been done so far? Application areas, challenges, and perspectives. J. Mater. Sci. 2024, 59, 21222–21250. [Google Scholar] [CrossRef]
  47. Guo, J.L.; Januszyk, M.; Longaker, M.T. Machine Learning in Tissue Engineering. Tissue Eng. Part A 2023, 29, 2–19. [Google Scholar] [CrossRef] [PubMed]
  48. Liu, Y. Consensus on the management of pediatric deep partial-thickness burn wounds (2023 edition). Burns Trauma 2023, 11, tkad053. [Google Scholar] [CrossRef] [PubMed]
  49. Martelli, A.; Bellucci, D.; Cannillo, V. The Role of Artificial Intelligence in Biomaterials Science: A Review. Polymers 2025, 17, 2668. [Google Scholar] [CrossRef] [PubMed]
  50. Salem, D.A.; Moharam, M.H.; Hashem, E.M. Development of Machine Learning Regression Models for Predicting the Performance of Nanofibrous Scaffolds for Skin Tissue Engineering. J. Biox Res. 2024, 7, 0008. [Google Scholar] [CrossRef]
  51. Ibrahimi, S.; D’aNdrea, L.; Gastaldi, D.; Rivolta, M.W.; Vena, P. Machine learning approaches for the design of biomechanically compatible bone tissue engineering scaffolds. Comput. Methods Appl. Mech. Eng. 2024, 423, 116842. [Google Scholar] [CrossRef]
  52. Peng, B.; Wei, Y.; Qin, Y.; Dai, J.; Li, Y.; Liu, A.; Tian, Y.; Han, L.; Zheng, Y.; Wen, P. Machine learning-enabled constrained multi-objective design of architected materials. Nat. Commun. 2023, 14, 6630. [Google Scholar] [CrossRef] [PubMed]
  53. Ng, W.L.; Goh, G.D.; Yeong, W.Y.; Ten, J.S.J. Progress and opportunities for machine learning in materials and processes of additive manufacturing. Adv. Mater. 2024, 36, 2310006. [Google Scholar] [CrossRef] [PubMed]
  54. Drakoulas, G.; Gortsas, T.; Polyzos, E.; Tsinopoulos, S.; Pyl, L.; Polyzos, D. An explainable machine learning-based probabilistic framework for the design of scaffolds in bone tissue engineering. Biomech. Model. Mechanobiol. 2024, 23, 987–1012. [Google Scholar] [CrossRef] [PubMed]
  55. Rostami, M.; Gharibshahian, M.; Mostafavi, M.; Sufali, A.; Golmohammadi, M.; Barati, M.R.; Maleki, R.; Beheshtizadeh, N. A supervised machine-learning analysis of doxorubicin-loaded electrospun nanofibers and their anticancer activity capabilities. Front. Bioeng. Biotechnol. 2025, 13, 1493194. [Google Scholar] [CrossRef]
Figure 1. SEM microphotographs of the obtained samples.
Figure 1. SEM microphotographs of the obtained samples.
Applsci 16 01535 g001
Figure 2. Osteoblasts cultured on GBR membranes (40× magnification) samples 1–10 and control (cells cultured without any sample).
Figure 2. Osteoblasts cultured on GBR membranes (40× magnification) samples 1–10 and control (cells cultured without any sample).
Applsci 16 01535 g002
Figure 3. Complete analysis including ranking, quality relationships, time trends, and feature importance: (a)—primary ranking; (b)—cell quality analysis; (c)—growth progression analysis; (d)— most important morphology features.
Figure 3. Complete analysis including ranking, quality relationships, time trends, and feature importance: (a)—primary ranking; (b)—cell quality analysis; (c)—growth progression analysis; (d)— most important morphology features.
Applsci 16 01535 g003
Figure 4. Statistical correlations between morphology features and cell quality (green: statistically significant p < 0.05; red: p > 0.05).
Figure 4. Statistical correlations between morphology features and cell quality (green: statistically significant p < 0.05; red: p > 0.05).
Applsci 16 01535 g004
Figure 5. Impact of MgO and NanoAu content on cell quality: machine learning model comparison.
Figure 5. Impact of MgO and NanoAu content on cell quality: machine learning model comparison.
Applsci 16 01535 g005
Figure 6. Performance comparison of different ML models and feature importance. (a)—model performance comparison; (b)—feature importance.
Figure 6. Performance comparison of different ML models and feature importance. (a)—model performance comparison; (b)—feature importance.
Applsci 16 01535 g006
Figure 7. Actual vs. predicted quality scores showing model accuracy.
Figure 7. Actual vs. predicted quality scores showing model accuracy.
Applsci 16 01535 g007
Figure 8. General outcomes of the study.
Figure 8. General outcomes of the study.
Applsci 16 01535 g008
Table 1. Sample composition.
Table 1. Sample composition.
Sample No.
15 g PLA
25 g PLA + 0.05 g MgO
35 g PLA + 0.25 g MgO
45 g PLA + 0.50 g MgO
55 g PLA + 0.5 mL Au nanoparticles
65 g PLA + 1.0 mL Au nanoparticles
75 g PLA + 2.0 mL Au nanoparticles
85 g PLA + 0.05 g MgO + 0.5 mL Au nanoparticles
95 g PLA + 0.25 g MgO + 1.0 mL Au nanoparticles
105 g PLA + 0.50 g MgO + 2.0 mL Au nanoparticles
Table 2. Primary ranking: 72 h results for bone regeneration research.
Table 2. Primary ranking: 72 h results for bone regeneration research.
RankSampleQuality Score (72 h)Cell Count (Mean ± SD)Elongation (Mean ± SD)n
1Sample_533.71487 ± 421.53 ± 0.113
2Sample_826.47316 ± 351.49 ± 0.093
3Sample_624.84248 ± 281.58 ± 0.133
4Sample_323.46198 ± 241.67 ± 0.153
5Sample_222.03218 ± 261.49 ± 0.103
6Sample_719.29160 ± 211.53 ± 0.123
7Sample_419.16176 ± 191.44 ± 0.093
8Control_72h18.66142 ± 181.57 ± 0.143
9Sample_913.6292 ± 151.42 ± 0.083
10Sample_112.8074 ± 131.49 ± 0.103
11Sample_1012.4571 ± 121.48 ± 0.093
Table 3. Cell growth progression over time—key for bone regeneration.
Table 3. Cell growth progression over time—key for bone regeneration.
SampleQuality 24 h (Mean ± SD)Quality 48 h (Mean ± SD)Quality 72 h (Mean ± SD)Growth 24→72 h (%)n
Sample_526.92 ± 2.328.26 ± 2.533.71 ± 3.1+25.33
Sample_319.74 ± 1.921.87 ± 2.123.46 ± 2.4+18.83
Sample_622.70 ± 2.020.45 ± 1.824.84 ± 2.2+9.43
Sample_419.39 ± 1.716.67 ± 1.519.16 ± 1.9−1.13
Sample_827.04 ± 2.426.86 ± 2.226.47 ± 2.3−2.13
Sample_720.96 ± 1.822.95 ± 2.019.29 ± 1.7−8.03
Sample_230.18 ± 2.718.87 ± 1.922.03 ± 2.1−27.03
Sample_1019.60 ± 1.918.47 ± 1.812.45 ± 1.4−36.53
Sample_927.72 ± 2.525.36 ± 2.313.62 ± 1.6−50.83
Sample_138.29 ± 3.126.93 ± 2.612.80 ± 1.5−66.63
Table 4. Statistical analysis of SEM morphology features and chemical composition.
Table 4. Statistical analysis of SEM morphology features and chemical composition.
FeatureMean ± SDMinMax
Fiber Density0.256 ± 0.0180.2310.288
Orientation Uniformity0.357 ± 0.0050.3480.365
Surface Roughness7.829 ± 0.1177.5587.922
Average Fiber Diameter (µm)4.174 ± 0.7803.1925.606
Fiber Regularity0.564 ± 0.0290.5160.605
Table 5. Chemical composition analysis.
Table 5. Chemical composition analysis.
ComponentMean ContentRangePearson rp-Value
MgO (wt%)4.95%0.99–9.09%−0.4350.18
NanoAu (mL/5 g PLA)0.230.10–0.40−0.2110.53
Table 6. Multiple ML models were trained and evaluated to predict cell quality from morphology and chemistry.
Table 6. Multiple ML models were trained and evaluated to predict cell quality from morphology and chemistry.
ModelR2 (Mean ± SD)MSEMAE
Ridge−0.013 ± 0.25722.813.65
ElasticNet0.009 ± 0.22223.423.73
Random Forest−0.314 ± 0.42118.922.92
Gradient Boosting−0.378 ± 0.49418.842.90
Neural Network−0.270 ± 0.65922.273.39
Advanced Ensemble0.400 ± 0.00018.782.93
Disclaimer/Publisher’s Note: The statements, opinions and data contained in all publications are solely those of the individual author(s) and contributor(s) and not of MDPI and/or the editor(s). MDPI and/or the editor(s) disclaim responsibility for any injury to people or property resulting from any ideas, methods, instructions or products referred to in the content.

Share and Cite

MDPI and ACS Style

Radwan-Pragłowska, J.; Radwan-Pragłowski, A.; Kopacz, A.; Janus, Ł.; Sierakowska-Byczek, A.; Radomski, P. Machine Learning-Guided Optimization of Electrospun Fiber Morphology for Enhanced Osteoblast Growth and Bone Regeneration. Appl. Sci. 2026, 16, 1535. https://doi.org/10.3390/app16031535

AMA Style

Radwan-Pragłowska J, Radwan-Pragłowski A, Kopacz A, Janus Ł, Sierakowska-Byczek A, Radomski P. Machine Learning-Guided Optimization of Electrospun Fiber Morphology for Enhanced Osteoblast Growth and Bone Regeneration. Applied Sciences. 2026; 16(3):1535. https://doi.org/10.3390/app16031535

Chicago/Turabian Style

Radwan-Pragłowska, Julia, Aleksander Radwan-Pragłowski, Aleksandra Kopacz, Łukasz Janus, Aleksandra Sierakowska-Byczek, and Piotr Radomski. 2026. "Machine Learning-Guided Optimization of Electrospun Fiber Morphology for Enhanced Osteoblast Growth and Bone Regeneration" Applied Sciences 16, no. 3: 1535. https://doi.org/10.3390/app16031535

APA Style

Radwan-Pragłowska, J., Radwan-Pragłowski, A., Kopacz, A., Janus, Ł., Sierakowska-Byczek, A., & Radomski, P. (2026). Machine Learning-Guided Optimization of Electrospun Fiber Morphology for Enhanced Osteoblast Growth and Bone Regeneration. Applied Sciences, 16(3), 1535. https://doi.org/10.3390/app16031535

Note that from the first issue of 2016, this journal uses article numbers instead of page numbers. See further details here.

Article Metrics

Back to TopTop