Ethyl 2-Cyanoacrylate as a Promising Matrix for Carbon Nanomaterial-Based Amperometric Sensors for Neurotransmitter Monitoring
Abstract
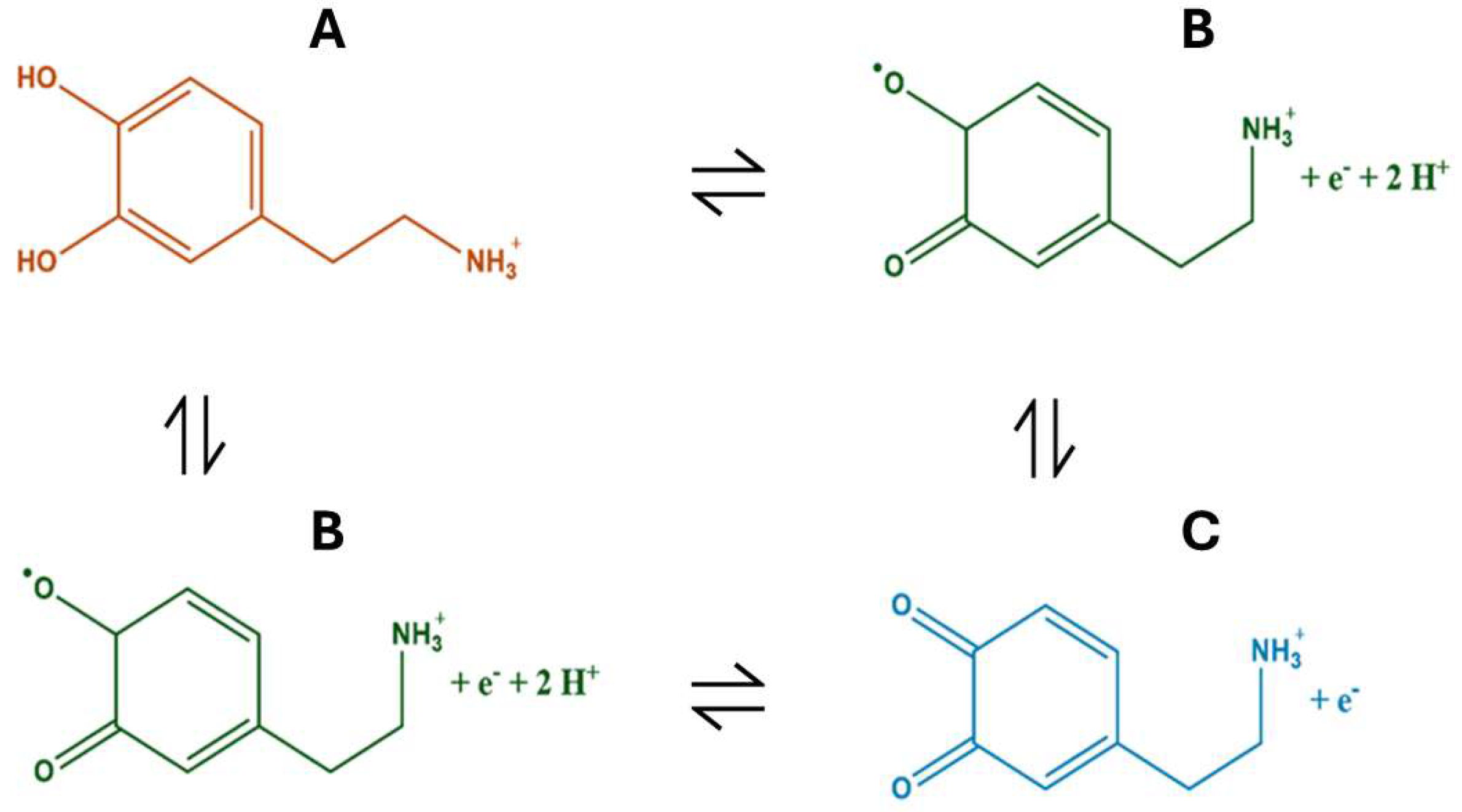
1. Introduction
2. Materials and Methods
2.1. Chemicals and Reagents
2.2. Cyanoacrylate–Carbon Sensor Construction
2.3. Electrochemical Procedures
2.4. Scanning Electron Microscopy (SEM) Study of the Sensors
2.5. Instrumentation and Software
2.6. Cell Culture and DA Recovery in Cell Lysate
2.7. Statistical Analysis
3. Results
3.1. Graphite–Cyanoacrylate Composite Characterization
3.2. MWCNT–Cyanoacrylate Composite Characterization
3.3. Graphene–Cyanoacrylate Composite Characterization
3.4. Study on the Stability of Cyanoacrylate-Based Sensors over Time
3.5. Evaluation of Nafion™ Coating on AA, DOPAC, UA and DA Detection
3.6. Measurement of DA Content in PC12 Cell Lysate
4. Discussion
5. Conclusions
Supplementary Materials
Author Contributions
Funding
Data Availability Statement
Conflicts of Interest
Abbreviations
| DA | Dopamine |
| MWCNT | Multi-walled carbon nanotube |
| ECA | Ethyl 2-cyanoacrylate |
| LOD | Limit of detection |
| LOQ | Limit of quantification |
| PD | Parkinson’s disease |
| GC | Glassy carbon |
| PECA | Poly(ethyl 2-cyanoacrylate) |
| CV | Cyclic voltammetry |
| CPA | Constant potential amperometry |
| SEM | Scanning electron microscopy |
References
- Sheffler, Z.M.; Reddy, V.; Pillarisetty, L.S. Physiology, Neurotransmitters. In StatPearls; StatPearls Publishing: Treasure Island, FL, USA, 2025. [Google Scholar]
- Zhuang, Y.; Xu, P.; Mao, C.; Wang, L.; Krumm, B.; Zhou, X.E.; Huang, S.; Liu, H.; Cheng, X.; Huang, X.-P.; et al. Structural Insights into the Human D1 and D2 Dopamine Receptor Signaling Complexes. Cell 2021, 184, 931–942.e18. [Google Scholar] [CrossRef]
- Berridge, K.C.; Robinson, T.E. What Is the Role of Dopamine in Reward: Hedonic Impact, Reward Learning, or Incentive Salience? Brain Res. Rev. 1998, 28, 309–369. [Google Scholar] [CrossRef]
- Craig, J.D.; O’Neill, R.D. Comparison of Simple Aromatic Amines for Electrosynthesis of Permselective Polymers in Biosensor Fabrication. Analyst 2003, 128, 905. [Google Scholar] [CrossRef]
- Volkow, N.D.; Morales, M. The Brain on Drugs: From Reward to Addiction. Cell 2015, 162, 712–725. [Google Scholar] [CrossRef] [PubMed]
- Gepshtein, S.; Li, X.; Snider, J.; Plank, M.; Lee, D.; Poizner, H. Dopamine Function and the Efficiency of Human Movement. J. Cogn. Neurosci. 2014, 26, 645–657. [Google Scholar] [CrossRef] [PubMed]
- Bromberg-Martin, E.S.; Matsumoto, M.; Hikosaka, O. Dopamine in Motivational Control: Rewarding, Aversive, and Alerting. Neuron 2010, 68, 815–834. [Google Scholar] [CrossRef] [PubMed]
- Napier, T.C.; Kirby, A.; Persons, A.L. The Role of Dopamine Pharmacotherapy and Addiction-like Behaviors in Parkinson’s Disease. Prog. Neuro-Psychopharmacol. Biol. Psychiatry 2020, 102, 109942. [Google Scholar] [CrossRef]
- Klein, M.O.; Battagello, D.S.; Cardoso, A.R.; Hauser, D.N.; Bittencourt, J.C.; Correa, R.G. Dopamine: Functions, Signaling, and Association with Neurological Diseases. Cell Mol. Neurobiol. 2019, 39, 31–59. [Google Scholar] [CrossRef]
- Lakard, S.; Pavel, I.-A.; Lakard, B. Electrochemical Biosensing of Dopamine Neurotransmitter: A Review. Biosensors 2021, 11, 179. [Google Scholar] [CrossRef]
- Kandimalla, R.; Reddy, P.H. Therapeutics of Neurotransmitters in Alzheimer’s Disease. J. Alzheimer’s Dis. 2017, 57, 1049–1069. [Google Scholar] [CrossRef]
- Lanore, A.; Januel, E.; Bertille, N.; Fabbri, M.; Mariani, L.-L.; Mangone, G.; Sambin, S.; Menon, P.J.; Tir, M.; Bereau, M.; et al. Motor and Non-Motor Complications Following Different Early Therapies in Parkinson’s Disease: Longitudinal Analysis of Real-Life Clinical and Therapeutic Data from the French NS-PARK Cohort. CNS Drugs 2025, 39, 879–891. [Google Scholar] [CrossRef]
- Zhou, Z.D.; Yi, L.X.; Wang, D.Q.; Lim, T.M.; Tan, E.K. Role of Dopamine in the Pathophysiology of Parkinson’s Disease. Transl. Neurodegener. 2023, 12, 44. [Google Scholar] [CrossRef]
- Priyanto, S.A.N.; Yulianti, E.S.; Zakiyuddin, A.; Rahman, S.F. Amperometric Biosensor Detecting Dopamine Based on Polypyrrole/Reduced Graphene Oxide/Nickel Oxide/Glassy Carbon Electrode. J. Electr. Comput. Eng. 2024, 2024, 7453474. [Google Scholar] [CrossRef]
- Peik-See, T.; Pandikumar, A.; Nay-Ming, H.; Hong-Ngee, L.; Sulaiman, Y. Simultaneous Electrochemical Detection of Dopamine and Ascorbic Acid Using an Iron Oxide/Reduced Graphene Oxide Modified Glassy Carbon Electrode. Sensors 2014, 14, 15227–15243. [Google Scholar] [CrossRef] [PubMed]
- Choi, H.K.; Choi, J.-H.; Yoon, J. An Updated Review on Electrochemical Nanobiosensors for Neurotransmitter Detection. Biosensors 2023, 13, 892. [Google Scholar] [CrossRef] [PubMed]
- Ferapontova, E.E. Electrochemical Analysis of Dopamine: Perspectives of Specific In Vivo Detection. Electrochim. Acta 2017, 245, 664–671. [Google Scholar] [CrossRef]
- Ping, J.; Wu, J.; Wang, Y.; Ying, Y. Simultaneous Determination of Ascorbic Acid, Dopamine and Uric Acid Using High-Performance Screen-Printed Graphene Electrode. Biosens. Bioelectron. 2012, 34, 70–76. [Google Scholar] [CrossRef]
- Hu, S.; Huang, Q.; Lin, Y.; Wei, C.; Zhang, H.; Zhang, W.; Guo, Z.; Bao, X.; Shi, J.; Hao, A. Reduced Graphene Oxide-Carbon Dots Composite as an Enhanced Material for Electrochemical Determination of Dopamine. Electrochim. Acta 2014, 130, 805–809. [Google Scholar] [CrossRef]
- Gong, Q.; Han, H.; Wang, Y.; Yao, C.; Yang, H.; Qiao, J. An Electrochemical Sensor for Dopamine Detection Based on the Electrode of a Poly-Tryptophan-Functionalized Graphene Composite. New Carbon Mater. 2020, 35, 34–41. [Google Scholar] [CrossRef]
- Robinson, D.L.; Hermans, A.; Seipel, A.T.; Wightman, R.M. Monitoring Rapid Chemical Communication in the Brain. Chem. Rev. 2008, 108, 2554–2584. [Google Scholar] [CrossRef]
- Liu, X.; Liu, J. Biosensors and Sensors for Dopamine Detection. VIEW 2021, 2, 20200102. [Google Scholar] [CrossRef]
- Balkourani, G.; Brouzgou, A.; Tsiakaras, P. A Review on Recent Advancements in Electrochemical Detection of Dopamine Using Carbonaceous Nanomaterials. Carbon 2023, 213, 118281. [Google Scholar] [CrossRef]
- Zhang, X.; Liu, W.; Feng, P. Electrochemical Detection of Dopamine by an Electrodeposition PEDOT Protective Layer on the Surface of Amorphous NiCoP Nanoparticles. ACS Appl. Nano Mater. 2025, 8, 3114–3128. [Google Scholar] [CrossRef]
- Wang, J. Amperometric Biosensors for Clinical and Therapeutic Drug Monitoring: A Review. J. Pharm. Biomed. Anal. 1999, 19, 47–53. [Google Scholar] [CrossRef]
- Spissu, Y.; Barberis, A.; Bazzu, G.; D’hallewin, G.; Rocchitta, G.; Serra, P.A.; Marceddu, S.; Vineis, C.; Garroni, S.; Culeddu, N. Functionalization of Screen-Printed Sensors with a High Reactivity Carbonaceous Material for Ascorbic Acid Detection in Fresh-Cut Fruit with Low Vitamin C Content. Chemosensors 2021, 9, 354. [Google Scholar] [CrossRef]
- Thangavelu, R.M.; Duraisamy, N. Critical Review on Carbon Nanomaterial Based Electrochemical Sensing of Dopamine the Vital Neurotransmitter. Qeios 2024, 6, 42DHBV.2. [Google Scholar] [CrossRef]
- Kimmel, D.W.; LeBlanc, G.; Meschievitz, M.E.; Cliffel, D.E. Electrochemical Sensors and Biosensors. Anal. Chem. 2012, 84, 685–707. [Google Scholar] [CrossRef]
- Wring, S.A.; Hart, J.P. Chemically Modified, Carbon-Based Electrodes and Their Application as Electrochemical Sensors for the Analysis of Biologically Important Compounds. A Review. Analyst 1992, 117, 1215. [Google Scholar] [CrossRef]
- Huffman, M.L.; Venton, B.J. Carbon-Fiber Microelectrodes for in Vivo Applications. Analyst 2009, 134, 18–24. [Google Scholar] [CrossRef]
- Mohammadzadeh Kakhki, R. A Review to Recent Developments in Modification of Carbon Fiber Electrodes. Arab. J. Chem. 2019, 12, 1783–1794. [Google Scholar] [CrossRef]
- Siwakoti, U.; Pwint, M.Y.; Broussard, A.M.; Rivera, D.R.; Cui, X.T.; Castagnola, E. Batch-Fabricated Full Glassy Carbon Fibers for Real-Time Tonic and Phasic Dopamine Detection. Front. Bioeng. Biotechnol. 2025, 13, 1543882. [Google Scholar] [CrossRef] [PubMed]
- Castagnola, E.; Thongpang, S.; Hirabayashi, M.; Nava, G.; Nimbalkar, S.; Nguyen, T.; Lara, S.; Oyawale, A.; Bunnell, J.; Moritz, C.; et al. Glassy Carbon Microelectrode Arrays Enable Voltage-Peak Separated Simultaneous Detection of Dopamine and Serotonin Using Fast Scan Cyclic Voltammetry. Analyst 2021, 146, 3955–3970. [Google Scholar] [CrossRef] [PubMed]
- Thiagarajan, S.; Tsai, T.-H.; Chen, S.-M. Easy Modification of Glassy Carbon Electrode for Simultaneous Determination of Ascorbic Acid, Dopamine and Uric Acid. Biosens. Bioelectron. 2009, 24, 2712–2715. [Google Scholar] [CrossRef] [PubMed]
- Magar, H.S.; Duraia, E.M.; Hassan, R.Y.A. Dopamine Fast Determination in Pharmaceutical Products Using Disposable Printed Electrodes Modified with Bimetal Oxides Carbon Nanotubes Nanocomposite. Sci. Rep. 2025, 15, 11229. [Google Scholar] [CrossRef]
- Islam, S.; Shaheen Shah, S.; Naher, S.; Ali Ehsan, M.; Aziz, M.A.; Ahammad, A.J.S. Graphene and Carbon Nanotube-based Electrochemical Sensing Platforms for Dopamine. Chem. Asian J. 2021, 16, 3516–3543. [Google Scholar] [CrossRef]
- Zhou, D.-M.; Dai, Y.-Q.; Shiu, K.-K. Poly(Phenylenediamine) Film for the Construction of Glucose Biosensors Based on Platinized Glassy Carbon Electrode. J. Appl. Electrochem. 2010, 40, 1997–2003. [Google Scholar] [CrossRef]
- Cataldo, A.; Biagetti, G.; Mencarelli, D.; Micciulla, F.; Crippa, P.; Turchetti, C.; Pierantoni, L.; Bellucci, S. Modeling and Electrochemical Characterization of Electrodes Based on Epoxy Composite with Functionalized Nanocarbon Fillers at High Concentration. Nanomaterials 2020, 10, 850. [Google Scholar] [CrossRef]
- Xu, J.; Zhang, L.; Chen, G. Fabrication of Graphene/Poly(Ethyl 2-Cyanoacrylate) Composite Electrode for Amperometric Detection in Capillary Electrophoresis. Sens. Actuators B Chem. 2013, 182, 689–695. [Google Scholar] [CrossRef]
- Korde, J.M.; Kandasubramanian, B. Biocompatible Alkyl Cyanoacrylates and Their Derivatives as Bio-Adhesives. Biomater. Sci. 2018, 6, 1691–1711. [Google Scholar] [CrossRef]
- Chen, Q.; Gan, Z.; Wang, J.; Chen, G. Facile Preparation of Carbon Nanotube/Poly(Ethyl 2-cyanoacrylate) Composite Electrode by Water-Vapor-Initiated Polymerization for Enhanced Amperometric Detection. Chem. A Eur. J. 2011, 17, 12458–12464. [Google Scholar] [CrossRef]
- Teoh, H.-C.; Yaacob, K.A.; Saad, A.A.; Mariatti, M. Enhancement of Thermal and Electrical Conductivities of Cyanoacrylate by Addition of Carbon Based Nanofillers. J. Mater. Sci. Mater. Electron. 2018, 29, 9861–9870. [Google Scholar] [CrossRef]
- Shrivastava, A.; Gupta, V. Methods for the Determination of Limit of Detection and Limit of Quantitation of the Analytical Methods. Chron. Young Sci. 2011, 2, 21. [Google Scholar] [CrossRef]
- Chen, W.; Wang, H.; Ye, X.; Hao, X.; Yan, F.; Wu, J.; Li, D.; Wang, Y.; Xu, L. Gardenia-Derived Extracellular Vesicles Exert Therapeutic Effects on Dopaminergic Neuron Apoptosis-Mediated Parkinson’s Disease. npj Park. Dis. 2025, 11, 200. [Google Scholar] [CrossRef]
- Lin, Z.-F.; Li, H.; Chen, Z.-C.; Han, G.-C.; Feng, X.-Z.; Kraatz, H.-B. Advances in Dopamine Electrochemical Sensors: Properties and Application Prospects of Different Modified Materials. Microchem. J. 2025, 212, 113535. [Google Scholar] [CrossRef]
- Kruger, N.J. The Bradford Method For Protein Quantitation. In The Protein Protocols Handbook; Walker, J.M., Ed.; Springer Protocols Handbooks; Humana Press: Totowa, NJ, USA, 2009; pp. 17–24. [Google Scholar]
- Ermer, J. ICH Q2(R2): Validation of Analytical Procedures. In Method Validation in Pharmaceutical Analysis; Ermer, J., Nethercote, P., Eds.; Wiley: Hoboken, NJ, USA, 2025; pp. 351–372. [Google Scholar]
- Gharbi, O.; Tran, M.T.T.; Tribollet, B.; Turmine, M.; Vivier, V. CPE Analysis from Cyclic Voltammetry and Electrochemical Impedance Spectroscopy. Meet. Abstr. 2020, MA2020-02, 1573. [Google Scholar] [CrossRef]
- Bedrov, D.; Vatamanu, J. Capacitance with Different Electrode Surface Topology. In Encyclopedia of Ionic Liquids; Zhang, S., Ed.; Springer: Singapore, 2021; pp. 1–9. [Google Scholar]
- Yamada, H.; Yoshii, K.; Asahi, M.; Chiku, M.; Kitazumi, Y. Cyclic Voltammetry Part 2: Surface Adsorption, Electric Double Layer, and Diffusion Layer. Electrochemistry 2022, 90, 102006. [Google Scholar] [CrossRef]
- Schalenbach, M.; Selmert, V.; Kretzschmar, A.; Raijmakers, L.; Durmus, Y.E.; Tempel, H.; Eichel, R.-A. How Microstructures, Oxide Layers, and Charge Transfer Reactions Influence Double Layer Capacitances. Part 1: Impedance Spectroscopy and Cyclic Voltammetry to Estimate Electrochemically Active Surface Areas (ECSAs). Phys. Chem. Chem. Phys. 2024, 26, 14288–14304. [Google Scholar] [CrossRef] [PubMed]
- Johnson, A. Electrochemical Surface Area ECSA) Evaluation in Electrocatalysis: Principles, Measurement Techniques, and Future Perspectives. J. Eng. Ind. Res. 2025, 6, 212–222. [Google Scholar] [CrossRef]
- Sekretaryova, A.N.; Vagin, M.Y.; Volkov, A.V.; Zozoulenko, I.V.; Eriksson, M. Evaluation of the Electrochemically Active Surface Area of Microelectrodes by Capacitive and Faradaic Currents. ChemElectroChem 2019, 6, 4411–4417. [Google Scholar] [CrossRef]
- Hsieh, H.-H.; Xu, J.-Y.; Lin, J.-T.; Chiang, Y.-T.; Weng, Y.-C. Graphene–Multiwalled Carbon Nanotubes Modified Glassy Carbon Electrodes for Simultaneous Detection of Ascorbic Acid, Dopamine, and Uric Acid. ACS Omega 2025, 10, 8160–8171. [Google Scholar] [CrossRef]
- Streeter, I.; Wildgoose, G.G.; Shao, L.; Compton, R.G. Cyclic Voltammetry on Electrode Surfaces Covered with Porous Layers: An Analysis of Electron Transfer Kinetics at Single-Walled Carbon Nanotube Modified Electrodes. Sens. Actuators B Chem. 2008, 133, 462–466. [Google Scholar] [CrossRef]
- Kangmennaa, A.; Forkuo, R.B.; Agorku, E.S. Carbon-Based Electrode Materials for Sensor Application: A Review. Sens. Technol. 2024, 2, 2350174. [Google Scholar] [CrossRef]
- Khan, A.; DeVoe, E.; Andreescu, S. Carbon-Based Electrochemical Biosensors as Diagnostic Platforms for Connected Decentralized Healthcare. Sens. Diagn. 2023, 2, 529–558. [Google Scholar] [CrossRef]
- Johari-Ahar, M.; Barar, J.; Karami, P.; Asgari, D.; Davaran, S.; Rashidi, M.-R. Nafion-Coated Cadmium Pentacyanonitrosylferrate-Modified Glassy Carbon Electrode for Detection of Dopamine in Biological Samples. Bioimpacts 2017, 8, 263–270. [Google Scholar] [CrossRef]
- Keerthanaa, M.R.; Panicker, L.R.; Narayan, R.; Kotagiri, Y.G. Biopolymer-Protected Graphene-Fe3O4 Nanocomposite Based Wearable Microneedle Sensor: Toward Real-Time Continuous Monitoring of Dopamine. RSC Adv. 2024, 14, 7131–7141. [Google Scholar] [CrossRef]
- Kim, D.-K.; Natarajan, N.; Prabhakar, N.R.; Kumar, G.K. Facilitation of Dopamine and Acetylcholine Release by Intermittent Hypoxia in PC12 Cells: Involvement of Calcium and Reactive Oxygen Species. J. Appl. Physiol. 2004, 96, 1206–1215. [Google Scholar] [CrossRef]
















| Eox (mV) | Ered (mV) | Iox/BLox | R2 | SLOPE (nA µM−1) | LOD (µM) | LOQ (µM) | |
|---|---|---|---|---|---|---|---|
| Graphite | +363 | +250 | 4.4 | 0.979 | 2.051 ± 0.071 | 0.162 ± 0.008 | 0.541 ± 0.012 |
| MWCNT | +518 | +0.050 | 39.9 | 0.998 | 0.497 ± 0.006 * | 0.030 ± 0.001 **** | 0.101 ± 0.008 **** |
| Graphene | +450 | +0.150 | 62.3 | 0.978 | 0.273 ± 0.008 * | 0.033 ± 0.001 **** | 0.110 ± 0.003 **** |
Disclaimer/Publisher’s Note: The statements, opinions and data contained in all publications are solely those of the individual author(s) and contributor(s) and not of MDPI and/or the editor(s). MDPI and/or the editor(s) disclaim responsibility for any injury to people or property resulting from any ideas, methods, instructions or products referred to in the content. |
© 2026 by the authors. Licensee MDPI, Basel, Switzerland. This article is an open access article distributed under the terms and conditions of the Creative Commons Attribution (CC BY) license.
Share and Cite
Zappino, R.; Spissu, Y.; Barberis, A.; Marceddu, S.; Serra, P.A.; Rocchitta, G. Ethyl 2-Cyanoacrylate as a Promising Matrix for Carbon Nanomaterial-Based Amperometric Sensors for Neurotransmitter Monitoring. Appl. Sci. 2026, 16, 1255. https://doi.org/10.3390/app16031255
Zappino R, Spissu Y, Barberis A, Marceddu S, Serra PA, Rocchitta G. Ethyl 2-Cyanoacrylate as a Promising Matrix for Carbon Nanomaterial-Based Amperometric Sensors for Neurotransmitter Monitoring. Applied Sciences. 2026; 16(3):1255. https://doi.org/10.3390/app16031255
Chicago/Turabian StyleZappino, Riccarda, Ylenia Spissu, Antonio Barberis, Salvatore Marceddu, Pier Andrea Serra, and Gaia Rocchitta. 2026. "Ethyl 2-Cyanoacrylate as a Promising Matrix for Carbon Nanomaterial-Based Amperometric Sensors for Neurotransmitter Monitoring" Applied Sciences 16, no. 3: 1255. https://doi.org/10.3390/app16031255
APA StyleZappino, R., Spissu, Y., Barberis, A., Marceddu, S., Serra, P. A., & Rocchitta, G. (2026). Ethyl 2-Cyanoacrylate as a Promising Matrix for Carbon Nanomaterial-Based Amperometric Sensors for Neurotransmitter Monitoring. Applied Sciences, 16(3), 1255. https://doi.org/10.3390/app16031255

