Next Article in Journal
Exploring the Potential of Lee Silverman Voice Treatment BIG for Improving Balance and Gait in Patients with Multiple Sclerosis: A Pilot Study
Previous Article in Journal
Psychotropic Medicinal Plant Use in Oncology: A Dual-Cohort Analysis and Its Implications for Anesthesia and Perioperative Care
Previous Article in Special Issue
Characterization and Spectroscopic Studies of the Morin-Zinc Complex in Solution and in PMMA Solid Matrix
error_outline You can access the new MDPI.com website here. Explore and share your feedback with us.
 
 
Font Type:
Arial Georgia Verdana
Font Size:
Aa Aa Aa
Line Spacing:
Column Width:
Background:
Article

Optical Degradation and Lifetime Assessment of 260–265 nm AlGaN-Based UVC LEDs Under Varying Drive-Current Regimes for Disinfection Systems

by
Łukasz Gryko
*,
Sebastian Skłodowski
and
Urszula Joanna Błaszczak
Faculty of Electrical Engineering, Bialystok University of Technology, Wiejska 45D, 15-351 Bialystok, Poland
*
Author to whom correspondence should be addressed.
Appl. Sci. 2026, 16(1), 483; https://doi.org/10.3390/app16010483
Submission received: 29 November 2025 / Revised: 23 December 2025 / Accepted: 30 December 2025 / Published: 3 January 2026

Abstract

This investigation examines the optical degradation of 260 nm and 265 nm UVC LEDs subjected to varying drive current conditions, simulating real-world deployment in consumer and professional disinfection systems. The primary aim was to assess lifetime trends and degradation behaviour based exclusively on radiometric and spectral data. A total of 24 devices (12 per wavelength group) were operated for 2000 h under a broad range of thermally stabilised current levels, from low-standby to maximum-rated operation. The results demonstrated distinct current-dependent ageing characteristics, wherein, for the tested device sets and operating conditions, 260 nm LEDs exhibited faster optical power degradation than the investigated 265 nm LEDs under nominal drive conditions. Notably, a moderate current derating of approximately 20% resulted in a more than fourfold increase in L70 lifetime and over a threefold extension in the number of effective disinfection cycles. Despite a stable spectral power distribution throughout ageing, significant statistical variation in lifetime metrics (L90, L80, L70, L50) was observed even among identically operated devices, underscoring the need for population-level reliability qualification. Optical lifetime estimates based on empirical model fitting indicated that the Ruschel logarithmic function most accurately captured the long-term degradation trends for the analysed datasets. These findings provide practical guidance for the design of durable and efficient UVC LED systems within the investigated device class and operating regimes, supporting sustained germicidal performance and long-term operational reliability across diverse use cases.

1. Introduction

UVC irradiation is a proven method for inactivating a broad range of microorganisms—bacteria, viruses, fungi, and spores—on surfaces, in air, and in water, without the need for chemical disinfectants and without leaving harmful residues [1,2]. The germicidal effectiveness of UVC radiation peaks in the 260–270 nm range, which corresponds to the maximum absorption of DNA/RNA in microorganisms [3,4]. Traditional disinfection systems have long relied on low-pressure mercury-vapor lamps that emit at 254 nm, a wavelength close to this germicidal peak, andtherefore offer relatively high germicidal efficiency [5]. However, mercury-based lamps pose environmental and safety concerns due to their toxic mercury content and the associated disposal regulations [6]. In recent years, global efforts to phase out mercury (e.g., the Minamata Convention on Mercury [6]) have catalysed rapid advances in mercury-free UVC technologies, particularly semiconductor UVC LEDs [7,8].
UVC LEDs are compact, robust, switch on instantly, and are easily integrated into consumer-grade products. They have been increasingly adopted in applications such as air purifiers [9,10], HVAC (heating, ventilation, and air-conditioning) systems [11], portable surface sterilisers [12], and point-of-use water disinfection units [13,14]. Reports indicate their deployment in a variety of household appliances, especially in the wake of the COVID-19 pandemic, which heightened demand for reliable disinfection solutions [15]. Consumer devices present challenging operating conditions for UVC LEDs: they often operate at variable ambient temperatures, undergo on/off cycling to extend lifetime and energy efficiency, and are compactly assembled with sensors and control electronics. These factors demand that UVC LEDs in consumer products exhibit highly reliable long-term performance and stable optical output under a broad spectrum of electrical and thermal stresses [16].
Despite major progress, today’s UVC LEDs still lag behind their visible-spectrum counterparts in key performance metrics such as lifetime, external quantum efficiency (EQE), and cost-per-milliwatt of output power [8,17]. Commercially available UVC LEDs in the 260–280 nm range now achieve optical outputs of tens or even over 100 mW [17], a substantial improvement over early devices, yet their wall-plug efficiency remains significantly limited due to fundamental material constraints in AlGaN heterostructures. Material and design challenges—including high dislocation densities, inefficient p-type doping, poor hole injection, and high contact resistances—continue to limit device efficiency [18,19,20], together with inherently low light extraction efficiency; these issues are particularly pronounced at shorter wavelengths around 260–265 nm as reported for many currently available AlGaN-based device architectures [8,21,22,23,24]. In particular, the low light extraction efficiency of AlGaN-based UVC LEDs, arising from strong transverse-magnetic (TM) polarisation, absorption in p-type layers, and packageing-related losses, represents one of the most significant constraints on both external quantum efficiency and wall-plug efficiency [25,26]. As a result, while advanced laboratory 265 nm LEDs have achieved EQEs approaching ~11% [27], typical commercial devices still operate at only 3–5% in the 260–270 nm range [17], compared with 5–10% in the 270–280 nm range [17] and 60–70% for 450 nm blue LEDs [27]. Ageing and degradation mechanisms—trap-assisted non-radiative recombination, metallisation degradation, and accumulation of thermally induced structural defects—further reduce output power and alter electrical characteristics during operation [17], ultimately shaping maintenance intervals and usable lifetime in consumer applications [28].
Recent advances in AlGaN epitaxy—encompassing improvements in substrate quality, strain engineering, and contact layer design—have enabled measurable progress in the efficiency and prospective reliability of deep- and far-UVC LEDs [29,30,31]. Complementarily, recent studies on degradation mechanisms and reliability reviews emphasise the critical role of material growth quality and defect management in extending the operational lifetimes of UVC LEDs [32,33,34].
UVC LEDs also fall short of conventional mercury lamps in lifetime. Low-pressure mercury lamps typically maintain stable output over 8000–12,000 h (with amalgam lamps reaching 16,000–18,000 h) [35,36], whereas early-generation UVC LEDs often degraded much more rapidly, especially under high drive currents or inadequate cooling [23,37]. Even as of 2020, many commercially available mid-power UVC LEDs still exhibited L70 lifetimes ranging from a few hundred to a few thousand hours at nominal operating current [38]. In parallel, the first reports of 265 nm UVC LEDs achieving L70 lifetimes exceeding 10,000 h under moderate operating conditions appeared in 2020 [39]. Recent improvements have further extended lifetimes under moderate stress conditions [40], yet the lifetime remains highly sensitive to junction temperature and current density. Trivellin et al. showed that increasing the current density from 60 mA/cm2 to 180 mA/cm2 for a 275 nm LED reduced L70 lifetime from >4400 h to ~130 h [41], underscoring the non-linear acceleration of degradation mechanisms under elevated current stress.
Although these studies provide valuable insight, most published reliability data concern longer-wavelength UVC LEDs (270–280 nm) or focus on a single constant-current stress point under a controlled low temperature [38,40,42,43,44,45,46,47]. By contrast, substantially fewer investigations have examined high-power deep-UVC LEDs emitting in the 260–265 nm region—despite their superior germicidal effectiveness [2,48,49,50]—or have assessed their degradation under the broader range of current loads typical of consumer-product operation [8,17,21,22,23,24,32,40,51,52,53,54]. These shorter-wavelength devices also experience stronger material limitations, including higher aluminium content in quantum wells and cladding layers that increase defect sensitivity and exacerbate thermal and electrical degradation pathways [20].
Recent studies consistently indicate that high current density and insufficient thermal management, leading to elevated junction temperatures, accelerate degradation via defect generation, increasing contact resistance, and enhanced non-radiative recombination [17,22,23]. While these mechanisms are well established, their combined effect under realistic multi-current operation remains insufficiently characterised, even though such operation is typical for consumer devices performing thousands of short disinfection cycles [8,55].
Further complexity arises in consumer-grade systems: compact form factors restrict heat spreading, mandatory energy-saving modes lead to frequent on/off cycling, and ambient temperatures vary widely in household settings. Thus, predicting lifetime based on a single nominal operating point is often insufficient for consumer-grade applications, and broader multi-current characterisation is needed [16]. Although UVC LEDs offer greater electronic controllability than mercury lamps—including dimming, low-current standby functionality, and pulsed operation—only a limited number of studies have investigated how differing current levels influence ageing in mid-260 nm LEDs [17,21,41]. Most available studies still examine only one stress condition [8,22,23,24,32,33,37,52,53,54], highlighting an unresolved gap in multi-condition degradation data.
Contemporary UVC emitters may experience different degradation modes due to increased current densities, higher junction temperatures arising from limited thermal dissipation, and the inherently defect-sensitive nature of high-Al-content epitaxial architectures [23,24]. Therefore, updated reliability data reflecting multi-current, application-relevant operating modes are essential. Additionally, accurate lifetime prediction across operating conditions is vital for consumer-product safety and warranty planning [8,55]. In contrast, smart control strategies—including PWM-based dimming, dynamic current regulation, and active thermal monitoring—offer potential pathways to mitigate ageing if properly engineered [56,57,58].
Predicting the optical and spectral degradation of UVC LEDs, independent of electrical diagnostics, has gained attention as a practical approach for field-applicable reliability assessments. Ruschel et al. [59] proposed a logarithmic optical decay model that showed strong agreement with experimental data and allowed for long-term power decay estimation without saturation artifacts. Glaab et al. [60] reported that optical degradation exhibits a two-stage pattern, highlighting the necessity for compound models to capture both rapid and gradual decay phases.
Zhang et al. [40] demonstrated that emission power and spectral shifts reflect the formation of deep-level defects and non-radiative centres, providing insight into degradation processes solely through optical characterisation. In their work, a logarithmic model was applied to describe the gradual saturation of optical decay over time and to support long-term degradation estimation. Letson et al. [18] presented a review of widely used degradation modelling approaches, including the commonly used single-phase exponential decay model, which assumes a constant rate of emission loss. The authors confirmed that monitoring emission intensity over time—especially in combination with a stable emission peak wavelength—can serve as a reliable indicator for lifetime estimation of UVC LEDs. Collectively, these studies [18,40,59,60] establish a foundation for predictive ageing models based on time-resolved optical data and validate the use of L70 or L50 lifetime metrics depending on the applied regression model.
In this context, the present study addresses several unresolved gaps. First, we provide a comparative assessment of 260 nm and 265 nm UVC LEDs—wavelengths of the highest germicidal relevance—tested under identical thermal boundary conditions and controlled electrical operation, enabling an application-oriented comparison of degradation behaviour across commercially available device types. Second, we perform systematic 2000-h ageing measurements under multiple drive currents, from extremely low standby-like currents to the manufacturer-specified maximum, quantifying how electrical stress influences optical decay and lifetime. Third, by monitoring optical power for 12 LEDs of each type, we establish statistically meaningful trends and capture device-to-device variability within the population and early failures—precision required for reliable consumer-device design.
Overall, this work aims to improve practical understanding of degradation in state-of-the-art 260 nm and 265 nm UVC LEDs and to provide experimentally grounded guidance for designers of consumer disinfection devices. By quantifying the effects of drive current and wavelength on lifetime and efficiency loss, this study supports the development of durable, mercury-free consumer technologies for reliable germicidal performance throughout their operational lifetime.

2. Experimental Methodology

The experiments were conducted on two sets of commercially available surface-mounted (SMD) UVC LEDs (denoted Type A and Type B) obtained from different manufacturers. All devices were procured in May 2024, ensuring that the investigated LEDs represent the current state of commercially available mid-260 nm UVC LED technology. Type A devices have a peak emission at 260 nm, a nominal operating current of 100 mA, and an optical output of 10 mW at that current, with an absolute maximum continuous current of 150 mA. Type B devices emit radiation with a peak at 265 nm, with a nominal operating current of 250 mA producing 100 mW, and an absolute maximum current of 350 mA. Key manufacturer-specified parameters for both LED types are listed in Table 1. Twelve LEDs of each type were selected from production batches, providing a sufficient sample size to capture variability and identify any outlier failures critical for reliability analysis. It is noteworthy that the Type B LEDs (265 nm) feature a larger chip area and a higher-rated optical power than Type A devices (260 nm). While these differences cannot be used to isolate or systematically assess the influence of chip size due to the involvement of different manufacturers and epitaxial designs, they allow a comparative observation of degradation behaviour across commercially available UVC LEDs operating at different thermal loading conditions (Table 2) and power levels (Table 3).
Each LED was mounted on its manufacturer-supplied metal-core PCB (MCPCB) using a high-conductivity thermal paste (thermal conductivity 3.05 W∙m−1∙K−1) and mechanically attached to an actively cooled Peltier-based heat sink in the form of an aluminium plate (Figure 1). A total of 24 UVC LEDs were mounted on a common aluminium heat sink plate (250 mm × 250 mm × 6 mm), ensuring uniform thermal boundary conditions for all devices.
The heat sink temperature Ths, which was in direct contact with the MCPCB, was regulated using a QuickCool QC-PC-PID-01 controller (Quick-Ohm, Wuppertal, Germany) with a stability of ±0.1 °C. Active temperature control was provided by four thermoelectric Peltier modules (130 W each, 50 × 50 mm active area), symmetrically distributed to ensure homogeneous temperature regulation across the aluminium plate. Unless stated otherwise, Ths was maintained at 60 °C, corresponding to the manufacturer-specified HTOL test condition and representing a realistic upper-bound operating temperature at the MCPCB base for high-power UVC LEDs in compact disinfection systems. This temperature enables accelerated degradation while avoiding non-representative failure mechanisms and is not intended to represent nominal operating conditions.
The heat sink temperature was monitored using a calibrated PT1000 temperature sensor embedded inside the aluminium plate, positioned at half of the plate height in a blind hole drilled several centimetres into the plate, ensuring direct thermal contact with the bulk aluminium and minimising ambient temperature influence. Due to the negligible thermal resistance between the MCPCB and the aluminium plate under steady-state conditions, Ths was taken as the boundary temperature for junction temperature Tj estimation and is assumed to closely approximate the effective case (MCPCB) temperature of the LED package.
To verify the thermal contact quality of the LED–MCPCB–heat sink assembly, the effective thermal resistance Rth was independently measured using a reference electro-thermal method in accordance with JEDEC standard JESD51. The resulting values represent effective thermal resistances obtained from repeated measurements, amounting to 10.6 K/W for Type A LEDs and 10.2 K/W for Type B LEDs, including the LED package, MCPCB, and thermal interface material.
Based on the validated thermal resistance values and the dissipated electrical power, the junction temperature Tj was estimated for every test condition as:
T j = T h s + R t h · P d
P d = P e O P = I · V 60 ° C O P
where: Tj—junction temperature of the LED, Ths—heat sink temperature (aluminium plate), Rth—effective thermal resistance of the LED-MCPCB-thermal interface assembly, Pd—dissipated electrical power, Pe—electrical input power, OP—emitted optical power, I—operating current, and V60°C—forward voltage of the LED at Ths = 60 °C.
Table 2 summarises the calculated Tj values for all LEDs, confirming that the junction temperatures remained within non-destructive limits throughout the tests. Maintaining a stable thermal environment allowed electrical degradation mechanisms to be isolated from thermally induced catastrophic failures. For LEDs operated in constant optical power mode (A10 and B10), the two reported Tj values correspond to the beginning (0 h) and the end (2000 h) of the ageing test and reflect the increase in drive current required to compensate optical power degradation.
The LEDs were subjected to specific electrical stress conditions based on device datasheets, as these inform designers when developing guidelines for powering disinfection devices (Table 3). For both wavelength groups, the following regimes were applied: (i) standby low-current mode (1 mA DC), simulating an ultra-low-dose or idle operation; (ii) moderate drive levels at 40%, 60%, and 80% of the nominal operating current; (iii) nominal operating current (100% of Inom), applied to five LEDs per group to obtain statistically representative behaviour; (iv) maximum continuous current (Imax), testing worst-case electrical stress; (v) constant-optical-power mode with feedback regulation, emulating systems that compensate for ageing by increasing drive current; and (vi) pulsed high-current drive (50% duty cycle, 10 kHz), assessing whether high peak currents under quasi-steady thermal conditions result in degradation patterns distinct from DC operation.
Ageing tests for all devices were conducted over a 2000-h period at Ths = 60 °C. Sampling intervals followed a quasi-logarithmic schedule, with denser measurements during the initial phase to capture rapid early-stage changes, and extended intervals thereafter as degradation rates stabilised—consistent with established ageing-curve acquisition protocols. Specifically, measurements were performed at 0, 20, 88, 155, 271, 482, 816, 1151, 1580, and 2000 h.
Every LED underwent an initial electro-optical characterisation at Ths = 10, 25, 40, 55, and 70 °C at several currents up to the maximum allowable value before entering the long-term test. This initial characterisation included measurement of current–voltage (IV) curves, optical output power OP at key drive currents, and spectral characteristics (peak wavelength λp and full-width at half-maximum, FWHM). This procedure ensured that baseline device behaviour was well defined and enabled identification of early-life failures prior to long-term stressing.
During the ageing test, the following parameters were periodically recorded for each device (Figure 1):
-
optical output power (OP) measured using a calibrated PMD100D meter (Thorlabs, Newton, New Jersey, USA) with an S120VC UVC photodiode head (Thorlabs, Newton, New Jersey, USA) at controlled Ths = 25 °C (unless noted otherwise), employing a spot-measurement configuration with a fixed distance of 90 mm between the LED emitting surface and the photodiode head,
-
emission spectra measured with a SILVER spectrometer (spectral resolution 0.5 nm, measurement range 190–1100 nm) (StellarNet, Tampa, Florida, USA) to determine λp and FWHM, where the spectrometer’s actively thermoelectrically cooled detector ensured stable responsivity and eliminated detector drift during measurements,
-
current–voltage (I-V) characteristics obtained using a programmable Thorlabs DC2200 LED driver, providing a current resolution of 0.1 mA with an accuracy of ±(0.1% + 1 mA) and a voltage resolution of 1 mV with an accuracy of ±(0.5% + 100 mV); the driver supports PWM operation with frequencies from 0.1 Hz to 20 kHz, duty cycles from 0.1% to 99.9%, and pulse widths from 0.001 ms to 10 s,
-
temperature-dependent OP(Ths) characteristics measured both before and after ageing for representative devices, enabling assessment of whether thermal behaviour changed with material degradation.
Precise optical alignment was achieved using a two-axis (XY) linear translation system with micrometric stages (model 7T175-150, 0–150 mm travel, STANDA, Vilnius, Lithuania), enabling accurate centring of the LED emission axis relative to both the S120VC photodiode active area and the fibre-coupled input of the StellarNet SILVER spectrometer.
All radiometric and spectroscopic instruments were calibrated in accordance with the manufacturers’ recommended procedures and traceable standards. Electrical drive conditions, including LED drive currents and PWM parameters, were periodically verified during the ageing tests using an independent calibrated bench multimeter AX-8455 (DC voltage accuracy ±(0.05% + 5 digits), DC current accuracy ±(0.2% + 10 digits), frequency accuracy ±(0.05% + 5 digits)) (AXIOMET, Lodz, Poland) and an oscilloscope for PWM waveform control, ensuring stable operation throughout the experiment.
All ageing and measurement procedures were conducted in a dedicated optical darkroom under controlled environmental conditions. Ambient light was fully suppressed to prevent any interference with radiometric and spectroscopic measurements, while the ambient temperature was maintained at 20 °C and the relative humidity was kept constant throughout the entire ageing and measurement process.
Shifts in λp were monitored as potential indicators of strain relaxation or bandgap modification. Degradation curves were constructed by normalising OP(t) to each LED’s initial optical power following burn-in. Lifetime thresholds Lx were defined as the time required to reach x% of the initial output (L90, L80, L70, L50). A substantial proportion of the tested devices did not reach these thresholds within the 2000-h ageing period; consequently, extrapolation using analytical degradation models was necessary.
Several mathematical functions commonly used to model the optical power output of LEDs over their lifetime were fitted using the Levenberg–Marquardt algorithm (Table 4). Among the evaluated models, the Ruschel logarithmic function consistently provided the best agreement with the experimental data and was therefore adopted for lifetime extrapolation beyond the measurement window. The influence of drive current on degradation acceleration was quantified by fitting lifetime data to a power-law dependence LpI−m, following methodologies used in recent UVC reliability studies [18].
Lifetime metrics L90, L80, L70, and L50 were derived analytically by inverting the Ruschel logarithmic degradation model [59]. For a given relative optical power level:
O P x = x 100 · O P 0
the corresponding lifetime Lx was calculated as:
L x = e O P x / β α j 3 e 1 / β
where: OP0—initial optical power, j—current density, α, β—are fit parameters obtained from regression of the experimental degradation data according to [59].
The time-integrated optical energy emitted by each LED was evaluated by integrating the fitted optical power–time dependence P(t) from t = 0 h to the corresponding lifetime Lx (for x = 90, 80, 70, 50):
E L x = 0 L x P t d t .
The integration was performed using the Ruschel-type logarithmic model, which reproduces the measured degradation behaviours the most accurately.
Datasets of OP were statistically processed to determine the mean and variance for devices operated at nominal operating current (A4–A8 for Type A and B4–B8 for Type B). The resulting averaged datasets, denoted as “mean A4–A8” and “mean B4–B8” in the figures, characterise the typical long-term degradation behaviour while accounting for device-to-device variability, which is essential for reliability prediction in consumer-grade applications.

3. Results

Unless stated otherwise, the trends reported in this section refer to the tested device sets from two manufacturers and the specific operating regimes applied in this work and should be interpreted in light of the observed device-to-device variability.

3.1. Optical Output Degradation over Time

At the outset of testing, all UVC LEDs exhibited an immediate drop in optical output power even during preliminary characterisation (optical power, spectral power distribution, and IV measurements across the entire drive-current range from 0 to Imax and temperature-dependent measurements from 10 °C to 70 °C). As shown in Table 5, the initial output power fell by about 1.0–4.9% per device (average ~2.5% in the 260 nm group A, and ~3.7% in the 265 nm group B). This infant mortality-type decay occurred despite short operation times and minimal thermal stress, suggesting early device stabilisation effects. Group B’s slightly larger initial loss suggests greater variability or minor differences in initial drive conditioning. After this early drop, the subsequent long-term ageing was performed under stable conditions, and no further abrupt declines occurred, confirming that the initial dip was a one-time stabilisation phenomenon rather than a continuous, rapid degradation.
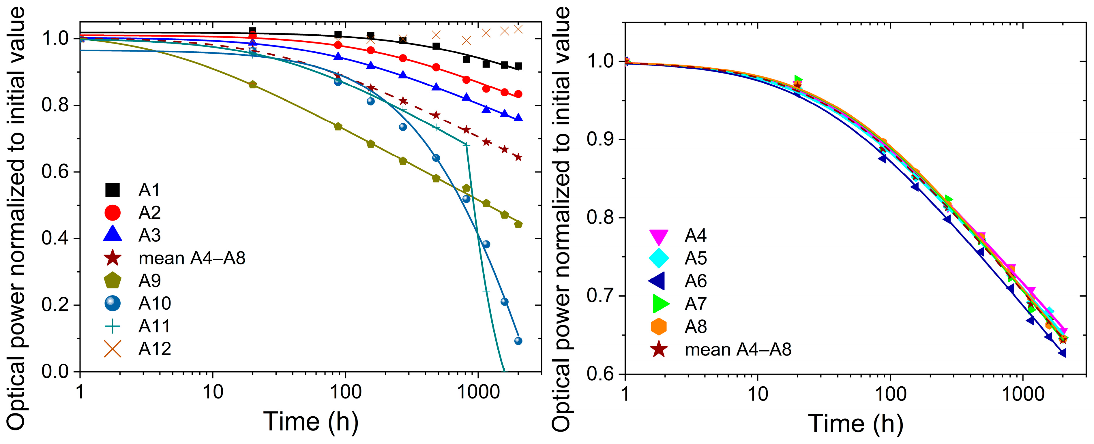
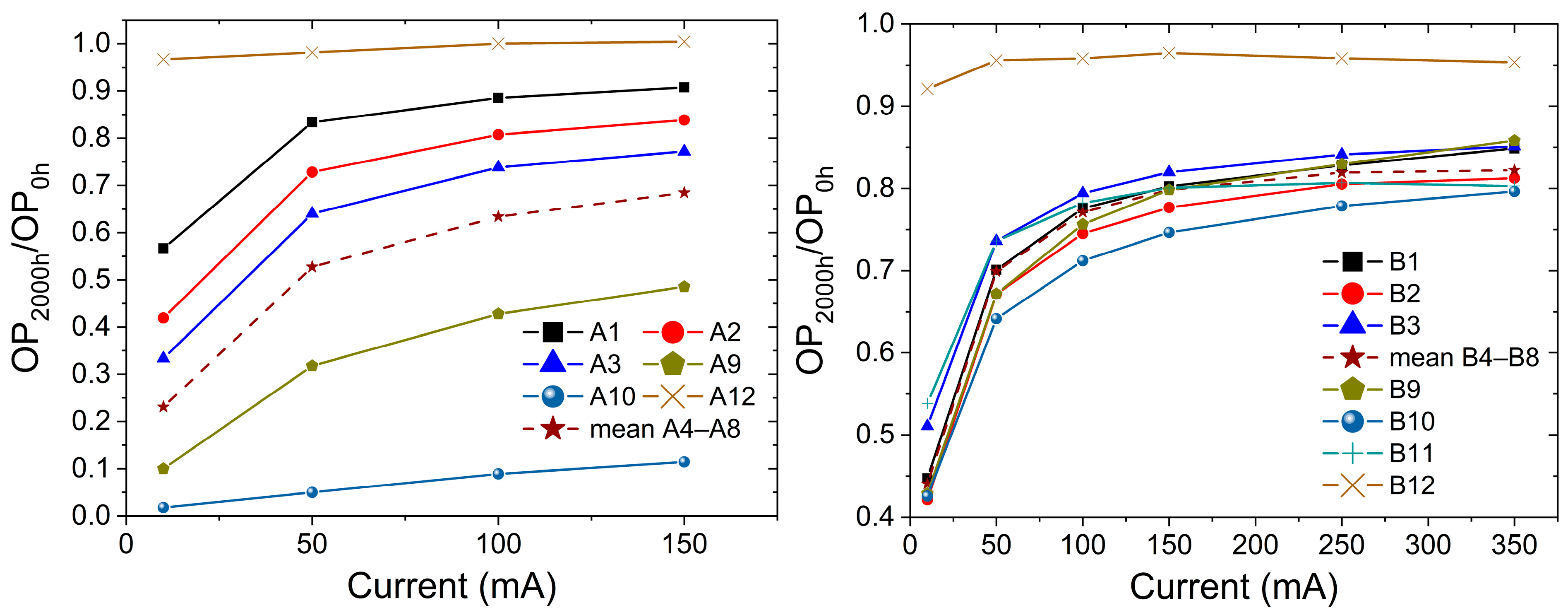
Over the 2000-h ageing period, all devices showed a gradual decline in optical output, with the degree of decay strongly dependent on drive current and differing between the two wavelength groups (Figure 2 and Figure 3). The nominal operating current control groups revealed a significant difference between the tested devices: group A showed a lower technological spread than group B. The 260 nm LEDs exhibited a faster optical power decay than the 265 nm LEDs. This difference is consistent with the higher current densities applied to the 260 nm devices under comparable drive regimes. In group A, a clear ranking emerged: higher drive currents led to steeper output loss. For instance, as illustrated in Figure 4, a device driven at the maximum current (A9 at 150 mA) fell to 43% of initial output by 2000 h, whereas devices run at 100%, 80%, 60%, and 40% of nominal operating current lost approximately 31%, 21%, 15%, and 7% of output, respectively, in the same interval.
Notably, one 260 nm LED tested under pulsed PWM drive (A11, 75 mA average) exhibited a distinct two-stage failure behaviour. After an initial phase, the device entered a regime of sudden accelerated degradation between 800–1100 h, characterised by a markedly increased rate of optical power loss (Figure 2). This phase was accompanied by progressive electrical degradation, manifested as a pronounced increase in forward voltage and series resistance, while the device continued to emit optical radiation. Following this accelerated degradation regime, the LED ultimately ceased emitting at approximately 1600 h, which is classified here as catastrophic failure.
The sudden accelerated degradation phase is therefore distinguished from catastrophic failure itself, the former denoting rapid but continuous opto-electrical deterioration and the latter corresponding to the complete loss of optical emission. After 800 h, the PWM-driven LED had lost ~32% of output versus ~18% loss in a comparable LED under steady 80 mA DC current (A3), indicating that in this case, pulsed drive did not mitigate, and in fact worsened, the optical degradation.
In contrast, the 265 nm LEDs (group B) displayed more stable optical behaviour within the present dataset (Figure 3 and Figure 4). No device in group B suffered a catastrophic failure over 2000 h. Instead, two distinct degradation patterns were observed. Several 265 nm devices (B3, B4, B5, B7, B10, B11) showed a modest, quick drop of ~8–12% in the first ~20 h (likely an initial stabilisation similar to group A), then levelled off to an exponential-like slow decay. Other devices in group B (B8, B9) exhibited even slower initial decay, losing only ~10% after >700–1000 h despite being driven at equal or higher currents. By 2000 h, total output reduction in the 265 nm group ranged from only ~11% up to 20%. Interestingly, the one PWM-driven 265 nm LED (B11, 75 mA average) showed the fastest early drop (~15% in the first 90 h) but then stabilised, with almost no further decline over the subsequent ~1900 h. It may reflect an initial rapid “burn-in” followed by a long plateau; a plausible explanation is early defect annealing or reconfiguration that slowed any further degradation. Overall, 265 nm devices maintained high stability, and none experienced severe loss during the test.
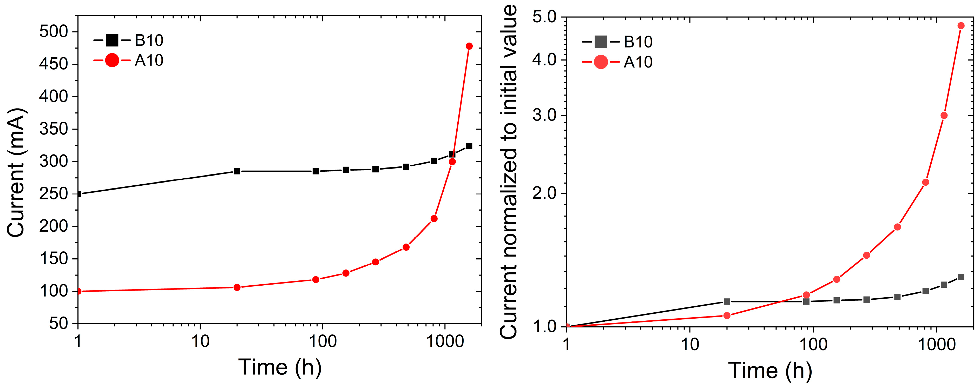
In the constant optical output experiment (Figure 5), the drive current was continuously adjusted to compensate for LED ageing, maintaining the optical power at its initial level over time; this initial level corresponded to the output achieved at nominal operating current. Under this regime, the 260 nm LED (device A10) required a significant increase in drive current; by the end of 2000 h, the current had risen to about five times its initial value to maintain constant output. This suggests rapid internal current efficiency degradation: as the LED’s radiative efficiency declined, increasingly higher current was needed to produce the same output.
In contrast, the 265 nm counterpart (device B10) required only around a 30% increase in current over 2000 h to sustain the output. The gentler slope observed for B10 reflects its slower performance decline, primarily due to the lower current density applied during operation (178 mA/cm2 for B10 vs. 388 mA/cm2 for A10). Comparing these two, we see that a closed-loop driver must provide considerably more headroom—and generate more thermal stress—to stabilise a 260 nm LED’s output compared to a 265 nm LED. Eventually, this may create a positive feedback loop: in the 260 nm device, the rising current likely accelerated further degradation, whereas the 265 nm device remained within a safe operating window. Within the present experiment, constant-power control is feasible for 265 nm LEDs with minimal overhead, but for 260 nm LEDs, it requires a robust driver capability and cooling to handle large current ramps. These findings highlight the importance of considering drive-current compensation dynamics when designing constant-dose UVC systems and further support lifetime projections.

3.2. Degradation Modelling and Lifetime Estimates

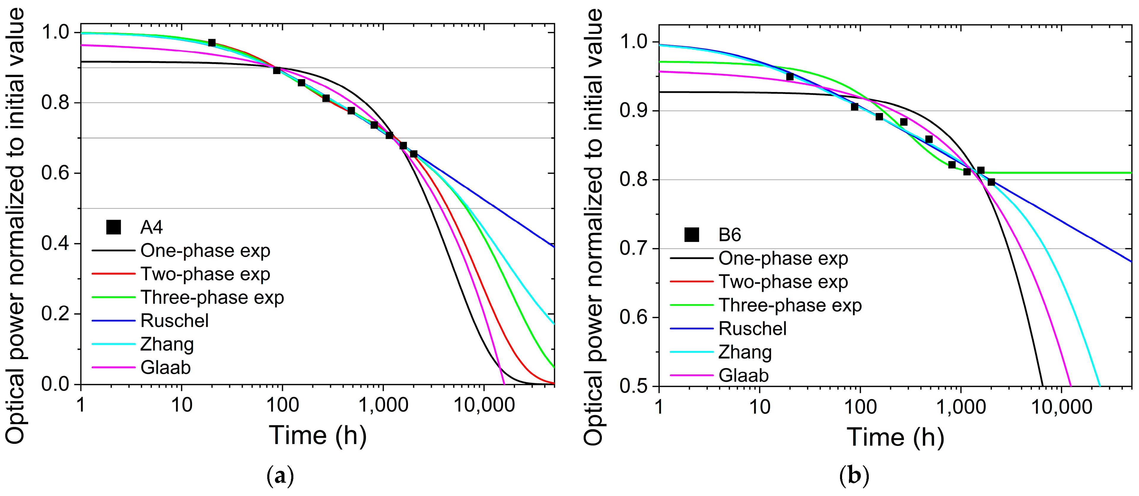
To quantitatively analyse the degradation kinetics, the time-dependent optical power data were fitted to various empirical models, including single- and multi-exponential, logarithmic, and hybrid decay functions. Figure 6 shows representative degradation trajectories for two devices (A4 (260 nm, 100 mA) and B6 (265 nm, 250 mA)) fit using six degradation models. A single-phase exponential model could describe the initial rapid decay phase (first few hundred hours), but consistently underestimated long-term output, resulting in inaccurate lifetime projections (R2 ~ 0.73–0.83). Adding a second exponential component improved mid-term accuracy (R2 > 0.94) but often led to overestimation of degradation in long-term scenarios (Figure 6a) or overestimation of remaining output due to premature saturation (Figure 6b). A three-exponential model slightly increased numerical accuracy (R2 > 0.94) but introduces over-parameterisation and non-physical behaviour, such as predicting nearly constant output or underestimating final degradation.
The Glaab semi-empirical model, originally developed for visible-spectrum LEDs, provided reasonable fits (R2 ~ 0.90–0.96) up to approximately 2000 h, but exhibited a pronounced decline beyond that point, reducing its validity for longer projections. Similarly, the Zhang hybrid logarithmic-exponential model matched early-phase data well (R2 ~ 0.92–0.99), but its decay onset accelerated too early, leading to underestimated lifetime projections (Table 6).
In contrast, the Ruschel logarithmic model offered the most consistent and physically realistic description of optical degradation across all tested LEDs. With its non-saturating logarithmic time dependence, it successfully captured both the early transient decay and the slow, continuous long-term decline characteristic of AlGaN-based UVC LEDs. Over the full measurement duration (0–2000 h), the Ruschel model demonstrated excellent agreement with measured data (R2 > 0.98), Figure 6a,b. Importantly, it avoided artificial saturation and maintained physical plausibility, supporting reliable extrapolation for L50/L70 estimates (Table 6). The extracted parameters were also consistent across different drive currents and devices, further supporting their robustness for multi-current reliability modelling, as shown in Figure 7 and Figure 8.
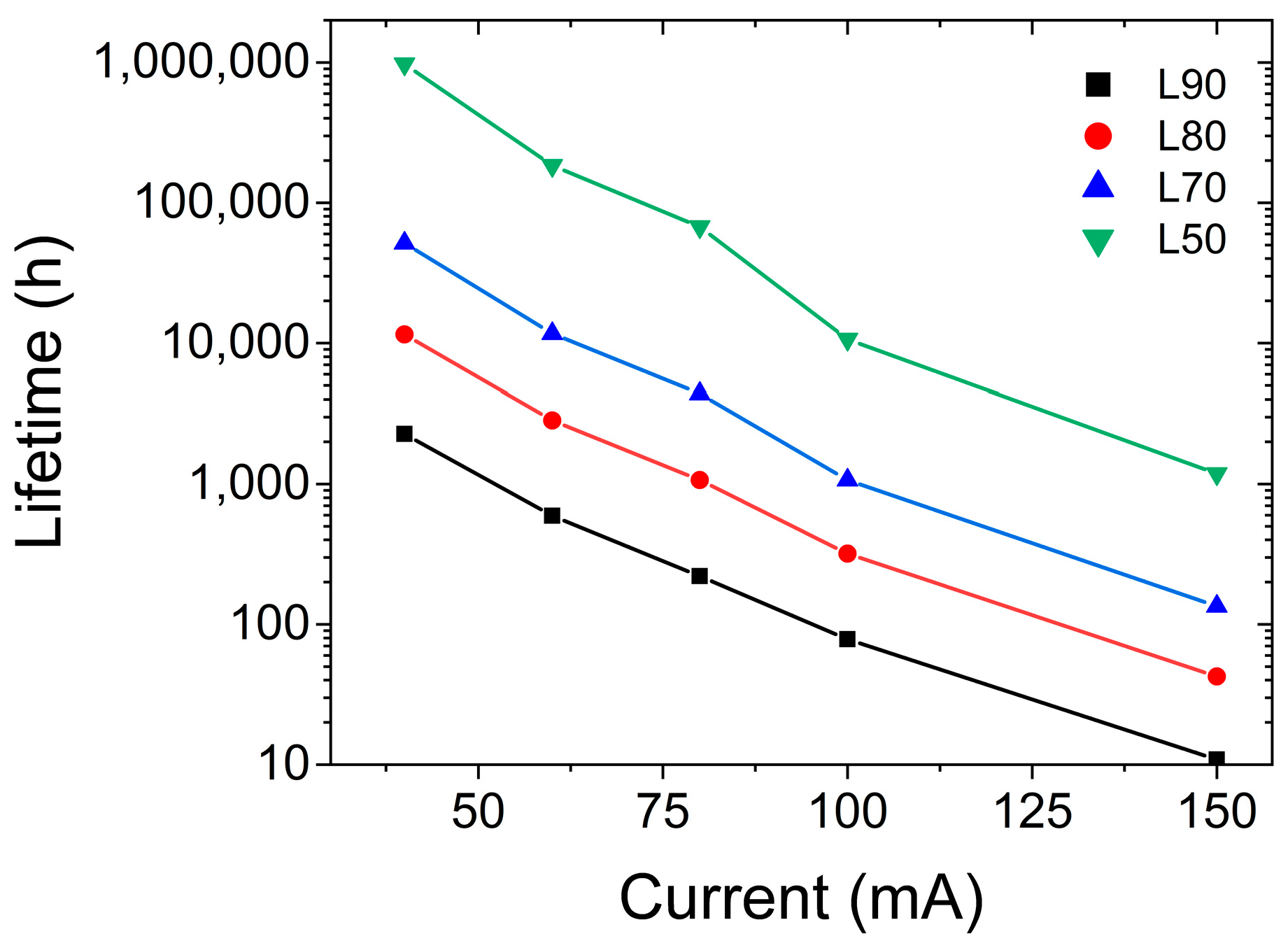
Importantly, its physically meaningful parameters supported extrapolation of when each LED’s output would reach specified fractions of the initial value (L90, L80, L70, L50). Based on these fits, operational lifetime metrics were estimated. For the high-power 265 nm LEDs, Table 7 and Figure 9 summarise the projected time to reach 90%, 80%, and 70% output (L90, L80, L70) under various drive currents. The extracted L90 values span from ~118 h (for the most aggressively driven device) up to ~1400 h, while L80 ranges from ~1900 h to ~18,200 h. Only one of the 265 nm LEDs reached 80% power within the 2000 h test duration; for the remaining devices, extrapolation of the fitted degradation trends indicates lifetimes L70 on the order of tens to hundreds of thousands of hours, corresponding to extremely long projected lifetimes rather than values directly observed within the experiment. For example, averaging the devices operated at the nominal 250 mA operating current (B4–B8) gives L90 ≈ 374 h, L80 ≈ 6900 h, and L70 ≈ 122,000 h. Interestingly, one LED driven at a higher stress current of 350 mA (B9) still showed L90 ≈ 735 h, outlasting some 250 mA driven counterparts. This indicates significant device-to-device variability in durability—intrinsic device differences (epitaxy, defects, packaging) sometimes outweigh the expected current-accelerated ageing trends. It should be noted that some extrapolated lifetime values reported in Table 7 extend far beyond the experimental ageing duration and therefore represent model-based projections rather than physically validated operating lifetimes. Such values are included for comparative purposes only and should be interpreted with appropriate caution.
In contrast, under the applied drive and thermal conditions, the 260 nm LEDs exhibited much shorter lifetimes in relation to nominal operating currents. For the group A4–A8 devices driven at 100 mA (nominal operating current for 260 nm), the average lifetimes were L90 ≈ 78 h, L80 ≈ 319 h, L70 ≈ 1070 h, and L50 ≈ 10,600 h (Table 8 and Figure 10). Indeed, for the 260 nm LEDs operated at nominal current, the optical output decreased 70% of its initial value after approximately 1100 h, whereas the 265 nm LEDs are projected to require several times longer operating durations to reach the same degradation level under nominal drive conditions. The drive current influence on lifetime was very pronounced for 260 nm LEDs: reducing the forward current dramatically extended lifetime. For example, L70 improved from only ~135 h at 150 mA to ~1070 h at 100 mA, ~4400 h at 80 mA, ~11,700 h at 60 mA, and exceeded 51,500 h at 40 mA. In other words, dropping the current to 40% of the nominal value increased the L70 by two orders of magnitude. Even L50 followed this trend—e.g., extrapolated L50 at 40 mA is on the order of several years. This underscores the strong power-law sensitivity of observed lifetime metrics to current density [17,40,41,59,61] and junction temperature [17,40,61,62]. Within the investigated device set, moderate current derating was found to yield disproportionately large extensions of operational lifetime for the examined 260 nm LEDs.

3.3. Effects of Drive Current and Temperature

Drive current had a pronounced effect on performance degradation, not only on total lifetime as discussed above, but also on the current dependence of optical output during ageing. Figure 11 tracks the ratio of optical outputs measured at two drive currents (high versus nominal) as a function of ageing time for each LED series. For the 260 nm devices, the ratio OP150mA/OP100mA increases with ageing, and similar trends are observed for OP350mA/OP250mA in the 265 nm devices. The ideal linear values correspond to the ratios of the applied drive currents, i.e., 150 mA/100 mA = 1.5 and 350 mA/250 mA = 1.4. Initially, the measured ratios (1.35 and 1.32–1.34, respectively) are below these values, indicating the presence of current efficiency droop already at t = 0 h. With continued ageing, both ratios increase by ~2–10% over the first 500 h and stabilise after 2000 h at values ~1.38–1.52 for 260 nm LEDs and ~1.34–1.37 for 265 nm LEDs, approaching the ideal linear current ratios. It should be emphasised that Figure 11 does not represent efficiency directly, but rather reflects changes in the relative linearity of the OP–I characteristics. The observed increase of the ratios with time does not indicate a deterioration of high-current efficiency but instead suggests that the optical power degradation at the two compared current levels is not uniform.
Direct measurements of the optical power versus current (OPI) characteristics before and after ageing are shown in Figure 12. These data illustrate the absolute reduction of optical output across the entire current range and the change in differential slope induced by long-term electrical stress. However, Figure 12 alone does not allow one to unambiguously determine whether ageing preferentially affects low- or high-current operation.
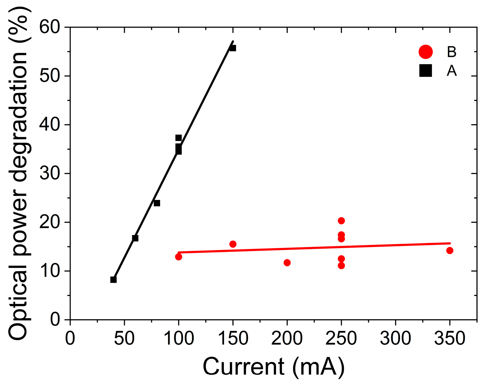
To address this point, the OPI characteristics measured after 2000 h were normalised to the initial characteristics, yielding the relative optical power OP2000h/OP0h as a function of drive current (Figure 13). This representation enables a direct assessment of current-dependent degradation. The normalised data reveal that ageing does not preferentially exacerbate high-current efficiency droop. Instead, the relative optical power reduction is most pronounced at low current densities, while degradation tends to saturate at higher injection levels for both wavelength ranges.
Consequently, the increase in the output ratios observed in Figure 13 is attributed to comparatively stronger degradation at the lower reference current, rather than to an amplification of current-driven droop at high injection levels. This effect is more pronounced for the 260 nm LEDs, consistent with their higher sensitivity to electrical stress. This behaviour is consistent with ageing-induced defect-related recombination processes that affect low-current operation more strongly, while high-current, non-linear loss mechanisms remain largely unchanged with time [17,59].
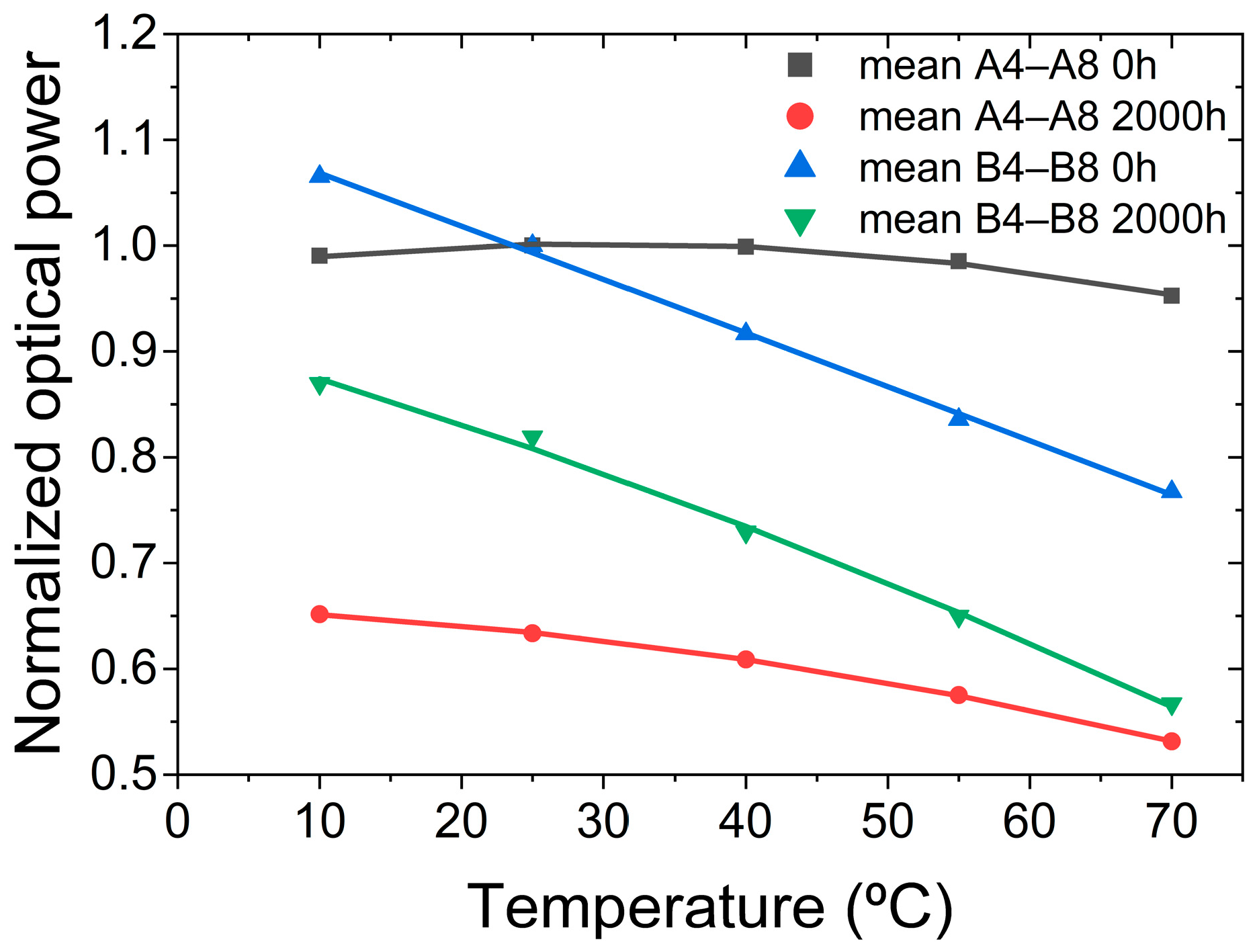
Ambient and junction temperature are other critical factors. Figure 14 shows the optical output as a function of heat sink temperature (10–70 °C) for representative 260 nm and 265 nm LEDs, measured at nominal operating current, before and after ageing. Initially, the 265 nm LED’s output decayed almost linearly with temperature, with a typical coefficient of approximately −0.5 to −0.6%/°C. The 260 nm LED, however, exhibited a nonlinear thermal response: it showed a relatively small output drop at lower temperatures and a steeper decline at higher temperatures. This behaviour suggests stronger carrier localisation in the 260 nm structure (likely due to alloy potential fluctuations in AlGaN), which helps maintain output at modest temperatures but cannot prevent thermal quenching at elevated temperatures.
After 2000 h ageing, both LEDs became more sensitive to heat—the absolute value of the (negative) temperature coefficients increased by roughly 20–30%. In other words, the same rise in case temperature now caused a larger percentage drop in output than it did initially. This indicates some degradation of thermal pathways or carrier confinement. For example, the aged 260 nm LED’s optical output versus heat sink temperature curve steepened the entire investigated temperature range, suggesting an increased contribution of internal heating and non-radiative recombination processes following prolonged electrical and thermal stress, as reported for III-nitride and AlGaN-based UVC LEDs [17,44,63]. These results demonstrate that prolonged stress not only reduces overall optical output but also enhances thermal sensitivity of the devices, particularly for the 260 nm emitters.
The combined evidence from Figure 12, Figure 13 and Figure 14 shows that prolonged electrical/thermal stress led to a decline in current efficiency, total output, and thermal performance of the LEDs. All these degradation effects were significantly more pronounced for the 260 nm devices. Although defect densities were not measured for the investigated samples, the observed behaviour is consistent with literature reports indicating that degradation in AlGaN-based UVC LEDs is strongly governed by defect-related and carrier-transport-related mechanisms, which become increasingly critical at shorter emission wavelengths requiring higher aluminium content in the active and cladding layers [39,64].

3.4. Emission Spectrum Stability

Despite substantial changes in output power and electrical metrics, the LED emission spectra remained notably stable throughout ageing. The peak emission wavelength λp for both 260 nm and 265 nm LEDs remained essentially constant over 2000 h, shifting by less than 0.5 nm at a fixed measurement temperature, Table 9 and Table 10. No systematic drift in λp was observed at 25 °C, indicating that the LEDs did not undergo significant compositional or band-structure changes as they aged. Only the expected thermal shifts in wavelength were observed: when devices were measured at elevated heat sink temperatures (up to 70 °C), the peak shifted slightly to longer wavelengths (on the order of +1 nm per 60 °C), consistent with the temperature-induced bandgap narrowing in AlGaN-based UVC LEDs [17]. The spectral full-width at half-maximum (FWHM) of the UVC emission also showed negligible change with ageing. Each LED’s emission band remained around its initial width (11 nm (group A) and 13 nm (group B)) with no significant broadening (Table 9 and Table 10) or new secondary peaks. This means that no new emission centres or shifts in the active quantum well emission occurred despite the development of non-radiative defects. In practical terms, the lack of spectral drift implies that the germicidal efficacy per photon (which is highest near 265 nm) was maintained—the drop in overall output was due to fewer photons, not a change in their wavelength. Thus, spectral stability was high, and maintaining germicidal dose over time largely comes down to preserving radiant flux rather than wavelength.

3.5. Lifetime-Integrated Emission Energy

While instantaneous output power is one way to gauge LED degradation, for disinfection applications, the total UVC energy emitted over the device’s useful life is a key performance metric. Using the fitted decay curves, we computed the time-integrated optical energy delivered by each LED up to standard lifetime milestones (L90, L80, L70, L50). Table 11 and Figure 15 present these results for the 260 nm LEDs in group A. A clear trend emerges—LEDs driven at lower currents output dramatically more cumulative energy before degrading to a given level. For instance, the LED ran at only 40 mA (A1) emitted about 39 kJ by the time it reached 90% output, ~180 kJ by 80%, 716 kJ by 70%, and a remarkable ~10.1 MJ by the time it dropped to 50% of its output. By contrast, a device driven at 100 mA delivered on the order of only 2.7 kJ (L90), 10 kJ (L80), 30 kJ (L70), and ~200–300 kJ (L50). Pushing to the maximum rated current of 150 mA (A9) yielded only ~34 kJ by L50—seven times less lifetime energy output than the 100-mA case, despite the higher initial power. These results illustrate the trade-off: operating 260 nm LEDs at or above their rated current drastically curtails their useful dose output, whereas derating the current extends the lifetime so much that the total emitted energy increases super-linearly. For example, reducing the drive current from 150 mA to 40 mA increased the L50 energy by nearly 2 orders of magnitude in our experiments. Even moderate reductions (100 → 80 mA or 100 → 60 mA) yielded factors of 2–6× more UV energy delivered before hitting the same degradation level.
The PWM-driven 260 n Among the 260 nm LEDs driven at 100 mA, L70 lifetimes varied by more than 20% m LED (A11) highlights the impact of drive mode on lifetime energy. Because this device suffered an early failure (infant mortality around 800–1000 h) (Figure 2), it produced relatively low total UVC energy: only ~1.1 kJ by L90, 3.6 kJ by L80, and 9.5 kJ by L70. At the applied PWM frequency (10 kHz, 50% duty cycle), thermal relaxation effects are negligible, and the junction temperature remains governed by the average dissipated power rather than by temperature cycling within individual pulses. Consequently, PWM-driven devices cannot be meaningfully compared with constant-current LEDs solely on the basis of average current, given the strongly non-linear dependence of lifetime on current density. Instead, the degradation behaviour of A11 should be compared with constant-current-operated devices at higher current amplitudes. In this context, A11 exhibited a degradation rate initially faster than that of LEDs operated at 100 mA (A4–A8), but slower than that of the 150 mA device A9, before entering a rapid degradation phase leading to premature failure. These observations indicate that high-amplitude PWM operation primarily introduces current-induced acceleration effects rather than thermal cycling phenomena. In short, for 260 nm devices, gentler drive conditions overwhelmingly translate into a greater cumulative germicidal dose over the LED’s life.
For the 265 nm LEDs (group B), the integrated energy results were markedly more heterogeneous than for the 260 nm devices, reflecting their generally longer lifetimes and the fact that many did not reach advanced degradation levels within the 2000-h test. Table 12 (Figure 16) summarises the emitted energies L90, L80, and L70 for the B-series. At the L90 point, most devices operated at the nominal current 250 mA 265 nm emitted approximately 40–120 kJ, while higher values of ~385 kJ and ~326 kJ were observed for LEDs driven at 200 mA and 350 mA, respectively. The average L90 energy for the nominal 250 mA devices was approximately 125 kJ.
At the L80 degradation level, the spread in performance increased substantially. Several nominally driven LEDs (250 mA) delivered between 1.6 and 5.5 MJ by the time their output declined to 80%. However, only one type B device (B6) reached the L80 threshold level within a 2000-h test duration.
LED B11, operated under PWM conditions (Imax = 150 mA, 50% duty cycle, 10 kHz), exhibited an atypical degradation profile characterised by a pronounced initial optical power drop within the first ~200 h, followed by an extended period of near-stable output. Consequently, its degradation could not be adequately described by the Ruschel model, nor meaningfully compared with constant-current-operated devices based on average current alone. Accordingly, no L50L90 lifetime projections were reported for B11, and the reported energy value corresponds to the experimentally accumulated output over the fixed 2000 h test duration rather than to an extrapolated lifetime metric.
For deeper degradation levels (L70 and L50), emitted energies were reported only when extrapolation yielded physically meaningful results. One LED operated at 150 mA produced approximately 13.5 MJ at L70, while several devices in the 200–250 mA range yielded between ~8 and 82 MJ. In contrast, for LEDs such as B1 and B4, extrapolation to L70 (and L80 in the case of B4) resulted in unrealistically long projected lifetimes extending far beyond the physically meaningful range for practical reliability assessment. Consequently, these values were intentionally omitted. For all 265 nm devices, the L50 point lies far beyond the experimental time window, implying projected lifetimes ranging from several hundred thousand hours to many tens of millions of hours, and, in extreme cases, exceeding 108 h.
Overall, these results demonstrate that, once the initial defect-related burn-in phase is overcome, 265 nm LEDs can maintain optical output with very slow degradation, resulting in very large lifetime-integrated doses. Several devices appear to approach an asymptotically low decay rate after the first few hundred hours, consistent with literature reports of lifetimes exceeding 30,000 h at 70% power retention for optimised UVC LEDs fabricated on low-defect substrates.
Figure 17, Figure 18 and Figure 19 provide an overview of how reducing the drive current extends the lifetime and energy output for the 260 nm LEDs. Figure 18 plots the factor increase in lifetime-integrated emitted energy (at Lx) versus the ratio of initial currents for various downrating steps (e.g., 150 → 100 mA, 100 → 60 mA, etc.). The trends make clear that small current reductions can yield disproportionately large gains in total UVC dose. For example, at the L80 point, a drop from 150 mA to 40 mA resulted in about a 100× increase in total energy emitted. Even a modest 20% reduction (100 mA → 80 mA) roughly 6 times lengthens the lifetime L50 (Figure 17) and quadruples the lifetime energy for L50 (Figure 18). This strong non-linear payoff aligns with established current-acceleration factors reported for UVC LEDs, where elevated drive currents significantly accelerate degradation via increased junction temperature, enhanced non-radiative recombination, and carrier leakage [17,18,59,61]. In summary, the integrated output analysis highlights the benefit of derating: operating UVC LEDs at lower currents (and adequate thermal management) can vastly prolong their useful output, thereby delivering a much greater cumulative germicidal dose before end-of-life. This purely results-based finding will be further examined in the Discussion, but it provides quantitative evidence for optimizing drive conditions to maximise total disinfecting output rather than just initial optical power.
To facilitate direct comparison with previously reported current–lifetime relationships, an additional representation of lifetime as a function of the absolute operating current is provided in Figure 19. This plot complements the derating-based analysis shown in Figure 17 and Figure 18 and confirms the strong current dependence of UVC LED lifetime under controlled thermal conditions.

4. Discussion

In the tested device sets and under the applied operating conditions, the comparative ageing behaviour of 260 nm and 265 nm UVC LEDs reveals distinct degradation dynamics. For the investigated LED types, devices emitting at 260 nm exhibited faster optical power decay than the tested 265 nm LEDs (Figure 2). This observation applies specifically to the examined devices, geometries, drive currents, and thermal conditions and should not be generalised across different manufacturers or UVC LED technologies. The observed trend may be associated with the increased defect sensitivity and enhanced non-radiative recombination mechanisms reported for shorter-wavelength AlGaN emitters, rather than being directly attributed to aluminium content alone, as discussed in the literature [17,18,30]. At shorter wavelengths, higher dislocation densities and increased optical absorption may aggravate carrier injection inefficiencies and heat dissipation, leading to a combination of internal degradation mechanisms (such as enhanced non-radiative recombination) and external effects associated with optical losses and thermal resistance in AlGaN-based deep-UVC LEDs [30,64]. However, given the limited number of samples per operating condition, these mechanisms should be interpreted as contributing factors rather than definitive causes. These effects correlate with the commonly observed two-phase degradation pattern: an initial rapid decline in optical power followed by a slower, sustained decay.
Despite ongoing degradation, spectral stability was maintained across both wavelength groups. The emission peak position λp and full-width at half-maximum FWHM remained effectively constant over the 2000-h ageing period (Table 9 and Table 10), supporting earlier studies that associate this behaviour with the structural stability of the quantum wells under long-term operation [17,65]. Within the scope of the tested devices, the absence of new emission bands or spectral drift indicates that the germicidal action remains effective, as degradation manifests primarily as reduced output intensity rather than a shift outside the effective germicidal range. This finding is operationally relevant, as it implies that periodic spectral requalification may be unnecessary for similar device classes and operating regimes, simplifying maintenance procedures in deployed systems.
A key finding of this work is the notable statistical variation in lifetime metrics among LEDs operated under identical test conditions. Among the 260 nm LEDs driven at 100 mA, L70 lifetimes varied by more than 20% (Table 8), while 265 nm LEDs at 250 mA exhibited L90 differences exceeding 800 h between samples (Table 7). This sample-to-sample variability introduces an uncertainty envelope that partially overlaps with the influence of operating conditions. These observations are in line with prior studies highlighting process-related variability stemming from epitaxial defect distributions, metal contact quality, and packaging consistency [17,41]. From a system engineering perspective, this variability suggests that average performance figures may be insufficient for reliability-sensitive applications. Instead, batch-level qualification, statistical screening, and early-life burn-in testing are recommended to identify outliers and ensure product uniformity.
The duration of ageing tests also significantly influences the robustness of reliability projections. Many published studies are limited to durations under 350 h [17,18], capturing only the early stages of degradation. In contrast, the 2000-h test window applied here revealed stabilisation behaviour in some 265 nm LEDs (Figure 3) and occasional catastrophic failures in others, especially under PWM conditions (Figure 2). These observations, while device-specific, demonstrate the importance of extended ageing tests for capturing mid- and late-life degradation phenomena. This extended observation period underscores the necessity of long-term testing to obtain representative performance degradation profiles, particularly for devices intended for intermittent use or long service life.
Drive current was shown to have a critical impact on degradation kinetics (Figure 4) and energy yield (Figure 15 and Figure 16). Within the investigated device population and under controlled thermal conditions (Ths = 60 °C), a current derating of 20–40% resulted in multi-fold increases in lifetime-integrated optical output (Figure 18), consistent with the non-linear power-law dependence of UVC LED degradation rates on current density reported in the literature [18,59,66]. Although higher drive currents initially boost output, they also accelerate material degradation, ultimately leading to lower cumulative germicidal energy across the device’s lifetime (Figure 15 and Figure 16). For example, a 260 nm LED operated at 150 mA degraded more rapidly and delivered less total disinfection energy than a counterpart driven at 40 mA over a longer duration (Figure 18), despite the initial power advantage. These findings underscore the importance of balancing peak performance with long-term reliability when defining drive conditions in disinfection system design under fixed thermal boundary conditions.
The method of current delivery was also found to influence reliability outcomes. PWM-driven devices showed mixed results: while beneficial in reducing average current (Table 3) and junction temperature (Table 2), excessive peak currents introduced by PWM schemes may promote current crowding, leading to localised thermal and electrical stress [56,57]. At the applied PWM frequency (10 kHz, 50% duty cycle), the thermal time constants of the LED–PCB assembly are orders of magnitude longer than the electrical pulse period; therefore, the junction temperature remains quasi-steady and is governed by the average dissipated power rather than by thermal relaxation within individual pulses. In the present study, a 260 nm PWM-driven LED failed earlier than its DC-driven counterpart operating at comparable average current (Figure 2). Nevertheless, designers must carefully manage PWM settings, including pulse width and peak current magnitude, and ensure that thermal dissipation remains effective throughout cycling.
Thermal design plays a central role in maximising UVC LED lifetime. Junction temperatures exceeding 50 °C are known to accelerate failure mechanisms by enhancing temperature-activated degradation processes and defect propagation in deep-UV AlGaN LEDs [67]. For the tested devices, LEDs subjected to extended ageing exhibited increased thermal sensitivity (Figure 14), suggesting that thermal degradation processes may be cumulative over time. To mitigate these effects, robust heat sinking, real-time temperature monitoring, and adaptive current regulation are critical for maintaining long-term operational stability and preventing overheating-induced failures.
In addition to experimental results, time-resolved optical degradation was successfully modelled using empirical fitting functions (Figure 6). Among the functions tested—single, double, and triple exponential, semi-empirical Glaab, logarithmic-exponential Zhang, and logarithmic Ruschel—the Ruschel model demonstrated the most consistent accuracy and physical plausibility across both wavelength groups and drive conditions. For the analysed datasets, their non-saturating logarithmic behaviour effectively captured both early and late-phase decay without introducing artefacts or overfitting, as observed in higher-order exponential models (Figure 6). The correlation coefficient R2 exceeded 0.98, which confirms the robustness of this approach within the tested parameter space, supporting its use for lifetime extrapolation and comparative reliability screening.
Ultimately, the findings support the use of optical ageing metrics and statistical performance models (Figure 6) as effective tools for characterising and predicting the reliability of UVC LEDs within defined device populations and operating regimes. Integrated monitoring solutions that combine optical and thermal data can improve system diagnostics and reduce maintenance intervals, enabling consistent and effective disinfection performance across product lifetimes.

5. Conclusions

This study provides a comprehensive comparative analysis of the optical degradation behaviour of selected commercially available 260 nm and 265 nm UVC LEDs under thermally stabilised, variable-drive current operating conditions, representative of typical consumer and professional disinfection applications.
For the tested device sets, the results revealed clear current-dependent degradation profiles, with 260 nm LEDs exhibiting a more rapid decline in optical output than the investigated 265 nm LEDs, particularly under nominal drive conditions. A moderate derating of approximately 20% in drive current extended the L70 lifetime by over fourfold and more than tripled the number of effective disinfection cycles, for the examined samples, offering a practical route to enhance durability without compromising germicidal efficacy.
Importantly, no significant spectral shift was detected over the entire 2000-h test period, supporting the use of initial wavelength characterisation as a stable indicator for long-term germicidal performance for similar LED architectures and operating conditions. However, the pronounced statistical variability of optical power decay observed across identically driven devices underscores the importance of statistical screening across device populations, early optical characterisation during initial operation, and robust reliability modelling.
Several design-oriented recommendations emerge within the limits of the presented dataset. Optical output data can be effectively used to track degradation and forecast end-of-life, provided that appropriate regression models—such as the Ruschel logarithmic function, which showed the most consistent and physically plausible long-term fits—are applied. Furthermore, dynamic current regulation must be carefully implemented in constant-output systems to prevent local overheating and premature failures due to excessive peak currents.
For robust reliability validation, ageing protocols should exceed 1000 h and account for mid- and late-life degradation, especially in applications with regulatory, health, or safety implications. Thermal system design must be adequately engineered, and feedback-controlled dimming strategies can mitigate cumulative degradation effects.
The methodology employed—using statistically representative device populations, a wide range of current densities, and extended monitoring of optical and spectral parameters—offers an application-relevant framework for characterising UVC LED ageing. Nevertheless, extrapolation of the observed trends to other manufacturers or device generations should be performed with caution.
Importantly, while this study focused on optical and spectral metrics, parallel ageing investigations were conducted for electrical parameters, including forward voltage (V), series resistance (Rs), and ideality factor (n). These electrical ageing results will be presented and discussed in a follow-up publication. Furthermore, future work will extend this methodology to evaluate degradation as a function of ambient temperature under constant-current operation.
Finally, system designers are advised to base LED lifetime predictions on current density rather than nominal operating current values typically provided in manufacturers’ datasheets. For the tested devices, degradation rates are more accurately correlated with actual current density, highlighting the need for geometry-aware, thermally informed design approaches in practical UVC applications.
In conclusion, the integration of robust optical lifetime modelling, well-engineered thermal control, and population-based qualification forms a solid foundation for the development of durable, mercury-free UVC LED disinfection systems. The conclusions drawn in this work are limited to the investigated device populations and operating conditions but provide actionable guidance for similar UVC LED-based systems.

Author Contributions

Conceptualisation, Ł.G. and U.J.B.; methodology, Ł.G. and U.J.B.; validation, Ł.G.; formal analysis, Ł.G.; investigation, Ł.G. and S.S.; data curation, Ł.G. and S.S.; writing—original draft preparation, Ł.G.; writing—review and editing, Ł.G. and U.J.B.; visualisation, Ł.G.; supervision, Ł.G.; project administration, Ł.G.; funding acquisition, Ł.G. and U.J.B. All authors have read and agreed to the published version of the manuscript.

Funding

This work was supported by the Bialystok University of Technology project no. WZ/WE-IA/3/2023.

Institutional Review Board Statement

Not applicable.

Informed Consent Statement

Not applicable.

Data Availability Statement

Data are contained within the article. Measurement data used to prepare the figures will be made available in tabular form on request by the corresponding authors.

Conflicts of Interest

The authors declare no conflicts of interest.

Abbreviations

The following abbreviations are used in this manuscript:
UVCUltraviolet C
LEDLight-Emitting Diode
DNADeoxyribonucleic Acid
RNARibonucleic Acid
HVACHeating, Ventilation, and Air-Conditioning
COVIDCoronavirus Disease
EQEExternal Quantum Efficiency
PWMPulse-Width Modulation
HTOLHigh-Temperature Operating Life
PCBPrinted Circuit Board
MCPCBMetal-Core Printed Circuit Board
DCDirect Current
FWHMFull-Width at Half-Maximum
OPOptical Power

References

  1. Nicolau, T.; Gomes Filho, N.; Padrão, J.; Zille, A. A Comprehensive Analysis of the UVC LEDs’ Applications and Decontamination Capability. Materials 2022, 15, 2854. [Google Scholar] [CrossRef]
  2. Ma, B.; Linden, Y.S.; Gundy, P.M.; Gerba, C.P.; Sobsey, M.D.; Linden, K.G. Inactivation of Coronaviruses and Phage Phi6 from Irradiation across UVC Wavelengths. Environ. Sci. Technol. Lett. 2021, 8, 425–430. [Google Scholar] [CrossRef]
  3. Kowalski, W. Ultraviolet Germicidal Irradiation Handbook; Springer: Berlin/Heidelberg, Germany, 2009; ISBN 978-3-642-01998-2. [Google Scholar]
  4. Reed, N.G. The History of Ultraviolet Germicidal Irradiation for Air Disinfection. Public Health Rep. 2010, 125, 15–27. [Google Scholar] [CrossRef] [PubMed]
  5. Clauß, M. Higher Effectiveness of Photoinactivation of Bacterial Spores, UV Resistant Vegetative Bacteria and Mold Spores with 222 Nm Compared to 254 Nm Wavelength. Acta Hydrochim. Hydrobiol. 2006, 34, 525–532. [Google Scholar] [CrossRef]
  6. Kessler, R. The Minamata Convention on Mercury: A First Step toward Protecting Future Generations. Environ. Health Perspect 2013, 121, A304. [Google Scholar] [CrossRef] [PubMed]
  7. Amano, H.; Collazo, R.; de Santi, C.; Einfeldt, S.; Funato, M.; Glaab, J.; Hagedorn, S.; Hirano, A.; Hirayama, H.; Ishii, R.; et al. The 2020 UV Emitter Roadmap. J. Phys. D Appl. Phys. 2020, 53, 503001. [Google Scholar] [CrossRef]
  8. Piva, F.; Buffolo, M.; de Santi, C.; Meneghesso, G.; Zanoni, E.; Meneghini, M.; Trivellin, N. Status of Performance and Reliability of 265 Nm Commercial UV-C LEDs in 2023. IEEE Trans. Electron Devices 2023, 70, 5696–5700. [Google Scholar] [CrossRef]
  9. Kim, D.-K.; Kang, D.-H. UVC LED Irradiation Effectively Inactivates Aerosolized Viruses, Bacteria, and Fungi in a Chamber-Type Air Disinfection System. Appl. Environ. Microbiol. 2018, 84, e00944-18. [Google Scholar] [CrossRef]
  10. Nunayon, S.S.; Zhang, H.H.; Lai, A.C.K. A Novel Upper-Room UVC-LED Irradiation System for Disinfection of Indoor Bioaerosols under Different Operating and Airflow Conditions. J. Hazard. Mater. 2020, 396, 122715. [Google Scholar] [CrossRef]
  11. Li, H.; Shan, X.; Ba, T.; Liu, Y.C.; Kang, C.-W.; Hing, C.A.K.; Loganathan, N.; Velayutham, U.M. Investigation of Ultraviolet-C Light-Emitting Diode for Airborne Disinfection in Air Duct. Phys. Fluids 2023, 35, 043312. [Google Scholar] [CrossRef]
  12. Liao, E.; Wang, X.; Shafa, M.; Wang, G.; Zhang, Q.; Du, X. Application of UVC-LED Technology in Surface Disinfection Cabinets for Small Medical Devices. In Proceedings of the Second International Conference on Optoelectronic Information and Optical Engineering (OIOE 2025), Dali, China, 28 February–2 March 2025; Yue, Y., Jiang, M., Wei, Q., Eds.; SPIE: Bellingham, WA, USA, 2025; p. 109. [Google Scholar]
  13. Martín-Sómer, M.; Pablos, C.; van Grieken, R.; Marugán, J. Influence of Light Distribution on the Performance of Photocatalytic Reactors: LED vs Mercury Lamps. Appl. Catal. B 2017, 215, 1–7. [Google Scholar] [CrossRef]
  14. Wang, C.-P.; Chang, C.-S.; Lin, W.-C. Efficiency Improvement of a Flow-through Water Disinfection Reactor Using UV-C Light Emitting Diodes. J. Water Process Eng. 2021, 40, 101819. [Google Scholar] [CrossRef]
  15. LEDinside. Research Team 2025 Deep UV LED Market Trend and Product Analysis–1H25; LEDinside: Taipei, Taiwan, 2025. [Google Scholar]
  16. Juarez-Leon, F.A.; Soriano-Sanchez, A.G.; Rodriguez-Licea, M.A.; Perez-Pinal, F.J. Design and Implementation of a Germicidal UVC-LED Lamp. IEEE Access 2020, 8, 196951–196962. [Google Scholar] [CrossRef] [PubMed]
  17. Onushkin, G.; Ruschel, J.; Piva, F.; Buffolo, M.; Rass, J.; Davis, J.L.L.; Trivellin, N.; De Santi, C.; van Driel, W.; Meneghini, M. Efficiency- and Lifetime-Limiting Effects of Commercially Available UVC LEDs: A Review. J. Phys. Photonics 2025, 7, 032002. [Google Scholar] [CrossRef]
  18. Letson, B.; Conklin, J.W.; Wass, P.; Barke, S.; Mueller, G.; Rasel, M.A.J.; Haque, A.; Pearton, S.J.; Ren, F. Review—Reliability and Degradation Mechanisms of Deep UV AlGaN LEDs. ECS J. Solid State Sci. Technol. 2023, 12, 066002. [Google Scholar] [CrossRef]
  19. Chen, J.; Liu, J.; Huang, Y.; Liu, R.; Dai, Y.; Tang, L.; Chen, Z.; Sun, X.; Liu, C.; Zhang, S.; et al. Hillock Related Degradation Mechanism for AlGaN-Based UVC LEDs. Nanomaterials 2023, 13, 1562. [Google Scholar] [CrossRef] [PubMed]
  20. Lang, J.; Xu, F.; Wang, J.; Zhang, L.; Fang, X.; Zhang, Z.; Guo, X.; Ji, C.; Ji, C.; Tan, F.; et al. Progress in Performance of AlGaN-Based Ultraviolet Light Emitting Diodes. Adv. Electron. Mater. 2025, 11, 2300840. [Google Scholar] [CrossRef]
  21. Zhu, X.; Su, M.; Chen, Z.; Deng, S.; Yao, H.; Wang, Y.; Chen, Z.; Deng, J.; Sun, W. Degradation Analysis with Characteristics and Simulations of 265 nm UV-C LED. J. Mater. Sci. Mater. Electron. 2021, 32, 17115–17122. [Google Scholar] [CrossRef]
  22. Piva, F.; Buffolo, M.; Roccato, N.; Pilati, M.; Longato, S.; Susilo, N.; Vidal, D.H.; Muhin, A.; Sulmoni, L.; Wernicke, T.; et al. Investigation of Degradation Dynamics of 265 Nm LEDs Assisted by EL Measurements and Numerical Simulations. Semicond. Sci. Technol. 2024, 39, 075025. [Google Scholar] [CrossRef]
  23. Ma, Z.; Cao, H.; Lin, S.; Li, X.; Zhao, L. Degradation and Failure Mechanism of AlGaN-Based UVC-LEDs. Solid. State Electron. 2019, 156, 92–96. [Google Scholar] [CrossRef]
  24. Xiu, H.; Zhang, Y.; Fu, J.; Ma, Z.; Zhao, L.; Feng, J. Degradation Behavior of Deep UV-LEDs Studied by Electro-Optical Methods and Transmission Electron Microscopy. Curr. Appl. Phys. 2019, 19, 20–24. [Google Scholar] [CrossRef]
  25. Kneissl, M.; Seong, T.-Y.; Han, J.; Amano, H. The Emergence and Prospects of Deep-Ultraviolet Light-Emitting Diode Technologies. Nat. Photonics 2019, 13, 233–244. [Google Scholar] [CrossRef]
  26. Shatalov, M.; Sun, W.; Lunev, A.; Hu, X.; Dobrinsky, A.; Bilenko, Y.; Yang, J.; Shur, M.; Gaska, R.; Moe, C.; et al. AlGaN Deep-Ultraviolet Light-Emitting Diodes with External Quantum Efficiency above 10%. Appl. Phys. Express 2012, 5, 082101. [Google Scholar] [CrossRef]
  27. Kuritzky, L.Y.; Weisbuch, C.; Speck, J.S. Prospects for 100% Wall-Plug Efficient III-Nitride LEDs. Opt. Express 2018, 26, 16600. [Google Scholar] [CrossRef]
  28. Gryko, Ł.; Błaszczak, U.J.; Zajkowski, M. The Impact of Time and Temperature of Operation on the Characteristics of High-Power UVC LEDs and Their Disinfection Efficiency. Appl. Sci. 2023, 13, 12886. [Google Scholar] [CrossRef]
  29. Zhang, C.; Jiang, K.; Sun, X.; Li, D. Recent Progress on AlGaN Based Deep Ultraviolet Light-Emitting Diodes below 250 Nm. Crystals 2022, 12, 1812. [Google Scholar] [CrossRef]
  30. Xu, R.; Kang, Q.; Zhang, Y.; Zhang, X.; Zhang, Z. Research Progress of AlGaN-Based Deep Ultraviolet Light-Emitting Diodes. Micromachines 2023, 14, 844. [Google Scholar] [CrossRef]
  31. Liu, X.; Lv, Z.; Liao, Z.; Sun, Y.; Zhang, Z.; Sun, K.; Zhou, Q.; Tang, B.; Geng, H.; Qi, S.; et al. Highly Efficient AlGaN-Based Deep-Ultraviolet Light-Emitting Diodes: From Bandgap Engineering to Device Craft. Microsyst. Nanoeng. 2024, 10, 110. [Google Scholar] [CrossRef] [PubMed]
  32. Piva, F.; Pilati, M.; Buffolo, M.; Roccato, N.; Susilo, N.; Hauer Vidal, D.; Muhin, A.; Sulmoni, L.; Wernicke, T.; Kneissl, M.; et al. Degradation of AlGaN-Based UV-C SQW LEDs Analyzed by Means of Capacitance Deep-Level Transient Spectroscopy and Numerical Simulations. Appl. Phys. Lett. 2023, 122, 18. [Google Scholar] [CrossRef]
  33. Roccato, N.; Piva, F.; Buffolo, M.; De Santi, C.; Trivellin, N.; Susilo, N.; Vidal, D.H.; Muhin, A.; Sulmoni, L.; Wernicke, T.; et al. Diffusion Mechanism as Cause of Optical Degradation in AlGaN-Based UV-C Leds Investigated by TCAD Simulations. Sci. Rep. 2025, 15, 39655. [Google Scholar] [CrossRef]
  34. Maraj, M.; Min, L.; Sun, W. Reliability Analysis of AlGaN-Based Deep UV-LEDs. Nanomaterials 2022, 12, 3731. [Google Scholar] [CrossRef]
  35. Bolton, J.R.; Cotton, C.A. The Ultraviolet Disinfection Handbook; American Water Works Association: Denver, CO, USA, 2008. [Google Scholar]
  36. Zollner, C.J.; DenBaars, S.P.; Speck, J.S.; Nakamura, S. Germicidal Ultraviolet LEDs: A Review of Applications and Semiconductor Technologies. Semicond. Sci. Technol. 2021, 36, 123001. [Google Scholar] [CrossRef]
  37. Glaab, J.; Haefke, J.; Ruschel, J.; Brendel, M.; Rass, J.; Kolbe, T.; Knauer, A.; Weyers, M.; Einfeldt, S.; Guttmann, M.; et al. Degradation Effects of the Active Region in UV-C Light-Emitting Diodes. J. Appl. Phys. 2018, 123, 104502. [Google Scholar] [CrossRef]
  38. Trivellin, N.; Fiorimonte, D.; Piva, F.; Buffolo, M.; De Santi, C.; Meneghesso, G.; Zanoni, E.; Meneghini, M. Reliability of Commercial UVC LEDs: 2022 State-of-the-Art. Electronics 2022, 11, 728. [Google Scholar] [CrossRef]
  39. Ruschel, J.; Glaab, J.; Susilo, N.; Hagedorn, S.; Walde, S.; Ziffer, E.; Cho, H.K.; Ploch, N.L.; Wernicke, T.; Weyers, M.; et al. Reliability of UVC LEDs Fabricated on AlN/Sapphire Templates with Different Threading Dislocation Densities. Appl. Phys. Lett. 2020, 117, 241104. [Google Scholar] [CrossRef]
  40. Zhang, J.; Zhou, L.; Gao, Y.; Lunev, A.; Zhang, B.; Wu, S. Defect Dynamics and Internal Quantum Efficiency Decay Resultant Ultraviolet C-Band Light-Emitting Diode Lifetime Performance. Phys. Status Solidi (a) 2022, 220, 2200433. [Google Scholar] [CrossRef]
  41. Trivellin, N.; Piva, F.; Buffolo, M.; De Santi, C.; Zanoni, E.; Meneghesso, G.; Meneghini, M. UVC LED Reliability and Its Effect on Disinfection Systems Design. In Proceedings of the Light-Emitting Devices, Materials, and Applications XXVII, San Francisco, CA, USA, 30 January–1 February 2023; Strassburg, M., Kim, J.K., Krames, M.R., Eds.; SPIE: Bellingham, WA, USA, 2023; p. 8. [Google Scholar]
  42. Gryko, Ł.; Błaszczak, U.J.; Kochanowicz, M. Degradation- and Thermal-Related Changes in Selected Electro-Optical Parameters of High-Power 270–280 Nm LEDs. Photonics 2023, 10, 1326. [Google Scholar] [CrossRef]
  43. Chichibu, S.F.; Nagata, K.; Oya, M.; Kasuya, T.; Okuno, K.; Ishiguro, H.; Saito, Y.; Takeuchi, T.; Shima, K. Operation-Induced Degradation Mechanisms of 275-Nm-Band AlGaN-Based Deep-Ultraviolet Light-Emitting Diodes Fabricated on a Sapphire Substrate. Appl. Phys. Lett. 2023, 122, 201105. [Google Scholar] [CrossRef]
  44. Shen, C.-H.; Yang, R.-L.; Gong, H.-L.; Zhu, L.-H.; Gao, Y.-L.; Chen, G.-L.; Chen, Z.; Lu, Y. Optical Power Degradation Mechanisms in 271 Nm AlGaN-Based Deep Ultraviolet Light-Emitting Diodes. Opt. Express 2023, 31, 20265. [Google Scholar] [CrossRef]
  45. Trivellin, N.; Piva, F.; Fiorimonte, D.; Buffolo, M.; De Santi, C.; Zanoni, E.; Meneghesso, G.; Meneghini, M. Performance and Degradation of Commercial UV-C LEDs for Disinfection Purposes. Physica Status Solidi (a) 2023, 220, 2200900. [Google Scholar] [CrossRef]
  46. Trivellin, N.; Monti, D.; Piva, F.; Buffolo, M.; De Santi, C.; Zanoni, E.; Meneghesso, G.; Meneghini, M. Degradation Processes of 280 Nm High Power DUV LEDs: Impact on Parasitic Luminescence. Jpn. J. Appl. Phys. 2019, 58, SCCC19. [Google Scholar] [CrossRef]
  47. Huang, C.-Y.; Hsieh, W.-H.; Shao, T.-L.; Wu, C.-H.; Lu, T.-C. Degradation of High-Power UVC Light-Emitting Diodes via Emission-Activated Nitrogen Vacancy Generation. IEEE Trans. Electron Devices 2023, 70, 3166–3171. [Google Scholar] [CrossRef]
  48. Li, G.-Q.; Wang, W.-L.; Huo, Z.-Y.; Lu, Y.; Hu, H.-Y. Comparison of UV-LED and Low Pressure UV for Water Disinfection: Photoreactivation and Dark Repair of Escherichia Coli. Water Res. 2017, 126, 134–143. [Google Scholar] [CrossRef]
  49. Trivellin, N.; Piva, F.; Fiorimonte, D.; Buffolo, M.; De Santi, C.; Orlandi, V.T.; Dughiero, F.; Meneghesso, G.; Zanoni, E.; Meneghini, M. UV-Based Technologies for SARS-CoV2 Inactivation: Status and Perspectives. Electronics 2021, 10, 1703. [Google Scholar] [CrossRef]
  50. Nyangaresi, P.O.; Qin, Y.; Chen, G.; Zhang, B.; Lu, Y.; Shen, L. Effects of Single and Combined UV-LEDs on Inactivation and Subsequent Reactivation of E. coli in Water Disinfection. Water Res. 2018, 147, 331–341. [Google Scholar] [CrossRef]
  51. Inoue, S.; Tamari, N.; Taniguchi, M. 150 MW Deep-Ultraviolet Light-Emitting Diodes with Large-Area AlN Nanophotonic Light-Extraction Structure Emitting at 265  nm. Appl. Phys. Lett. 2017, 110, 141106. [Google Scholar] [CrossRef]
  52. Meneghini, M.; Piva, F.; De Santi, C.; Trivellin, N.; Buffolo, M.; Roccato, N.; Brescancin, R.; Grigoletto, M.; Fiorimonte, D.; Einfeldt, S.; et al. UV LED Reliability: Degradation Mechanisms and Challenges. In Proceedings of the Gallium Nitride Materials and Devices XVII, San Francisco, CA, USA, 22–27 January 2022; Morkoç, H., Fujioka, H., Schwarz, U.T., Eds.; SPIE: Bellingham, WA, USA, 2022; p. 43. [Google Scholar]
  53. Roccato, N.; Piva, F.; De Santi, C.; Buffolo, M.; Fregolent, M.; Pilati, M.; Susilo, N.; Vidal, D.H.; Muhin, A.; Sulmoni, L.; et al. Modeling the Electrical Degradation of AlGaN-Based UV-C LEDs by Combined Deep-Level Optical Spectroscopy and TCAD Simulations. Appl. Phys. Lett. 2023, 122, 16. [Google Scholar] [CrossRef]
  54. Trivellin, N.; Piva, F.; De Santi, C.; Caria, A.; Buffolo, M.; Meneghesso, G.; Zanoni, E.; Meneghini, M. Undestanding Commercial UVC LEDs Reliability to Boost Disinfection Efficacy. In Proceedings of the Light-Emitting Devices, Materials, and Applications XXVIII, San Francisco, CA, USA, 29–31 January 2024; Strassburg, M., Kim, J.K., Krames, M.R., Eds.; SPIE: Bellingham, WA, USA, 2024; p. 28. [Google Scholar]
  55. Nieland, S.; Weizman, M.; Mitrenga, D.; Rotsch, P.; Schaedel, M.; Brodersen, O.; Ortlepp, T. Discussion on Reliability Issues for UVB and UVC LED-Based Devices. In Proceedings of the Light-Emitting Devices, Materials, and Applications, San Francisco, CA, USA, 4–7 February 2019; Strassburg, M., Kim, J.K., Krames, M.R., Eds.; SPIE: Bellingham, WA, USA, 2019; p. 8. [Google Scholar]
  56. Letson, B.C.; Barke, S.; Wass, P.; Mueller, G.; Ren, F.; Pearton, S.J.; Conklin, J.W. Deep UV AlGaN LED Reliability for Long Duration Space Missions. J. Vac. Sci. Technol. A 2023, 41, 013202. [Google Scholar] [CrossRef]
  57. Hegedüs, J.; Hantos, G.; Lukács, M.; Bodnár, B.; Lipák, G.; Poppe, A. Lifetime Test of Pulsewidth Modulated LEDs Supplemented With Thermal Investigations. IEEE Trans. Compon. Packag. Manuf. Technol. 2023, 13, 1121–1129. [Google Scholar] [CrossRef]
  58. Bhattarai, T.; Ebong, A.; Raja, M. A Review of Light-Emitting Diodes and Ultraviolet Light-Emitting Diodes and Their Applications. Photonics 2024, 11, 491. [Google Scholar] [CrossRef]
  59. Ruschel, J.; Glaab, J.; Beidoun, B.; Ploch, N.L.; Rass, J.; Kolbe, T.; Knauer, A.; Weyers, M.; Einfeldt, S.; Kneissl, M. Current-Induced Degradation and Lifetime Prediction of 310 Nm Ultraviolet Light-Emitting Diodes. Photonics Res. 2019, 7, B36. [Google Scholar] [CrossRef]
  60. Glaab, J.; Ploch, C.; Kelz, R.; Stölmacker, C.; Lapeyrade, M.; Ploch, N.L.; Rass, J.; Kolbe, T.; Einfeldt, S.; Mehnke, F.; et al. Degradation of (InAlGa)N-Based UV-B Light Emitting Diodes Stressed by Current and Temperature. J. Appl. Phys. 2015, 118, 094504. [Google Scholar] [CrossRef]
  61. Su, M.; Liu, H.; Liu, C. Investigation of Thermal Accumulation and Lifetime in AlGaN-Based UV-C LEDs Degradation under Current Stress. J. Mater. Sci. Mater. Electron. 2025, 36, 2106. [Google Scholar] [CrossRef]
  62. Gong, M.; Sun, X.; Lei, C.; Liang, T.; Li, F.; Xie, Y.; Li, J.; Liu, N. Study on the Degradation Performance of AlGaN-Based Deep Ultraviolet LEDs under Thermal and Electrical Stress. Coatings 2024, 14, 904. [Google Scholar] [CrossRef]
  63. Meneghini, M.; De Santi, C.; Tibaldi, A.; Vallone, M.; Bertazzi, F.; Meneghesso, G.; Zanoni, E.; Goano, M. Thermal Droop in III-Nitride Based Light-Emitting Diodes: Physical Origin and Perspectives. J. Appl. Phys. 2020, 127, 211102. [Google Scholar] [CrossRef]
  64. Chen, Y.; Ben, J.; Xu, F.; Li, J.; Chen, Y.; Sun, X.; Li, D. Review on the Progress of AlGaN-Based Ultraviolet Light-Emitting Diodes. Fundam. Res. 2021, 1, 717–734. [Google Scholar] [CrossRef]
  65. Gu, Y.; Zhang, Z.; Shan, X.; Ruan, Y.; Shen, D.; Zhang, S.; Cui, X.; Tian, P. Research on Degradation Characteristics of 253 Nm AlGaN-Based Micro-LEDs for Charge Management Application. Opt. Express 2025, 33, 15327. [Google Scholar] [CrossRef]
  66. Fan, J.; Jing, Z.; Cao, Y.; Ibrahim, M.S.; Li, M.; Fan, X.; Zhang, G. Prognostics of Radiation Power Degradation Lifetime for Ultraviolet Light-Emitting Diodes Using Stochastic Data-Driven Models. Energy AI 2021, 4, 100066. [Google Scholar] [CrossRef]
  67. De Santi, C.; Monti, D.; Dalapati, P.; Meneghini, M.; Meneghesso, G.; Zanoni, E. Reliability of Ultraviolet Light-Emitting Diodes. In Light-Emitting Diodes: Materials, Processes, Devices and Applications; Springer International Publishing: Berlin/Heidelberg, Germany, 2019; pp. 397–424. [Google Scholar]
Figure 1. Schematic diagram of the laboratory stand used for ageing and characterisation of UVC LEDs.
Figure 1. Schematic diagram of the laboratory stand used for ageing and characterisation of UVC LEDs.
Applsci 16 00483 g001
Figure 2. Optical output power decay of 260 nm UVC LEDs (group A) over time under various drive conditions (measured at I = 150 mA, Ths = 25 °C). Mean degradation curves with shaded ±1 SD bands (95% confidence intervals) are shown for the nominal operated current population A4–A8. LED A11 exhibits catastrophic failure at ~1600 h.
Figure 2. Optical output power decay of 260 nm UVC LEDs (group A) over time under various drive conditions (measured at I = 150 mA, Ths = 25 °C). Mean degradation curves with shaded ±1 SD bands (95% confidence intervals) are shown for the nominal operated current population A4–A8. LED A11 exhibits catastrophic failure at ~1600 h.
Applsci 16 00483 g002
Figure 3. Optical output power decay of 265 nm UVC LEDs (group B) over time under various drive conditions (measured at I = 150 mA, Ths = 25 °C). Mean degradation curves with shaded ±1 SD bands (95% confidence intervals) are shown for the nominal operated current population B4–B8.
Figure 3. Optical output power decay of 265 nm UVC LEDs (group B) over time under various drive conditions (measured at I = 150 mA, Ths = 25 °C). Mean degradation curves with shaded ±1 SD bands (95% confidence intervals) are shown for the nominal operated current population B4–B8.
Applsci 16 00483 g003
Figure 4. Optical power degradation from 0 h to 2000 h as a function of drive current for 260 nm and 265 nm LEDs.
Figure 4. Optical power degradation from 0 h to 2000 h as a function of drive current for 260 nm and 265 nm LEDs.
Applsci 16 00483 g004
Figure 5. Drive current required to maintain constant optical power of LEDs over time, adjusted to compensate for the optical power degradation. The optical power was stabilised at the initial value measured at nominal operating current and time 0 h for new LEDs A10 (260 nm) and B10 (265 nm).
Figure 5. Drive current required to maintain constant optical power of LEDs over time, adjusted to compensate for the optical power degradation. The optical power was stabilised at the initial value measured at nominal operating current and time 0 h for new LEDs A10 (260 nm) and B10 (265 nm).
Applsci 16 00483 g005
Figure 6. Interpolation and extrapolation of optical power decay for representative LEDs—A4 (a) and B6 (b) operated at nominal operating current. In (b), the fitted curves corresponding to the two-exponential and three-exponential functions overlap.
Figure 6. Interpolation and extrapolation of optical power decay for representative LEDs—A4 (a) and B6 (b) operated at nominal operating current. In (b), the fitted curves corresponding to the two-exponential and three-exponential functions overlap.
Applsci 16 00483 g006
Figure 7. Optical output power decay of 260 nm UVC LEDs (A1–A12) over time under various drive conditions (measured at I = 100 mA, Ths = 25 °C) interpolated with Ruschel function.
Figure 7. Optical output power decay of 260 nm UVC LEDs (A1–A12) over time under various drive conditions (measured at I = 100 mA, Ths = 25 °C) interpolated with Ruschel function.
Applsci 16 00483 g007
Figure 8. Optical output power decay of 265 nm UVC LEDs (B1–B12) over time under various drive conditions (measured at I = 250 mA, Ths = 25 °C) interpolated with Ruschel function.
Figure 8. Optical output power decay of 265 nm UVC LEDs (B1–B12) over time under various drive conditions (measured at I = 250 mA, Ths = 25 °C) interpolated with Ruschel function.
Applsci 16 00483 g008
Figure 9. L70, L80, and L90 lifetimes of 265 nm LEDs.
Figure 9. L70, L80, and L90 lifetimes of 265 nm LEDs.
Applsci 16 00483 g009
Figure 10. L50, L70, L80, and L90 lifetimes of 260 nm LEDs.
Figure 10. L50, L70, L80, and L90 lifetimes of 260 nm LEDs.
Applsci 16 00483 g010
Figure 11. Optical power ratio OP150mA/OP100mA for 260 nm LEDs (A) and OP350mA/OP250mA for 265 nm LEDs (B) as a function of ageing time (Ths = 25 °C).
Figure 11. Optical power ratio OP150mA/OP100mA for 260 nm LEDs (A) and OP350mA/OP250mA for 265 nm LEDs (B) as a function of ageing time (Ths = 25 °C).
Applsci 16 00483 g011
Figure 12. Normalised optical power as a function of drive current, referenced to the optical power at the nominal operating current, for 260 nm (A4–A8) and 265 nm (B4–B8) LEDs before and after the 2000-h degradation process, measured at Ths = 25 °C.
Figure 12. Normalised optical power as a function of drive current, referenced to the optical power at the nominal operating current, for 260 nm (A4–A8) and 265 nm (B4–B8) LEDs before and after the 2000-h degradation process, measured at Ths = 25 °C.
Applsci 16 00483 g012
Figure 13. Relative optical power as a function of drive current, obtained by normalising the OP measured at 2000 h of ageing to the initial OP at 0 h, for 260 nm and 265 nm LEDs, Ths = 25 °C.
Figure 13. Relative optical power as a function of drive current, obtained by normalising the OP measured at 2000 h of ageing to the initial OP at 0 h, for 260 nm and 265 nm LEDs, Ths = 25 °C.
Applsci 16 00483 g013
Figure 14. Normalised optical power as a function of heat sink temperature, referenced to the optical power at Ths = 25 °C, for 260 nm (A4–A8) and 265 nm (B4–B8) LEDs, measured at nominal operating current before and after the 2000-h ageing process.
Figure 14. Normalised optical power as a function of heat sink temperature, referenced to the optical power at Ths = 25 °C, for 260 nm (A4–A8) and 265 nm (B4–B8) LEDs, measured at nominal operating current before and after the 2000-h ageing process.
Applsci 16 00483 g014
Figure 15. Estimated emitted energy of 260 nm LEDs during the lifetimes L90, L80, L70, and L50.
Figure 15. Estimated emitted energy of 260 nm LEDs during the lifetimes L90, L80, L70, and L50.
Applsci 16 00483 g015
Figure 16. Estimated emitted energy of 265 nm LEDs during the lifetimes L90, L80, and L70.
Figure 16. Estimated emitted energy of 265 nm LEDs during the lifetimes L90, L80, and L70.
Applsci 16 00483 g016
Figure 17. Lifetime increase of LEDs group A as a function of drive current decrease relative to the initial operating current of each downrating step, for high operating currents (from 150 to 100, 150 to 80, 150 to 60, 150 to 40, 100 to 80, and 100 to 60 mA) (left) and medium operating currents (from 150 to 40, 100 to 40, 80 to 60, 80 to 40, and 60 to 40 mA) (right).
Figure 17. Lifetime increase of LEDs group A as a function of drive current decrease relative to the initial operating current of each downrating step, for high operating currents (from 150 to 100, 150 to 80, 150 to 60, 150 to 40, 100 to 80, and 100 to 60 mA) (left) and medium operating currents (from 150 to 40, 100 to 40, 80 to 60, 80 to 40, and 60 to 40 mA) (right).
Applsci 16 00483 g017
Figure 18. Emitted energy increase of LEDs group A as a function of drive current decrease relative to the initial operating current of each downrating step, for high operating currents (from 150 to 100, 150 to 80, 150 to 60, 150 to 40, 100 to 80, 100 to 60 mA) (left) and medium operating currents (from 150 to 40, 100 to 40, 80 to 60, 80 to 40, 60 to 40 mA) (right).
Figure 18. Emitted energy increase of LEDs group A as a function of drive current decrease relative to the initial operating current of each downrating step, for high operating currents (from 150 to 100, 150 to 80, 150 to 60, 150 to 40, 100 to 80, 100 to 60 mA) (left) and medium operating currents (from 150 to 40, 100 to 40, 80 to 60, 80 to 40, 60 to 40 mA) (right).
Applsci 16 00483 g018
Figure 19. Projected lifetime (L90, L80, L70, and L50) as a function of the operating current for LEDs group A.
Figure 19. Projected lifetime (L90, L80, L70, and L50) as a function of the operating current for LEDs group A.
Applsci 16 00483 g019
Table 1. Key parameters of the tested UVC LEDs (from datasheet). HTOL = High-Temperature Operating Life test condition specified by the manufacturer, *—the thermal resistance from chip junction to case of LED, **—the thermal resistance from chip junction to bottom of MCPCB.
Table 1. Key parameters of the tested UVC LEDs (from datasheet). HTOL = High-Temperature Operating Life test condition specified by the manufacturer, *—the thermal resistance from chip junction to case of LED, **—the thermal resistance from chip junction to bottom of MCPCB.
LED
Type
Peak
Wavelength
(nm)
OP at Nominal
Operating
Current
(mW@mA)
Nominal
Operating
Current
(mA)
Max
Operating
Current
(mA)
FWHM
(nm)
CHIP
Size
(mm2)
Current at
100 mA/cm2
(mA)
Thermal
Resistance
(K/W)
HTOL
Test
A26010@100100150130.508 × 0.508140.68 *Ta = 60 °C
I = 150 mA
t = 1000 h
B265100@250250350111.25 × 1.12525.810 **Ta = 60 °C
I = 250 mA
t = 1000 h
Table 2. Calculated junction temperature of UVC LEDs at the beginning of the ageing test (Ths = 60 °C). *—0 h, **—2000 h.
Table 2. Calculated junction temperature of UVC LEDs at the beginning of the ageing test (Ths = 60 °C). *—0 h, **—2000 h.
(a)
LEDA1A2A3A4A5A6A7A8A9A10A11A12
Tj [°C]62636466666666666966 * 90 **6460
(b)
LEDB1B2B3B4B5B6B7B8B9B10B11B12
Tj [°C]65687075757474758073 * 79 **6460
Table 3. Test conditions for 260 nm (group A) and 265 nm (group B) LEDs. *—average current (for PWM operation at 50% duty cycle).
Table 3. Test conditions for 260 nm (group A) and 265 nm (group B) LEDs. *—average current (for PWM operation at 50% duty cycle).
LED NumberCurrentGroup A
Current
(mA)
Group B
Current
(mA)
Group A
Current Density
(mA/cm2)
Group B
Current Density
(mA/cm2)
Quantity
A1, B140% Inom40100155711 each
A2, B260% Inom601502331071 each
A3, B380% Inom802003101421 each
A4–B8, B4–B8Inom1002503881785 each
A9, B9Imax1503505812491 each
A10, B10Regulated, OP = constant100 → 478250 → 324388 → 1852178 → 2301 each
A11, B11PWM (50% duty, 10 kHz)150 (75 *)150 (75 *)581 (290 *)107 (53 *)1 each
A12, B121 mA113.90.71 each
Table 4. Functions describing optical power degradation over time.
Table 4. Functions describing optical power degradation over time.
FunctionEquation
One-phase exponential decay O P ( t ) = O P 0 · e t τ 1
Two-phase exponential decay O P ( t ) = A · e t τ 1 + B · e t τ 2
Three-phase exponential decay O P ( t ) = A · e t τ 1 + B · e t τ 2 + C · e t τ 3
Ruschel model [59] O P t = β · l n α · j 3 t + e 1 β
Zhang model [40] O P t = A 0 + H A 0 · l n k · e a t k + e + H
Glaab model [60] O P ( t ) = O P 0 O P m 2 · t 1 / 2
OP0—initial optical power, ΔOP—initial fast decay of optical power, A, B, C, D, β, α, A0, H, k, a, m2—constants for a given current density, j—current density, τ1, τ2, τ3—time constant, t—time.
Table 5. Optical power degradation (percentage loss) observed during the initial characterisation (“burn-in”) of UVC LEDs, measured at the nominal operating current (100 mA for Type A LEDs and 250 mA for Type B LEDs) at Ths = 25 °C. Each value represents the relative decrease in optical output after the first several minutes of operation compared to the very initial output.
Table 5. Optical power degradation (percentage loss) observed during the initial characterisation (“burn-in”) of UVC LEDs, measured at the nominal operating current (100 mA for Type A LEDs and 250 mA for Type B LEDs) at Ths = 25 °C. Each value represents the relative decrease in optical output after the first several minutes of operation compared to the very initial output.
LED Number123456789101112Average
Type A−3.8%−3.1%−3.0%−1.7%−1.7%−1.0%−2.3%−1.2%−3.3%−3.6%−2.9%−2.8%−2.5%
Type B−4.9%−4.7%−4.8%−1.4%−3.1%−3.3%−3.1%−3.8%−3.3%−4.1%−3.9%−4.2%−3.7%
Table 6. Lifetimes (L50 for A4, L70 for B6) determined by each modelling function.
Table 6. Lifetimes (L50 for A4, L70 for B6) determined by each modelling function.
One-Phase
Exponential
Two-Phase
Exponential
Three-Phase
Exponential
RuschelZhangGlaab
A4, L50 (h)29474398668413,48770553747
B6, L70 (h)2966--29,69769153975
Table 7. Estimated operational lifetimes (L50, L70, L80, and L90) of 265 nm LEDs. Values exceeding 106 h arise from model-based extrapolation and are beyond the practically meaningful prediction range.
Table 7. Estimated operational lifetimes (L50, L70, L80, and L90) of 265 nm LEDs. Values exceeding 106 h arise from model-based extrapolation and are beyond the practically meaningful prediction range.
LEDB1B2B3B4B5B6B7B8B4–B8B9B10
Current (mA)100150200250250250250250250350250 → 324
L90 (h)8011631.4 × 1035832661183461.02 × 103374735423
L80 (h)45.7 × 1036.5 × 10319.8 × 1038.9 × 1065.4 × 1031.9 × 1033.5 × 10318.2 × 1036.9 × 1035.5 × 1032.6 × 103
L70 (h)2.6 × 10680 × 103262 × 103136 × 109106 × 10330 × 10332.6 × 103309 × 103122 × 10336.4 × 10313.4 × 103
L50 (h)8 × 10912 × 10645 × 10632 × 101840 × 10671 × 10628 × 10688 × 10637 × 1061.5 × 106346 × 103
Table 8. Estimated operational lifetimes (L50, L70, L80, and L90) of 260 nm LEDs.
Table 8. Estimated operational lifetimes (L50, L70, L80, and L90) of 260 nm LEDs.
LEDA1A2A3A4A5A6A7A8A4–A8A9A10A11
Current (mA)406080100100100100100100150100 → 478150 PWM
L90 (h)2.3 × 103594220817665858778117961
L80 (h)11.5 × 1032.8 × 1031.07 × 10334532126233234331942217227
L70 (h)51.5 × 10311.7 × 1034.4 × 1031.22 × 1031.12 × 1038701.07 × 1031.10 × 1031.07 × 103135377675
L50 (h)975 × 103184.4 × 10367.3 × 10313.7 × 10312.1 × 1038.4 × 1039.9 × 10310.1 × 10310.6 × 1031.18 × 103780-
Table 9. Spectral parameters of 260 nm LEDs, measured before and after 2000-h degradation.
Table 9. Spectral parameters of 260 nm LEDs, measured before and after 2000-h degradation.
ParameterTime (h)A1A2A3A4A5A6A7A8A9A10A11A12
λp (nm)0260.5260.5261260260.5260260.5260.5261260.5260260
2000260.5261261260.5260.5260.5260.5260.5261259.5-260.5
FWHM (nm)012.51313131313131312.51313.512.5
200012.512.51312.512.513131312.513-12.5
Table 10. Spectral parameters of 265 nm LEDs, measured before and after 2000-h degradation.
Table 10. Spectral parameters of 265 nm LEDs, measured before and after 2000-h degradation.
ParameterTime (h)B1B2B3B4B5B6B7B8B9B10B11B12
λp (nm)0263.5265266.5268.5268264269.5267266265.5266.5266
2000264265266.5269268264.5270267265.5265.5267265.5
FWHM (nm)011.511.510111111111110.5111110.5
200011.51110.5111111111110.510.51111
Table 11. Estimated emitted energy of 260 nm LEDs during the lifetimes L90, L80, L70, and L50, together with the cumulated emitted energy after 2000 h of operation (E2000h).
Table 11. Estimated emitted energy of 260 nm LEDs during the lifetimes L90, L80, L70, and L50, together with the cumulated emitted energy after 2000 h of operation (E2000h).
LEDA1A2A3A4A5A6A7A8A4–A8A9A10A11
Drive current (mA)406080100100100100100100150100 → 478150 PWM
EL90 (kJ)39.013.66.22.82.62.22.92.92.70.62.81.1
EL80 (kJ)18059.227.610.810.08.210.410.710.01.87.83.6
EL70 (kJ)71621810134.031.324.430.131.129.95.213.69.5
EL50 (kJ)10.1 × 1032.56 × 1031.16 × 10328625417820922022434.128.0-
E2000h (kJ)34.542.749.353.152.651.252.553.152.452.972.019.9
Table 12. Estimated emitted energy of 265 nm LEDs during the lifetimes L90, L80, and L70, together with the cumulated emitted energy after 2000 h of operation (E2000h). Empty cells indicate cases where extrapolation became non-physical; such values were intentionally omitted to avoid misleading interpretation.
Table 12. Estimated emitted energy of 265 nm LEDs during the lifetimes L90, L80, and L70, together with the cumulated emitted energy after 2000 h of operation (E2000h). Empty cells indicate cases where extrapolation became non-physical; such values were intentionally omitted to avoid misleading interpretation.
LEDB1B2B3B4B5B6B7B8B4–B8B9B10
Drive
current (mA)
100150200250250250250250250350250 → 324
EL90 (kJ)115363851918940117342125326152
EL80 (MJ)5.851.254.91-1.630.591.075.482.082.210.92
EL70 (MJ)-13.557.2-28.07.988.7581.932.313.04.82
E2000h (kJ)280403544647624601624655631850720
Disclaimer/Publisher’s Note: The statements, opinions and data contained in all publications are solely those of the individual author(s) and contributor(s) and not of MDPI and/or the editor(s). MDPI and/or the editor(s) disclaim responsibility for any injury to people or property resulting from any ideas, methods, instructions or products referred to in the content.

Share and Cite

MDPI and ACS Style

Gryko, Ł.; Skłodowski, S.; Błaszczak, U.J. Optical Degradation and Lifetime Assessment of 260–265 nm AlGaN-Based UVC LEDs Under Varying Drive-Current Regimes for Disinfection Systems. Appl. Sci. 2026, 16, 483. https://doi.org/10.3390/app16010483

AMA Style

Gryko Ł, Skłodowski S, Błaszczak UJ. Optical Degradation and Lifetime Assessment of 260–265 nm AlGaN-Based UVC LEDs Under Varying Drive-Current Regimes for Disinfection Systems. Applied Sciences. 2026; 16(1):483. https://doi.org/10.3390/app16010483

Chicago/Turabian Style

Gryko, Łukasz, Sebastian Skłodowski, and Urszula Joanna Błaszczak. 2026. "Optical Degradation and Lifetime Assessment of 260–265 nm AlGaN-Based UVC LEDs Under Varying Drive-Current Regimes for Disinfection Systems" Applied Sciences 16, no. 1: 483. https://doi.org/10.3390/app16010483

APA Style

Gryko, Ł., Skłodowski, S., & Błaszczak, U. J. (2026). Optical Degradation and Lifetime Assessment of 260–265 nm AlGaN-Based UVC LEDs Under Varying Drive-Current Regimes for Disinfection Systems. Applied Sciences, 16(1), 483. https://doi.org/10.3390/app16010483

Note that from the first issue of 2016, this journal uses article numbers instead of page numbers. See further details here.

Article Metrics

Back to TopTop