Microneedle-Array-Electrode-Based ECG with PPG Sensor for Cuffless Blood Pressure Estimation
Abstract
1. Introduction
2. Materials and Methods
2.1. Fabrication of MNE
2.2. Measurement of Biosignals
2.3. Biosignal Processing
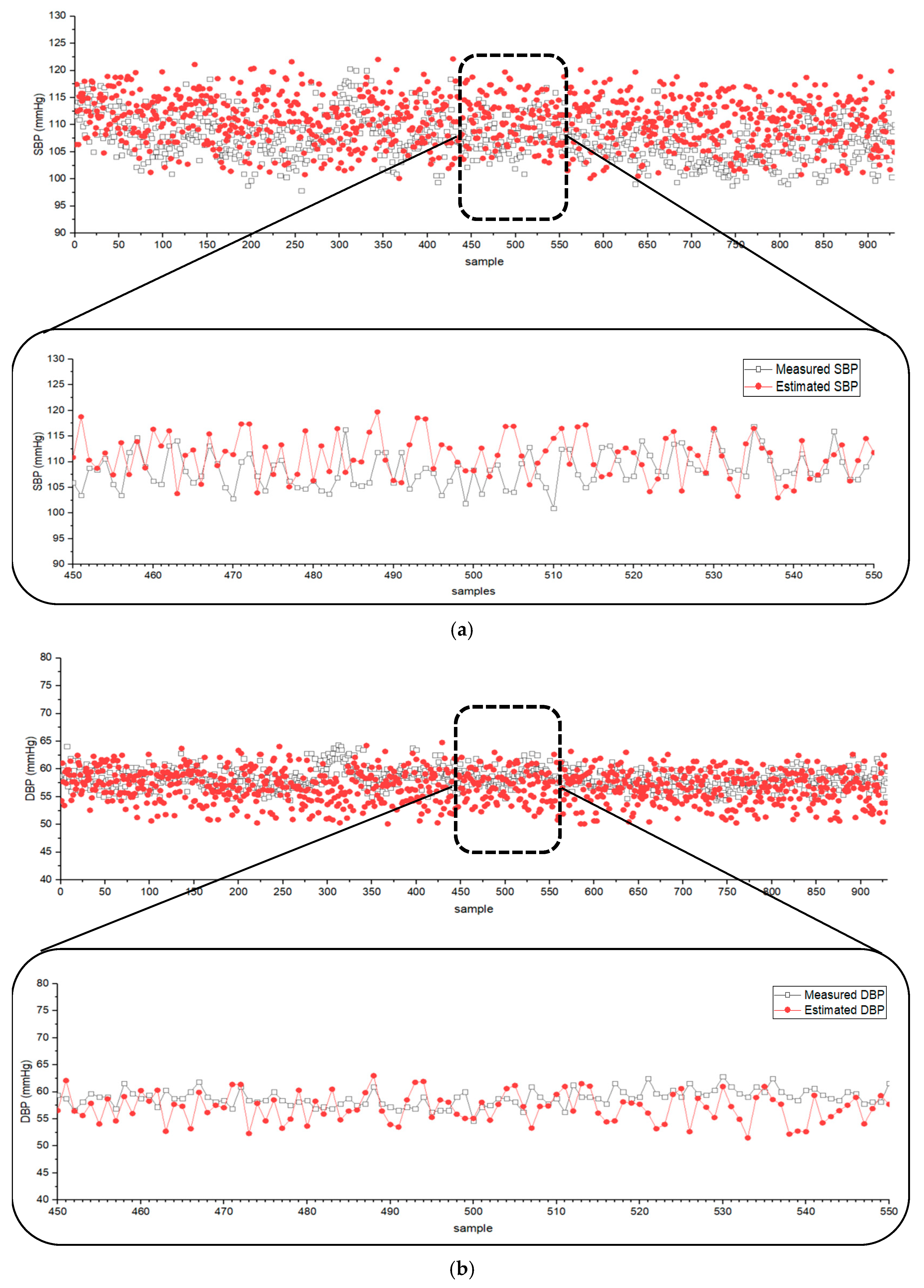
3. Results and Discussion
4. Conclusions
Author Contributions
Funding
Institutional Review Board Statement
Informed Consent Statement
Data Availability Statement
Conflicts of Interest
Abbreviations
| ADC | Analog digital converter |
| BCG | Ballistocardiography |
| BP | Blood pressure |
| DBP | Diastolic BP |
| ECG | Electrocardiogram |
| FFT | Fast Fourier transform |
| MIMIC | Medical Information Mart for Intensive Care |
| MNE | Microneedle array electrodes |
| PPG | Photoplethysmogram |
| PTT | Pulse transit time |
| SBP | Systolic BP |
| SCG | Seismocardiography |
References
- Stavridou, A.; Kapsali, E.; Panagouli, E.; Thirios, A.; Polychronis, K.; Bacopoulou, F.; Psaltopoulou, T.; Tsolia, M.; Sergentanis, T.N.; Tsitsika, A. Obesity in Children and Adolescents during COVID-19 Pandemic. Children 2021, 8, 135. [Google Scholar] [CrossRef]
- Durukan, B.N.; Vardar Yagli, N.; Calik Kutukcu, E.; Sener, Y.Z.; Tokgozoglu, L. Health related behaviours and physical activity level of hypertensive individuals during COVID-19 pandemic. Int. J. Rehabil. Res. 2022, 45, 176–183. [Google Scholar] [CrossRef]
- Angeli, F.; Zappa, M.; Oliva, F.M.; Spanevello, A.; Verdecchia, P. Blood pressure increase during hospitalization for COVID-19. Eur. J. Intern. Med. 2022, 104, 110–112. [Google Scholar] [CrossRef] [PubMed]
- Citoni, B.; Figliuzzi, I.; Presta, V.; Volpe, M.; Tocci, G. Home Blood Pressure and Telemedicine: A Modern Approach for Managing Hypertension During and After COVID-19 Pandemic. High Blood Press. Cardiovasc. Prev. 2022, 29, 1–14. [Google Scholar] [CrossRef]
- Fuchs, F.D.; Whelton, P.K. High Blood Pressure and Cardiovascular Disease. Hypertension 2020, 75, 285–292. [Google Scholar] [CrossRef] [PubMed]
- Lu, Y.; Tang, O.; Brady, T.M.; Miller, E.R.; Heiss, G.; Appel, L.J.; Matsushita, K. Simplified blood pressure measurement approaches and implications for hypertension screening: The Atherosclerosis Risk in Communities study. J. Hypertens. 2021, 39, 447–452. [Google Scholar] [CrossRef]
- Ganti, V.G.; Carek, A.M.; Nevius, B.N.; Heller, J.A.; Etemadi, M.; Inan, O.T. Wearable Cuff-Less Blood Pressure Estimation at Home via Pulse Transit Time. IEEE J. Biomed. Health Inform. 2021, 25, 1926–1937. [Google Scholar] [CrossRef] [PubMed]
- Figini, V.; Galici, S.; Russo, D.; Centonze, I.; Visintin, M.; Pagana, G. Improving Cuff-Less Continuous Blood Pressure Estimation with Linear Regression Analysis. Electronics 2022, 11, 1442. [Google Scholar] [CrossRef]
- Brophy, E.; De Vos, M.; Boylan, G.; Ward, T. Estimation of Continuous Blood Pressure from PPG via a Federated Learning Approach. Sensors 2021, 21, 6311. [Google Scholar] [CrossRef]
- Fati, S.M.; Muneer, A.; Akbar, N.A.; Taib, S.M. A Continuous Cuffless Blood Pressure Estimation Using Tree-Based Pipeline Optimization Tool. Symmetry 2021, 13, 686. [Google Scholar] [CrossRef]
- Chowdhury, M.H.; Shuzan, M.N.I.; Chowdhury, M.E.H.; Mahbub, Z.B.; Uddin, M.M.; Khandakar, A.; Reaz, M.B.I. Estimating Blood Pressure from the Photoplethysmogram Signal and Demographic Features Using Machine Learning Techniques. Sensors 2020, 20, 3127. [Google Scholar] [CrossRef]
- Lee, D.; Kwon, H.; Son, D.; Eom, H.; Park, C.; Lim, Y.; Seo, C.; Park, K. Beat-to-Beat Continuous Blood Pressure Estimation Using Bidirectional Long Short-Term Memory Network. Sensors 2020, 21, 96. [Google Scholar] [CrossRef] [PubMed]
- Chuang, C.C.; Lee, C.C.; Yeng, C.H.; So, E.C.; Chen, Y.J. Attention Mechanism-Based Convolutional Long Short-Term Memory Neural Networks to Electrocardiogram-Based Blood Pressure Estimation. Appl. Sci. 2021, 11, 12019. [Google Scholar] [CrossRef]
- Song, K.; Park, T.J.; Chang, J.H. Novel Data Augmentation Employing Multivariate Gaussian Distribution for Neural Network-Based Blood Pressure Estimation. Appl. Sci. 2021, 11, 3923. [Google Scholar] [CrossRef]
- Hu, Q.; Wang, D.; Yang, C. PPG-based blood pressure estimation can benefit from scalable multi-scale fusion neural networks and multi-task learning. Biomed. Signal Process. Control. 2022, 78, 103891. [Google Scholar] [CrossRef]
- Tanveer, M.d.S.; Hasan, M.d.K. Cuffless blood pressure estimation from electrocardiogram and photoplethysmogram using waveform based ANN-LSTM network. Biomed. Signal Process. Control. 2019, 51, 382–392. [Google Scholar] [CrossRef]
- Liu, S.H.; Sun, Y.; Wu, B.Y.; Chen, W.; Zhu, X. Using machine learning models for cuffless blood pressure estimation with ballistocardiogram and impedance plethysmogram. Front. Digit. Health 2025, 7, 1511667. [Google Scholar] [CrossRef]
- Chen, G.; Zou, L.; Ji, Z. A review: Blood pressure monitoring based on PPG and circadian rhythm. APL Bioeng. 2024, 8, 031501. [Google Scholar] [CrossRef]
- Vasilevskyi, O.; Trishch, R.; Sarana, V.; Yakovlev, M.; Popovici, E. Experimental analysis of blood pressure estimation using electrocardiography and photoplethysmography signals from fingertip measurements. Acta IMEKO 2025, 14, 1–9. [Google Scholar] [CrossRef]
- Satti, A.T.; Park, J.; Park, J.; Kim, H.; Cho, S. Fabrication of Parylene-Coated Microneedle Array Electrode for Wearable ECG Device. Sensors 2020, 20, 5183. [Google Scholar] [CrossRef] [PubMed]
- O’Mahony, C.; Pini, F.; Blake, A.; Webster, C.; O’Brien, J.; McCarthy, K.G. Microneedle-based electrodes with integrated through-silicon via for biopotential recording. Sens. Actuators A Phys. 2012, 186, 130–136. [Google Scholar] [CrossRef]
- Chen, K.; Ren, L.; Chen, Z.; Pan, C.; Zhou, W.; Jiang, L. Fabrication of Micro-Needle Electrodes for Bio-Signal Recording by a Magnetization-Induced Self-Assembly Method. Sensors 2016, 16, 1533. [Google Scholar] [CrossRef] [PubMed]
- Kim, M.; Kim, T.; Kim, D.; Chung, W. Curved Microneedle Array-Based sEMG Electrode for Robust Long-Term Measurements and High Selectivity. Sensors 2015, 15, 16265–16280. [Google Scholar] [CrossRef]
- Erdem, Ö.; Eş, I.; Akceoglu, G.A.; Saylan, Y.; Inci, F. Recent Advances in Microneedle-Based Sensors for Sampling, Diagnosis and Monitoring of Chronic Diseases. Biosensors 2021, 11, 296. [Google Scholar] [CrossRef]
- Li, J.; Ma, Y.; Huang, D.; Wang, Z.; Zhang, Z.; Ren, Y.; Hong, M.; Chen, Y.; Li, T.; Shi, X.; et al. High-Performance Flexible Microneedle Array as a Low-Impedance Surface Biopotential Dry Electrode for Wearable Electrophysiological Recording and Polysomnography. Nanomicro Lett. 2022, 14, 132. [Google Scholar] [CrossRef]
- Liang, Y.; Chen, Z.; Ward, R.; Elgendi, M. Hypertension Assessment via ECG and PPG Signals: An Evaluation Using MIMIC Database. Diagnostics 2018, 8, 65. [Google Scholar] [CrossRef]
- Kim, S.; Xiao, X.; Chen, J. Advances in Photoplethysmography for Personalized Cardiovascular Monitoring. Biosensors 2022, 12, 863. [Google Scholar] [CrossRef]
- Liang, Y.; Abbott, D.; Howard, N.; Lim, K.; Ward, R.; Elgendi, M. How Effective Is Pulse Arrival Time for Evaluating Blood Pressure? Challenges and Recommendations from a Study Using the MIMIC Database. J. Clin. Med. 2019, 8, 337. [Google Scholar] [CrossRef]
- Johnson, A.E.W.; Stone, D.J.; Celi, L.A.; Pollard, T.J. The MIMIC Code Repository: Enabling reproducibility in critical care research. J. Am. Med. Inform. Assoc. 2018, 25, 32–39. [Google Scholar] [CrossRef] [PubMed]
- ANSI/AAMI/ISO 81060-2:2013; Non-Invasive Sphygmomanometers—Part 2: Clinical Investigation of Automated Measurement Type. Association for the Advancement of Medical Instrumentation: Arlington, VA, USA, 2013.
- Sanches, I.; Gomes, V.V.; Caetano, C.; Cabrera, L.S.B.; Cene, V.H.; Beltrame, T.; Lee, W.; Baek, S.; Penatti, O.A.B. MIMIC-BP: A curated dataset for blood pressure estimation. Sci. Data 2024, 11, 1233. [Google Scholar] [CrossRef]
- Pal, R.; Le, J.; Rudas, A.; Chiang, J.N.; Williams, T.; Alexander, B.; Joosten, A.; Cannesson, M. A review of machine learning methods for non-invasive blood pressure estimation. J. Clin. Monit. Comput. 2024, 39, 95–106. [Google Scholar] [CrossRef]
- Berkebile, J.A.; Mabrouk, S.A.; Ganti, V.G.; Srivatsa, A.V.; Sanchez-Perez, J.A.; Inan, O.T. Towards Estimation of Tidal Volume and Respiratory Timings via Wearable-Patch-Based Impedance Pneumography in Ambulatory Settings. IEEE Trans. Biomed. Eng. 2022, 69, 1909–1919. [Google Scholar] [CrossRef] [PubMed]
- Esmaili, A.; Kachuee, M.; Shabany, M. Nonlinear Cuffless Blood Pressure Estimation of Healthy Subjects Using Pulse Transit Time and Arrival Time. IEEE Trans. Instrum. Meas. 2017, 66, 3299–3308. [Google Scholar] [CrossRef]
- Harfiya, L.N.; Chang, C.C.; Li, Y.H. Continuous Blood Pressure Estimation Using Exclusively Photopletysmography by LSTM-Based Signal-to-Signal Translation. Sensors 2021, 21, 2952. [Google Scholar] [CrossRef] [PubMed]
- Li, Y.H.; Harfiya, L.N.; Purwandari, K.; Lin, Y.D. Real-Time Cuffless Continuous Blood Pressure Estimation Using Deep Learning Model. Sensors 2020, 20, 5606. [Google Scholar] [CrossRef]






| Study (Year) | Modality/Signals | Core Approach | Dataset/Subjects | Calibration | Reported Accuracy | AAMI/ISO or IEEE1708 |
|---|---|---|---|---|---|---|
| Proposed method | ECG (MNE) + finger PPG | PTT (R-peakPPGMAX/PPGMIN) + HR; linear regression | MIMIC database (n = 930 ICU) for coefficient fitting; in-house test with 3 volunteers (253 measurements) | Calibration constant adjusted using MIMIC data; subject variability noted | MIMIC: mean error ±5.28 mmHg (SBP), ±2.81 mmHg (DBP); Volunteers: within ±25% vs. sphygmomanometer | States compliance with ANSI/AAMI/ISO 81060-2:2013 based on MIMIC; not a full device validation |
| Vasilevskyi et al. (2025) [19] | ECG + PPG | Mathematical modeling (Linear and Nonlinear), MBP-based DBP estimation | 2 subjects (ages 42 and 66), 20 recordings each | coefficients derived from reference BP values | Expanded uncertainty: ±11.55 mmHg (SBP), ±7.84 mmHg (DBP) at 95% confidence | Meets AAMI/ANSI/ISO 81060-2:2018 (SD < 8 mmHg) |
| Ganti et al., IEEE JBHI (2021) [33] | ECG + SCG + PPG (wrist) | Wearable PTT/PAT; two-point calibration | 21 subjects, 24 h at-home monitoring | Yes (two-point) | PCC 0.69; RMSE ≈2.72–3.86 mmHg (after calibration) | Not a full device validation; research study |
| Esmaili et al., IEEE TIM (2017) [34] | ECG/PCG + PPG | Nonlinear model using PAT/PTT indices; PCG reduces PEP impact | Healthy subjects; high-rate DAQ | Yes (subject-specific) | Reported reliable SBP/DBP estimation | Research study |
| Lee et al., Sensors (2021) [12] | ECG + PPG + BCG | BiLSTM (beat-to-beat) with LOSO | One-day and multi-day evaluations | Model fine-tuning per subject/day | MAE ≈ 2.56 (SBP), 2.05 (DBP) mmHg (one-day) | Research metrics; no formal device validation |
| Harfiya et al., Sensors (2021) [35] | PPG only | LSTM signal-to-signal (PPG ABP waveform) | MIMIC II/III (public) | Implicit via training; no per-subject calibration | Avg. absolute error < 5 mmHg (70% SBP, 95% DBP) | Claims to meet AAMI/BHS (dataset-based) |
| Li et al., Sensors (2021) [36] | PPG only | GRNN (PPG ABP waveform) | MIMIC II (public) | Model-based; no per-subject calibration | MAE 3.96 ± 5.36 (SBP), 2.39 ± 3.28 (DBP); RMSE 5.54/3.45 | States AAMI/BHS grade A (dataset analysis) |
| Ding et al., Sci Rep (2017) [7] | ECG + PPG | PTT + PPG intensity ratio (PIR) | Clinical setting with intra-arterial reference | Yes (subject-specific) | Improved over PTT-only; MAE varies by condition | Research study |
Disclaimer/Publisher’s Note: The statements, opinions and data contained in all publications are solely those of the individual author(s) and contributor(s) and not of MDPI and/or the editor(s). MDPI and/or the editor(s) disclaim responsibility for any injury to people or property resulting from any ideas, methods, instructions or products referred to in the content. |
© 2025 by the authors. Licensee MDPI, Basel, Switzerland. This article is an open access article distributed under the terms and conditions of the Creative Commons Attribution (CC BY) license.
Share and Cite
Haider, Z.; Kim, D.; Yang, S.; Lee, S.; Park, H.; Cho, S. Microneedle-Array-Electrode-Based ECG with PPG Sensor for Cuffless Blood Pressure Estimation. Appl. Sci. 2026, 16, 35. https://doi.org/10.3390/app16010035
Haider Z, Kim D, Yang S, Lee S, Park H, Cho S. Microneedle-Array-Electrode-Based ECG with PPG Sensor for Cuffless Blood Pressure Estimation. Applied Sciences. 2026; 16(1):35. https://doi.org/10.3390/app16010035
Chicago/Turabian StyleHaider, Zeeshan, Daesoo Kim, Soyoung Yang, Sungmin Lee, Hyunmoon Park, and Sungbo Cho. 2026. "Microneedle-Array-Electrode-Based ECG with PPG Sensor for Cuffless Blood Pressure Estimation" Applied Sciences 16, no. 1: 35. https://doi.org/10.3390/app16010035
APA StyleHaider, Z., Kim, D., Yang, S., Lee, S., Park, H., & Cho, S. (2026). Microneedle-Array-Electrode-Based ECG with PPG Sensor for Cuffless Blood Pressure Estimation. Applied Sciences, 16(1), 35. https://doi.org/10.3390/app16010035

