Paleo-Asian Ocean Ridge Subduction: Evidence from Volcanic Rocks in the Fuyun–Qinghe Area, Southern Margin of the Chinese Altay
Abstract
1. Introduction
2. Geological Background

3. Volcanic Rock Geology and Sample Characteristics
4. Analytical Methods
4.1. Zircon U–Pb Dating
4.2. Major and Trace Element Determinations
4.3. Hf Isotope Analyses
5. Analytical Result
5.1. Zircon U–Pb Dating
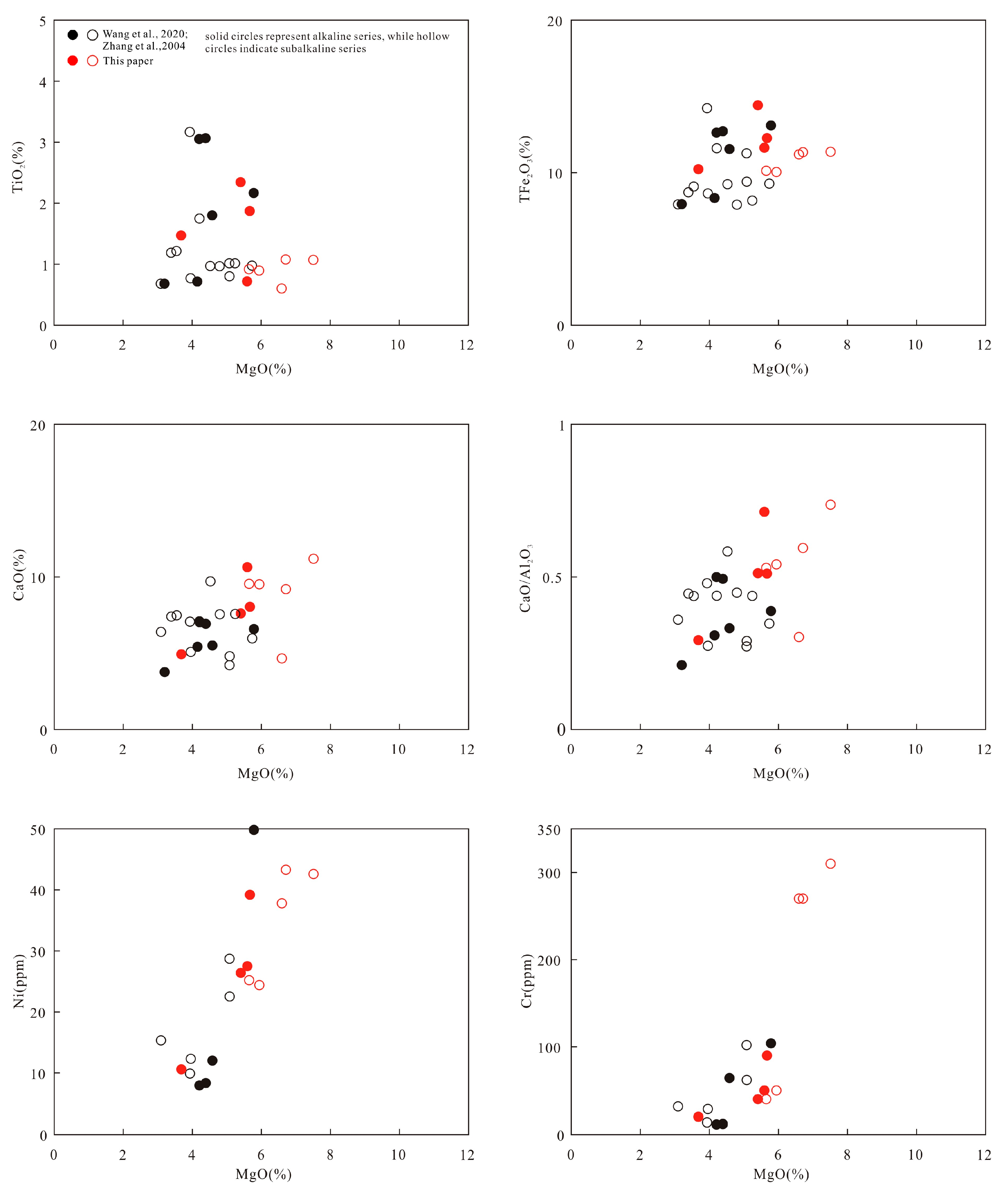
5.2. Major and Trace Elements
5.3. Zircon Hf Isotopes
6. Discussion
6.1. Crustal Contamination and Fractional Crystallization
6.2. Magma Sources and Petrogenesis
6.3. Tectonic Setting
7. Conclusions
Supplementary Materials
Author Contributions
Funding
Institutional Review Board Statement
Informed Consent Statement
Data Availability Statement
Acknowledgments
Conflicts of Interest
References
- Sengör, A.; Natal’in, B.; Burtman, V. Evolution of the Altaid tectonic collage and Paleozoic crustal growth in Asia. Nature 1993, 364, 299–307. [Google Scholar] [CrossRef]
- Cai, K.; Sun, M.; Yuan, C.; Zhao, G.; Xiao, W.; Long, X. Keketuohai mafic–ultramafic complex in the Chinese Altai, NW China: Petrogenesis and geodynamic significance. Chem. Geol. 2012, 294–295, 26–41. [Google Scholar] [CrossRef]
- Wang, Z.; Li, Y.; Yang, G.; Zhang, Y.; Li, H.; Zhao, Y.; Lindagato, P. Geochronology, geochemistry, and petrogenesis of the Kezijiaer gabbros, southern Chinese Altai: Evidence for ridge subduction. Geol. J. 2020, 55, 2254–2268. [Google Scholar] [CrossRef]
- Yang, G.; Li, Y.; Tong, L.; Wang, Z.; Si, G.; Lindagato, P.; Zeng, R. Natural observations of subduction initiation: Implications for the geodynamic evolution of the Paleo-Asian Ocean. Geosystems Geoenvironment 2022, 1, 100009. [Google Scholar] [CrossRef]
- Pan, G.; Lu, S.; Xiao, Q.; Zhang, K.; Yin, F.; Hao, G.; Luo, M.; Ren, F.; Yuan, S. Division of tectonic stages and tectonic evolution in China. Earth Sci. Front. 2016, 23, 10. [Google Scholar] [CrossRef]
- Xiao, W.J. Altaids, continental growth and metallogeny. Natl. Sci. Rev. 2023, 10, nwad004. [Google Scholar] [CrossRef]
- Gan, B.; Li, Z.; Song, Z.; Li, J. Middle Cambrian granites in the Dunhuang Block (NW China) mark the early subduction of the southernmost Paleo-Asian Ocean. Lithos 2020, 372–373, 105654. [Google Scholar] [CrossRef]
- Wang, E.; Zhai, X.; Chen, W.; Wu, L.; Song, G.; Wang, Y.; Guo, Z.; Zhao, J.; Wang, J. Late Devonian A-Type Granites from the Beishan, Southern Central Asia Orogenic Belt: Implications for Closure of the Paleo-Asia Ocean. Minerals 2023, 13, 565. [Google Scholar] [CrossRef]
- Niu, Y.; Shi, G.R.; Wang, J.; Liu, C.; Zhou, J.; Lu, J.; Song, B.; Xu, W. The closing of the southern branch of the Paleo-Asian Ocean: Constraints from sedimentary records in the southern Beishan Region of the Central Asian Orogenic Belt, NW China. Mar. Pet. Geol. 2021, 124, 104791. [Google Scholar] [CrossRef]
- Liu, Q.; Zhao, G.; Han, Y.; Eizenhöfer, P.R.; Zhu, Y.; Hou, W.; Zhang, X. Timing of the final closure of the Paleo-Asian Ocean in the Alxa Terrane: Constraints from geochronology and geochemistry of Late Carboniferous to Permian gabbros and diorites. Lithos 2017, 274–275, 19–30. [Google Scholar] [CrossRef]
- Weng, K.; Cao, J.; Karibovich, D.; Movlanov, J.; Chen, B.; Ma, Z. Zircon U-Pb ages in the Nuratau ophiolitic mélange in the southern Tianshan, Uzbekistan: Implication for the closure of Paleo-Asian Ocean. China Geol. 2024, 7, 365–368. [Google Scholar] [CrossRef]
- Duan, F.; Zhi, Q.; Xiao, W.; Li, Y. Late Palaeozoic final subduction records of the southwestern Paleo-Asian Ocean revealed by ca. 286–283 Ma basaltic rocks in the West Junggar, NW China. Int. Geol. Rev. 2023, 65, 3128–3145. [Google Scholar] [CrossRef]
- Liu, B.; Han, B.; Chen, J.; Ren, R.; Zheng, B.; Wang, Z.; Feng, L. Closure Time of the Junggar-Balkhash Ocean: Constraints From Late Paleozoic Volcano-Sedimentary Sequences in the Barleik Mountains, West Junggar, NW China. Tectonics 2017, 36, 2823–2845. [Google Scholar] [CrossRef]
- Xiao, W.; Han, C.; Yuan, C.; Sun, M.; Lin, S.; Chen, H.; Li, Z.; Li, J.; Sun, S. Middle Cambrian to Permian subduction-related accretionary orogenesis of Northern Xinjiang, NW China: Implications for the tectonic evolution of central Asia. J. Asian Earth Sci. 2008, 32, 102–117. [Google Scholar] [CrossRef]
- Song, D.; Xiao, W.; Ao, S.; Mao, Q.; Wan, B.; Zeng, H. Contemporaneous closure of the Paleo-Asian Ocean in the Middle-Late Triassic: A synthesis of new evidence and tectonic implications for the final assembly of Pangea. Earth-Sci. Rev. 2024, 253, 104771. [Google Scholar] [CrossRef]
- Wang, H.; Xiao, W.; Li, R.; Chen, H.; Tan, Z.; Mao, Q.; Shi, M. High-grade complexes record the Late Permian-Middle Triassic arc metamorphism in the southernmost Altaids: Implications for the final closure of the Paleo-Asian Ocean. Lithos 2023, 442–443, 107054. [Google Scholar] [CrossRef]
- Niu, H.; Sato, H.; Zhang, H.; Ito, J.I.; Yu, X.; Nagao, T.; Terada, K.; Zhang, Q. Juxtaposition of adakite, boninite, high-TiO2 and low-TiO2 basalts in the Devonian southern Altay, Xinjiang, NW China. J. Asian Earth Sci. 2006, 28, 439–456. [Google Scholar] [CrossRef]
- Xu, Q.; Li, Y.; Yang, G.; Ning, W.; Tong, L.; Duan, F.; Wu, L.; Ren, P.; Xiao, W. Petrogenesis and tectonic setting of the Middle Devonian Beitashan Formation volcanic rocks in the northern East Junggar, NW China: Insights from geochemistry, zircon U–Pb dating, and Hf isotopes. Geol. J. 2019, 55, 1964–1983. [Google Scholar] [CrossRef]
- Zheng, J.; Chai, F.; Yang, F. The 401–409 Ma Xiaodonggou granitic intrusion: Implications for understanding the Devonian Tectonics of the Northwest China Altai orogen. Int. Geol. Rev. 2015, 58, 540–555. [Google Scholar] [CrossRef]
- Zhang, Z.; Zhou, G.; Kusky, T.M.; Yan, S.; Chen, B.; Zhao, L. Late Paleozoic volcanic record of the Eastern Junggar terrane, Xinjiang, Northwestern China: Major and trace element characteristics, Sr–Nd isotopic systematics and implications for tectonic evolution. Gondwana Res. 2009, 16, 201–215. [Google Scholar] [CrossRef]
- Liang, P.; Chen, H.; Hollings, P.; Xiao, B.; Wu, C.; Bao, Z.; Cai, K. The Paleozoic tectonic evolution and metallogenesis of the northern margin of East Junggar, Central Asia Orogenic Belt: Geochronological and geochemical constraints from igneous rocks of the Qiaoxiahala Fe-Cu deposit. J. Asian Earth Sci. 2016, 130, 23–45. [Google Scholar] [CrossRef]
- Xu, J.; Chen, F.; Yu, X.; Niu, H.; Zheng, Z.P. Kuerti ophiolite in Altay area of north Xinjiang: Magmatism of an ancient back-arc basin. Acta Petrol. Mineral. 2001, 20, 344–352. [Google Scholar]
- Cai, K.; Sun, M.; Yuan, C.; Zhao, G.; Xiao, W.; Long, X.; Wu, F. Geochronological and geochemical study of mafic dykes from the northwest Chinese Altai: Implications for petrogenesis and tectonic evolution. Gondwana Res. 2010, 18, 638–652. [Google Scholar] [CrossRef]
- Wu, Y.; Yang, F.; Liu, F.; Geng, X.; Li, Q.; Zheng, J. Petrogenesis and tectonic settings of volcanic rocks of the Ashele Cu–Zn deposit in southern Altay, Xinjiang, Northwest China: Insights from zircon U–Pb geochronology, geochemistry and Sr–Nd isotopes. J. Asian Earth Sci. 2015, 112, 60–73. [Google Scholar] [CrossRef]
- Shen, X.; Zhang, H.; Wang, Q.; Wyman, D.A.; Yang, Y. Late Devonian–Early Permian A-type granites in the southern Altay Range, Northwest China: Petrogenesis and implications for tectonic setting of “A2-type” granites. J. Asian Earth Sci. 2011, 42, 986–1007. [Google Scholar] [CrossRef]
- Guivel, C.; Lagabrielle, Y.; Bourgois, J.; Maury, R.C.; Fourcade, S.; Martin, H.; Arnaud, N. New geochemical constraints for the origin of ridge-subduction-related plutonic and volcanic suites from the Chile Triple Junction (Taitao Peninsula and Site 862, LEG ODP141 on the Taitao Ridge). Tectonophysics 1999, 311, 83–111. [Google Scholar] [CrossRef]
- Lagabrielle, Y.; Guivel, C.; Maury, R.C.; Bourgors, J.; Fourcade, S.; Martin, H. Magmatic tectonic effects of high thermal regime at the site of active ridge subduction: The Chile Triple Junction model. Tectonophysics 1996, 326, 255–268. [Google Scholar] [CrossRef]
- Cole, R.B.; Stewart, B.W. Continental margin volcanism at sites of spreading ridge subduction: Examples from southern Alaska and western California. Tectonophysics 2009, 464, 118–136. [Google Scholar] [CrossRef]
- Liu, X.; Xiao, W.; Xiao, Y.; Liu, P.; Song, Y.; Huang, W.; Zhang, Z.; Liu, X. The major characteristics of ridge subduction in the Central Asian Orogenic Belt and their research advances. Geochimica 2025, 54, 3–23. [Google Scholar]
- Shen, X.; Zhang, H.; Ma, L. Ridge Subduction and the Possible Evidences in Chinese Altay, Xinjiang. Geotecton. Metallog. 2010, 34, 181–195. [Google Scholar]
- Sisson, V.B.; Pavlis, T.L.; Roeske, S.M.; Thorkelson, D.J. Introduction: An overview of ridge-trench interactions in modern and ancient settings. In Geological Society of America Special Paper; Geological Society of America: Boulder, CO, USA, 2003; Volume 371, pp. 1–18. [Google Scholar] [CrossRef]
- Windley, B.F.; Kröner, A.; Guo, J.; Qu, G.; Li, Y.; Zhang, C. Neoproterozoic to Palaeozoic geology of the Altai orogen, NW China: New zircon age data and tectonic evolution. J. Geol. 2002, 110, 719–737. [Google Scholar]
- Wang, T.; Jahn, B.; Kovach, V.P.; Tong, Y.; Wilde, S.A.; Hong, D.; Li, S.; Salnikova, E.B. Mesozoic intraplate granitic magmatism in the Altai accretionary orogen, NW China: Implications for the orogenic architecture and crustal growth. Am. J. Sci. 2014, 314, 1–42. [Google Scholar] [CrossRef]
- XUARGSI (Xinjiang Uygur Autonomous Region Geological Survey Institute). Regional Geological Annals of Xinjiang Uygur Autonomous Region; Xinjiang Uygur Autonomous Region Geological Survey Institute: Urumqi, China, 2021. [Google Scholar]
- Wang, T.; Tong, Y.; Jahn, B.; Zou, T.; Wang, Y.; Hong, D.; Han, B. SHRIMP U–Pb Zircon geochronology of the Altai No. 3 Pegmatite, NW China, and its implications for the origin and tectonic setting of the pegmatite. Ore Geol. Rev. 2007, 32, 325–336. [Google Scholar] [CrossRef]
- Zhang, C.; Liu, L.; Santosh, M.; Luo, Q.; Zhang, X. Sediment recycling and crustal growth in the Central Asian Orogenic Belt: Evidence from Sr–Nd–Hf isotopes and trace elements in granitoids of the Chinese Altay. Gondwana Res. 2017, 47, 142–160. [Google Scholar] [CrossRef]
- Liang, P.; Chen, H.; Wu, C.; Liu, Z. Geochemistry, geochronology and oxygen fugacity of volcanic and intrusive rocks from the Laoshankou Fe–Cu–Au deposit in the northern margin of East Junggar, NW China. Earth Sci. Front. 2018, 25, 96–118. [Google Scholar] [CrossRef]
- Shen, X.; Zhang, H.; Wang, Q.; Ma, L.; Yang, Y. Early Silurian (~440 Ma) adakitic, andesitic and Nb-enriched basaltic lavas in the southern Altay Range, Northern Xinjiang (western China): Slab melting and implications for crustal growth in the Central Asian Orogenic Belt. Lithos 2014, 206–207, 234–251. [Google Scholar] [CrossRef]
- Zhang, H.; Shen, X.; Ma, L.; Niu, H.; Yu, X. Geochronologyy of the Fuyun adakite, north Xinjiang and its constraint to the initiation of the Paleo-Asian Ocean subduction. Acta Petrol. Sin. 2008, 24, 1054–1058. [Google Scholar]
- Dong, Z. Paleozoic Geological Evolution of the Chinese Altai Orogen in the Fuyun-Qinghe Region: Constraints on the Accretionary Orogenic Processes of the Paleo-Asian Ocean. Doctoral Dissertation, Northwest University, Xi’an, China, 2020. [Google Scholar]
- Geng, X.; Yang, F.; Qin, J.; Wen, C. Devonian porphyry Cu deposits in NW China: The Xiaotuergen example. Int. Geol. Rev. 2016, 59, 1219–1233. [Google Scholar] [CrossRef]
- Li, Q.; Lv, S.; Yang, F.; Geng, X.; Chai, F. Geological characteristics and genesis of the Laoshankou Fe–Cu–Au deposit in Junggar, Xinjiang, Central Asian Orogenic Belt. Ore Geol. Rev. 2015, 68, 59–78. [Google Scholar] [CrossRef]
- Yang, T.N.; Li, J.Y.; Zhang, J.; Hou, K.J. The Altai-Mongolia terrane in the Central Asian Orogenic Belt (CAOB): A peri-Gondwana one? Evidence from zircon U–Pb, Hf isotopes and REE abundance. Precambrian Res. 2011, 187, 79–98. [Google Scholar] [CrossRef]
- Chai, F.; Yang, F.; Liu, F.; Geng, X.; Lv, S.; Jiang, L.; Zang, M.; Chen, B. Geochronology and genesis of volcanic rocks in Beitashan Formation at the northern margin of the Junggar, Xinjiang. Acta Petrol. Sin. 2012, 28, 2183–2198. [Google Scholar]
- Zhang, H.; Niu, H.; Sato, H.; Shan, Q.; Yu, X.; Ito, J.; Zhang, Q. Late Paleozoic adakite and Nb-enriched basalt from northern Xinjiang: Evidence for the southward subduction of the Paleo-Asian Ocean. Geol. J. China Univ. 2004, 10, 106–113. [Google Scholar]
- Zhang, C.; Liu, D.; Zeng, J.; Jiang, S.; Luo, Q.; Kong, X.; Yang, W.; Liu, L. Nd-O-Hf isotopic decoupling in S-type granites: Implications for ridge subduction. Lithos 2019, 332–333, 261–273. [Google Scholar] [CrossRef]
- Lv, S.; Yang, F.; Chai, F.; Zhang, X.; Jiang, L.; Liu, F.; Zhang, Z.; Geng, X.; Ouyang, L. Zircon U-Pb dating for intrusions in Laoshankou ore district in Northern margin of East Junggar and their significances. Geol. Rev. 2012, 58, 149–164. [Google Scholar]
- Chu, F.; Zhao, T.; Zhang, J.; Zhu, Z.; Tang, Z.; Yan, X. Geochemical Characteristics and Geochronology of Sherbulake Ophiolite in Xinjiang. Xinjiang Geol. 2013, 31, 167–172. [Google Scholar]
- Wang, Y.; Zhu, Z.; Li, X.; Li, P.; Zheng, F.; Gong, X. The SHRIMP Zircon U-Pb dating of the volcanic rocks of the Tuoranggekuduke Formation in the Early Devonian, Eastern Junggar and geological implications. Xinjiang Geol. 2020, 38, 161–167. [Google Scholar]
- Wiedenbeck, M.; Allé, P.; Corfu, F.; Griffin, W.; Meier, M.; Oberli, F.; Vonquat, A.; Roddick, J.; Spiegel, W. Three natural zircon standards for U-Th-Pb, Lu-Hf, tracelement and ree analyse. Geostand. Newsl. 1995, 19, 1–23. [Google Scholar] [CrossRef]
- Wiedenbeck, M.; Hanchar, J.; Peck, W.; Sylvester, P.; Valley, J.; Whitehouse, M.; Kronz, A.; Morishita, Y.; Nasdala, L.; Fiebig, J.; et al. Further characterisation of the 91500 zircon crystal. Geostand. Geoanalytical Res. 2004, 28, 9–39. [Google Scholar] [CrossRef]
- Jackson, S.; Pearson, N.; Griffin, W.; Belousova, E. The application of laser ablation-inductively coupled plasma-mass spectrometry to in situ U–Pb zircon geochronology. Chem. Geol. 2004, 211, 47–69. [Google Scholar] [CrossRef]
- Zhang, L.; Zhu, D.; Wang, Q.; Zhao, Z.; Liu, D.; Xie, J. Late Cretaceous Volcanic Rocks in the Sangri Area, Southern Lhasa Terrane, Tibet: Evidence for Oceanic Ridge Subduction. Lithos 2019, 326–327, 144–157. [Google Scholar] [CrossRef]
- Anderson, T. Correction of common Lead in U–Pb analyses that do not report 204Pb. Chem. Geol. 2002, 192, 59–79. [Google Scholar] [CrossRef]
- Liu, Y.S.; Hu, Z.C.; Gao, S.; Günther, D.; Xu, J.; Gao, C.G.; Chen, H.H. In Situ Analysis of Major and Trace Elements of Anhydrous Minerals by LA–ICP–MS without Applying an Internal Standard. Chem. Geol. 2008, 257, 34–43. [Google Scholar] [CrossRef]
- Ludwig, K.R. ISOPLOT 3: A geochronological toolkit for microsoft excel. Berkeley Geochronol. Cent. Spec. Publ. 2003, 4, 74. [Google Scholar]
- Wu, F.; Yang, Y.; Xie, L.; Yang, J.; Xu, P. Hf isotopic compositions of the standard zircons and baddeleyites used in U–Pb geochronology. Chem. Geol. 2006, 234, 105–126. [Google Scholar] [CrossRef]
- Wu, Y.; Zheng, Y. Zircon Genetic Mineralogy and Its Constraints on U–Pb Age Interpretation. Chin. Sci. Bull. 2004, 49, 1589–1604. [Google Scholar] [CrossRef]
- Le Bas, M.; Le Maitre, R.; Streckeisen, A.; Zanettin, B. A chemical classification of volcanic rocks based on the total alkali–silica diagram. J. Petrol. 1986, 27, 745–750. [Google Scholar] [CrossRef]
- Irvine, T.N.; Baragar, W.R.A. A Guide to the Chemical Classification of the Common Volcanic Rocks. Can. J. Earth Sci. 1971, 8, 523–548. [Google Scholar] [CrossRef]
- Deng, J.; Flower, M.F.J.; Liu, C.; Mo, X.; Su, S.; Wu, Z. Nomeuclature, diagnosis and origin of high-magnesian andesites (HMA) and magnesian andesites (MA): A review from petrographic and experimental data. Geochim. Cosmochim. Acta 2009, 73, A279. [Google Scholar]
- Maniar, P.D.; Piccoli, P.M. Tectonic Discrimination of Granitoids. Geol. Soc. Am. Bull. 1989, 101, 635–643. [Google Scholar] [CrossRef]
- Peccerillo, R.; Taylor, S.R. Geochemistry of Eocene Calc-Alkaline Volcanic Rocks from the Kastamonu Area, Northern Turkey. Contrib. Mineral. Petrol. 1976, 58, 63–81. [Google Scholar] [CrossRef]
- Frost, B.R.; Barnes, C.G.; Collins, W.J.; Arculus, R.J.; Ellis, D.J.; Frost, C.D. A Geochemical Classification for Granitoids Rocks. J. Petrol. 2001, 42, 2033–2048. [Google Scholar] [CrossRef]
- Le Moigne, J.; Lagabrielle, Y.; Whitechurch, H.; Girardeau, J.; Bourois, J.; Maury, R. Petrology and geochemistry of the Ophiolitic and Volcanic Suites of the Taitao Peninsula–Chile Triple Junction Area. J. S. Am. Earth Sci. 1996, 9, 43–58. [Google Scholar]
- Ramos, V.A.; Kay, S.M. Southern Patagonian plateau basalts and deformation: Backarc testimony of ridge collisions. Tectonophysics 1992, 205, 261–282. [Google Scholar]
- Boynton, W.V. Geochemistry of the rare earth elements: Meteorite studies. In Rare Earth Element Geochemistry; Henderson, P., Ed.; Elsevier: Amsterdam, The Netherlands, 1984; pp. 63–114. [Google Scholar]
- Sun, S.; McDonough, W.F. Chemical and isotopic systematics of ocneanic basalts: Implications for mantle composition and processes. In Magmatism in Ocean Basins; Saunders, A.D., Norry, M.J., Eds.; Geological Society of Special Publication: London, UK, 1989; pp. 313–345. [Google Scholar]
- Niu, Y.; O’Hara, M.J. Origin of ocean island basalts: A new perspective from petrology, geochemistry, and mineral physics considerations. J. Geophys. Res. Solid Earth 2003, 108, 2209. [Google Scholar] [CrossRef]
- Kelemen, P.B.; Hanghøj, K.; Greene, A.R. One View of the Geochemistry of Subduction-Related Magmatic Arcs, with an Emphasis on Primitive Andesite and Lower Crust. Treatise Geochem. Second Ed. 2014, 4, 749–806. [Google Scholar] [CrossRef]
- Green, T.H. Significance of Nb/Ta as an indicator of geochemical processes in the crust–mantle system. Chem. Geol. 1995, 120, 347–359. [Google Scholar] [CrossRef]
- Rudnick, R.L.; Gao, S. Composition of the continental crust. Treatise Geochem. 2003, 3, 1–64. [Google Scholar]
- Han, B.; Wang, S.; Kagami, H. Trace element and Nd-Sr isotope constraints on origin of the Chifeng flood basalts, North China. Chem. Geol. 1999, 155, 187–199. [Google Scholar] [CrossRef]
- Reagan, M.K.; Ishizuka, O.; Stern, R.J.; Kelley, K.A.; Ohara, Y.; Blichert-Toft, J.; Bloomer, S.H.; Cash, J.; Fryer, P.; Hanan, B.B.; et al. Fore-arc basalts and subduction initiation in the Izu-Bonin-Mariana system. Geochem. Geophys. Geosystems 2010, 11, Q03X12. [Google Scholar] [CrossRef]
- Defant, M.J.; Kepezhinskas, P. Evidence suggests slab melting in arc magmas. Eos Trans. Am. Geophys. Union 2001, 82, 65–69. [Google Scholar] [CrossRef]
- Zhang, T.; Deng, J.; Wang, M.; Li, C.; Zhang, L.; Sun, W. Geochemistry and genesis of the Nadun Nb-enriched arc basalt in the Duolong mineral district, western Tibet: Indication of ridge subduction. Geosci. Front. 2022, 13, 101283. [Google Scholar] [CrossRef]
- Li, S.; Zhu, D.; Wang, Q.; Zhao, Z.; Zhang, L.; Liu, S.; Chang, Q.; Lu, Y.; Dai, J.; Zheng, Y. Slab-derived adakites and subslab asthenosphere-derived OIB-type rocks at 156 ± 2 Ma from the north of Gerze, central Tibet: Records of the Bangong–Nujiang oceanic ridge subduction during the Late Jurassic. Lithos 2016, 262, 456–469. [Google Scholar]
- La Flèche, M.R.; Camiré, G.; Jenner, G.A. Geochemistry of post-Acadian, carboniferous continental intraplate basalts from the Maritimes Basin, Magdalen islands, Québec, Canada. Chem. Geol. 1998, 148, 115–136. [Google Scholar]
- Shaw, J.E. Petrogenesis of the Largest Intraplate Volcanic Field on the Arabian Plate (Jordan): A Mixed Lithosphere-Asthenosphere Source Activated by Lithospheric Extension. J. Petrol. 2003, 44, 1657–1679. [Google Scholar]
- McKenzie, D.; O’Nions, R.K. Partial melt distribution from inversion of rare earth element concentrations. J. Petrol. 1991, 32, 1021–1091. [Google Scholar]
- Aldanmaz, E.; Pearce, J.A.; Thirlwall, M.F.; Mitchell, J.G. Petrogenetic evolution of late Cenozoic, post-collision volcanism in western Anatolia, Turkey. J. Volcan. Geotherm. Res. 2000, 102, 67–95. [Google Scholar]
- Zhang, Z.; Yan, S.; Chen, B.; Zhou, G.; He, Y.; Chai, F.; He, L. Middle Devonian picrites of south margin of Altay Orogenic Belt and implications for tectonic setting and petrogenesis. Earth Sci. 2005, 30, 289–296. [Google Scholar]
- Defant, M.J.; Drummond, M.S. Derivation of some modern arc magmas by melting of young subducted lithosphere. Nature 1990, 347, 662–665. [Google Scholar]
- Zhang, Q.; Wang, Y.; Liu, H.; Wang, Y.; Li, Z. On the space-time distribution and geodynamic environments of adakites in China annex: Controversies over differing opinions for adakites in China. Earth Sci. Front. 2003, 10, 385–400. [Google Scholar]
- Zhang, Q.; Xu, J.; Wang, Y.; Xiao, L.; Liu, H.; Wang, Y.L. Diversity of adakite. Geol. Bull. China 2004, 23, 959–965. [Google Scholar]
- Deng, J.; Liu, C.; Feng, Y.; Xiao, Q.; Su, S.; Zhao, G.; Kong, W.; Cao, W. High magnesian andesitic/dioritic rocks (HMA) and magnesian andesitic/dioritic rocks (MA): Two igneous rock types related to oceanic subduction. Geol. China 2010, 37, 1112–1118. [Google Scholar]
- Wang, Y.; Yuan, C.; Long, X.; Sun, M.; Xiao, W.; Zhao, G.; Cai, K.; Jiang, Y. Geochemistry, zircon U–Pb ages and Hf isotopes of the Paleozoic volcanic rocks in the northwestern Chinese Altai: Petrogenesis and tectonic implications. J. Asian Earth Sci. 2011, 42, 969–985. [Google Scholar] [CrossRef]
- Meng, G.; Tang, H.; Liu, H.; Qin, J.; Wu, X.; Li, C. Devonian igneous rocks and tectono-magmatic evolution in the Ashele basin, Xinjiang. Acta Geol. Sin. 2022, 96, 445–464. [Google Scholar]
- Wang, T.; Hong, D.; Jahn, B.M.; Tong, Y.; Wang, Y.; Han, B.; Wang, X. Timing, Petrogenesis, and Setting of Paleozoic Synorogenic Intrusions from the Altai Mountains, Northwest China: Implications for the Tectonic Evolution of an Accretionary Orogen. J. Geol. 2006, 114, 735–751. [Google Scholar] [CrossRef]
- Chai, F.; Mao, J.; Dong, L.; Yang, F.; Liu, F.; Geng, X.; Zhang, Z. Geochronology of metarhyolites from the Kangbutiebao Formation in the Kelang basin, Altay Mountains, Xinjiang: Implications for the tectonic evolution and metallogeny. Gondwana Res. 2009, 16, 189–200. [Google Scholar] [CrossRef]
- Cui, X.; Sun, M.; Zhao, G.; Yao, J.; Zhang, Y.; Han, Y.; Dai, L. A Devonian arc–back-arc basin system in the southern Chinese Altai: Constraints from geochemical and Sr-Nd-Pb isotopic data for meta-basaltic rocks. Lithos 2020, 366–367, 105540. [Google Scholar] [CrossRef]
- Lv, Z.; Zhang, H.; Tang, Y.; Liu, Y.; Zhang, X. Petrogenesis of syn-orogenic rare metal pegmatites in the Chinese Altai: Evidences from geology, mineralogy, zircon U-Pb age and Hf isotope. Ore Geol. Rev. 2018, 95, 161–181. [Google Scholar] [CrossRef]
- Shen, X.; Zhang, H.; Wang, Q.; Saha, A.; Ma, L.; Santosh, M. Zircon U–Pb geochronology and geochemistry of Devonian plagiogranites in the Kuerti area of southern Chinese Altay, northwest China: Petrogenesis and tectonic evolution of late Paleozoic ophiolites. Geol. J. 2017, 53, 1886–1905. [Google Scholar] [CrossRef]
- Tang, G.; Wyman, D.A.; Wang, Q.; Li, J.; Li, Z.; Zhao, Z.; Sun, W. Asthenosphere–lithosphere interaction triggered by a slab window during ridge subduction: Trace element and Sr–Nd–Hf–Os isotopic evidence from Late Carboniferous tholeiites in the western Junggar area (NW China). Earth Planet. Sci. Lett. 2012, 329–330, 84–96. [Google Scholar] [CrossRef]
- He, Y.; Sun, M.; Cai, K.; Xiao, W.; Zhao, G.; Long, X.; Li, P. Petrogenesis of the Devonian high-Mg rock association and its tectonic implication for the Chinese Altai orogenic belt, NW China. J. Asian Earth Sci. 2015, 113, 61–74. [Google Scholar] [CrossRef]
- Pearce, J.A.; Cann, J.R. Tectonic setting of basic volcanic rocks determined using trace element analyses. Earth Planet. Sci. Lett. 1973, 19, 290–300. [Google Scholar] [CrossRef]
- Wood, D.A.; Joron, J.L.; Treuil, M. A re-appraisal of the use of trace elements to classify and discriminate between magma series erupted in different tectonic settings. Earth Planet. Sci. Lett. 1979, 45, 326–336. [Google Scholar] [CrossRef]
- Sun, M.; Yuan, C.; Xiao, W.; Long, X.; Xia, X.; Zhao, G.; Lin, S.; Wu, F.; Kröner, A. Zircon U–Pb and Hf isotopic study of gneissic rocks from the Chinese Altai: Progressive accretionary history in the early to middle Palaeozoic. Chem. Geol. 2008, 247, 352–383. [Google Scholar] [CrossRef]
- Chen, Y.; Zhu, D.; Zhao, Z.; Meng, F.; Wang, Q.; Santosh, M.; Wang, L.; Dong, G.; Mo, X. Slab breakoff triggered ca. 113 Ma magmatism around Xainza area of the Lhasa Terrane, Tibet. Gondwana Res. 2014, 26, 449–463. [Google Scholar] [CrossRef]
- Sun, X. The Material Composition, Structural Deformation and Geological Significance of Kobita Bea J Bai Bass Tao Paleozoic Accretionary Wedge, Qinghe County, Xinjiang, China. Master’s Thesis, Chang’an University, Xi’an, China, 2013. [Google Scholar]
- Liu, W. Zircons shrimp U-Pb dating of Mayinerbuo ophilit and its geological implications. Xinjiang Geol. 2011, 29, 385–388. [Google Scholar]
- Zhang, Z.; Zhou, G.; Yan, S.; Chen, B.; He, Y.; Chai, F.; He, L. Geology and Geochemistry of the Late Paleozoic Volcanic Rocks of the South Margin of the Altai Mountains and Implications for Tectonic Evolution. Acta Geol. Sin. 2007, 81, 344–358. [Google Scholar]
- Zhou, G.; Qin, J.; Zhang, Z.; Zhang, L.; Ying, L.; Ahemet, J.; Mao, W.; He, B.; Deng, J.; Cai, Y. The Discovery of Bimodal Volcanics in Supute Area of Fuyun County, Xinjiang, and Its Geological Significance. Geol. Rev. 2007, 53, 337–348. [Google Scholar]
- Sun, M.; Long, X.; Cai, K.; Jiang, Y.; Wang, B.; Yuan, C.; Zhao, G.; Xiao, W.; Wu, F. Early Paleozoic ridge subduction in the Chinese Altai: Insight from the abrupt change in zircon Hf isotopic compositions. Sci. China Ser. D Earth Sci. 2009, 52, 1345–1348. [Google Scholar] [CrossRef]
- Zhang, J.; Wang, J.; Ding, R. Petrology of marine volcanics and its relationship with ore-forming progess in the Maizi area, Altay. Geol. Rev. 1999, 45, 1116–1125. [Google Scholar]
- Chen, Y.; Liu, D.; Wang, D.; Tang, Y.; Zhou, R.; Chen, Z. Discover and geological significance of picrite rocks in north Junggar, Xinjiang. Geol. Bull. China 2004, 23, 1059–1065. [Google Scholar]
- Zhang, H.; Niu, H.; Yu, X.; Sato, H.; Ito, J.; Shan, Q. Geochemical characteristic of the shaerbulake boninites and their tectonic significance, Fuyun County, northern Xinjiang, China. Geochimica 2003, 32, 155–160. [Google Scholar]
- Shi, Y.; Wang, Y.; Wang, J.; Wang, L.; Ding, R. Petrogenesis of ankaramite from Middle Devonian Beitashan Formation, northern margin of Junggar and its implication on Late Paleozoic ridge subduction. Acta Petrol. Sin. 2017, 33, 565–578. [Google Scholar]
- Meneghini, F.; Kisters, A.; Buick, I.; Fagereng, Å. Fingerprints of late Neoproterozoic ridge subduction in the Pan-African Damara belt, Namibia. Geology 2014, 42, 903–906. [Google Scholar] [CrossRef]













Disclaimer/Publisher’s Note: The statements, opinions and data contained in all publications are solely those of the individual author(s) and contributor(s) and not of MDPI and/or the editor(s). MDPI and/or the editor(s) disclaim responsibility for any injury to people or property resulting from any ideas, methods, instructions or products referred to in the content. |
© 2025 by the authors. Licensee MDPI, Basel, Switzerland. This article is an open access article distributed under the terms and conditions of the Creative Commons Attribution (CC BY) license (https://creativecommons.org/licenses/by/4.0/).
Share and Cite
Liu, J.; Liu, C.; Liu, Q.; Luo, Z.; Liu, Y.; Zhou, C.; Guo, X.; Yu, X.; Wang, M. Paleo-Asian Ocean Ridge Subduction: Evidence from Volcanic Rocks in the Fuyun–Qinghe Area, Southern Margin of the Chinese Altay. Appl. Sci. 2025, 15, 3736. https://doi.org/10.3390/app15073736
Liu J, Liu C, Liu Q, Luo Z, Liu Y, Zhou C, Guo X, Yu X, Wang M. Paleo-Asian Ocean Ridge Subduction: Evidence from Volcanic Rocks in the Fuyun–Qinghe Area, Southern Margin of the Chinese Altay. Applied Sciences. 2025; 15(7):3736. https://doi.org/10.3390/app15073736
Chicago/Turabian StyleLiu, Jixu, Cui Liu, Qing Liu, Zhaohua Luo, Yong Liu, Chenghao Zhou, Xu Guo, Xianghui Yu, and Miao Wang. 2025. "Paleo-Asian Ocean Ridge Subduction: Evidence from Volcanic Rocks in the Fuyun–Qinghe Area, Southern Margin of the Chinese Altay" Applied Sciences 15, no. 7: 3736. https://doi.org/10.3390/app15073736
APA StyleLiu, J., Liu, C., Liu, Q., Luo, Z., Liu, Y., Zhou, C., Guo, X., Yu, X., & Wang, M. (2025). Paleo-Asian Ocean Ridge Subduction: Evidence from Volcanic Rocks in the Fuyun–Qinghe Area, Southern Margin of the Chinese Altay. Applied Sciences, 15(7), 3736. https://doi.org/10.3390/app15073736
