Inverse Design of Broadband Artificial Magnetic Conductor Metasurface for Radar Cross Section Reduction Using Simulated Annealing
Abstract
1. Introduction
2. Design Theory and Methodology
2.1. Design and Structures
2.2. Parameter Optimization Process Using SA
- (1)
- Objective Function (Energy Function):
- (2)
- Perturbation Mechanism:
- (3)
- Metropolis Criterion:
- (4)
- Cooling Schedule:
| Algorithm 1 Simulated Annealing Algorithm for Metasurface |
| 1: Input: 2: Objective function E(x), 3: Tmax = 1, Tmin = 1e − 6, L = 30, max_stay_counter = 30, 4: Upper bound ub, Lower bound lb 5: Output: Optimal solution xbest 6: Initialize: 7: T ← Tmax 8: xcurrent ← rand(lb, ub) {Random initial solution within bounds} 9: Ecurrent ← E(xcurrent) 10: xbest ← xcurrent 11: Ebest ← Ecurrent 12: stay_counter ← 0 13: k ← 1 {Iteration counter} 14: hop ← ub − lb 15: while T > Tmin and stay_counter < max_stay_counter do 16: for i = 1 to L do 17: 1. Perturbation Mechanism 18: r ∼ U (−1, 1)d 19: xc ← 20: xnew ← xcurrent + xc × hop 21: if HasBounds then 22: xnew ← clamp(xnew, lb, ub) 23: end if 24: 2. Energy evaluation 25: if xnew violates design boundaries then 26: Enew ← 100 27: else 28: Enew ← E(xnew) 29: end if 30: 3. Metropolis Criterion 31: if Enew < Ecurrent or exp (−)) > rand then 32: xcurrent ← xnew 33: Ecurrent ← Enew 34: if Enew < Ebest then 35: xbest ← xnew 36: Ebest ← Enew 37: end if 38: end if 39: end for 40: 4. Cooling Schedule 41: T ← Tmax × exp(−) 42: k ← k + 1 43: if Ebest unchanged then 44: stay_counter ← stay_counter + 1 45: else 46: stay_counter ← 0 47: end if 48: end while 49: return xbes |
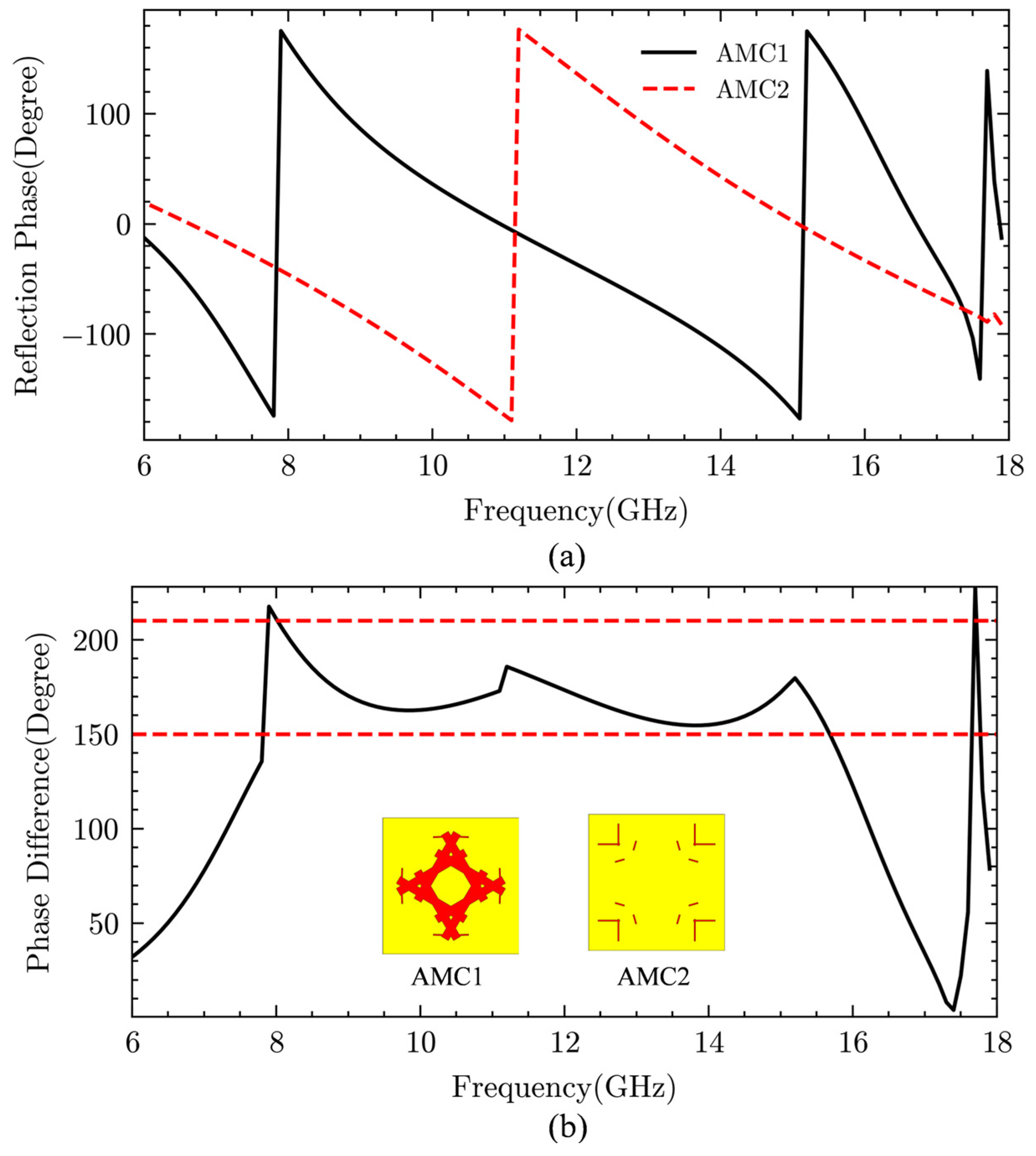
2.3. Optimized Results of Unit Cells
3. Experiment Results
3.1. Monostatic Results
3.2. Bistatic Results
4. Conclusions
Author Contributions
Funding
Institutional Review Board Statement
Informed Consent Statement
Data Availability Statement
Conflicts of Interest
References
- Shin, H.; Yoon, D.; Kim, C.; Yang, Y.S.; Lee, M.G.; Park, J.Y.; Hwang, K.C.; Park, Y.B. Shape Optimization of an Integrated Mast for RCS Reduction of a Stealth Naval Vessel. Appl. Sci. 2021, 11, 2819. [Google Scholar] [CrossRef]
- Feng, J.; Zong, Y.; Sun, Y.; Zhang, Y.; Yang, X.; Long, G.; Wang, Y.; Li, X.; Zheng, X. Optimization of Porous FeNi3/N-GN Composites with Superior Microwave Absorption Performance. Chem. Eng. J. 2018, 345, 441–451. [Google Scholar] [CrossRef]
- Breiss, H.; El Assal, A.; Benzerga, R.; Sharaiha, A.; Jrad, A.; Harmouch, A. Ultra-Porous and Lightweight Microwave Absorber Based on Epoxy Foam Loaded with Long Carbon Fibers. Mater. Res. Bull. 2021, 137, 111188. [Google Scholar] [CrossRef]
- Pozar, D.M. RCS Reduction for a Microstrip Antenna Using a Normally Biased Ferrite Substrate. IEEE Microw. Guid. Wave Lett. 1992, 2, 196–198. [Google Scholar] [CrossRef]
- Hou, H.; Long, J.; Wang, J.; Sievenpiper, D.F. Reduced Electromagnetic Edge Scattering Using Inhomogeneous Anisotropic Impedance Surfaces. IEEE Trans. Antennas Propag. 2017, 65, 1193–1201. [Google Scholar] [CrossRef]
- Knott, E.B.; Shaeffer, J.F.; Tully, M.T. Radar Cross Section; Scitech Publishing, Cop.: Raleigh, NC, USA, 2004; ISBN 9781891121258. [Google Scholar]
- Gao, X.; Han, X.; Cao, W.P.; Li, H.O.; Ma, H.F.; Cui, T.J. Ultrawideband and High-Efficiency Linear Polarization Converter Based on Double V-Shaped Metasurface. IEEE Trans. Antennas Propag. 2015, 63, 3522–3530. [Google Scholar] [CrossRef]
- Fu, C.; Han, L.; Liu, C.; Sun, Z.; Lu, X. Dual-Band Polarization Conversion Metasurface for RCS Reduction. IEEE Trans. Antennas Propag. 2021, 69, 3044–3049. [Google Scholar] [CrossRef]
- Lu, Y.; Su, J.; Liu, J.; Guo, Q.; Yin, H.; Li, Z.; Song, J. Ultrawideband Monostatic and Bistatic RCS Reductions for Both Copolarization and Cross Polarization Based on Polarization Conversion and Destructive Interference. IEEE Trans. Antennas Propag. 2019, 67, 4936–4941. [Google Scholar] [CrossRef]
- Li, X.; Wang, Y.; Fan, J.; He, J.; Huang, X. Ultra-Thin/Wide-Band Polarization Conversion Metasurface and Its Applications in Anomalous Reflection and RCS Reduction. Appl. Sci. 2022, 12, 7696. [Google Scholar] [CrossRef]
- Yu, N.; Genevet, P.; Kats, M.A.; Aieta, F.; Tetienne, J.-P.; Capasso, F.; Gaburro, Z. Light Propagation with Phase Discontinuities: Generalized Laws of Reflection and Refraction. Science 2011, 334, 333–337. [Google Scholar] [CrossRef]
- Yuan, F.; Wang, G.-M.; Xu, H.-X.; Cai, T.; Zou, X.-J.; Pang, Z.-H. Broadband RCS Reduction Based on Spiral-Coded Metasurface. IEEE Antennas Wirel. Propag. Lett. 2017, 16, 3188–3191. [Google Scholar] [CrossRef]
- Li, Y.; Cao, Q.; Wang, Y. Radar Cross Section Reduction Metasurfaces Based on Phase Gradient and Chessboard Structure. Int. J. RF Microw. Comput.-Aided Eng. 2018, 28, e21457. [Google Scholar] [CrossRef]
- Su, J.; Li, W.; Qu, M.; Yu, H.; Li, Z.; Qi, K.; Yin, H. Ultrawideband RCS Reduction Metasurface Based on Hybrid Mechanism of Absorption and Phase Cancellation. IEEE Trans. Antennas Propag. 2022, 70, 9415–9424. [Google Scholar] [CrossRef]
- Yang, J.J.; Cheng, Y.Z.; Qi, D.; Gong, R.Z. Study of Energy Scattering Relation and RCS Reduction Characteristic of Matrix-Type Coding Metasurface. Appl. Sci. 2018, 8, 1231. [Google Scholar] [CrossRef]
- Zheng, Y.; Gao, J.; Cao, X.; Yuan, Z.; Yang, H. Wideband RCS Reduction of a Microstrip Antenna Using Artificial Magnetic Conductor Structures. IEEE Antennas Wirel. Propag. Lett. 2015, 14, 1582–1585. [Google Scholar] [CrossRef]
- Su, J.; Lu, Y.; Liu, J.; Yang, Y.; Li, Z.; Song, J. A Novel Checkerboard Metasurface Based on Optimized Multielement Phase Cancellation for Superwideband RCS Reduction. IEEE Trans. Antennas Propag. 2018, 66, 7091–7099. [Google Scholar] [CrossRef]
- Modi, A.Y.; Balanis, C.A.; Birtcher, C.R.; Shaman, H.N. Novel Design of Ultrabroadband Radar Cross Section Reduction Surfaces Using Artificial Magnetic Conductors. IEEE Trans. Antennas Propag. 2017, 65, 5406–5417. [Google Scholar] [CrossRef]
- Qiu, T.; Shi, X.; Wang, J.; Li, Y.; Qu, S.; Cheng, Q.; Cui, T.; Sui, S. Deep Learning: A Rapid and Efficient Route to Automatic Metasurface Design. Adv. Sci. 2019, 6, 1900128. [Google Scholar] [CrossRef]
- Gosal, G.; Almajali, E.; McNamara, D.; Yagoub, M. Transmitarray Antenna Design Using Forward and Inverse Neural Network Modeling. IEEE Antennas Wirel. Propag. Lett. 2016, 15, 1483–1486. [Google Scholar] [CrossRef]
- An, S.; Zheng, B.; Tang, H.; Shalaginov, M.Y.; Zhou, L.; Li, H.; Kang, M.; Richardson, K.A.; Gu, T.; Hu, J.; et al. Multifunctional Metasurface Design with a Generative Adversarial Network. Adv. Opt. Mater. 2021, 9, 2001433. [Google Scholar] [CrossRef]
- Liu, Z.; Zhu, D.; Rodrigues, S.P.; Lee, K.-T.; Cai, W. Generative Model for the Inverse Design of Metasurfaces. Nano Lett. 2018, 18, 6570–6576. [Google Scholar] [CrossRef] [PubMed]
- You, X.C.; Lin, F.H. Inverse Design of Reflective Metasurface Antennas Using Deep Learning from Small-Scale Statistically Random Pico-Cells. Microw. Opt. Technol. Lett. 2024, 66, e34068. [Google Scholar] [CrossRef]
- Naseri, P.; Hum, S.V. A Generative Machine Learning-Based Approach for Inverse Design of Multilayer Metasurfaces. IEEE Trans. Antennas Propag. 2021, 69, 5725–5739. [Google Scholar] [CrossRef]
- Yao, P.; Zhang, B.; Duan, J. A Broadband Artificial Magnetic Conductor Reflecting Screen and Application in Microstrip Antenna for Radar Cross-Section Reduction. IEEE Antennas Wirel. Propag. Lett. 2018, 17, 405–409. [Google Scholar] [CrossRef]
- Aguilar, J.R.; Beadle, M.; Thompson, P.T.; Shelley, M.W. The Microwave and RF Characteristics of FR4 Substrates. In Proceedings of the IEE Colloquium on Low Cost Antenna Technology, London, UK, 24 February 1998. [Google Scholar] [CrossRef]
- Kirkpatrick, S.; Gelatt, C.D.; Vecchi, M.P. Optimization by Simulated Annealing. Science 1983, 220, 671–680. [Google Scholar] [CrossRef]
- Eberhart, R.C.; Shi, Y.; Kennedy, J. Swarm Intelligence; Elsevier: Amsterdam, The Netherlands, 2001; ISBN 9780080518268. [Google Scholar]
- Goldberg, D.E. Genetic Algorithms in Search, Optimization, and Machine Learning; Addison-Wesley Professional: Reading, MA, USA, 1989. [Google Scholar]
- Eberhart; Shi, Y. Particle Swarm Optimization: Developments, Applications and Resources. In Proceedings of the 2001 Congress on Evolutionary Computation, Seoul, Republic of Korea, 27–30 May 2001; Available online: https://ieeexplore.ieee.org/abstract/document/934374 (accessed on 7 August 2002).
- Iriarte Galarregui, J.C.; Tellechea Pereda, A.; de Falcon, J.L.M.; Ederra, I.; Gonzalo, R.; de Maagt, P. Broadband Radar Cross-Section Reduction Using AMC Technology. IEEE Trans. Antennas Propag. 2013, 61, 6136–6143. [Google Scholar] [CrossRef]
- Chen, W.; Balanis, C.A.; Birtcher, C.R. Checkerboard EBG Surfaces for Wideband Radar Cross Section Reduction. IEEE Trans. Antennas Propag. 2015, 63, 2636–2645. [Google Scholar] [CrossRef]
- Pang, X.; Zhang, T.; Hu, M.; Zhang, H.; Zheng, Q. Broadband Low-Scattering and High-Efficiency Transmission Radome by Combing Phase Gradient Metasurface and FSS. Opt. Commun. 2024, 563, 130598. [Google Scholar] [CrossRef]
- El-Sewedy, M.F.; Abdalla, M.A. A Monostatic and Bistatic RCS Reduction Using Artificial Magnetic Conductor Metasurface. IEEE Trans. Antennas Propag. 2022, 71, 1988–1992. [Google Scholar] [CrossRef]
- Ji, K.F.; Gao, J.; Cao, X.; Han, J.; Yang, H. Design of Ultra-Wideband Low RCS Reflecting Screen Based on Phase Gradient Metasurface. Radioengineering 2021, 30, 314–322. [Google Scholar] [CrossRef]
- Yuan, F.; Xu, H.-X.; Jia, X.-Q.; Wang, G.-M.; Fu, Y. RCS Reduction Based on Concave/Convex-Chessboard Random Parabolic-Phased Metasurface. IEEE Trans. Antennas Propag. 2020, 68, 2463–2468. [Google Scholar] [CrossRef]
- Liu, X.; Gao, J.; Xu, L.; Cao, X.; Zhao, Y.; Li, S. A Coding Diffuse Metasurface for RCS Reduction. IEEE Antennas Wirel. Propag. Lett. 2017, 16, 724–727. [Google Scholar] [CrossRef]
- Han, J.; Cao, X.; Gao, J.; Wei, J.; Zhao, Y.; Li, S.; Zhang, Z. Broadband Radar Cross Section Reduction Using Dual-Circular Polarization Diffusion Metasurface. IEEE Antennas Wirel. Propag. Lett. 2018, 17, 969–973. [Google Scholar] [CrossRef]













| x (mm) | y (mm) | W (mm) | L (mm) | Theta (Degree) | ||
|---|---|---|---|---|---|---|
| Cell#1 | Rec#1 | −1.0 | −1.4 | 0.6 | 5.7 | 30.5 |
| Rec#2 | 3.6 | −0.6 | 1.4 | 0.1 | 87.9 | |
| Cell#2 | Rec#1 | −2.7 | −1.6 | 0.7 | 0.1 | −16 |
| Rec#2 | 2.8 | −3.5 | 1.6 | 0.1 | 90 | |
| Ref. | 10 dB RCS Reduction BW (GHz, %) | 10 dB RCS Reduction BW (GHz, %) of 30° Incidence Angle | Substrate Thickness | Number of Unit Cells, Period (mm) | Figure of Merit (FoM) | Strategy |
|---|---|---|---|---|---|---|
| [31] | 14.7–22.6/42.3% | 16.6–20.4/20.5% | 2, p = 4 | 3.90/ | Phase Difference | |
| [32] | 4.2–7.8/60% | 5.1–6.7/27.1% | 2, p = 15 | 3.34/ | Phase Difference | |
| [33] | 7.9–18.2/78% | / | 6, p = 8 | / | Phase Gradient | |
| [34] | 23.7–33.5/34% | / | 2, p = 5.8 | / | Phase Difference | |
| [35] | 10.8–15.3/34% | 9.3–13.7/38.3% | 6, p = 10 | 0.92/ | Phase Gradient | |
| [36] | 7.8–23.2/102.7% | 7.1–22.4/103.7% | 10, p = 9 | 1.28/ | Phase Difference | |
| [37] | 5.4–7.4/31.3% | 5.7–6.4/29.7% | 0.06 | 5, p = 2 | 2.03/ | Phase Gradient |
| [38] | 10–20.7/69.7% | / | 0.15 | 4, p = 7 | / | Polarization rotation |
| This work | 7.6–15.5/68.3% | 7.8–14.6/61% | 2, p = 10 | 5.8/ | Phase Difference |
Disclaimer/Publisher’s Note: The statements, opinions and data contained in all publications are solely those of the individual author(s) and contributor(s) and not of MDPI and/or the editor(s). MDPI and/or the editor(s) disclaim responsibility for any injury to people or property resulting from any ideas, methods, instructions or products referred to in the content. |
© 2025 by the authors. Licensee MDPI, Basel, Switzerland. This article is an open access article distributed under the terms and conditions of the Creative Commons Attribution (CC BY) license (https://creativecommons.org/licenses/by/4.0/).
Share and Cite
Xia, H.; Liang, X.; Jia, B.; Shi, P.; Chen, Z.; Pu, S.; Xu, N. Inverse Design of Broadband Artificial Magnetic Conductor Metasurface for Radar Cross Section Reduction Using Simulated Annealing. Appl. Sci. 2025, 15, 2883. https://doi.org/10.3390/app15062883
Xia H, Liang X, Jia B, Shi P, Chen Z, Pu S, Xu N. Inverse Design of Broadband Artificial Magnetic Conductor Metasurface for Radar Cross Section Reduction Using Simulated Annealing. Applied Sciences. 2025; 15(6):2883. https://doi.org/10.3390/app15062883
Chicago/Turabian StyleXia, Haoda, Xiaoyu Liang, Bowen Jia, Pei Shi, Zhihong Chen, Shi Pu, and Ning Xu. 2025. "Inverse Design of Broadband Artificial Magnetic Conductor Metasurface for Radar Cross Section Reduction Using Simulated Annealing" Applied Sciences 15, no. 6: 2883. https://doi.org/10.3390/app15062883
APA StyleXia, H., Liang, X., Jia, B., Shi, P., Chen, Z., Pu, S., & Xu, N. (2025). Inverse Design of Broadband Artificial Magnetic Conductor Metasurface for Radar Cross Section Reduction Using Simulated Annealing. Applied Sciences, 15(6), 2883. https://doi.org/10.3390/app15062883

