Multiparameter Inversion of Seismic Pre-Stack Amplitude Variation with Angle Based on a New Propagation Matrix Method
Abstract
1. Introduction
2. Methodology of the Forward Modelling
2.1. Approximation of AVA Seismic Data Simulation
2.2. Basic Equations of Propagation Matrix Theory
2.3. AVA Seismic Response Theoretical Solution
2.4. General Equations of Inversion Problem
3. Characteristics of Wavefield Response in Layer Models
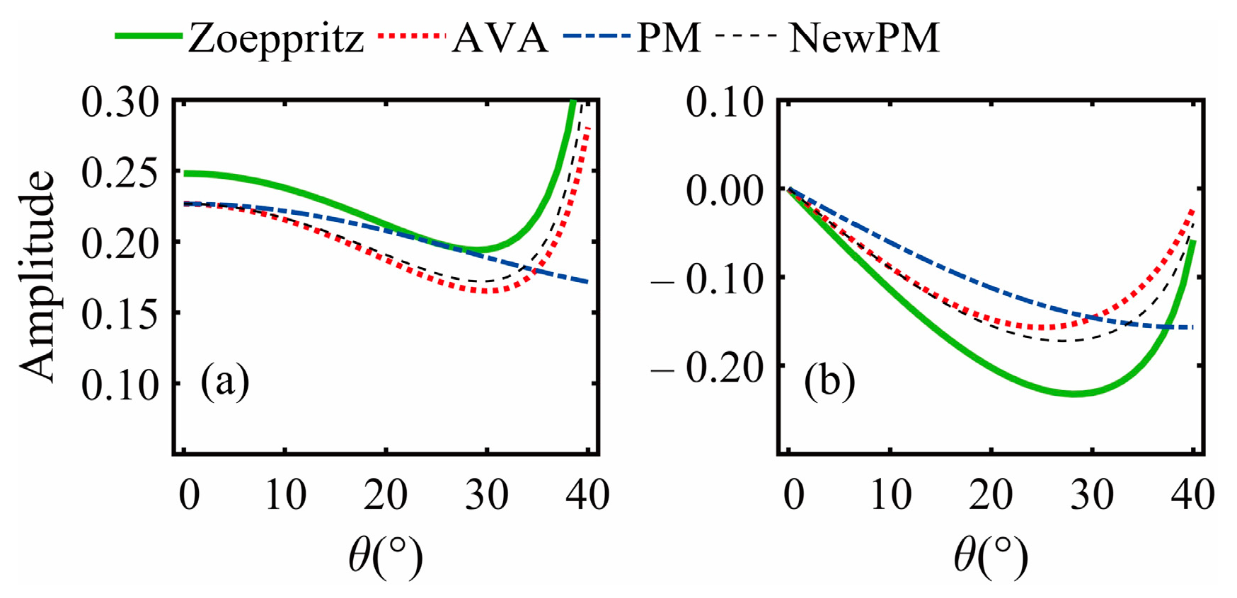
3.1. Three-Layer Model
3.2. Multilayer Model with Complex Velocity and Density Profiles
3.3. Analysis of Inversion Results
4. Conclusions
Author Contributions
Funding
Institutional Review Board Statement
Informed Consent Statement
Data Availability Statement
Acknowledgments
Conflicts of Interest
Appendix A
References
- Dai, R.; Yang, J. Amplitude-Versus-Angle (AVA) Inversion for Pre-Stack Seismic Data With L0-Norm-Gradient Regularization. Mathematics 2023, 11, 880. [Google Scholar] [CrossRef]
- Zhou, L.; Li, J.; Chen, X.; Liu, X.; Chen, L. Prestack AVA inversion of exact Zoeppritz equations based on modified Trivariate Cauchy distribution. J. Appl. Geophys. 2017, 138, 80–90. [Google Scholar] [CrossRef]
- Aki, K.; Richards, P.G.; Quantitative Seismology: Theory and Methods. W. H. Freeman and Co.: San Francisco, CA, USA, 1980; pp. 147–148. Available online: https://onlinelibrary.wiley.com/doi/10.1002/gj.3350160110 (accessed on 22 December 2024).
- Grana, D.; Della Rossa, E. Probabilistic petrophysical-properties estimation integrating statistical rock physics with seismic inversion. Geophysics 2010, 75, O21–O37. [Google Scholar] [CrossRef]
- Hu, G.-Q.; Liu, Y.; Wei, X.-C.; Chen, T.-S. Joint PP and PS AVO inversion based on Bayes theorem. Appl. Geophys. 2011, 8, 293–302. [Google Scholar] [CrossRef]
- Sengupta, M.; Zhang, H.; Zhao, Y.; Jervis, M.; Grana, D. Direct depth-domain Bayesian amplitude-variation-with-offset inversion. Geophysics 2021, 86, M167–M176. [Google Scholar] [CrossRef]
- Mallick, S. Amplitude-variation-with-offset, elastic impedance, and prestack waveform inversion, a modeling study. Geophysics 2007, 72, C1–C7. [Google Scholar] [CrossRef]
- Tang, J.; Li, P.; Huang, X.; Lai, Q.; Wang, D. An exact Zoeppritz based Prestack inversion using whale optimization particle filter algorithm under Bayesian Framework. IEEE Trans. Geosci. Remote. Sens. 2022, 61, 1–10. [Google Scholar] [CrossRef]
- Huang, G.; Chen, X.; Luo, C.; Li, X. Application of optimal transport to exact Zoeppritz Equation AVA inversion. IEEE Geosci. Remote. Sens. Lett. 2018, 15, 1337–1341. [Google Scholar] [CrossRef]
- Yin, X.; Deng, W.; Zong, Z. AVO inversion based on inverse operator estimation in trust region. J. Geophys. Eng. 2016, 13, 194–206. [Google Scholar] [CrossRef]
- Lu, J.; Yang, Z.; Wang, Y.; Shi, Y. Joint PP and PS AVA seismic inversion using exact Zoeppritz equations. Geophysics 2015, 80, R239–R250. [Google Scholar] [CrossRef]
- Warner, M.; Guasch, L. Adaptive waveform inversion: Theory. Geophysics 2016, 81, R429–R445. [Google Scholar] [CrossRef]
- Thomson, W.T. Transmission of Elastic Waves through a Stratified Solid Medium. J. Appl. Phys. 1950, 21, 89–93. [Google Scholar] [CrossRef]
- Fuchs, K.; Muller, G. Computation of Synthetic Seismograms with the Reflectivity Method and Comparison with Observations. Geophys. J. Int. 1971, 23, 417–433. [Google Scholar] [CrossRef]
- Fryer, G.J. A slowness approach to the reflectivity method of seismogram synthesis. Geophys. J. Int. 1980, 63, 747–758. [Google Scholar] [CrossRef]
- Haskell, N.A. The dispersion of surface waves on multilayered media. Bull. Seismol. Soc. Am. 1953, 43, 17–34. [Google Scholar] [CrossRef]
- Carcione, J.M. Energy balance and fundamental relations in dynamic anisotropic poro-viscoelasticity. Proc. R. Soc. A Math. Phys. Eng. Sci. 2001, 457, 331–348. [Google Scholar] [CrossRef]
- Kennett, B.L.N. Seismic Wave Propagation in Stratified Media; ANU Press: Canberra, Australia, 1983; pp. 196–201. [Google Scholar]
- Phinney, R.A.; Odom, R.I.; Fryer, G.J. Rapid generation of synthetic seismograms in layered media by vectorization of the algorithm. Bull. Seismol. Soc. Am. 1987, 77, 2218–2226. [Google Scholar]
- Ursin, B.; Stovas, A. Reflection and transmission responses of a layered isotropic viscoelastic medium. Geophysics 2002, 67, 307–323. [Google Scholar] [CrossRef]
- Hampson, D.P.; Russell, B.H.; Bankhead, B. Simultaneous inversion of pre-stack seismic data. SEG Tech. Progr. Expand. Abstr. 2005 Soc. Explor. Geophys. 2005, 24, 1633–1637. [Google Scholar]
- Yin, X.Y.; Zhao, J.; Zhang, F.C.; Sun, C.; Luo, H. Method of generating prestack synthetic seismograms of spherical wave. J. Univ. Pet. China Nat. Sci. Ed. 2006, 30, 26. [Google Scholar]
- Zheng, P.; Ding, B. The generalized reflection and transmission matrix method for wave propagation in stratified fluid-saturated porous media. Transp. Porous Media 2014, 102, 185–206. [Google Scholar] [CrossRef]
- Liu, H.; Li, J.; Chen, X.; Hou, B.; Chen, L.; Oliveira, S.A.M.; Braga, I.L.S.; Lacerda, M.B.; Ouverney, G.F.; de Franco, A.W.P.; et al. Amplitude variation with offset inversion using the reflectivity method. Geophysics 2016, 81, R185–R195. [Google Scholar] [CrossRef]
- Carcione, J.M.; Kosloff, D.; Kosloff, R. Viscoacoustic wave propagation simulation in the earth. Geophysics 1988, 53, 769–777. [Google Scholar] [CrossRef]
- Carcione, J.M. Constitutive model and wave equations for linear, viscoelastic, anisotropic media. Geophysics 1995, 60, 537–548. [Google Scholar] [CrossRef]
- Carcione, J.M. Amplitude variations with offset of pressure-seal reflections. Geophysics 2001, 66, 283–293. [Google Scholar] [CrossRef]
- Luo, C.; Li, X.; Huang, G. Pre-stack AVA inversion by using propagator matrix forward modeling. Pure Appl. Geophys. 2019, 176, 4445–4476. [Google Scholar] [CrossRef]
- Luo, C.; Ba, J.; Carcione, J.M.; Huang, G.; Guo, Q. Joint PP and PS pre-stack seismic inversion for stratified models based on the propagator matrix forward engine. Surv. Geophys. 2020, 41, 987–1028. [Google Scholar] [CrossRef]
- Carcione, J.M. Wave Fields in Real Media: Wave Propagation in Anisotropic, Anelastic, Porous and Electromagnetic Media; Elsevier: Amsterdam, The Netherlands, 2007. [Google Scholar]
- Aster, R.C.; Borchers, B.; Thurber, C.H. Parameter Estimation and Inverse Problems; Elsevier: Amsterdam, The Netherlands, 2018; pp. 93–95. [Google Scholar]
- Moré, J.J. The Levenberg-Marquardt algorithm: Implementation and theory//Numerical analysis. In Proceedings of the Biennial Conference, Dundee, Scotland, 28 June–1 July 1977; Springer: Berlin/Heidelberg, Germany, 2006; pp. 105–116. [Google Scholar]























| Computational Methods | Computational Runtime (s) | Number of Threads |
|---|---|---|
| Zoeppritz equation | 0.06 | 1 |
| PM | 2.13 | 16 |
| Modified PM | 6.72 | 16 |
Disclaimer/Publisher’s Note: The statements, opinions and data contained in all publications are solely those of the individual author(s) and contributor(s) and not of MDPI and/or the editor(s). MDPI and/or the editor(s) disclaim responsibility for any injury to people or property resulting from any ideas, methods, instructions or products referred to in the content. |
© 2025 by the authors. Licensee MDPI, Basel, Switzerland. This article is an open access article distributed under the terms and conditions of the Creative Commons Attribution (CC BY) license (https://creativecommons.org/licenses/by/4.0/).
Share and Cite
Ding, Q.; Chen, S.; Shen, J.; Hu, Z.; Wang, G. Multiparameter Inversion of Seismic Pre-Stack Amplitude Variation with Angle Based on a New Propagation Matrix Method. Appl. Sci. 2025, 15, 2636. https://doi.org/10.3390/app15052636
Ding Q, Chen S, Shen J, Hu Z, Wang G. Multiparameter Inversion of Seismic Pre-Stack Amplitude Variation with Angle Based on a New Propagation Matrix Method. Applied Sciences. 2025; 15(5):2636. https://doi.org/10.3390/app15052636
Chicago/Turabian StyleDing, Qianlong, Shuangquan Chen, Jinsong Shen, Zuzhi Hu, and Guoquan Wang. 2025. "Multiparameter Inversion of Seismic Pre-Stack Amplitude Variation with Angle Based on a New Propagation Matrix Method" Applied Sciences 15, no. 5: 2636. https://doi.org/10.3390/app15052636
APA StyleDing, Q., Chen, S., Shen, J., Hu, Z., & Wang, G. (2025). Multiparameter Inversion of Seismic Pre-Stack Amplitude Variation with Angle Based on a New Propagation Matrix Method. Applied Sciences, 15(5), 2636. https://doi.org/10.3390/app15052636

