Next Article in Journal
AdaptiveConv2d: A Novel Convolutional Module for Medical Image Segmentation
Previous Article in Journal
Influences of an Arrow’s Aerodynamic Pressure Center on Recurve Bow Shooting
 
 
Font Type:
Arial Georgia Verdana
Font Size:
Aa Aa Aa
Line Spacing:
Column Width:
Background:
Article

Wire Break Detection in Hybrid Towers of Wind Turbines: A Novel Application to Monitor Tendons Using Acoustic Emission Analysis

1
Marx Krontal Partner (MKP GmbH), 01069 Dresden, Germany
2
Institut für Massivbau, Technische Universität Dresden, 01219 Dresden, Germany
3
Institut für Informationsverarbeitung (tnt), Leibniz Universität Hannover, 30167 Hannover, Germany
4
MAX BÖGL, 92301 Neumarkt in der Oberpfalz, Germany
*
Author to whom correspondence should be addressed.
Appl. Sci. 2025, 15(4), 2164; https://doi.org/10.3390/app15042164
Submission received: 23 December 2024 / Revised: 8 February 2025 / Accepted: 17 February 2025 / Published: 18 February 2025

Abstract

The growing significance of wind energy in supplying renewable electricity underlines the increasing importance of wind turbine efficiency. Hybrid towers, integrating steel and pre-stressed concrete in a stacked structure, address traditional limitations in nacelle height but face new vulnerabilities, exemplified by a collapse in September 2021. This highlights the crucial need for continuous monitoring, particularly of the tower structure’s tendons. This study introduces acoustic emission monitoring as a novel approach for the early detection of wire breaks within the highly stressed tendons of hybrid towers. The investigations described focus on evaluating the suitability of this method for the specific use case and developing a generalized monitoring approach. Accordingly, background noise in an operating wind turbine tower was recorded and analyzed over a year-long operational period. Correlation analyses of these data unveiled intricate relationships between operational parameters and noise levels, with wind speed, rotor speed, and blade pitch angle exerting influence. Laboratory experiments were conducted on a full-scale specimen, and wire breaks were artificially provoked to characterize the damage signal and assess its attenuation in relevant structural components. The experimental results were integrated into a stochastic model to determine feasible sensor distances, aiming for a 90% probability of detection at a 95% confidence level. Low attenuation along the tendon was identified, enabling reliable detection over significant distances. Nevertheless, practical considerations suggest a focus on tendon anchorages, with the potential for grouped monitoring in specific areas to optimize sensor deployment. The study proposes a sensor network configuration to enhance the safety and reliability of wind turbine structures.

1. Introduction

The share of renewable energies in the electricity mix has risen steadily over the last two decades and is already significantly contributing to the energy supply. Wind energy plays a key role, particularly in Germany, where it accounts for around 26% of electricity from renewable sources. In view of Germany’s ambitious targets to increase the share of renewable energies to 80% by 2030, the energy output of wind turbines is becoming increasingly important.
The efficiency and performance of wind turbines depend on various factors, with tower height having a decided influence. Traditional steel construction reached its limits due to the rings’ limited maximum diameter, consequently leading to the development of hybrid towers. In this construction method, the lower part of the tower consists of pre-stressed precast concrete elements with highly stressed tendons. Typically, these tendons are internally routed inside the tower and contribute significantly to the stability and load-bearing capacity of the structure. This enables higher tower heights and, hence, greater hub heights.
However, on 29 September 2021, a hybrid tower collapsed on a wind farm near Haltern am See [1]. On analysis, the pre-stressed concrete part of the tower was identified as a weakness, resulting in the decision to dismantle similar turbines, thus incurring significant financial losses. Even though the tendons were not directly responsible, such incidents emphasize the need for continuous condition monitoring of wind turbines. While previous research predominantly concentrated on monitoring machine components and rotor blades [2,3,4,5], as these are considered more susceptible to damage than the tower structures and foundations, this case underlines the need to detect damage to the tower structure as well. Damage to the support structure can rapidly lead to complete failure of the turbine.
Vibration analyses based on strain gauges and acceleration or inclination sensors have been investigated to monitor the tower structure during operation. These analyses are frequently supported by detailed numerical models or experimental investigations in wind tunnels [6,7,8,9,10,11]. However, certain types of damage, such as damage to tendons, cannot be recognized early using these methods. Due to high dynamic loads, individual pre-stressing wires in the tendons and their anchoring can fail while remaining undetected, posing the potential risk of complete loss of the load-bearing capacity of the tower structure. Acoustic emission analysis (AE), based on detecting the sudden release of energy in the form of elastic waves through cracks, offers an effective way to detect and localize active sources of damage at an early stage [12]. In monitoring the machine components and rotor blades, these advantages of acoustic methods are already known and in use, particularly for detecting and localizing damage [2,13,14,15,16,17,18]. For the support structure, however, only a few applications are known, such as monitoring of grouted connections of offshore substructures [19]. In other engineering fields, this technology has been developed since the 20th century to detect wire breaks in suspensions, stay cables, and pre-stressed tendons [20,21,22]. Thus, the motivation is to supplement or partially replace the labor-intensive visual inspections of tendons with minimally invasive methods. Therefore, non-destructive and automated methods have become the focus of attention [23]. On freely hanging cable sections, the inside of the cable can nowadays be easily and reliably inspected using self-driving robots and magnetic methods [24,25]. However, the inspection of anchors is more difficult due to their accessibility, limited by structural enclosures. Nevertheless, these are the most heavily stressed areas due to dynamic loads and are more vulnerable to damage [26]. Ultrasound-based methods provide a possible approach for investigating these hot-spots, but usually require additional information from simulations or preliminary studies on a comparable test object before field application [23,27].
In contrast, AE presents a compelling alternative, enabling real-time, continuous monitoring without requiring direct access to the tendons and with reduced dependence on object-specific knowledge. Unlike periodic inspections, AE operates without necessitating scheduled shutdowns. Moreover, AE is particularly effective in detecting wire break events in concealed areas, like tendons or their anchorages. Since tendon failure presents a significant risk to the structural integrity of the entire structure and can progress rapidly after initial damage, early detection is crucial for mitigating and preventing critical failure. For these reasons, the method is widely and successfully used to detect wire breaks in stay cables, suspension cables, and pre-stressed concrete bridges [28,29,30,31,32].
Acoustic emissions are caused by damage and can also arise as unwanted background noise due to friction. Such noise-related acoustic emissions must be distinguished from damage signals. During the operation of wind turbines, background noise arises from various sources and is mainly categorized as mechanical and aerodynamic noise [2,33,34]. Mechanical noise, which is generated by the gearbox and generator in the nacelle or by the maneuverings of the nacelle and rotor blades, is the primary noise source. It is transmitted into the tower structure as structure-borne noise. Aerodynamic noise is caused by interactions with the air, influenced by uneven loading of the blades and by their pitch angles (see Figure 1 [33]). The inflow behavior and separation stall noise at the trailing edge play a role here. While trailing edge noise tends to have a broadband character, separation stall noise can be tonal in nature to the extent of a Kármán vortex street. Although aerodynamic noise differs fundamentally from structure-borne noise in its origins, it is assumed that this noise is partially induced into the structural components, e.g., blade and tower, as structure-borne noise and propagates further. Accordingly, background noise sources’ origins and associated correlations with generation are considered relevant to detecting wire breaks.
To the authors’ knowledge, the acoustic monitoring of tendons in hybrid towers is a new application. Thus, this study presents investigations on the transfer of this method from bridge engineering to wind turbines. The primary objective is to build a comprehensive database to evaluate the proposed solution. For this purpose, a thorough investigation of the background noise level of wind turbines is essential. Acoustic activity was monitored over a period of one year during the regular operation of a wind turbine. The interdependencies among operational noise, environmental influences, and machine operating parameters were analyzed in this context. In addition, laboratory experiments were carried out to investigate the signal propagation of artificially induced wire breaks along key components of the concrete part of a hybrid tower. For this purpose, a test frame was constructed on a realistic scale. The results of these experiments provide information on the characteristics of wire break signals and their attenuation via individual components or component interfaces. A generalized monitoring concept that enables reliable monitoring of these critical components is proposed using a stochastic model to calculate the probability of detecting individual signal features.

2. Experimental Investigations and Data Acquisition

2.1. Construction of Hybrid Towers

Hybrid towers consist of a combination of concrete and steel structures. Such a tower is shown in Figure 2. The concrete substructure consists of individual ring segments stacked on top of each other without additional connecting elements. This enables the construction of large diameters and at the same time simplifies the delivery and assembly of individual concrete segments.
The steel tower is placed on top of the concrete structure. The force-fit connection is affected by the transition piece (see Figure 3). The tendons are anchored in this area. From here, the tendons run inside the concrete tower to the foundation (see Figure 4a). Inside the tower, they lie freely and, at particular sections, are in contact with the tower’s inner wall, as the rings’ diameters change non-linearly over the tower’s height. The pre-stressing anchors are located at the bottom of the tower. Traditionally, the foundation has a tensioning chamber to provide the necessary space for pressing and tensioning work. This conventional type of foundation is, as a consequence, particularly massive. A much flatter foundation is achieved with the anchors freely suspended above the foundation. Thus, they are located in the entrance area at ground level. This novel design contributes to a significantly more efficient use of materials.
Both types of construction are relevant to the tests carried out. The initial plan was to analyze only the novel anchorage. Accordingly, the test specimens for laboratory tests were constructed with the novel anchorage (see Section 2.2). However, ultimately, the operational monitoring could only be carried out on a system with conventional anchoring (see Section 2.3). The structural differences have an effect on the signal transmission from the tendon end to the foundation and must, as a consequence, be taken into account when analyzing the results. The anchorage at the transition piece is the same in both cases.

2.2. Operational Monitoring on a Hybrid Tower In Situ

The operational measurements were carried out on an operating wind turbine, with a measuring system permanently installed in the plant. In collaboration with the associated partner (MAX BÖGL), a wind turbine with a conventional foundation near Neumarkt in der Oberpfalz (Karholz) was selected for this purpose, which had already been analyzed in other research projects (e.g., “MISTRALWIND”, “IM Wind” [10]). This turbine was monitored for almost one year, from 25 February 2021 to 22 February 2022.
The foundation of this tower provides a spacious tensioning chamber in which the master unit of the measurement system was set up and installed. Free empty ducts between the ground level and the tensioning chamber were used for the tendon routing so that, for example, a power cable could be routed down into the tensioning chamber and measurement cables and antennas could be routed upwards.
The areas around the anchorages of the tendons on the foundation and transition piece were selected as sensor locations. On the one hand, the anchorages were identified as potential locations for frequent damage. On the other hand, it is possible to monitor several tendons with a single sensor only at these locations. This opportunity can be exploited to reduce the total number of sensors within a generalized monitoring concept.
A total of eight acoustic emission sensors were installed on the tower structure. Figure 4a,b show the relevant sensor locations. In the tensioning chamber, four sensors were installed at two measuring locations between the anchorages of the lower tendon ends. These sensors were positioned at the quarters of the tower’s diameter and centrally between two anchorages. Two VS30 sensors with a preamplification of 0 dB and 34 dB were used at each measuring location [35]. These sensors are specifically sensitive in the range from 25 to 80 kHz. This pair of amplifications was chosen because the background noise level could not be determined in advance, and the actual magnitude of the background was unclear.
The measured data were recorded locally and stored onsite. The data were recorded as continuous time series with a sampling rate of 100 kHz without additional filtering. As immediate data analysis was not required, remote data transmission was unnecessary, and local storage on hard drives was chosen instead. During the measuring period, the hard disks had to be exchanged several times in the course of maintenance work due to the large amounts of data generated. It was not always possible to schedule the replacement without delay when the hard drives were full, which resulted in data gaps lasting several weeks in some cases. A total data volume of 29 terabytes was recorded over the entire measurement period.
The environmental conditions and operating parameters of the wind turbine (including temperature, wind direction, wind speed, rotor speed, blade pitch angle, and nacelle direction) were recorded by a SCADA system by default (Supervisory Control and Data Acquisition). This system enables the wind turbine operator to control and monitor its performance remotely. These data were provided at a sampling rate of 15 min.

2.3. Laboratory Experiments on a Full-Scale Test Specimen

Deliberate and targeted damage to the tendons of an operating wind turbine is most certainly irresponsible. However, such damage events are essential for the intended analysis. For this reason, a full-scale test specimen was set up in the Otto-Mohr-Laboratory at TU Dresden (see Figure 5 and [36]). The aim was to replicate the structural conditions as accurately as possible. Therefore, a full-scale test specimen was set up.
A 12.0 m long and 4.1 m wide frame was designed, which was pre-stressed with four SUSPA-Draht EX30 tendons. The tendons consist of a total of 30 parallel, individual wires, which are guided through a PE duct grouted with grease. The selected tendon lengths reflect technically feasible dimensions and allow an adequate survey of the attenuation properties along the tendons. Four novel anchorages were provided and embedded in a crossbeam to replicate the foundation adequately. The transition piece was also recreated using a massive crossbeam, which was cast onto a 5 cm thick steel plate and thus reflected the connection to the steel tower and the local structural conditions of the wind turbine. The center-to- center distance of the tendons is 0.9 m. This is about twice the distance at the transition piece and about 0.1 m less than the distance at the foundation.
All 30 wires were separated one after the other on each tendon of the test frame. To depict different scenarios, the cutting position varied along the tendon length. A total of 120 wire break events were artificially induced as part of the research project. This article focuses exclusively on the 30 wire break events of one specific tendon and the associated sensor arrangement.
An overview of the sensor arrangement can be found in Figure 5 (right) and Figure 6. The frame was equipped with a total of 24 sensors, of which only the 16 sensors shown in these figures were analyzed. The other sensors are irrelevant for this analysis due to their hardware configuration. Sensor 1 was positioned on the steel plate of the novel anchorage (Figure 6, right). Sensors 2 to 8 were positioned along the tendon at equal distances of one meter using special mounting clamps. The cutting position, where the wire breaks were generated, was between sensors 1 and 2. These sensors are at distances of 0.65 m and 1.00 m closest to the breaking position of the wires. Additional sensors were attached to the crossbeams of the frame in the axes of the tendons. On the crossbeam representing the foundation (Figure 6, right), sensors 13 to 16 were centrally located between the threaded rods of the anchorage. On the other crossbeam, which represented the transition piece, the tendons were anchored to the steel plate located behind the crossbeam. The sensors 21 to 24 were attached adjacent to each tendon (Figure 6, left).
VS30 sensors from Vallen Systeme GmbH were used, as had already been used for the operational measurements. The sampling rate was set at 10 MHz. The sensors on the crossbeams were operated with 0 dB preamplifiers. Different preamplifier settings were applied to the tendons’ sensors and the anchoring plate (sensor 1–8), either with 0 dB, −20 dB, or −40 dB. To ensure the comparability of all sensor data, the attenuated signals were converted to a preamplification of 0 dB.

3. Methodology and Data Preparation

3.1. Probability of Detection and Sensor Distances

Basic methods of parameter-based analysis were used to evaluate the suitability of acoustic emission monitoring for wind turbine applications [12]. These methods are widely used, as their straightforward determination allows for the broad application of related concepts. Consequently, they were utilized for this research.
In parameter-based analysis, the measured time–amplitude signal is characterized based on certain features. These features are used to draw conclusions about the underlying causes of signal formation [37,38,39]. Feature extraction significantly reduces the data volume, which is why this approach is widely used in acoustic emission analysis, especially for efficiently processing large data sets. Typical features in the time domain are peak-amplitude A and signal energy E. In the frequency domain, the spectral centroid SC is one feature analyzed. In this paper, these three characteristics were evaluated, with amplitude and energy being the main criteria for the intensity analysis.
To develop a sensor layout, the concept of probability of detection (PoD) in acoustic emission analysis was utilized [40,41]. PoD is a statistical framework used to evaluate the effectiveness of non-destructive testing (NDT) methods in detecting defects or damage within a structure. It quantifies the likelihood that a given sensor configuration and signal processing approach will successfully identify a defect at varying conditions, including inspector skill, inspection technique, material properties, and environmental conditions. A PoD curve shows detection probability as a function of defect size, with key points like a 50 (50% detection) and a 90 / 95 (90% detection with 95% confidence). It is crucial in safety-critical industries like aerospace and nuclear, ensuring reliable defect detection and compliance with regulatory standards. A fundamental document is the MIL-HDBK-1923 handbook, which has guided the creation and application of PoD [42]. This method was adapted from other applications in AE for wind energy plants from the problem of detecting wire breaks in bridge structures [31,43]. Figure 7 illustrates this concept in an exemplary manner for one feature. Three key input components are crucial for applying this methodology: the source signal, the specific attenuation along a structure or at discrete structure transitions, and the background noise level. The knowledge of their characteristics is achieved experimentally using extensive measurements on the test objects. The required statistical parameters are derived from the data. The mean value and standard deviation describe the feature distribution of the damage signals. The attenuation is determined by regression analysis for a set of sensors. From this, an upper quantile value is considered, which, in this case, is defined as the 90% quantile. The spatial relation is established with the attenuation coefficient, and the feature considered is set in connection with the distance between the source and the sensor. The standard error of the attenuation coefficients can be calculated using individual measurements, which allows the introduction of the 95% confidence interval. For background noise, the upper quantile value of 90% is also determined, which serves as the threshold for evaluation in the model and for calculating the probability of detection. The statistical parameters are combined in a stochastic model (PoD model) based on a normal distribution and calculate the probability of a signal feature falling below the threshold value into the background noise at the respective position. The point of evaluation and, thus, the maximum sensor distance is reached at the intersection of the 95% confidence interval and a probability of 90%. The spatial distribution of the probability of detection can thus be specified for the structure in relation to the sensor positions.
Therefore, the discrimination among the signal classes is similar to an outlier detection. The more significant the difference between the damage and background noise signal class, the greater the sensor distances can be selected, and a reliable distinction can still be ensured. If this difference is small, only narrow sensor distances can be achieved. These relationships form the basis for the development of the generalized monitoring concept. The unique aspect of wind turbines is that, in contrast to bridge construction, where the signals propagate along a mostly steady and uninterrupted structure, transmissions from the tendon to the foundation or the transition piece are zones with high impedance, which must be considered.

3.2. Operational Monitoring Data

The large data set from the operational monitoring was subjected to post-processing, whereby feature extraction was implemented in both the time and frequency domains. The continuous time series were segmented into lengths of 10 ms and processed further. A bandpass filter from 0.5 to 45 kHz was applied to each segment before calculating the peak amplitude, energy, and spectral centroid. The post-processing of the data took about three weeks on a workstation.
The selected segment length led to a very high number of data points for this data set, which complicated its visualization. Hence, an aggregation was applied to 15-min periods by synchronizing the sampling rate of the acoustic emission data with the SCADA data. Each period was characterized by statistical parameters, including minimum, maximum, mean, etc. In the figures shown in this article (see Section 4.1 and Section 4.2), mainly the minimum and maximum values of the different acoustic features are presented, as this representation provides a good understanding of the particular distribution and intensity of the background noise. Redundant and highly correlated sensors were excluded during data preparation to reduce the data size for further analysis. Consequently, only the aggregated data from sensor 3 at the transition piece and sensor 7 at the foundation formed the basis for determining the threshold values for background noise.
The tower SCADA data were merged with the acoustic emission data to analyze their interdependencies and correlations. It is well known that wind turbines operate under the influence of constantly changing environmental conditions, and, due to the dynamic spectrum of wind speeds, rotor speeds and blade pitch angles vary. These factors have previously been identified as the most important parameters expected to significantly affect the acoustic emission characteristics of operational noise in wind turbines [44]. Wind and nacelle direction were excluded from further analysis as they were only randomly related to the other parameters.

3.3. Wire Break Data

The measurement data from the laboratory experiments was prepared using the same procedure as the operational data to ensure a high degree of comparability. To establish a comparable basis, the transient signals were first normalized to a preamplification level of 0 dB and resampled from 10 MHz to 100 kHz. A uniform threshold of 90 dB was introduced to determine the beginning of the signal, with the first crossing of this threshold being defined as the signal’s onset. Subsequently, 10 ms long time segments were extracted from the data and the aforementioned features were calculated in both the time and frequency domain.

4. Results

4.1. Time-Dependent Behavior of Operational Noise

The background noise from the operating system was processed for the entire measurement period and displayed in Figure 8. This figure shows the aggregated minima and maxima of the amplitude, energy, and spectral centroid. The data from sensor 3 at the transition piece are shown in the left column, while the data from sensor 7 at the foundation are shown in the right column. By studying the statistical spread and directly comparing the sensors, the position-specific variation of the background noise becomes apparent. Sensor 3 shows a higher intensity of background noise than sensor 7. Here, it is worth noting that the spread is significantly lower for sensor 3. This observation suggests that the proximity to the nacelle and the mounting on the steel structure of the tower play a role. Obviously, the vibrations of the generator are transmitted with greater intensity up to this point in the tower. In contrast, the lower intensity at sensor 7 could be related to a higher attenuation due to the concrete structure.
On closer analysis, a correlation with maintenance activities was identified. Vertical drops can be seen in the data at various points, particularly in the amplitude plot between the lowest minima at around 60 dB (electrical noise level) and the bands above. These regular drops could be clearly assigned to the periods stated in the maintenance logs. During maintenance work, the entire system is switched off and on, entered by personnel, and thus exposed to different source characteristics. These changes are visible in the form of the detected drops in the data.
For this reason, the maintenance periods were excluded from the data sets for subsequent correlation analyses in Section 4.2. This also applies to a special operating condition at the beginning of May, which occurred for three days and could not be observed with comparable intensity in the following period. Due to the lack of information related to the circumstances, this period was also excluded from the data for the correlation analyses.
Based on the filtered data of the 15-minute maxima, quantiles were determined for the sensors and the outer limits for each feature were defined as evaluation thresholds. The respective values included in the PoD model in Section 4.4 are summarized in Table 1. These thresholds exclude a significant proportion of the remaining operational noise, as the maxima and minima already represent aggregated periods.

4.2. Correlation Between Operational Parameters and Acoustic Emission Data

4.2.1. Wind Speed and Temperature

Figure 9 illustrates the correlations between the acoustic emission parameters and wind speed. To emphasize the relationships among the values depicted in the correlation diagrams, moving averages for the maxima were inserted as black lines. These moving averages were computed using a window width of 1000 samples, and a minimum of 200 values was set to ensure the capture of the trend at the beginning of the curve. Consequently, the correlation becomes particularly clear in the plot of the amplitude of sensor 7. At low wind speeds (<1 m/s), the amplitudes remain low but gradually increase with increasing wind speed. The spread of the maxima shows significant variability up to a wind speed of approximately 7 m/s, after which it abruptly narrows to ±2 dB. At this point, sensor 7 registers the highest operational noise level. Similar observations have already been made in [44], highlighting a substantial increase in acoustic emission intensity up to wind speeds of 7–8 m/s. On average, the amplitude at sensor 7 increased by approximately 20 dB.
The moving average reveals a qualitatively similar trend in other plots. Sensor 3 shows high similarity in both amplitude and energy but with a generally higher operational noise level. Moreover, the amplitude differences between wind speeds of 1 and 7 m/s are less pronounced when compared to sensor 7, with a 6 dB increase at sensor 3.
In the spectral domain, a noticeable increase in frequency begins at a wind speed of approximately 1 m/s. At around 3.5 m/s, this increase stabilizes, reaching a plateau of around 27.3 kHz at sensor 3 and 23.9 kHz at sensor 7. Notably, there is an accumulation of minima at sensor 3 within the wind speed range of 2.3 to 5.5 m/s. Despite an analysis of operational parameters, no specific grouping could be identified, suggesting that unrecorded parameters may additionally influence background noise. Consequently, individual effects cannot be conclusively and distinctly isolated.
The impact of temperature is not illustrated, as there was no apparent correlation between temperature and ambient noise level. The relationship seemed entirely random at sensor 3 (transition piece). Sensor 7 (foundation) exhibited occasional instances of larger peak amplitudes and energies at temperatures ranging between 10 and 25 °C. However, no significant correlation was evident. The possibility of a connection with maintenance interventions can be excluded, as these periods were previously filtered from the analysis, as noted earlier.

4.2.2. Rotor Speed

The analysis of the correlation between acoustic signal features and rotor speed reveals a more specific dependency than wind speed, as seen in Figure 10 through the trends of the moving averages of the maxima.
Again, the correlation is most pronounced for sensor 7’s amplitudes. Up to a speed of 5 rpm, the operational noise level remains low, at approximately 70 dB. Between 5 and 7 rpm, the moving average increases by about 12 dB. The changes in this speed range are associated with irregular interactions of rotor speed, blade pitch angle, and wind speed, which are attributable to an optimization of machine operation or switching processes. Between 7 rpm and around 8.5 rpm, another increase in amplitudes of about 6 dB is observed. Throughout the range where acoustic intensity increases, there is a significant scattering of the maxima. At approximately 8.5 rpm, the scattering abruptly decreases, becoming slightly larger again around 14 rpm. This pattern seems to be closely related to the blade pitch angle. A correlation analysis with respect to this parameter indicates that the blade pitch angle remains nearly constant during these speeds and only exhibits more substantial variations around 14 rpm. Other signal features also show these distinctive characteristics in specific speed ranges.

4.2.3. Blade Pitch Angle

The relationships between the blade pitch angle and the signal features are shown in Figure 11. The largest amplitudes are measured at a blade angle of −2° to −1° and average around 105 dB at sensor 3 and around 90 dB at sensor 7. Up to an angle of 28°, the amplitudes decrease to around 101 dB at sensor 3 and 74 dB at sensor 7, beyond which the acoustic activity remains almost stable. The energy and spectral centroid show a qualitatively similar relationship.
The blade pitch angle is adjusted depending on the wind speed to ensure optimal machine operation. The analysis indicates that, up to wind speeds of 3.5 m/s, the blade position varies between −2° and 25°. Between 3.5 m/s and 9 m/s, the turbine is primarily operated in a neutral position of approximately −2°, and only at higher wind speeds does the position change again up to 25°. This explains why louder background noise occurs at low blade pitch angles, as the rotor speed and wind speed tend to be high at these positions. In addition, this underlines the coupling of aerodynamic noise from the wind turbine blades and their interaction with the air in the tower structure. However, the relationship cannot be considered in isolation here either; it depends on the other operating parameters.

4.3. Analysis of Wire Break Events and Structural Attenuation

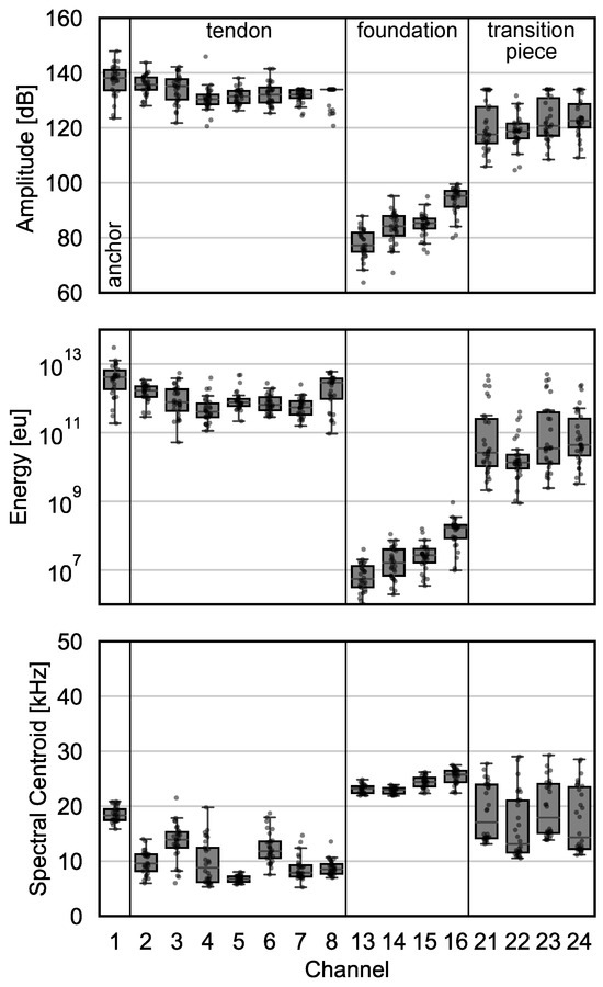
The statistical parameters of the wire break signal´s feature distributions and the required attenuation coefficients were determined through laboratory experiments. Figure 12 illustrates the features of the wire break events for each sensor position, with corresponding annotations added within the figure to facilitate the allocation of the sensor number to the structural component. The statistical parameters are summarized in Table 2 and Table 3. The parameters were calculated only for selected sensors based on the observations below.
The amplitudes are shown in the upper plot of Figure 12. A bi-linear trend can be observed for sensors 1 to 8. The amplitudes initially decrease up to sensor 4, which is explained by the expected attenuation of the signals over the length of the tendon. However, the amplitudes gradually increase again at sensors 5 to 8. This behavior is less obvious for energy. The increase is interrupted at sensors 6 and 7, while sensor 8, again, shows substantial growth. It is suspected that this counter-movement starting approximately halfway along the tendon is attributed to reflections and back-scattering at the anchorage at the transition piece crossbeam on the opposite side of the cutting position. For this reason, the attenuation coefficient on the tendon is calculated only using sensors 2 to 5.
During the signal transmission from the tendon to the foundation through the novel anchoring construction, there is a clear attenuation of at least 23.0 dB, with an average value of 43.6 dB. Although the break location is close to the anchor plate and sensor 16 on the crossbeam is in the immediate vicinity of the anchoring construction, the measured signals fall within the magnitude of the operational noise. As signals propagate transversely along the crossbeam, they are, in addition, significantly attenuated (see sensors 16 to 13), with an average attenuation of 5.5 dB/m, which is within the expected range for a concrete structure. It becomes evident that no sufficient signal transmission through the novel anchoring construction is possible.
In comparison, the conventional anchoring between the tendon and foundation has fewer transmission zones. This case is analyzed by looking at the transmission on the other crossbeam (transition piece), whereby sensors 2 and 24 were considered. While sensor 8 is generally closer to the crossbeam than sensor 2 and could provide a more accurate attenuation assessment, the measuring range is constrained to 134 dB due to the hardware configuration, precluding quantitative analysis. Consequently, using sensor 2 tends to overestimate the attenuation. The average value of the attenuation is approximately 14.3 dB.
In the frequency domain, additional component-specific characteristics become apparent. At the tendon, spectral centroids are remarkably low, likely due to the excitation of body vibrations in addition to elastic waves during a wire break [43]. The frequency increases at the steel components adjacent to the tendon (anchor plate of the novel anchoring construction and steel plate of the crossbeam), indicating significant attenuation of lower frequencies during the transmission through the contact zones between those components. The spectral centroid naturally moves towards the sensor-specific response spectrum or the frequency range’s mean as a signal is attenuated. Consequently, the spectral centroid at the foundation crossbeam is approximately 25 kHz and shows a low scattering across all sensors. The sensor has a local resonance frequency at this frequency, which appears predominant in strongly noisy signals [35].
For the investigated signal features, varying scatter was observed across different components and sensor positions. At the tendon and anchor, the features exhibit lower scatter than the transition piece crossbeam. This increased scattering is likely due to signal transmission through the tensioning anchor, the excitation, and the dimension of the steel plate. To account for such scattering effects, quantiles were derived from the feature distributions at specific measurement positions for use in the PoD model. These quantiles were determined for both the magnitude and the attenuation coefficients and are presented in Table 2 and Table 3. This approach ensures that new wire break events are captured reliably. The mean value and standard deviation are also documented for completeness and informational purposes.

4.4. Discussion of a Generalized Monitoring Concept

The model for calculating the probability of detection (PoD model) was created for each component using the statistical parameters from the previous analyses. Potential sensor distances were calculated using these models, and the required number of sensors was determined.
The development and analysis of the models directly validate the conclusions from Section 4.3, stating that installing sensors on the foundation for the novel anchoring is not feasible. The high attenuation led to substantial interference caused by operational noise. Consequently, each anchoring must be monitored with a single sensor, resulting in a total of 24 sensors.
In contrast, the tendons, characterized by relatively low attenuation, permit a more extensive sensor range. A 90% detection probability can be achieved at a distance of up to 17.2 m. With the tendon´s length in the tower measuring approximately 80 m, a minimum of five sensors is required for effective monitoring. The spectral centroid serves as an additional evaluation criterion for the tendons. A frequency analysis combined signals from wire breaks with various randomly selected operational measurement data, aiming to assess superimposition effects in the frequency range. The intensity of the wire break signals is particularly high at sensors 1–8, resulting in a favorable signal-to-noise ratio. Upon superimposition with operational noise from sensor 3 (transition piece), a discernible shift of the spectral centroid by approximately 3–4 kHz towards higher frequencies was observed. Due to the high attenuation in the anchorages, the authors assumed that the operational noise at the tendon was similar to that at the foundation. Still, clearly, it was not specified during the monitoring. Under this assumption, the evaluation threshold given in Table 1 clearly demonstrates that sensors directly attached to the tendon enable reliable distinction. This finding is particularly significant for the novel anchoring construction, where the direct attachment of sensors to the tendon provides this benefit.
A low background noise level was assumed for the PoD model of the tendon. The measurements have shown that the coupling via the anchoring naturally absorbs the noise. However, intermittent contact of the tendons with the tower’s inner wall introduces potential influences on signal propagation and possible coupling of operational noise.
The PoD models for the foundation with conventional anchoring and the transition piece are presented in Figure 13, focusing on the amplitude feature due to pronounced superimposition from operational noise, as shown through the frequency analysis. Both models rely on measurement data from sensor 24 on the transition piece crossbeam, assuming comparable signal transmission from the tendon to the crossbeam. From a constructive perspective, the number and quality of interfaces are very comparable in both cases. The attenuation through signal transmission is implicitly included in the model by considering measurements from sensor 24 characterizing a local output signal. The values are conservative, accounting for the attenuation of the tendon for a 9 m section. As a result, maximum sensor distances are determined to be 4.0 m for the foundation and 2.7 m for the transition piece. This allows for the coverage of multiple tendons by a single sensor, enabling grouped monitoring in the transverse direction and consequently reducing the number of sensors for wire break detection in the anchoring areas.
The anchorages are arranged radially on the foundation and the transition piece, requiring a minimum of seven sensors on the foundation and five sensors on the transition piece based on their respective circumferences of approximately 25.1 m and 11.0 m. The distribution of sensor locations in the anchoring areas is depicted in Figure 14, emphasizing the top views of the entrance at ground level for conventional and novel anchoring (left and middle), as well as the transition piece (right). The distribution along the tendons is not explicitly presented in this representation.
When deciding on a final measurement scope, it is crucial to consider the challenging access to tendons, achievable only with suitable techniques. Given the higher likelihood of wire breaks in the anchoring areas [27], focusing the monitoring concept on these areas and immediately adjacent tendon sections appears appropriate. Consequently, the minimum setup for a generalized monitoring concept consists of 12 sensors for conventional anchoring and 29 sensors for novel anchoring.
The proposed method aims to prevent too much overlap between noise and damage distribution. Overlapping data classes naturally reduce detection probability, as distinguishing between the two distributions becomes more challenging. Therefore, advanced signal processing techniques or alternative evaluation criteria can enhance detection accuracy, as shown in [45]. Nevertheless, the advantage lies in extrapolating sensor distances, making it suitable for sensor layout design before the installation of a system.
The operational measurements were conducted on a single onshore tower, and the applicability of this concept to other towers relies on the assumption of similar boundary conditions. While this assumption is likely valid for towers of the same design, the specific differences were not precisely analyzed. Therefore, further research is necessary to evaluate the transferability of the results to towers with similar and different designs, including potential applications in offshore environments.

5. Conclusions

Wind turbines are critical infrastructure, requiring effective monitoring to ensure structural integrity. This integrity is essential in the context of global climate policy goals, particularly those pursued in Germany, and to ensure the security of supply. To address this, acoustic methods for monitoring damaging events in tower structures were evaluated, primarily focusing on the highly stressed tendons. A monitoring concept based on stochastic models to calculate the probability of detection of wire breaks for individual signal features, aiming for a 90% detection probability at a 95% confidence level. Key findings include the following:
  • Operational noise was analyzed over a period of approximately one year, revealing no time-dependent behavior.
  • Noise levels at the transition piece (upper anchor of the tendon) were 16 dB higher than at the foundation, primarily due to closer proximity to the nacelle, respectively greater distance at the lower anchor with acoustic shielding provided by the concrete tower.
  • Higher wind and rotor speeds and smaller blade pitch angles increased noise levels. However, the isolated identification of the individual influences of rotor speed, blade pitch angle, and wind speed proved practically unfeasible.
  • Tendon monitoring is feasible over 17.2 m, requiring five sensors per 80 m tendon. However, focusing on anchorages is more practical.
  • High impedance in novel anchorage requires individual sensors (24 total), while conventional anchorage allows grouped monitoring, reducing sensor needs to seven at the foundation. At the transition piece, grouped monitoring is likewise possible, making five sensors necessary.
This study establishes a baseline for a generalized monitoring concept to detect wire breaks in tendons of hybrid towers. The feasibility of AE for this application has been demonstrated. However, further research is required to assess the transferability of the findings to towers of the same and different construction types, as the present study was limited to a single monitored tower. Additionally, the potential for optimization through multi-criteria models and advanced signal processing was not explored. Future work should enhance detection accuracy and minimize sensor requirements, particularly in noisy environments, such as [45].

Author Contributions

Conceptualization, M.F., R.X. and S.M.; methodology, M.F.; software, M.F. and R.X.; validation, M.F. and R.X.; formal analysis, M.F.; investigation, M.F.; resources, M.F.; data curation, M.F.; writing—original draft preparation, M.F. and R.X.; writing—review and editing, M.F., R.X., A.L., S.M. and J.O.; visualization, M.F.; supervision, S.M., J.O. and T.B. All authors have read and agreed to the published version of the manuscript.

Funding

This paper presents results of the research project KISWind (AI-supported acoustic emission monitoring for automatic damage detection in support structures of wind turbines) funded by the Federal Ministry for Economic Affairs and Climate Action, Germany (funding reference: 03EE2025C).

Institutional Review Board Statement

Not applicable.

Informed Consent Statement

Not applicable.

Data Availability Statement

Data will be made available on request.

Conflicts of Interest

Author Max Fiedler was employed by the company Marx Krontal Partner (MKP GmbH) and Thorsten Betz was employed by the company MAX BÖGL. The remaining authors declare that the research was conducted in the absence of any commercial or financial relationships that could be construed as a potential conflict of interest.

Abbreviations

The following abbreviations are used in this manuscript:
AEAcoustic Emission
NDTNon-Destructive Testing
PoDProbability of Detection
SHMStructural Health Monitoring

References

  1. Nordex, S.E. Hintergrundinformationen zum Rückbau von Baugleichen Turbinen in Deutschland. 2022. Available online: https://www.nordex-online.com/de/2022/11/hintergrundinformationen-zum-rueckbau-von-18-baugleichen-turbinen-in-deutschland/ (accessed on 16 February 2025).
  2. Ding, S.; Yang, C.; Zhang, S. Acoustic-Signal-Based Damage Detection of Wind Turbine Blades: A Review. Sensors 2023, 23, 4987. [Google Scholar] [CrossRef]
  3. Tchakoua, P.; Wamkeue, R.; Ouhrouche, M.; Slaoui-Hasnaoui, F.; Tameghe, T.A.; Ekemb, G. Wind Turbine Condition Monitoring: State-of-the-Art Review, New Trends, and Future Challenges. Energies 2014, 7, 2595–2630. [Google Scholar] [CrossRef]
  4. Bejger, A.; Drzewieniecki, J.B.; Bartoszko, P.; Frank, E. The Use of Coherence Functions of Acoustic Emission Signals as a Method for Diagnosing Wind Turbine Blades. Energies 2023, 16, 7474. [Google Scholar] [CrossRef]
  5. Alnutayfat, A.; Sutin, A. Wideband Vibro-Acoustic Modulation for Crack Detection in Wind Turbine Blades. Appl. Sci. 2023, 13, 9570. [Google Scholar] [CrossRef]
  6. Rolfes, R.; Gerasch, W.J.; Haake, G.; Reetz, J.; Zerbst, S. Early Damage Detection System for Tower and Rotor Blades of Offshore Wind Turbines. In 3rd European Workshop—Structural Health Monitoring; Güemes, A., Ed.; DEStech Publications, Inc.: Granada, Spain, 2006; pp. 455–462. [Google Scholar]
  7. Schaumann, P.; Böker, C.; Wilke, F. Lebensdaueranalyse komplexer Tragstrukturen unter Seegangsbeanspruchung. Stahlbau 2005, 74, 406–411. [Google Scholar] [CrossRef]
  8. Kraemer, P. Schadensdiagnoseverfahren für die Zustandsüberwachung von Offshore-Windenergieanlagen. Ph.D. Thesis, Schriftenreihe der Arbeitsgruppe für Technische Mechanik im Institut für Mechanik und Regelungstechnik-Mechatronik, Siegen, Germany, 2011. [Google Scholar]
  9. Klein, F.; Marx, S. Torsional Load-Bearing Capacity of Half-Shell Segments for Prestressed Concrete Towers. Eng. Struct. 2021, 243, 112589. [Google Scholar] [CrossRef]
  10. Rupfle, J.; Wondra, B.; Grosse, C.U. Long-Term Multiple Sensor Monitoring of a Hybrid Tower Wind Turbine—Lessons Learned. In Experimental Vibration Analysis for Civil Engineering Structures; Limongelli, M.P., Giordano, P.F., Quqa, S., Gentile, C., Cigada, A., Eds.; Springer Nature: Cham, Switzerland, 2023; pp. 539–549. ISBN 978-3-031-39109-5. [Google Scholar]
  11. Li, D.; Fang, S.; Sun, C.; Zhang, Z.; Lai, Z. Passive Structural Control for Wind Turbine Towers Using a Novel Dual-Track Nonlinear Energy Sink. J. Vib. Control 2024. [Google Scholar] [CrossRef]
  12. Grosse, C.U.; Schumacher, T. Anwendungen der Schallemissionsanalyse an Betonbauwerken. Bautechnik 2013, 90, 721–731. [Google Scholar] [CrossRef]
  13. Zhao, X.G.; Chen, C.Z.; Zhou, B.; Liu, X.H. Study on Monitoring Damage About Material of Blade in Wind Turbine Based on Acoustic Emission. In Advanced Manufacturing Systems, ICMSE 2011; Trans Tech Publications Ltd.: Wollerau, Switzerland, 2011; pp. 2753–2758. [Google Scholar] [CrossRef]
  14. Pullin, R.; Pearson, M.R.; Eaton, M.J.; Featherston, C.A.; Holford, K.M.; Clarke, A. Automated Damage Detection in Composite Components Using Acoustic Emission. In Damage Assessment of Structures X; Trans Tech Publications Ltd.: Wollerau, Switzerland, 2013; pp. 80–87. [Google Scholar] [CrossRef]
  15. Zarouchas, D.; van Hemelrijck, D. Mechanical Characterization and Damage Assessment of Thick Adhesives for Wind Turbine Blades Using Acoustic Emission and Digital Image Correlation Techniques. J. Adhes. Sci. Technol. 2014, 28, 1500–1516. [Google Scholar] [CrossRef]
  16. Tang, X.; Leung, C.K.; Zheng, J.; Cheng, S. An Experimental Study of Acoustic Emission Methodology for In-Service Condition Monitoring of Wind Turbine Blades. Renew. Energy 2016, 99, 170–179. [Google Scholar] [CrossRef]
  17. Krause, T.; Ostermann, J. Damage Detection for Wind Turbine Rotor Blades Using Airborne Sound. Struct. Control Health Monit. 2020, 27, e2520. [Google Scholar] [CrossRef]
  18. Lange, A.; Käding, M.; Hinrichs, R.; Ostermann, J.; Marx, S. Wire Break Detection in Bridge Tendons Using Low-Frequency Acoustic Emissions. In European Workshop on Structural Health Monitoring; Rizzo, P., Milazzo, A., Eds.; Springer International Publishing: Palermo, Italy, 2022. [Google Scholar]
  19. Tziavos, N.I.; Hemida, H.; Dirar, S.; Papaelias, M.; Metje, N.; Baniotopoulos, C. Structural Health Monitoring of Grouted Connections for Offshore Wind Turbines by Means of Acoustic Emission: An Experimental Study. Renew. Energy 2020, 147, 130–140. [Google Scholar] [CrossRef]
  20. Casey, N.F.; White, H.; Taylor, J.L. Frequency Analysis of the Signals Generated by the Failure of Constituent Wires of Wire Rope. NDT Int. 1985, 18, 339–344. [Google Scholar] [CrossRef]
  21. Carlos, M.F.; Cole, P.T.; Vahaviolos, J.; Halkyard, T. Acoustic Emission Bridge Inspection/Monitoring Strategies. In Structural Materials Technology IV: An NDT Conference; Technomic Pub: Lancaster, PA, USA, 2000; pp. 179–183. [Google Scholar]
  22. Paulson, P.; Elliott, J.; Youdan, D. Continuous Acoustic Monitoring of Bridges (Akustisches Überwachungssystem für Brücken). Stahlbau 2001, 70, 245–250. [Google Scholar] [CrossRef]
  23. Tabatabai, H. Inspection and Maintenance of Bridge Stay Cable Systems. In NCHRP Synthesis 353; National Cooperative Research Program; Transportation Research Board: Washington, DC, USA, 2005; p. 75. [Google Scholar]
  24. ASTM E1571-21; Standard Practice for Electromagnetic Examination of Ferromagnetic Steel Wire Rope. ASTM International: West Conshohocken, PA, USA, 2021.
  25. DIN EN 12927:2019-08; Sicherheitsanforderungen an Seilbahnen für die Personenbeförderung—Seile. Beuth Verlag: Berlin, Germany, 2019.
  26. Hunkeler, F.; Matt, P.; von Matt, U.; Werner, R. Spannglieder, Schräge Seile und Anker—Beschreibung der Systeme und Erkenntnisse aus Korrosionsschäden. In Bundesamt für Strassen; Eidgenössisches Departement für Umwelt, Verkehr, Energie und Kommunikation: Dübendorf, Switzerland, 2005. [Google Scholar]
  27. Kurz, J.H.; Laguerre, L.; Niese, F.; Gaillet, L.; Szielasko, K.; Tschuncky, R.; Treyssede, F. NDT for Need-Based Maintenance of Bridge Cables, Ropes, and Pre-Stressed Elements. J. Civ. Struct. Health Monit. 2013, 3, 285–295. [Google Scholar] [CrossRef]
  28. Paulson, P.O. Continuous Acoustic Monitoring of Suspension Bridges and Cable Stays. In Structural Materials Technology III: An NDT Conference; Medlock, R.D., Laffrey, D.C., Eds.; SPIE: San Antonio, TX, USA, 1998; pp. 205–213. [Google Scholar] [CrossRef]
  29. Schacht, G.; Bolle, G.; Marx, S. Spannbetonbau in der DDR. Beton Stahlbetonbau 2014, 109, 384–393. [Google Scholar] [CrossRef]
  30. Sodeikat, C.; Groschup, R.; Knab, F.; Obermeier, P. Acoustic Emission in der Bauwerksüberwachung zur Feststellung von Spannstahlbrüchen. Beton Stahlbetonbau 2019, 114, 707–723. [Google Scholar] [CrossRef]
  31. Käding, M.; Schacht, G.; Marx, S. Schallemissionsmonitoring zur Spanndrahtbruchdetektion. In 2023 BetonKalender; John Wiley & Sons, Ltd.: Hoboken, NJ, USA, 2022; Chapter XV; pp. 745–777. [Google Scholar] [CrossRef]
  32. Pirskawetz, S.M.; Schmidt, S. Detection of Wire Breaks in Prestressed Concrete Bridges by Acoustic Emission Analysis. Dev. Built Environ. 2023, 14, 100151. [Google Scholar] [CrossRef]
  33. Szasz, R.Z.; Fuchs, L. Wind Turbine Acoustics. In Wind Power Generation and Wind Turbine Design; Tong, W., Ed.; WIT Press: Southampton, UK, 2010; pp. 153–183. ISBN 978-1-84564-205-1. [Google Scholar]
  34. Wagner, S.; Bareiß, R.; Guidati, G. Wind Turbine Noise; Springer: Heidelberg, Germany, 2012; p. 204. ISBN 978-3-642-88712-3. [Google Scholar]
  35. Vallen Systeme GmbH. VS30-RIC. 2021. Available online: https://www.vallen.de/sensors/low-frequency-sensors-20-100-khz/vs30-v/ (accessed on 16 February 2025).
  36. Xu, R.; Käding, M.; Lange, A.; Ostermann, J.; Marx, S. Detection of Impulsive Signals on Tendons for Hybrid Wind Turbines Using Acoustic Emission Measurements. In International Symposium on Non-Destructive Testing in Civil Engineering (NDT-CE 2022); e-Journal of Nondestructive Testing: Zurich, Switzerland, 2022; Volume 27, pp. 9–12. [Google Scholar] [CrossRef]
  37. Fricker, S. Schallemissionsanalyse zur Erfassung von Spanndrahtbrüchen bei Stahlbetonbrücken. Ph.D. Thesis, ETH Zurich, Zurich, Switzerland, 2009. [Google Scholar] [CrossRef]
  38. Aggelis, D.; Blom, J.; De Sutter, S.; Verbruggen, S.; Strantza, M.; Tysmans, T.; Mpalaskas, A.; Nguyen, P.L. Fracture Monitoring by Acoustic Emission: Recent Applications of Parameter-Based Characterization. In Proceedings of the 9th International Conference on Fracture Mechanics of Concrete Structures, Berkeley, CA, USA, 29 May–1 June 2016. [Google Scholar] [CrossRef]
  39. Jagenbrein, A.; Tscheliesnig, P.; Wachsmuth, J.; Bohse, J. Detection of Corrosion Processes and Fatigue Cracks by Means of Acoustic Emission Monitoring. Mater. Test. 2012, 54, 769–778. [Google Scholar] [CrossRef]
  40. Sause, M.G.R.; Linscheid, F.; Wiehler, M. An Experimentally Accessible Probability of Detection Model for Acoustic Emission Measurements. J. Nondestruct. Eval. 2018, 37, 17. [Google Scholar] [CrossRef]
  41. Pollock, A.A. Probability of Detection for Acoustic Emission. J. Acoust. Emiss. 2012, 25, 231–237. Available online: https://www.ndt.net/?id=13333 (accessed on 16 February 2025).
  42. Department of Defense. MIL-HDBK-1823A, Nondestructive Evaluation System Reliability Assessment; Departments and Agencies of the Department of Defense: Washington, DC, USA, 2009; p. 171.
  43. Käding, M.; Schacht, G.; Marx, S. Acoustic Emission Analysis of a Comprehensive Database of Wire-Breaks in Prestressed Concrete Girders. Eng. Struct. 2022, 270, 114846. [Google Scholar] [CrossRef]
  44. Guo, Y.; Thomson, A.; Bergua, R.; Bankestrom, O.; Erskine, J.; Keller, J. Acoustic Emission Measurement of a Wind Turbine Main Bearing; National Renewable Energy Laboratory: Golden, CO, USA, 2022; NREL/TP-5000-83370. Available online: https://www.nrel.gov/docs/fy23osti/83370.pdf (accessed on 16 February 2025).
  45. Lange, A.; Xu, R.; Käding, M.; Marx, S.; Ostermann, J. Matched Filter for Acoustic Emission Monitoring in Noisy Environments: Application to Wire Break Detection. Acoustics 2024, 6, 204–218. [Google Scholar] [CrossRef]
Figure 1. Aerodynamic noise generation for a rotor blade (after [33]).
Figure 1. Aerodynamic noise generation for a rotor blade (after [33]).
Applsci 15 02164 g001
Figure 2. Illustration of a hybrid tower with its structural components.
Figure 2. Illustration of a hybrid tower with its structural components.
Applsci 15 02164 g002
Figure 3. Illustration of the transition piece at the top of the concrete substructure and the foundation with conventional and novel anchorage.
Figure 3. Illustration of the transition piece at the top of the concrete substructure and the foundation with conventional and novel anchorage.
Applsci 15 02164 g003
Figure 4. Sensor installation at the wind turbine in Karholz: (a) Internal view of the concrete substructure with internally routed tendons. (b) Photo of the locations for sensor 3 at the transition piece and sensor 7 at the foundation with a conventional anchorage.
Figure 4. Sensor installation at the wind turbine in Karholz: (a) Internal view of the concrete substructure with internally routed tendons. (b) Photo of the locations for sensor 3 at the transition piece and sensor 7 at the foundation with a conventional anchorage.
Applsci 15 02164 g004
Figure 5. Photo (left) and schematic (right) of the test frame consisting of four pre-stressed SUSPA-Draht EX30 tendons. These tendons are anchored on one end to the novel anchorage with the foundation crossbeam and on the other end to a 5 cm thick steel plate at the transition piece crossbeam. Experimental setup with sensor positions, channel numbers (box) and cutting position at the tendon under investigation.
Figure 5. Photo (left) and schematic (right) of the test frame consisting of four pre-stressed SUSPA-Draht EX30 tendons. These tendons are anchored on one end to the novel anchorage with the foundation crossbeam and on the other end to a 5 cm thick steel plate at the transition piece crossbeam. Experimental setup with sensor positions, channel numbers (box) and cutting position at the tendon under investigation.
Applsci 15 02164 g005
Figure 6. Photos of the test frame with sensor arrangement along the tendon and on the steel plate of the transition piece crossbeam (left) and at the novel anchoring and the foundation crossbeam (right).
Figure 6. Photos of the test frame with sensor arrangement along the tendon and on the steel plate of the transition piece crossbeam (left) and at the novel anchoring and the foundation crossbeam (right).
Applsci 15 02164 g006
Figure 7. Model for determining sensor distances based on a threshold for evaluating the probability of detection. The model relies on statistical input values for the signal distributions of damage and background noise signals and signal attenuation coefficients.
Figure 7. Model for determining sensor distances based on a threshold for evaluating the probability of detection. The model relies on statistical input values for the signal distributions of damage and background noise signals and signal attenuation coefficients.
Applsci 15 02164 g007
Figure 8. Representation of the minima and maxima of signal features (peak amplitude in decibel, energy in engineering unit, and spectral centroid in kilohertz) throughout the entire measurement period: (a) for Sensor 3 at the transition piece and (b) Sensor 7 at the foundation. Data gaps, such as those between October 2021 and December 2021, resulted from storage limitations due to the large volume of recorded data and delays in maintenance work required for hardware replacement.
Figure 8. Representation of the minima and maxima of signal features (peak amplitude in decibel, energy in engineering unit, and spectral centroid in kilohertz) throughout the entire measurement period: (a) for Sensor 3 at the transition piece and (b) Sensor 7 at the foundation. Data gaps, such as those between October 2021 and December 2021, resulted from storage limitations due to the large volume of recorded data and delays in maintenance work required for hardware replacement.
Applsci 15 02164 g008
Figure 9. Correlation between wind speed and signal features amplitude in decibel, energy in engineering unit, and spectral centroid in kilohertz highlighted as moving average of the maxima for (a) sensor 3 (transition piece) and (b) sensor 7 (foundation).
Figure 9. Correlation between wind speed and signal features amplitude in decibel, energy in engineering unit, and spectral centroid in kilohertz highlighted as moving average of the maxima for (a) sensor 3 (transition piece) and (b) sensor 7 (foundation).
Applsci 15 02164 g009
Figure 10. Correlation between rotor speed and signal features amplitude in decibel, energy in engineering unit, and spectral centroid in kilohertz highlighted as moving average of the maxima for (a) sensor 3 (transition piece) and (b) sensor 7 (foundation).
Figure 10. Correlation between rotor speed and signal features amplitude in decibel, energy in engineering unit, and spectral centroid in kilohertz highlighted as moving average of the maxima for (a) sensor 3 (transition piece) and (b) sensor 7 (foundation).
Applsci 15 02164 g010
Figure 11. Correlation between blade pitch angle and signal features amplitude in decibel, energy in an engineering unit, and spectral centroid in kilohertz highlighted as moving average of the maxima for (a) sensor 3 (transition piece) and (b) sensor 7 (foundation).
Figure 11. Correlation between blade pitch angle and signal features amplitude in decibel, energy in an engineering unit, and spectral centroid in kilohertz highlighted as moving average of the maxima for (a) sensor 3 (transition piece) and (b) sensor 7 (foundation).
Applsci 15 02164 g011
Figure 12. Statistical distribution of signal features amplitude in decibel, energy in engineering unit, and spectral centroid in kilohertz per sensor for the measured wire break events.
Figure 12. Statistical distribution of signal features amplitude in decibel, energy in engineering unit, and spectral centroid in kilohertz per sensor for the measured wire break events.
Applsci 15 02164 g012
Figure 13. Curves of the probability of detection at the 95% confidence level in relation to the distance between the sensor and the signal source location are presented for both the foundation with conventional anchoring and the transition piece.
Figure 13. Curves of the probability of detection at the 95% confidence level in relation to the distance between the sensor and the signal source location are presented for both the foundation with conventional anchoring and the transition piece.
Applsci 15 02164 g013
Figure 14. Top view of sensor positions at the entrance level for conventional and novel anchorage (left and center) and the transition piece (right).
Figure 14. Top view of sensor positions at the entrance level for conventional and novel anchorage (left and center) and the transition piece (right).
Applsci 15 02164 g014
Table 1. Statistical parameters for operational noise at the transition piece and the foundation (sensors 3 and 7) for the signal features amplitude in decibels, energy in an engineering unit, and spectral centroid in kilohertz representing the evaluation threshold for the PoD model.
Table 1. Statistical parameters for operational noise at the transition piece and the foundation (sensors 3 and 7) for the signal features amplitude in decibels, energy in an engineering unit, and spectral centroid in kilohertz representing the evaluation threshold for the PoD model.
Structural
Component
Sensors
Evaluated
Feature Q 0.1 Q 0.9
Foundation7A [dB]-91.5
E [eu]- 1.71 × 10 7
SC [kHz]19.5-
Transition
piece
3A [dB]-106.9
E [eu]- 1.22 × 10 10
SC [kHz]21.5-
Table 2. Statistical parameters for the signal features amplitude in decibels, energy in an engineering unit, and spectral centroid in kilohertz for evaluated sensors in different structural components.
Table 2. Statistical parameters for the signal features amplitude in decibels, energy in an engineering unit, and spectral centroid in kilohertz for evaluated sensors in different structural components.
Structural ComponentSensors EvaluatedFeature μ σ Q 0.1 Q 0.9
Tendon2 and 3A [dB]134.894.55128.93140.32
E [eu] 1.49 × 10 12 1.07 × 10 12 2.86 × 10 11 2.72 × 10 12
SC [kHz]11.603.397.3115.65
Foundation16A [dB]93.645.1685.9498.07
E [eu] 1.76 × 10 8 1.68 × 10 8 3.17 × 10 7 2.95 × 10 8
SC [kHz]25.441.4423.5727.09
Transition piece24A [dB]123.616.81115.31133.98
E [eu] 3.26 × 10 11 6.54 × 10 11 8.65 × 10 9 8.48 × 10 11
SC [kHz]17.475.9211.9024.87
Table 3. Attenuation coefficients and statistical parameters for the amplitude of wire break signals, considering the tendon in the longitudinal direction, crossbeams in the transversal direction (foundation and transition piece), and respective component transitions.
Table 3. Attenuation coefficients and statistical parameters for the amplitude of wire break signals, considering the tendon in the longitudinal direction, crossbeams in the transversal direction (foundation and transition piece), and respective component transitions.
Structural ComponentSensors EvaluatedAttenuation [dB/m]
μ σ Q 0 . 9
Tendon (longitudinal)2 to 5−1.624.16−2.19
Foundation
(transversal)
13 to 16−5.485.39−6.30
Transition piece
(transversal)
21 to 24−1.497.40−2.56
Novel anchorage1 and 16−43.625.37−45.95
Tendon to transition
piece
2 and 24−14.305.40−17.10
Disclaimer/Publisher’s Note: The statements, opinions and data contained in all publications are solely those of the individual author(s) and contributor(s) and not of MDPI and/or the editor(s). MDPI and/or the editor(s) disclaim responsibility for any injury to people or property resulting from any ideas, methods, instructions or products referred to in the content.

Share and Cite

MDPI and ACS Style

Fiedler, M.; Xu, R.; Lange, A.; Marx, S.; Ostermann, J.; Betz, T. Wire Break Detection in Hybrid Towers of Wind Turbines: A Novel Application to Monitor Tendons Using Acoustic Emission Analysis. Appl. Sci. 2025, 15, 2164. https://doi.org/10.3390/app15042164

AMA Style

Fiedler M, Xu R, Lange A, Marx S, Ostermann J, Betz T. Wire Break Detection in Hybrid Towers of Wind Turbines: A Novel Application to Monitor Tendons Using Acoustic Emission Analysis. Applied Sciences. 2025; 15(4):2164. https://doi.org/10.3390/app15042164

Chicago/Turabian Style

Fiedler, Max, Ronghua Xu, Alexander Lange, Steffen Marx, Jörn Ostermann, and Thorsten Betz. 2025. "Wire Break Detection in Hybrid Towers of Wind Turbines: A Novel Application to Monitor Tendons Using Acoustic Emission Analysis" Applied Sciences 15, no. 4: 2164. https://doi.org/10.3390/app15042164

APA Style

Fiedler, M., Xu, R., Lange, A., Marx, S., Ostermann, J., & Betz, T. (2025). Wire Break Detection in Hybrid Towers of Wind Turbines: A Novel Application to Monitor Tendons Using Acoustic Emission Analysis. Applied Sciences, 15(4), 2164. https://doi.org/10.3390/app15042164

Note that from the first issue of 2016, this journal uses article numbers instead of page numbers. See further details here.

Article Metrics

Back to TopTop