Abstract
Microplastics (MPs) are of great interest for study because they accumulate in environmental systems, such as terrestrial ones, which include agricultural soils. Unfortunately, in recent years, due to the COVID-19 pandemic, many face masks have been discarded in the environment, causing an increase in this type of MP. This accumulation can influence the physicochemical and biological properties of soil derived from its microbial activity. In the present study, different concentrations of MPs from commercial polypropylene (PP) face masks were mixed with agricultural soil. Four different treatments with the following MP concentrations were studied: T1: 0%, T2: 0.5%, T3: 1%, and T4: 5% w w−1. C and N mineralization experiments were carried out over time at the microcosm level, where physicochemical, enzymatic and ecophysiological indicators were analyzed. Based on the analyzed indicators, a soil quality index called the Unified Weighted Additive Index (SQIu) was developed. The resulting SQIu showed Nmin as the indicator with the closest relationship to the quality of the soils with MPs. Once the SQIu was determined, the T4 treatment showed significant differences with respect to the control, presenting a higher quality value. The importance of conducting more research on the dynamics of C and N in different soils with different types, sizes, and concentrations of MPs can help to establish strategies to measure the effects of MPs on soils at the local, national, and international levels.
1. Introduction
Plastic is an anthropogenic, widely used, long-lasting, and, therefore, cumulative pollutant in the environment [1]. It has been reported that around 400 million tons of plastic are produced every year, and this amount is estimated to double by 2050 [2]. Plastic disintegrates due to physical, chemical, and biochemical processes, resulting in the formation of microplastics (MPs), which accumulate in significant concentrations in marine and terrestrial environments [3]. MPs are defined as particles of plastic smaller than 5 mm [4], which originate from primary and secondary sources. Primary sources are introduced into the environment with a size smaller than 5 mm in diameter, as in the case of microspheres, microfibers, and pellets [5], whereas secondary sources are produced when large plastics are fragmented by external forces such as sunlight, wind, and water, as well as physical, chemical, and mechanical mechanisms [6]. In recent years, the effects of MPs on soil have attracted attention due to their accumulation. They can alter the physicochemical and biological properties of soil, either directly or indirectly [7]. In addition, adverse effects of MPs on human health have also been reported [8]. Studies indicate that, once inside the human body, they can accumulate in the intestine, causing local inflammation, altering the endocrine system, and affecting gastrointestinal functions [9]. Unfortunately, agricultural soils receive these MPs on a regular or constant basis through the use of plastic mulches, the use of biosolids and composts as organic amendments, irrigation with treated water, etc. However, the effects of MPs are still being investigated and, due to their non-biodegradability, they may bioaccumulate with a high toxicity in many organisms [10]. It is estimated that there are from 4 to 23 times more MPs in terrestrial environments than in aquatic environments [11], and concentrations of up to 7% of MPs have been reported in highly contaminated soils [4,12]. Due to its structure, different chemical composition, and surface properties, plastic generates a series of abrupt changes in the physical, chemical, and biological properties of soil [13]. Lozano et al. [14] used sandy loam soil with different MPs in different forms and found that these decreased soil aggregates. Moreover, due to the low density of most plastics, they tend to decrease the apparent density of soil [15]. These antecedents indicate that these physical changes are closely related to other changes at the chemical and biological levels.
The COVID-19 pandemic had a high impact on the use and disposal of medical plastic waste, especially face masks, causing a global crisis in their management. The improper management of face masks can cause various effects on the environment, animals, and humans [16]. According to estimates by the World Health Organization (WHO), approximately 89 million face masks were demanded each month to deal with the spread of COVID-19 [17]. However, after COVID-19, the use of single-use protective equipment by the population has increased to an estimated global consumption of 129 billion face masks [18]. A recent finding showed that 8.4 ± 1.4 million tons of pandemic-associated plastic waste had been generated in 193 countries as of 23 August 2021 [19].
Furthermore, according to empirical data, the supply of medical plastic waste will continue to increase at an annual rate of 20% between 2020 and 2025, which could produce approximately 20.9 million tons of medical plastic waste in 2025 [20]. Furthermore, it was estimated that the increase in plastic waste would reach 250 million metric tons by 2025 [21], indicating that waste from single-use protective equipment could represent 8.36% of the total amount of plastic waste [22]. This demand has led to an unprecedented increase in the global production of face masks made from polymeric materials. New sources of MPs fibers are, therefore, emerging, since these disposable (single-use) face masks can fragment or decompose in the environment to sizes smaller than 5 mm [17]. Once face masks are discarded into the environment, they undergo physical processes that cause them to fragment into smaller plastic particles, which eventually become MPs [23]. These fragmented plastic particles are resistant to further degradation and can persist in the environment for up to 450 years [24]. This causes an increase in MP concentrations, especially in soil. Due to the abovementioned issues, it is important to determine the effects that MPs from disposable face masks can have on the different physicochemical, biological, and ecophysiological properties of soil.
On the other hand, it is also important to determine their effects on the quality level of soils containing these MPs. Unfortunately, the existing studies related to soil with MPs only focus on their effects on certain properties of the soil, and not on the quality of the soil as a whole. For example, Lin et al. [25], in a very similar study at the microcosm level for 92 days, determined that a concentration of 5% (w w−1) of these face mask MPs decreased the soil’s bulk density (BD) and cation exchange capacity (CEC); on the other hand, it increased the soil’s pH and total organic carbon (TOC). However, there were no significant differences in the alpha diversity of bacterial and fungal communities. Also, Song et al. [26] determined the effect of this type of MP from face masks in concentrations of up to 1% (w w−1) on the physical and chemical properties and microbial communities of soil under laboratory conditions for 80 days. They found that this type of MP modified the soil’s density, soil aggregates, the level of nutrients such as organic matter (OM), and observed an increase in denitrifying bacteria (Rhodanobacteraceae) with respect to microbial communities.
However, it is important to use tools to determine the quality of soil once these MPs have been incorporated. In this regard, soil quality indexes (SQIs) can be used to evaluate the quality of soil using physicochemical and biological indicators. In general terms, an SQI is a tool consisting of a set of properties or indicators closely related to the phenomena to be monitored that allows us to synthesize information for decision making [27]. The development of SQIs has gained great importance in recent years, especially regarding agricultural soils and their productivity. Bedolla-Rivera et al. [27], in a meta-analysis study, indicated that there are different types of SQIs, and the following two are the most used for agricultural soils: the Weighted Additive Index (SQIw) and the Unified Weighted Additive Index (SQIu). However, in the SQIw, the selection of indicators may not be correlated with the soil in question, since it is based on indicators previously established by experts. On the other hand, the SQIu—following the methodology used in the present study—is not influenced by human subjectivity, since the results or the weight of the indicators are based on the variability of the input data when using multivariate statistical techniques or models in the analysis. These statistical tools have also been used to develop SQIs in other contexts, such as soil degradation by pollutants, organic contaminants, deforestation, and desertification [28]. Therefore, the objective of the present study was to develop an SQI based on different treatments of soil mixed with MPs from face masks. The effects on physicochemical, enzymatic, and ecophysiological indicators were also evaluated through microcosm-level experiments on C and N mineralization dynamics over time. It is worth mentioning that ecophysiological indicators have not been evaluated in other similar studies. Our hypothesis was that the developed SQI would be able to differentiate the quality of the soil according to the different treatments and the indicators selected in the minimum set of data through a principal component analysis (PCA). With these results, we will have a broader overview of the effects on soil quality with different concentrations of MPs from face masks, which will allow us to generate strategies for the management of these and other types of MPs, taking into account the characteristics of the soil.
2. Materials and Methods
2.1. Soil Sampling
The experiment was conducted using agricultural soil from the municipality of Celaya, Guanajuato, Mexico, with the following geographic coordinates: 20°28′23.5″ N 100°49′50.1″ W (Figure 1). The agricultural management history of this soil has been two decades of alfalfa cultivation with barley and corn crop rotation. A representative area of 4800 m2 was sampled. The study area was divided into three equal sections of 1600 m2 and the samples were collected in a zigzag pattern at a depth of 30 cm, corresponding to the arable layer of the soil [29]. In each section, 5 subsamples were collected to form a composite sample of 10.0 kg per section, obtaining a total of 30.0 kg. For the physicochemical analyses, the soil samples were transported to the laboratory in plastic bags. The samples were air-dried, homogenized, and sieved using a 2 mm mesh screen. The final samples were stored at 4 °C until the physicochemical analyses were carried out. For the biological analysis, the soil subsamples were transferred in sterile plastic bags at refrigeration temperatures and stored at 4 °C until their analysis.
Figure 1.
Sampled soil from Guanajuato. The map in the upper right is of Mexico; the red zone refers to the state of Guanajuato.
2.2. Physicochemical Characterization of the Soil
All physicochemical indicators were evaluated in triplicate. The texture of the soil was analyzed by granulometric analysis using the hydrometer method established by Bouyoucos [30], obtaining the soil fractions of sand (SND), silt (SLT), and clay (CLY), which are reported as percentages. For the textural classification of the soil, the texture diagram proposed by the USDA [31] was used. The hydrogen potential (pH) was analyzed following the methodology of Thomas [32] with a 1:2.5 (w v−1) soil–water ratio and using a Denver Instrument UB-10 pH/mV meter (Denver, CO, USA). The electrical conductivity (EC) was analyzed using the methodology of Hendrickx et al. [33] with a 1:5 (w v−1) soil–water ratio. The resulting supernatant was used to determine the EC using a Horiba F-74BW digital multimeter (Kyoto, Japan), and the EC is reported in dS m−1. The water-holding capacity (WHC) was established following the methodology described by Alef and Nannipieri [34], placing 20 g of dry soil on Whatman No. 2 filter paper (Solna, Sweden) and adding 100 mL of distilled water, leaving it to settle for 24 h. The WHC was calculated by the difference in weight between the value obtained from the filter with soil and the weight of the filter without soil (control), and the results are reported as a percentage. To determine the TOC, a chemical oxidation reaction was carried out with 5% (w v−1) potassium dichromate (K2Cr2O7) and 1 g of dry soil, which was quantified at a wavelength of 600 nm using a Metash UV-5300H spectrophotometer (Shanghai, China), reporting the result as a percentage, following the methodology of Walkley and Black [35] using colorimetric determination [34].
For all spectrophotometric analyses, the same equipment (Metash UV-5300H spectrophotometer) was used. To obtain the OM, the TOC value obtained was multiplied by the Van Bemmelen factor (1.724) [36]. To determine the total nitrogen (TN), the methodology described by Bremner [37] was implemented, where 0.7 g of dry soil was used and the digestion of the soil sample was carried out using a micro-Kjeldahl digester MDK-6 (San Pedro Tlaquepaque, Jalisco, Mexico). The TN quantification was performed at a wavelength of 660 nm and is reported as a percentage. The C/N ratio was determined with the quotient of the TOC and TN indicators. To determine the indicators of nitrites (N-NO2−), nitrates (N-NO3−), and ammonium (N-NH4+), the extraction of the soil solution with potassium sulphate (K2SO4) 0.5 M was carried out in a 1:5 ratio (w v−1), following the methodology of Conde et al. [38]. Spectrophotometric determinations were used for N-NO2−, N-NO3−, and N-NH4+ at wavelengths of 540 nm, 410 nm, and 660 nm, respectively, reporting the results in mg N-kg−1 dry soil, according to the methodology described by Alef and Nannipieri [34].
2.3. Biological Characterization of the Soil
All biological indicators were evaluated in triplicate. Urease activity (UA) was monitored using 5.0 g of moist soil incubated for 2 h at 37 °C with 4.8% (w v−1) urea (NH2CONH2) solution as a substrate. Subsequently, UA was quantified based on the colorimetric determination of N-NH4+ released at a wavelength of 640 nm, and is reported in mg N-NH4+ kg−1h−1 dry soil [39]. Dehydrogenase activity (DHA) was determined by the colorimetric quantification of iodonitrotetrazolium violet-formazan (INF), using 1 g of soil and a solution of iodophenyl-3-p-nitrophenyl-5-phenyltetrazolium (INT) (9.88 nM) as a substrate, incubating this mixture for a period of 2 h at 40 °C. Subsequently, enzymatic activity was quantified at a wavelength of 464 nm and is reported in mg INF kg−1h−1 dry soil [40].
The enzymatic activity of proteases, lipases, and esterases was determined by fluorescein diacetate (FDA) hydrolysis [41]. It was quantified by a colorimetric method based on the detection of fluorescein in 1 g of soil (wet base), with FDA solution (0.2% w v−1) as a substrate and 1 h of incubation at 24 °C, quantified at a wavelength of 490 nm. The results are expressed in mg fluorescein kg−1h−1 dry soil.
As part of the biological characterization, the ecophysiological indicator of microbial biomass carbon (MBC) was also determined following a methodology based on the fumigation–extraction procedure [42]. The samples were fumigated with water-free chloroform and ethanol. Subsequently, the MBC concentration was determined by digestion with potassium dichromate (K2Cr2O7) at 5% (w v−1) and is reported in mg Cmic kg−1 dry soil. Additionally, as part of the methodology, the same procedure was carried out with unfumigated soil (control) to subtract the C values and obtain the total MBC.
2.4. Microplastic Characterization
2.4.1. Optical Microscope Characterization
The MPs used in the experiment were obtained from commercial three-layer black face masks of the brand Best Trading® model MANE01. The inner and outer layers of the masks were visualized using a Leica DME optical microscope (Wetzlar, Germany), with a 10× objective to obtain a broader view of the structure of the MPs.
2.4.2. Molecular Characterization of Microplastics by FTIR
For the analysis of the molecular composition of the MPs, the inner and outer layers of the face masks were analyzed by Attenuated Total Reflectance Fourier Transform Infrared Spectroscopy (ATR-FTIR) on a Thermo Scientific Nicolet iS10 IR spectrophotometer with a ZnSe ATR unit (Waltham, MA, USA). The spectra were recorded in reflectance mode within the range from 4000 to 400 cm−1, with a resolution of 8 cm−1 and 25 scans [43].
2.5. Experimental Design
To develop the SQI for soils containing MPs, physicochemical, enzymatic, and ecophysiological indicators were evaluated in triplicate in experiments on C and N mineralization dynamics over time at the microcosm level. The masks were cut into fragments with an average size of 1 ± 0.2 mm2, which is the MP size most often found in agricultural soils according to Liu et al. [44]. In the experimental design, four treatments were established based on the concentration of MPs found in areas highly contaminated with MPs (from 0.03% to 6.7%) [12]. The following treatments were used: T1: soil without MPs (control), T2: soil with 0.5% MPs (w w−1), T3: soil with 1% MPs (w w−1), and T4: soil with 5% MPs (w w−1), establishing a total of 96 experimental units. Each microcosm consisted of a 1 L glass flask containing another 110 mL glass flask with 60 g of soil or a soil–MPs mixture. The soil’s WHC was adjusted to 40% with sterile distilled water [45].
In addition, a vial with 20 mL of 1.0 M sodium hydroxide (NaOH) solution was placed inside the 1 L flask to capture the carbon dioxide (C-CO2) produced by microbial activity over time [38]. Also, sterile water was added to the bottom of the 1 L flasks to maintain a humid environment. The experimental units were then hermetically sealed and incubated at room temperature in the dark until the day of analysis. Once the mineralization dynamics began, on days 0, 1, 3, 7, 14, 28, 56, and 90, three experimental units from each treatment were randomly selected to perform the corresponding analyses. During the last two days of analysis, the flasks were opened for ten minutes to prevent low-oxygen-saturation conditions or anaerobic conditions in the systems.
2.6. Soil Pre-Incubation
Prior to the C and N mineralization dynamics experiments, the pre-incubation of the soil samples was performed. This was conducted under controlled humidity conditions for a period of 7 days. The purpose of this was to reduce the effect of the sampling and handling of the soil samples in the laboratory and to homogenize the soil conditions in all treatments, especially the activity of the biological phase. The soil was adjusted to a WHC of 40% at room temperature and placed in plastic containers, along with a bottle of distilled water to prevent drying. In addition, amber bottles with 1.0 M sodium hydroxide (NaOH) were placed in each of the plastic containers with soil to capture the C-CO2 produced by the activity of the microorganisms present in the soil [38].
2.7. C and N Mineralization Dynamics in Soil with MPs: Physicochemical, Enzymatic, and Ecophysiological Indicators
The physicochemical indicators analyzed during the experiment were pH, EC, TOC, OM, TN, C/N, N-NO2−, N-NO3−, and N-NH4+, using the methodology described in Section 2.2. Additionally, the net mineralizable N (Nmin) was determined, which represents the net mineralization of N. This was determined by the sum of the indicators of N-NO2−, N-NO3−, and N-NH4+ [46]. High values of Nmin represent a tendency towards nitrification [47]. Also, the nitrification index (NI) was determined, which was obtained from the quotient of the indicators of N-NH4+ and N-NO3−, representing the partial flow of the inorganic N cycle. High NI values have been linked to denitrification processes and low values to nitrification processes [48].
Within the group of biological indicators, the enzymatic activities of UA, DHA, and FDA were analyzed, using the methodology described in Section 2.3. At the same time, a synthetic enzymatic index (SEI) was determined, which included the sum of the enzymatic activities of UA, DHA, and FDA, reflecting the overall enzymatic activity in the soil [49]. The results obtained are reported in mg kg−1 soil h−1. As a supplementary and innovative tool in this study, another set of enzymatic activities was determined using the API ZYM® enzymatic system (bioMérieux; Marcy-l’Etoile, France), which is a fast and useful tool used to establish enzymatic profiles in complex matrices such as soil and link them to soil processes at a semi-quantitative level [50]. The APIZYM® allowed for the simultaneous evaluation of 19 enzymatic activities from 2 g moist soil samples following the supplier’s instructions [51]. The enzymatic activities evaluated were Alkaline and Acid phosphomonoesterase, Phosphohydrolase, Esterase, Esterase lipase, Lipase, Leucine arylamidase, Valine arylamidase, Cysteine arylamidase, Trypsin, α-Chymotrypsin, α-Galactosidase, β-Galactosidase, β-Glucoronidase, α-Glucosidase, β-Glucosidase, β-Glucosaminidase, α-Mannosidase, and α-Fucosidase.
The ecophysiological indicator MBC was also determined using the methodology described in Section 2.3. Another ecophysiological indicator that was evaluated was the microbial quotient (qMIC), which indicates the efficiency of the conversion of C into microbial biomass in the soil. This indicator was determined by the MBC quotient and the TOC content in the analyzed samples. Another important ecophysiological indicator was the accumulated C-CO2, a direct indicator of the biological activity of aerobic microorganisms. The accumulated C-CO2 indicator was determined by the volumetric titration of 5 mL of 1.0 M sodium hydroxide (NaOH) with 0.1 M hydrochloric acid (HCl) and phenolphthalein as an indicator [45]. Finally, the ecophysiological indicator known as the metabolic quotient (qCO2) was calculated by the quotient of the value of the C-CO2 emitted and the MBC. This indicator (qCO2) provides indirect information on the physiological state or stress level caused by changes in the biological phase of the soil.
2.8. Statistical Analysis
Statistical analyses were performed using the statistical software R version 4.0.5 (R Core Team, 2021) (R Foundation, Vienna, Austria). The statistical analysis began with a Shapiro–Wilk normality test, with a significance level of . Then, a nonparametric Friedman analysis of variance was performed, with a pairwise Wilcoxon rank-sum comparison test with continuity correction, using a significance level of . Subsequently, to observe the correlations between indicators, a nonparametric Spearman correlation matrix [52] was developed with a Mantel test at a significance level of , where a significant linear correlation was considered at values of . Dimensionality reduction was also performed using the principal component analysis (PCA) technique, starting with the Kaiser–Meyer–Olkin adequacy test [52]. The resulting principal components (PCs) were selected using the eigenvalue ≥ 1 selection criterion. Once the PCs were selected, a Spearman correlation matrix was developed, followed by a redundancy elimination process of the indicators related to the PCs under the following criteria: number of significant interactions > PC membership (PC1 > PC2 > … > PCn) > correlation with its PC. The resulting indicators were used to develop an SQI based on all the indicators evaluated throughout the experiment and to analyze the effect of the MPs on the physicochemical, biological, and ecophysiological indicators of the soil.
2.9. Development of the SQI
An SQI was developed using the method called the “Unified Weighted Additive Index (SQIu)”, following the methodology of Yu et al. [53] and using Equation (1). Equation (1) is based on statistical techniques to weight the indicators. Equation (2) was used to weight the analyzed indicators whose function in the soil was considered “more is better” or “less is better”. Equation (3) was used to weight the indicators whose function in the soil was considered “optimal” and whose maximum or optimal value was 0.5.
where Wi is the proportion of variability of the PCs with which the indicator is correlated and Si is the value of the indicator resulting from the redundancy elimination process
where a equals the maximum value of the indicator, Xm is the mean value of the indicator obtained from the analysis, X is the value of the indicator, and b is the slope of the indicator function (−2.5 for indicators regarded as “more is better” and 2.5 for indicators regarded as “less is better”) [54].
where B is the value of the indicator whose slope is equal to 0.5, L is the lower limit of the indicator, and X is the value of the indicator.
Once the SQIu was obtained, the soil quality was established according to the classification shown in Table 1, with values between 0 and 1.
Table 1.
Soil quality classification [55].
3. Results
3.1. Physicochemical and Biological Characterization of the Soil
The results of the physicochemical and biological characterization of the soil are shown in Table 2. The soil texture was clay loam (32.14% SND, 30.86% SLT, and 36.98% CLY) according to the USDA texture triangle [31]. Castelán-Vega et al. [56] considered that this type of soil texture is appropriate for plant growth, since this texture is linked to adequate conditions of porosity, aeration, and humidity. The soil had a pH of 7.50, which is considered as slightly alkaline [57]. Regarding the EC, a result of 0.19 dS m−1 was obtained, which is why it was considered as a non-saline soil [57]. The values of both the pH and EC indicators in this study have been reported as appropriate for agricultural soils [57].
Table 2.
Physicochemical and biological characterization of agricultural soil.
Regarding the WHC, a value of 102% was obtained, which places the soil in the category of a moderate capacity [58]. With respect to the TOC and OM indicators, values of 1.22 and 2.12% were recorded, respectively, which are considered to be moderate but suitable values for agricultural soils [57]. In turn, the TN showed a value of 0.24%, which is considered moderate for agricultural soils [57]. The C/N ratio was 5.08, which is considered very low and indicates a high rate of OM decomposition according to Hazelton and Murphy [57]. Concerning the sum of the inorganic N values (N-NO2−, N-NO3−, and N-NH4+), a total of 49.72 mg kg−1 dry soil of N was obtained, a high value for agricultural soils [29]. The above was possibly due to the history of alfalfa cultivation in the analyzed soil, since it has been reported that this crop can provide a high capacity for N fixation in soil [59].
In the context of biological indicators, the UA, DHA, FDA, and MBC indicators presented the following values: 213.45 mg N-NH4+ kg−1 h−1 dry soil, 264.41 mg INF kg−1 h−1 dry soil, 42.72 mg fluorescein kg−1 h−1 dry soil, and 272.94 mg Cmic kg−1 dry soil, respectively. Regarding the UA indicator, Burket and Dick [60] reported UA concentrations between 20 and 163 mg N-NH4+ kg−1 h−1 in 19 soils with different tillage practices, values below those reported in the present study. High values of this enzyme may be related to forage legume crops such as alfalfa, a historical crop of the soil in this study. With regard to the enzymatic indicator FDA, Sánchez-Guzmán et al. [61] found FDA concentrations between 38 and 103 mg fluorescein kg−1h−1 dry soil, also in soils from the Mexican Bajio region, which is consistent with the range of values in the present study. Similarly, Burket and Dick [60] found FDA concentrations between 34.40 and 200.20 mg fluorescein kg−1h−1 dry soil, values within the range of those obtained in this study. Furthermore, the MBC values obtained here were in the range of values found for agricultural soils [62]. Also in the Mexican Bajio region, Bedolla-Rivera et al. [50] found MBC values between 166.59 and 1222.84 mg Cmic kg−1 dry soil, values that are very similar to the ones obtained in this study.
3.2. Characterization of the MPs
3.2.1. Optical Characterization of the MPs
As seen in Figure 2, black face masks of the brand Best Trading® model MANE01 (Best Trading, Mexico City, Mexico) were used, from which the MPs used in the C and N mineralization dynamics experiments were obtained. According to the manufacturer, this is a thermo-sealed protective mask with three layers of filtration. In addition, the face mask has elastic straps for fastening and a metal nose bridge for adjusting—these elements were not used in this study.
Figure 2.
(A) Face masks used to obtain the MPs, (B) outer layer of the face mask at 10× magnification, and (C) inner layer of the face mask at 10× magnification.
3.2.2. Characterization of the MPs by FTIR
ATR-FTIR equipment was used to identify the functional groups present in the different layers of the face mask. The spectra of the inner and outer layers were very similar (see Figure 3). The two layers showed similar bands in the range from 2800 to 3000 and from 1335 to 1490 cm−1; these bands are characteristic of polypropylene (PP) [63,64]. The bands at 2950 and 2870 cm−1 were attributed to asymmetric and symmetric stretching vibrations of the methyl group (CH3), respectively, while the bands at 2915 and 2840 cm−1 were attributed to asymmetric and symmetric stretching vibrations of the methylene group (CH2), respectively [63,65]. The FTIR spectra also showed two intense bands at 1452 and 1375 cm−1 caused by symmetric and asymmetric deformation vibrations of CH3, respectively [63,66]. Finally, the band at 1165 cm−1 was attributed to C–C asymmetric stretching, CH3 asymmetric rocking, and C–H motion vibrations [63,66].
Figure 3.
FTIR spectra of the MPs used in the experiments.
Szefer et al. [63] characterized the different parts of three types of face masks using FTIR and found that all three were composed of PP layers, results that are in agreement with those found in the present study, i.e., that the layers of the face masks used here were made of PP fibers.
3.3. C and N Dynamics in Soil with MPs: Physicochemical Indicators
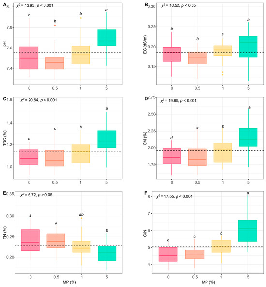
According to the Friedman analysis of variance (Figure 4A), the pH indicator showed significant differences between treatments (); in general, the following order was established: T1 = T2 = T3 < T4. Treatment T4 presented pH values that were 1.9%, 2.6%, and 1.5% higher than treatments T1, T2, and T3, respectively. Zhao et al. [67], in 31-day experiments with sandy soils, found that different MPs in the form of fragments and foams (0.4% w w−1) tended to increase the soil pH, a result similar to that found in the present study.

Figure 4.
Friedman analysis of variance for physicochemical indicators with respect to treatments. T1, 0% MPs; T2, 0.5% MPs; T3, 1% MPs; and T4, 5% MPs; (A) pH, hydrogen potential; (B) EC, electrical conductivity (dS m−1); (C) TOC, total organic carbon (%); (D) OM, organic matter (%); (E) TN, total nitrogen (%); (F) C/N, carbon–nitrogen ratio; (G) N-NO2−, nitrites (mg N-NO2− kg−1 dry soil); (H) N-NO3−, nitrates (mg NO3− kg−1 dry soil); (I) N-NH4+, ammonium (mg N-NH4+ kg−1 dry soil); (J) Nmin, mineralizable N (mg N kg−1 dry soil); and (K) NI, nitrification index. The dotted line represents the mean of the indicator. Same letters indicate that there is no significant difference between treatments using a pairwise Wilcoxon rank-sum comparison test with Bonferroni adjustment .
A possible explanation for this behavior is that once these MPs are incorporated into soil, there is an increase in aeration and porosity [15], which causes a structural change in the soil matrix and, consequently, in its microbial activity. Also, the leaching of chemical compounds that come from MPs can alter the soil biota and, therefore, its pH [68]. Lozano et al. [14] used polyester (PES) fibers (0.4% w w−1) in a sandy loam soil and noted a significant 4.0% increase in pH , attributing this increase to a change in soil aggregates caused by the PES fibers, which resulted in a more complete decomposition of OM, causing greater microbial activity. Contrary to the results of the present study, Wang et al. [69] observed a decrease in pH when using polyethylene (PE) particles in a sandy loam soil (1% w w−1), where the pH in the control treatment was 6.10, whereas the pH in the treatment with PE was 5.90. However, they observed an increase in pH when using the same concentration of MPs but from polylactic acid (PLA), presenting a slight increase in pH from 6.10 to 6.20. Therefore, it can be established that changes in the pH of soils that contain MPs depend not only on the concentration, but also on the chemical nature of the MPs, their interaction with the microorganisms present in the soil, and the type of soil. Moreover, there is evidence that MPs can also change the abundance of N-NH4+ oxidizing bacteria, influencing the mineralization of nitrogen compounds via nitrification [70], accompanied by a change in pH by releasing H+ ions in the process [7].
Regarding the EC indicator, its values presented the following order: T2 < T1 = T3 = T4 (Figure 4B), showing significant differences between treatments Treatment T2 presented a value below the rest of the treatments, with a value 6.5% lower than that of T1. There are few studies that have evaluated the effect of MPs on EC. Xu et al. [71] used PE in uncultivated soil and, although they observed a decrease in this indicator when adding MPs (0.2% and 2% w w−1), a similar result to the T2 treatment (0.5% w w−1) in the present study, they did not find significant differences with respect to the control. Nonetheless, other studies have indicated that MPs can adsorb ions with different charges, releasing various additives, such as bisphenol A, perfluorinated compounds, polycyclic aromatic hydrocarbons, and naphthalene, among others [7,72]. Therefore, MPs can alter the ionic equilibrium in the soil solution and directly or indirectly influence the EC. However, the specific mechanism by which this happens is still unknown, and further research is needed [71].
Regarding the TOC and OM indicators, there were significant differences between treatments , showing a tendency to increase with respect to the concentration of MPs added to the soil (Figure 4C,D). The TOC and OM indicators presented the following order in concentration: T1 < T2 < T3 < T4. It is important to highlight that treatment T4 presented values 14.28% above the control treatment T1 for both indicators. Similarly, Liu et al. [73] found that a concentration of 28% (w w−1) PP MPs promoted the accumulation of dissolved OM in sandy loam soil. Their explanation for this behavior was that high concentrations of MPs facilitate the release of nutrients into the soil solution, which is caused by microorganisms via mineralization. Furthermore, Li et al. [74] obtained results similar to those obtained in the present study with regard to the TOC indicator, establishing a proportional relationship between this indicator and the concentration of MPs (PP) used in the experiments (0.1%, 0.3%, and 1% w w−1). In the same study, it was emphasized that treatments with 0.3% and 1% (w w−1) of added MPs showed values significantly higher than the control (. It was established that these phenomena could be attributed to the fact that MPs are a habitat and food source for microorganisms, which results in greater microbial activity, and, since PP is a material rich in organic C, the TOC quantification methods used were able to detect it, as the PP used in the study contained 85.7% C. Moreover, Liu et al. [8] used PE (1% and 5% w w−1) in 30-day experiments and found that the concentration of dissolved organic C (DOC) tended to increase with the MP concentration used in the experiments. However, although C from MPs can increase the concentration of TOC in soil, it has not yet been regarded as a true nutrient [74].
In the same context, in the present study, inverse behavior was observed for the TN indicator (Figure 4E) compared to the TOC indicator, where TN showed a decrease when increasing the concentration of MPs during the experiment, with no significant differences observed between treatments (), showing the following order in TN concentration: T1 = T2 = T3 = T4. Similarly, Li et al. [74] did not find significant differences in TN between a control treatment and treatments with PP and polyvinyl chloride (PVC) MPs when using concentrations of 0.1%, 0.3%, and 1% (w w−1) in sandy soil. Although their experiments lasted 3 months, it was concluded that it would be appropriate to conduct a follow-up of this indicator for a longer time. Hu et al. [75] used concentrations of 7% and 28% (w w−1) of polyethylene terephthalate (PET) in silty loam soil for 30 days, and, in the treatment with a higher concentration of MPs (28%), they observed a TN concentration that was 21.07% below the control treatment. This behavior can be observed in the present study in the T4 treatment with 5% (w w−1). Even though there were no significant differences between treatments in the present study, a decrease in TN was observed when increasing the concentration of MPs, possibly due to the degree of total N mineralization into inorganic forms. On the other hand, due to the dynamics of the TOC and TN values obtained in this study, the C/N ratio (Figure 4F) showed significant differences between treatments ( in the following order: T1 = T2 < T3 < T4. Treatment T4 was 25.4% above the control treatment T1. In all treatments, the C/N ratio was considered low, but it tended to improve with the addition of MPs. This was due to an increase in the TOC indicator when the concentration of MPs increased.
In addition to TN, the inorganic N (N-NO2−, N-NO3−, and N-NH4+) was also determined in the different treatments and over time. In this regard, the N-NO2− in this study showed significant differences () between the T3 and T4 treatments, presenting the following order in concentration: T1 = T2 < T3 < T4 (Figure 4G). Treatment T4 presented concentrations that were 12.1%, 15.8%, and 18.2% higher than T3, T2, and T1, respectively. This behavior may be closely related to the results obtained for N-NH4+ in the present study, since it was reduced with the addition of MPs; with respect to this, several authors have concluded that, under high concentrations of MPs, the N cycle can be directed mainly towards nitrification [75,76]. It should be noted that there are few studies on the effect of MPs on the production of N-NO2− during N mineralization processes in soil. Similar to the results in the present study, Chen et al. [76] observed that the addition of 2% (w w−1) PLA increased the concentration of N-NO2−. These and other authors have concluded that MPs can alter soil biophysics and increase soil porosity, which could increase soil airflow and stimulate N-NH4+ oxidation by providing sufficient dissolved O2.
On the other hand, the N-NO3− indicator showed significant differences between treatments (), presenting the following order in concentration: T1 = T2 = T3 < T4 (Figure 4H). Treatment T4 was different from the other treatments, having a concentration 50% above the control treatment T1. Contrasting with this study, Liu et al. [73] found that the addition of PP particles decreased N-NO3− production during the first three days, and then, between days 7 and 30, no difference was found between the treatments and the control. In this case, although the addition of MPs increased the soil porosity and O2 content, promoting the nitrification process, the low N-NH4+ content in the soil was a limiting factor for its complete mineralization into N-NO3−. On the other hand, Liu et al. [8], when using PE (1% and 5% w w−1), only found differences in the N-NO3− between treatments on the first day of the experiment, and there were no significant differences during the following days. They used a temperature of 25 °C and a relative humidity of 75% in the dark, and they mentioned that higher temperatures and humidities could increase microbial activity, and, therefore, the concentration of compounds such as N-NO3− via nitrification. They also attributed this behavior to the short incubation period of their experiments (30 days). Hu et al. [75] obtained results similar to those in the present study, where soils treated with PET MPs (7% and 28% w w−1) showed an increase in the nitrification process with respect to the control. In the present study, the increases in N-NO2− and N-NO3− in the treatments and over time could also be related to the decrease in N-NH4+ (see Figure 4I) caused by the high concentrations of MPs (mainly 5% w w−1). The above may also be due to the fact that it has been reported that the incorporation of MPs affects the porosity of soil, which, in turn, increases the flow of O2 and promotes the microbial autotrophic activity present in the soil, which is reflected in a faster or more efficient oxidation of N-NH4+, increasing N-NO3− via nitrification [75,77].
With respect to N-NH4+ (Figure 4I), there were no significant differences between the treatments . However, N-NH4+ tended to decrease with the addition of MPs, mainly at high concentrations. This behavior may be closely related to the N-NO2− and N-NO3− indicators, since these tend to increase in concentration when increasing the dose of MPs (Figure 4G,H). This indicates that the direction of the nitrogen cycle tended towards nitrification processes. In similar studies, Liu et al. [73] also found no differences in the concentration of N-NH4+ during 30 days of experimentation on a silty textured soil with PP (7% and 28% w w−1). They attributed this behavior to a greater accumulation of DOC when increasing the concentration of MPs, showing that heterotrophic microbial growth (the immobilization of N-NH4+) dominates over autotrophic growth (the oxidation of N-NH4+). Likewise, the results obtained by Liu et al. [8] were similar to the results of the present study when they used PE (1% and 5% w w−1), and they found no differences in the values of N-NH4+ between treatments and the control during the 30 days of the experiment. They attributed this behavior to the short time of the experiment, since MPs do not decompose in a short time and do not show effects on the inorganic N of soil. On the other hand, contrary to the results of this study, Hu et al. [75] found overall decreases in N-NH4+ of 67.93% and 79.84% when using PET at concentrations of 7% and 28% (w w−1), respectively, compared to a control treatment. They attributed this behavior to the fact that PET can chelate N-NH4+, since it has carbonyl (=O) and hydroxyl (-OH) groups on its surface [75,78]. They also found that the concentration of N-NO3− in their experiment increased when adding PET MPs, so they attributed the decrease in N-NH4+ to the acceleration of the nitrification process, which, in turn, affected the transformation of N in the soil. Also, Chen et al. [76] found that the concentration of N-NH4+ was significantly reduced between days 12 and 15 of their experiment on paddy field soil using 2% (w w−1) PLA concentrations over 70 days. They concluded that PLA MPs did influence the transformation of soil N, and their influence was different depending on high or low C conditions, since, in treatments supplemented with C sources, the concentration of N-NH4+ tended to be lower than the control. Hu et al. [75], in similar studies, also considered that the conditions for the transformation of N in the soil were favorable to increase the mineralization processes via nitrification. Considering the above data, it can be established that the effects of MPs on the mineralization of N sources and their transformation into more assimilable forms (N-NO3− and N-NH4+), the type of MPs, their form, and their concentration play fundamental roles in the physicochemical and biological properties of soil.
Regarding the net mineralization of inorganic N, represented as Nmin, significant differences were observed between treatments (), showing the same order in concentration as N-NO3− (T1 = T2 = T3 < T4), with T4 presenting a concentration of Nmin that was 23.3% higher than the control treatment T1 (Figure 4J). It is important to emphasize that this indicator evaluates to what degree the mineralization of the N compounds present in soil develops in the presence of MPs. The fact that there was a higher net mineralization rate in T4 could have been related to a greater aeration in the soil matrix (microaggregates) due to the concentrations of the MPs used, which promoted greater biophysical contact with the C and N nutrient sources within the system, favoring a greater availability and increasing the production of N in its most assimilable inorganic forms (N-NO2−, N-NO3−, and N-NH4+) by the action of the biological phase of the soil.
In the present study, high values of N-NO3−—mainly in treatment T4—may have also favored the dynamics of Nmin over time, since, of the three forms of inorganic N, N-NO3− was the one that contributed the most quantitatively to Nmin. According to Yang et al. [47], high values of the N-NO3− indicator are normally related to a greater nitrification of various N compounds, very similar to what was observed in treatment T4, where the dynamics of both N-NO3− and Nmin were statistically higher () than those in the other treatments.
Another important indicator is NI (N-NH4+/N-NO3−), as it represents the flow of the N cycle, providing information on whether the system or mineralization processes of C and N sources and their products are directed towards denitrification or nitrification, which is different from Nmin, since that represents the general behavior of inorganic N. The NI values presented the following order: T4 < T3 = T1 < T2. As can be observed in Figure 4K, there were significant differences between the treatments (). Treatment T4 was the one that presented the lowest value in terms of NI, having a value that was 59.5% below the control treatment T1, which indicated that this type of treatment leads to nitrification. On the other hand, T2 showed significant differences (), being 16.45% above the control treatment T1; therefore, unlike treatment T4, this one was directed towards denitrification. The results and their variations in NI indicated that high concentrations of PP fibers are linked to nitrification processes and vice versa. It should be noted that the indicators Nmin and NI have not been evaluated in other studies related to soils and MPs, however, this study established that they are of the utmost importance, since Nmin can give us an indication of the global mineralization of C and N sources in the presence of an organic amendment, contaminant, or, in this case, MPs in the soil. Moreover, the NI indicator can provide information on the flow or direction of the transformation and assimilation of N via the so-called N cycle.
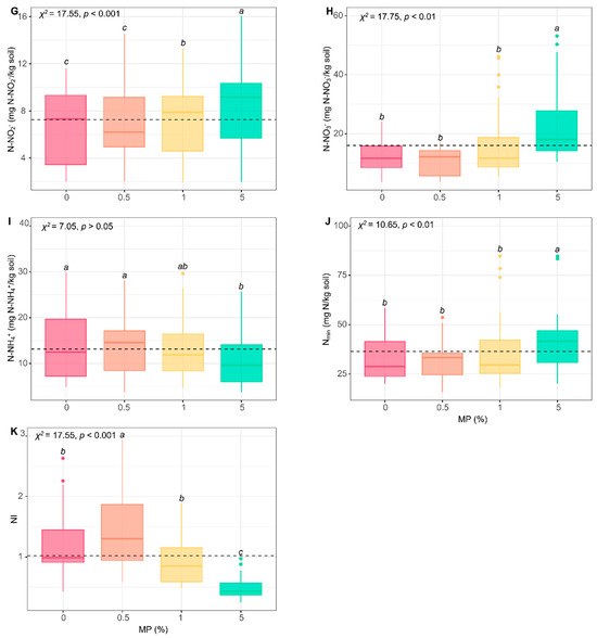
3.4. C and N Dynamics in Soil with MPs: Enzymatic Indicators
Microorganisms and their enzymatic activities play crucial roles in the soil nutrient cycle and are, therefore, related to crop nutrition. Consequently, it is important to include the determination of enzymatic indicators, which provide rapid information on the conditions in which the metabolic activity of the microorganisms present in the soil develops [61]. In this regard, UA, DHA, and FDA in the presence of MPs presented similar results, without significant differences between the treatments (, establishing the following order in enzymatic activity: T1 = T2 = T3 = T4 (Figure 5A–C). Nonetheless, it is important to emphasize that the FDA activity in treatment T4 presented a concentration that was 30.43% higher than that of T2. Liu et al. [79], in a meta-analysis study that included 1812 investigations on the enzymatic activities of soil and MPs, concluded that MPs do not significantly affect the enzymatic activities in soil. These results are similar to those found in the present study. However, de Souza Machado et al. [15] used MPs of polyamide (PA), PE, and PES, finding that these especially increased the FDA enzymatic activity. On the other hand, when using PET, PP, and polystyrene (PS), no change in the activity of this enzyme was observed. Moreover, Liu et al. [73] determined that 28% (w w−1) of PP in the soil increased the FDA activity, but at a concentration of 7% (w w−1), there was no significant difference . It has been found that MPs such as PP can increase the activity of enzymes—e.g., β-Glucosidase, Acid phosphatase, and FDA—probably because the CH3 side of the PP chain is easily destroyed through various biochemical processes [80,81]. In the present study, an increase in FDA enzymatic activity could only be established when comparing the treatments that had the highest and lowest concentrations of PP, with the FDA of T4 being significantly higher than that of T2 . This behavior may be related to the dose of MPs in the soil, which could promote a better disposition of OM for soil microorganisms [73].
Figure 5.
Friedman analysis of variance for enzymatic indicators with respect to treatments. T1, 0% MPs; T2, 0.5% MPs; T3, 1% MPs; and T4, 5% MPs; (A) UA, urease activity (mg N-NH4+ kg−1 h−1 dry soil); (B) DHA, dehydrogenase activity (mg INF kg−1 h−1 dry soil); (C) FDA, fluorescein diacetate activity (mg fluorescein kg−1 h−1 dry soil); and (D) SEI, synthetic enzymatic index (mg kg−1 h−1 dry soil). The dotted line represents the mean of the indicator. Same letters indicate that there is no significant difference between treatments using a pairwise Wilcoxon rank-sum comparison test with Bonferroni adjustment .
In the same context, Pinto-Poblete et al. [4] found no significant differences in the UA and DHA activities in soils with 0.002% (w w−1) of high-density polyethylene (HDPE) compared to a control soil. However, these researchers noted differences in the DHA activity when adding cadmium (Cd) in combination with MPs to the design of the experiments. They found that Cd treatment decreased the activity of this enzyme by binding Cd and its functional groups, such as hydrogen sulfide, carboxyl, and imidazole. Perceiving these differences was possible because DHA is one of the enzyme bioindicators that is most sensitive to heavy metal contamination [4,82]. It is important to note that DHA mainly involves anerobic soil microorganisms, most abundantly in the genus Pseudomonas, particularly in Pseudomonas entomophila [83].
On the other hand, despite the fact that UA is related to the N cycle in soil—as it promotes the hydrolysis of OM containing N—it can be concluded that the high concentration of Nmin in the different treatments of the present study may have been an important reason why a higher concentration of this enzyme (UA) was unnecessary for N mineralization and, therefore, did not present significant differences between treatments Wang et al. [7] indicated that urease activity was significantly correlated with some bacterial genera, such as Aeodermatophilus, Blastococcus, Bacillus, Marmoricola, and Nitrospira. In a study by Fan et al. [84], where enzymatic activity was related to the microorganisms present in soil, they showed that soil fungi and actinomycetes were strongly positively correlated with protease, urease, and Acid phosphatase, indicating that the interaction of microorganisms and soil enzymes is significant for improving soil fertility.
The SEI was also determined in the experiments (Figure 5D), which included the sum of the enzymatic activities described above, and, like the individual enzymatic activities, there were no significant differences in this indicator It should be noted that the DHA indicator was the one that contributed the most to the determination of the SEI, as it presented concentrations higher than the other enzymes, followed by UA, both of which are related to the N cycle and its mineralization (Nmin). Based on previous research and the results obtained in the present study, it can be established that the enzymatic activities could have been influenced by the type and concentration of MPs, in addition to the duration of the experiments. Therefore, it is important to conduct this type of research using other MPs with different forms and concentrations, as well as using different soils with longer incubation times.
3.5. APIZYM Enzymatic Profile
With respect to the application of APIZYM® during the C and N mineralization dynamics experiments, six prevalent enzymatic activities were detected (Figure 6). The enzymes detected were Alkaline phosphomonoesterase, Leucine arylamidase, Valine arylamidase, Cystine arylamidase, Acid phosphomonoesterase, and Phosphohydrolase. Phosphohydrolase presented the greatest activity throughout the experiment, followed by Acid phosphomonoesterase and Alkaline phosphomonoesterase, presenting the following order in general activity: Phosphohydrolase > Acid phosphomonoesterase > Alkaline phosphomonoesterase > Valine arylamidase > Cystine arylamidase > Leucine arylamidase. It is important to mention that the activity of Phosphohydrolase is involved in the release of phosphate groups into media. This was confirmed by the activities found in the phosphatase family. The activities of phosphatase in soils may indicate that the evaluated soils tend to have an alkaline environment (pH > 7.50) and can also establish a link with the transformation or mineralization of organic phosphorus into soluble inorganic phosphorus. In this regard, Bergkemper et al. [85] indicated that Acidobacteria contributes significantly to the phosphorus availability in soils, and Wang et al. [7] pointed out that phosphatase activity is significantly associated with some bacterial genera, including Phenylobacterium, Pseudonocardia, Ramlibacter, Marmoricola, and Saccharimonadales. Furthermore, Acidobacteria play important ecological roles in soil, as evidenced by their active participation in the carbon, nitrogen, phosphorus, and sulfur cycles [83]. On the other hand, aminopeptidases are proteolytic enzymes that degrade the N-terminal residue of oligopeptides, producing smaller peptides and free amino acids, which is why this group of enzymes is linked to the N cycle, possibly as a precursor of the forms of N available to microorganisms and plants [86].
Figure 6.
Enzyme profiles of the different treatments over 90 days.
It is worth mentioning that the enzymatic activities of three groups of families (esterases, proteases, and glycosyl hydrolases) could not be detected with this method. Bedolla-Rivera et al. [50] found similar results in terms of enzymatic activity by using this method in six soils from the Mexican Bajio with different tillage practices, detecting a higher activity in the phosphatase group and a lower activity in glycosyl hydrolases. A possible explanation for the null identification of these enzymatic activities could be that glucosyl hydrolases may be linked to the moderate concentration of OM in the soils used in the present study and, even though there were sources of external C coming from the PP MPs, these were not accessible to the microorganisms in the soils. Sánchez-Guzmán et al. [61] also used this method in ten soils from the Mexican Bajio region and, similarly, did not detect glucosyl hydrolase activity in eight of those soils when establishing quality indexes for them.
It is important to mention that there are no previous studies on the application of this semi-quantitative enzymatic system in soils with MPs, specifically with PP. Nonetheless, this type of enzymatic analysis has been of significant help in determining the changes that soils undergo in the presence of contaminants, nutrients, biosolids, composts, etc. For example, Bedolla-Rivera et al. [48] used this method to determine the enzymatic profiles of composts using biosolids and cow manure in different proportions. Unlike the present study, they found that, after the phosphatase family, glucosyl hydrolases had a higher activity than the rest of the enzyme group. It should be noted that the two substrates they used had TOC concentrations of 7.80% and 4.20% for biosolids and manure, respectively, values which are much higher than those found in the soil used in the present study. Medina-Herrera et al. [87] used this method to determine the enzymatic profiles in biosolids throughout the different seasons of the year, also finding a high enzymatic activity of the glucosyl hydrolase group. This may also be closely related to the high percentages of TOC in the analyzed biosolids, since their values ranged from 36.90% to 57.90%, values which are higher than the TOC contents found in the present study. Therefore, it can be concluded that the concentration of TOC in the analyzed samples may be closely related to the identification of this type of enzyme in soils and other systems. Considering the above, it can be established that the application of non-conventional methods, such as the APIZYM® system, can be proposed as a new and useful tool to identify the activity or inhibition of different groups of enzymes in soils with the presence of different xenobiotics or solid contaminants such as MPs. It is also important to consider tools such as molecular biology to investigate, in a particular way, what types of bacterial communities participate in the changes that soil undergoes with MPs.
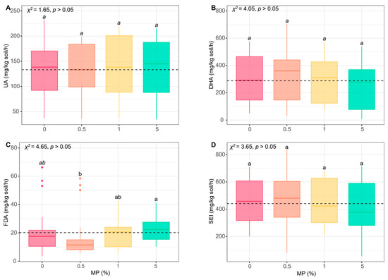
3.6. C and N Dynamics in Soil with MPs: Ecophysiological Indicators
Ecophysiological indicators were determined to evaluate the changes that MPs could cause in the biological phase of the soil. Regarding the MBC, there were no significant differences presenting the following order in concentration: T1 = T2 = T3 = T4 (Figure 7A). Unlike the present study, Shi et al. [88] found that the addition of 1% (w w−1) of PE and PLA MPs in clayey and sandy loam soil presented lower concentrations of MBC with respect to the control. They attributed this behavior to a higher respiration rate (C-CO2) in treatments with high doses of MPs, which indicated that more MBC was involved in microbial respiration. Similarly, Qi et al. [89] used two non-biodegradable MPs (PE and PVC) and four biodegradable MPs (polybutylene Succinate [PBS], polyhydroxyalkanoates [PHA], polybutylene adipate terephthalate [PBAT], and polypropylene carbonate [PPC]) at concentrations of 1%, 7%, and 28% (w w−1) in microcosm-level experiments using silty loam agricultural soil. They found that the MBC content tended to increase when increasing the MP dose, except for PBS. They mentioned that this was due to the incorporation of C-containing compounds, especially biodegradable plastics, since these compounds break down into nanoplastics and are used to generate new biomass. Although there were no significant differences in this indicator in the present study, it has also been reported that MPs—such as PE, PLA, and PVC—at different concentrations induce changes in microbial activity [74,75], so it is important to use different types and concentrations of MPs in experiments with agricultural soils to determine the effects of these different MPs on this type of indicator.
Figure 7.
Friedman analysis of variance for ecophysiological indicators with respect to treatments. T1, 0% MPs; T2, 0.5% MPs; T3, 1% MPs; and T4, 5% MPs; (A) MBC, microbial biomass carbon (mg Cmic kg−1 dry soil); (B) qMIC, microbial quotient; (C) C-CO2, carbon dioxide (mg C kg−1 dry soil); and (D) qCO2, metabolic quotient (mg C-CO2 g Cmic−1 h−1). The dotted line represents the mean of the indicator. Same letters indicate that there is no significant difference between treatments using a pairwise Wilcoxon rank-sum comparison test with Bonferroni adjustment ().
Regarding the qMIC, there were no significant differences between treatments which presented the following order: T1 = T2 = T3 = T4 (Figure 7B). It is important to emphasize that there are few or no studies on the dynamics of this indicator in the presence of MPs. This indicator has been used to estimate microbial activity and OM accumulation in soil [50]. In quality studies using soils (without MPs) from the Mexican Bajio, Bedolla-Rivera et al. [50] found qMIC values between 0.01 and 0.09%, values which are below those found in the present study, probably due to the low TOC values in the soils they studied. The TOC values obtained in their study were in a range considered low for agricultural soils, unlike the soil used in the present study, where the TOC values were in the moderate range.
On the other hand, the C-CO2 accumulated during the experiment presented the following order in concentration: T1 = T2 < T3 < T4 (Figure 7C), presenting significant differences between treatments Treatment T4 had a concentration that was 11.3% above the control treatment T1. It is interesting to note that the treatments without MPs (T1) and with the lowest concentration of MPs (T2) behaved similarly, without showing significant differences Zhao et al. [67] found that 0.4% PE foams (w w−1) increased microbial respiration compared to soils without PE, a behavior that was observed in the present study in treatments T3 and T4. However, these researchers also observed that other forms of PE MPs—such as films or fragments—did not have a significant effect on microbial respiration. They concluded that the positive effect of PE foams on microbial respiration may have been due to their spongy structure, which tended to increase soil aeration [90]. Something similar may have occurred in the present study, since the increase in C-CO2 as a function of the MP concentration in the soil could be attributed to the fibrous structure of PP, which increased soil aeration and, therefore, favored the activity of aerobic microorganisms [90]. Another reason could be a change or increase in the soil porosity, as reported by other authors [75,77]. Depending on the type, size, and spatial arrangement of PP, it can increase or generate channels or air flows between soil microaggregates, favoring the arrangement of OM, thus increasing the respiration rate of aerobic microorganisms via the mineralization of OM [91]. Li et al. [74] reached the same conclusions by establishing that, due to the low density of PP, it promotes or induces a decrease in soil density, thus increasing aeration, favoring the activity or respiration of aerobic microorganisms. In the present study, using high doses of MPs in the systems or microcosms may have also induced the same events, i.e., modifications in the orientation or structure of the microaggregates, favoring changes in soil porosity and, in turn, facilitating the availability of organic compounds, causing a higher concentration of C-CO2 via the aerobic mineralization of available C and N sources over time, as could be observed in the Nmin indicator.
In the same context of ecophysiological indicators, qCO2 is an indicator that is widely used to evaluate the physiological state of the biological phase of a soil. The qCO2 indicator has been related to cellular respiration and has been used as a measure of the ecophysiological state of microorganisms [50]. In the present study, this indicator did not show significant differences between treatments , presenting the following order: T1 = T2 = T3 = T4 (Figure 7D). There are a few studies where this indicator has been quantified in soils containing MPs, for example, the study by Shi et al. [88], who found that PE and PLA at concentrations of 1% (w w−1) tended to increase C-CO2 production and decrease MBC, which increased qCO2, presenting significant differences between treatments. Since there were no significant differences in the present study with respect to the MBC concentration, this could be one of the reasons why no significant differences were found regarding qCO2, despite the fact that significant differences were observed for the C-CO2 indicator. Although the MBC and qCO2 indicators did not present significant differences between treatments in the present study, they are of the utmost importance for future research related to MPs in soils, since they give a general diagnosis of the changes that a system suffers in its biological phase once elements foreign to the system—such as MPs—are incorporated.
3.7. Principal Component Analysis (PCA)
The PCA began with the development of a nonparametric Spearman correlation matrix with a Mantel test, as shown in Figure 8. This test was performed to reduce the number of variables without losing important information by calculating the relationships between the indicators evaluated. It was observed that, of the 19 indicators analyzed during the C and N mineralization dynamics experiments, TOC, TN, N-NO3−, N-NH4+, Nmin, UA, DHA, SEI, MBC, C-CO2, and qMIC were those that presented at least one significant interaction—either positive or negative—with another indicator . The indicators that presented a negative correlation were UA with C-CO2 and qCO2, indicators related to the biological phase of the soil. Also, the TN indicator presented a negative correlation with the C/N ratio, indicators that are inversely related. On the other hand, indicators with positive correlations were Nmin with N-NH4+ and N-NO3−, all directly related to the N cycle and mineralization. In addition, the DHA indicator presented a positive interaction with the SEI indicator, both involved in the enzymatic activities of soil. A positive interaction related to OM and the microbial community in the soil was MBC with qMIC. Finally, there was a positive interaction between C-CO2 and qCO2, both related to the activities of aerobic microorganisms and—directly or indirectly—to the C and N cycles, respectively.
Figure 8.
Nonparametric Spearman correlation matrix with Mantel test. pH, hydrogen potential; EC, electrical conductivity; TOC, total organic carbon; OM, organic matter; TN, total nitrogen; C/N, carbon–nitrogen ratio; NO2−, nitrites; NO3−, nitrates; NH4+, ammonium; Nmin, mineralizable nitrogen; NI, nitrification index; UA, urease activity; DHA, dehydrogenase activity; FDA, fluorescein diacetate activity; SEI, synthetic enzymatic index; MBC, microbial biomass carbon; CO2, carbon dioxide; qCO2, metabolic quotient, and qMIC, microbial quotient. Significance level of , where a significant linear correlation is considered at values of Levels of significant differences, * significant under of , ** very significant under of , *** and highly significant under a significance level of . Positive correlations are shown in blue, negative correlations are shown in red.
Only one principal component (PC) was obtained from the PCA analysis, which met the eigenvalue > 1 criterion according to the methodology described in Section 2.8. This PC accounted for 83.2% of the variability of the indicators analyzed during the C and N mineralization dynamics experiments over time. The variability was distributed as shown in Figure 9.
Figure 9.
Percentage of PC variability.
The analyzed indicators showed a significant correlation only with respect to PC1, as shown in Figure 10.
Figure 10.
Correlation bi-graph between PC1 and PC2. N-NH4+, ammonium; Nmin, mineralizable N; and C-CO2, carbon dioxide.
It is worth highlighting the importance and innovation of simultaneously using different types of physicochemical, enzymatic, and ecophysiological indicators to develop an SQI for soils with MPs, since these indicators evaluate soil quality by addressing different bioprocesses that are linked in the soil matrix. In the case of this study, there were two physicochemical indicators directly related to N (N-NH4+ and Nmin) and one ecophysiological indicator (C-CO2) that impacted PC1.
3.8. Development of the SQIu
Regarding the development of the SQIu in this study, after the redundancy elimination process, the Nmin indicator presented the closest relationship with respect to soil quality and the different concentrations of MPs used in the experiments.
Salas-Enriquez et al. [92] developed an SQI for contaminated soils from an open dump and used organic amendments (biosolids) for their rehabilitation. These researchers conducted C and N dynamics experiments over time to monitor the release and assimilation of nutrients in the presence of contaminated soils. An SQIw was developed, finding significant differences between the contaminated soil and the uncontaminated soil, obtaining a better quality in the uncontaminated soil. However, once they added biosolids as an organic amendment to the contaminated soils, their quality improved, without significant differences between them But most relevant of all is that they also found Nmin to be the indicator with the closest relationship to soil quality, which may be closely related to the presence of MPs in dumps. Additionally, Bedolla-Rivera et al. [93] compared three different methodologies that involved the development of SQIs using physicochemical and biological indicators for sodic soils with the addition of different doses of biosolids obtained from a local waste-water treatment plant, evaluating C and N dynamics over time. Their results indicated that the Nmin indicator showed a tendency to increase as a function of the applied dose of biosolids compared to the control soil (without biosolids) over time. One of the developed SQIs in their study was an SQIu, where the N-NH4+ indicator was the most related to soil quality, which is a secondary part of the mineralization process of N sources (Nmin) via nitrification. It should be emphasized that Nmin is a key indicator closely related to the mineralization of OM in agricultural soils, in soils with added organic amendments, and in soils with organic pollutants and with sources of C and N accessible to the biological phase of the soil. Legay et al. [94] are in accordance with what was previously mentioned, i.e., that indicators involved in the N cycle (Nmin in this study) are considered key to determining soil quality.
Another key indicator related to the mineralization of OM in soil and, therefore, to the dynamics of Nmin is C-CO2. The widely used C-CO2 indicator is either a direct indicator of microbial activity or is considered as a final product of a transformation process or the complete mineralization of OM or compounds used as primary sources of C and N. According to the Friedman analysis of variance (Figure 7C), there were significant differences in terms of the accumulated C-CO2. Since increasing the concentration of MPs increases the C-CO2 value, this indicator is closely related to nutrient mineralization into more accessible forms and, therefore, is indirectly related to soil quality.
Once it was determined that the Nmin indicator was the one with the closest relationship to soil quality, it was used in Equation (2) considering the function of the indicator as “more is better”. The SQIu was obtained through Equation (4), as follows:
With the above equation, the soil quality values were obtained for the different treatments. The SQIu developed for the different treatments (Figure 11) indicated significant differences between T4 and the other treatments . Nonetheless, there were no significant differences between treatments T1, T2, and T3 , having the following order in terms of the SQIu: T1 = T2 = T3 < T4. It should be noted that all soils were in the “low-quality” range (see Table 1), with values between 0.21 and 0.32 (Supplementary Table S1). It is interesting to note that, when adding the lowest dose of MPs (0.5% w w−1), there was a decrease in the soil quality (SQIu = 0.21) compared to the control treatment (SQIu = 0.23) (Supplementary Table S1), although this was not significant . On the other hand, treatments T3 and T4 presented higher values with respect to the control, having an SQIu of 0.26 and 0.32, respectively (Supplementary Table S1). This indicates that, at low concentrations of MPs (0.5% w w−1), there may be a negative effect on the quality of soil, whereas at high concentrations ( w w−1), certain processes that increase the quality of soil may be favored.
Figure 11.
Friedman analysis of variance for SQIu. T1, 0% MPs; T2, 0.5% MPs; T3, 1% MPs; and T4, 5% MPs. The dotted line represents the mean of the indicator. Same letters indicate that there is no significant difference between treatments using a pairwise Wilcoxon rank-sum comparison test with Bonferroni adjustment (.
Finally, it is important to mention that there is little or no information about SQIs developed for soils with MPs and monitored through C and N dynamics over time. The results obtained in the present study may be a turning point for future research related to soils with MPs, since the proposed indicators are not only extremely important for soils, but are also rarely used or have not been used previously in this type of study. Furthermore, the resulting SQIu proved to be a useful tool to determine soil quality by reducing the number of indicators used. Therefore, it would be worth considering the use of this tool for other types of soils and MPs. It is known that the effect of MPs can vary with different soil textures, as well as with different MPs due to their type, size, shape, and concentration. Having an SQI for different conditions could help to generalize appropriate strategies for dealing with these MPs. On the other hand, since the present study was 90 days long at the microcosm level, it is important to transfer this type of study to the field level, so as to consider a longer period and obtain results closer to those found in agricultural soils.
4. Conclusions
The presence of MPs in soils has different effects on indicators related to soil quality. Therefore, it is important to develop Soil Quality Indexes (SQIs) that can help to determine the quality of soil, specifically a Unified Weighted Additive Index (SQIu). In general, the effects of MPs on soils depend on several factors, such as the type, concentration, and form of the MPs. In this study, it was possible to determine that the indicators that suffered the greatest impact in the presence of PP MPs from face masks were the physicochemical indicators, since 9 of the 11 physicochemical indicators analyzed here presented significant differences between treatments, whereas only one (the accumulated C-CO2) of the 8 biological indicators (enzymatic and ecophysiological) showed significant differences between treatments. From the above and according to other authors, it can be concluded that the MPs released from face masks can have significant effects on the ecosystem balance by changing the structure and porosity of soil, thus influencing the growth and development of plants and affecting soil organisms, such as bacteria. In addition, the hydrophobic nature of many MPs can prevent water from entering the soil or interfering with the flow of water. Also, changes in soil structure such as porosity and density can trigger a series of changes that can affect indicators such as pH, the nitrogen cycle, etc. Therefore, it is important to develop this type of experiment at the greenhouse and field levels in order to obtain a closer view of the effects on plants. Regarding the SQIu, after performing a PCA of these indicators, the Nmin indicator resulted in being the only indicator used to determine the SQIu for soils with PP MPs, since it was the one with the closest relationship to soil quality and was directly or indirectly related to other indicators, either physicochemical or biological. Once the SQIu value was obtained for the different treatments, all of them fell into the “low-quality” range. However, despite having the highest percentage of MPs (5% w w−1), only treatment T4 showed a significantly higher quality value than the other three treatments , possibly due to a greater aeration between the microaggregates, which promoted the activity of aerobic microorganisms that are important for the C and N cycles, as reported in other studies (see Section 3.6). By reducing the number of indicators used, the developed SQIu proved to be a useful tool for determining the quality of soils with MPs. Although there are no previous studies where an SQI has been developed for soils with MPs, this study established the importance of conducting more studies with different types of soils, the addition of different types, sizes, and concentrations of MPs, and the incorporation of statistical tools for multivariate analyses for the development of SQIs, with the aim of establishing strategies to measure the effects of MPs on soils at the local, national, and international levels.
Supplementary Materials
The following supporting information can be downloaded at: https://www.mdpi.com/article/10.3390/app15042010/s1, Table S1: Descriptive statistics of indicators according to each treatment.
Author Contributions
Conceptualization, H.P.-G., H.I.B.-R. and E.C.-B.; methodology, H.P.-G., H.I.B.-R., E.C.-B., M.d.l.L.X.N.-R., D.Á.-B., A.B.-N. and L.G.-C.; software, H.P.-G. and H.I.B.-R.; validation, H.P.-G., H.I.B.-R., E.C.-B. and M.d.l.L.X.N.-R.; formal analysis, H.P.-G., H.I.B.-R. and E.C.-B.; investigation, A.H.-P., M.A.L.-H., D.Á.-B. and M.d.l.L.X.N.-R.; resources, H.P.-G., H.I.B.-R., E.C.-B., M.A.L.-H., D.Á.-B. and M.d.l.L.X.N.-R.; data curation, H.P.-G., H.I.B.-R. and M.d.l.L.X.N.-R.; writing—original draft preparation, E.C.-B., H.P.-G., H.I.B.-R. and M.d.l.L.X.N.-R.; writing—review and editing, E.C.-B. and M.d.l.L.X.N.-R.; visualization, H.P.-G., H.I.B.-R. and E.C.-B.; supervision, H.P.-G., H.I.B.-R., E.C.-B., M.A.L.-H., D.Á.-B. and M.d.l.L.X.N.-R.; project administration, E.C.-B. and M.d.l.L.X.N.-R.; funding acquisition, E.C.-B. All authors have read and agreed to the published version of the manuscript.
Funding
This research was funded by the National Technological Institute of Mexico/Technological Institute of Celaya, Gto., Mexico, project grant number 17659.23-P and CONAHCyT postgraduate scholarship number 814572.
Institutional Review Board Statement
Not applicable.
Informed Consent Statement
Not applicable.
Data Availability Statement
The raw data supporting the conclusions of this article will be made available by the authors on request.
Acknowledgments
Special thanks to the Environmental Biotechnology and Bioprocesses Laboratory of the National Technological Institute of Mexico/Technological Institute of Celaya for making their facilities and equipment available to us for the development of this study.
Conflicts of Interest
The authors declare no conflicts of interest.
References
- Lehmann, A.; Fitschen, K.; Rillig, M.C. Abiotic and Biotic Factors Influencing the Effect of Microplastic on Soil Aggregation. Soil Syst. 2019, 3, 21. [Google Scholar] [CrossRef]
- Lim, X. Microplastics Are Everywhere—But Are They Harmful? Nature 2021, 593, 22–25. [Google Scholar] [CrossRef] [PubMed]
- Monkul, M.M.; Özhan, H.O. Microplastic Contamination in Soils: A Review from Geotechnical Engineering View. Polymers 2021, 13, 4129. [Google Scholar] [CrossRef]
- Pinto-Poblete, A.; Retamal-Salgado, J.; López, M.D.; Zapata, N.; Sierra-Almeida, A.; Schoebitz, M. Combined Effect of Microplastics and Cd Alters the Enzymatic Activity of Soil and the Productivity of Strawberry Plants. Plants 2022, 11, 536. [Google Scholar] [CrossRef]
- Kumari, A.; Rajput, V.D.; Mandzhieva, S.S.; Rajput, S.; Minkina, T.; Kaur, R.; Sushkova, S.; Kumari, P.; Ranjan, A.; Kalinitchenko, V.P.; et al. Microplastic Pollution: An Emerging Threat to Terrestrial Plants and Insights into Its Remediation Strategies. Plants 2022, 11, 340. [Google Scholar] [CrossRef]
- Conley, K.; Clum, A.; Deepe, J.; Lane, H.; Beckingham, B. Wastewater Treatment Plants as a Source of Microplastics to an Urban Estuary: Removal Efficiencies and Loading per Capita over One Year. Water Res. X 2019, 3, 100030. [Google Scholar] [CrossRef]
- Wang, F.; Wang, Q.; Adams, C.A.; Sun, Y.; Zhang, S. Effects of Microplastics on Soil Properties: Current Knowledge and Future Perspectives. J. Hazard. Mater. 2022, 424, 127531. [Google Scholar] [CrossRef]
- Liu, W.; Cao, Z.; Ren, H.; Xi, D. Effects of Microplastics Addition on Soil Available Nitrogen in Farmland Soil. Agronomy 2022, 13, 75. [Google Scholar] [CrossRef]
- Yu, H.; Zhang, Y.; Tan, W.; Zhang, Z. Microplastics as an Emerging Environmental Pollutant in Agricultural Soils: Effects on Ecosystems and Human Health. Front. Environ. Sci. 2022, 10, 855292. [Google Scholar] [CrossRef]
- Yi, M.; Zhou, S.; Zhang, L.; Ding, S. The Effects of Three Different Microplastics on Enzyme Activities and Microbial Communities in Soil. Water Environ. Res. 2021, 93, 24–32. [Google Scholar] [CrossRef]
- Horton, A.A.; Walton, A.; Spurgeon, D.J.; Lahive, E.; Svendsen, C. Microplastics in Freshwater and Terrestrial Environments: Evaluating the Current Understanding to Identify the Knowledge Gaps and Future Research Priorities. Sci. Total Environ. 2017, 586, 127–141. [Google Scholar] [CrossRef] [PubMed]
- Fuller, S.; Gautam, A. A Procedure for Measuring Microplastics Using Pressurized Fluid Extraction. Environ. Sci. Technol. 2016, 50, 5774–5780. [Google Scholar] [CrossRef] [PubMed]
- De Souza Machado, A.A.; Horton, A.A.; Davis, T.; Maaß, S. Microplastics and Their Effects on Soil Function as a Life-Supporting System. In Microplastics in Terrestrial Environments; He, D., Luo, Y., Eds.; The Handbook of Environmental Chemistry; Springer International Publishing: Cham, Switzerland, 2020; Volume 95, pp. 199–222. ISBN 978-3-030-56270-0. [Google Scholar]
- Lozano, Y.M.; Lehnert, T.; Linck, L.T.; Lehmann, A.; Rillig, M.C. Microplastic Shape, Polymer Type, and Concentration Affect Soil Properties and Plant Biomass. Front. Plant Sci. 2021, 12, 616645. [Google Scholar] [CrossRef] [PubMed]
- de Souza Machado, A.A.; Lau, C.W.; Kloas, W.; Bergmann, J.; Bachelier, J.B.; Faltin, E.; Becker, R.; Görlich, A.S.; Rillig, M.C. Microplastics Can Change Soil Properties and Affect Plant Performance. Environ. Sci. Technol. 2019, 53, 6044–6052. [Google Scholar] [CrossRef]
- Khoo, K.S.; Ho, L.Y.; Lim, H.R.; Leong, H.Y.; Chew, K.W. Plastic Waste Associated with the COVID-19 Pandemic: Crisis or Opportunity? J. Hazard. Mater. 2021, 417, 126108. [Google Scholar] [CrossRef]
- Fadare, O.O.; Okoffo, E.D. Covid-19 Face Masks: A Potential Source of Microplastic Fibers in the Environment. Sci. Total Environ. 2020, 737, 140279. [Google Scholar] [CrossRef]
- Patrício Silva, A.L.; Prata, J.C.; Walker, T.R.; Duarte, A.C.; Ouyang, W.; Barcelò, D.; Rocha-Santos, T. Increased Plastic Pollution Due to COVID-19 Pandemic: Challenges and Recommendations. Chem. Eng. J. 2021, 405, 126683. [Google Scholar] [CrossRef]
- Peng, Y.; Wu, P.; Schartup, A.T.; Zhang, Y. Plastic Waste Release Caused by COVID-19 and Its Fate in the Global Ocean. Proc. Natl. Acad. Sci. USA 2021, 118, e2111530118. [Google Scholar] [CrossRef]
- Singh, N.; Tang, Y.; Zhang, Z.; Zheng, C. COVID-19 Waste Management: Effective and Successful Measures in Wuhan, China. Resour. Conserv. Recycl. 2020, 163, 105071. [Google Scholar] [CrossRef]
- Jambeck, J.R.; Geyer, R.; Wilcox, C.; Siegler, T.R.; Perryman, M.; Andrady, A.; Narayan, R.; Law, K.L. Plastic Waste Inputs from Land into the Ocean. Science 2015, 347, 768–771. [Google Scholar] [CrossRef]
- Zeng, F.; Liu, D.; Xiao, C.; Li, K.; Qian, X.; He, Y.; Giesy, J.P.; Mu, Y.; Wang, M. Advances and Perspectives on the Life-Cycle Impact Assessment of Personal Protective Equipment in the Post-COVID-19 Pandemic. J. Clean. Prod. 2024, 437, 140783. [Google Scholar] [CrossRef]
- Bogush, A.A.; Kourtchev, I. Disposable Surgical/Medical Face Masks and Filtering Face Pieces: Source of Microplastics and Chemical Additives in the Environment. Environ. Pollut. 2024, 348, 123792. [Google Scholar] [CrossRef] [PubMed]
- Nghiem, L.D.; Iqbal, H.M.N.; Zdarta, J. The Shadow Pandemic of Single Use Personal Protective Equipment Plastic Waste: A Blue Print for Suppression and Eradication. Case Stud. Chem. Environ. Eng. 2021, 4, 100125. [Google Scholar] [CrossRef] [PubMed]
- Lin, L.; Hu, G.; Lijin, Y.; Gan, L.; Zhang, R.; Wang, L.; Lu, C.; Gao, J.; Lin, J.; Yang, L.; et al. Effects of Disposable Face Mask Microplastics on Soil Properties and Microbial Communities. CATENA 2024, 244, 108233. [Google Scholar] [CrossRef]
- Song, J.; Chen, X.; Li, S.; Tang, H.; Dong, S.; Wang, M.; Xu, H. The Environmental Impact of Mask-Derived Microplastics on Soil Ecosystems. Sci. Total Environ. 2024, 912, 169182. [Google Scholar] [CrossRef]
- Bedolla-Rivera, H.I.; Negrete-Rodríguez, M.d.l.L.X.; Gámez-Vázquez, F.P.; Álvarez-Bernal, D.; Conde-Barajas, E. Analyzing the Impact of Intensive Agriculture on Soil Quality: A Systematic Review and Global Meta-Analysis of Quality Indexes. Agronomy 2023, 13, 2166. [Google Scholar] [CrossRef]
- Aponte, H.; Medina, J.; Butler, B.; Meier, S.; Cornejo, P.; Kuzyakov, Y. Soil Quality Indices for Metal(Loid) Contamination: An Enzymatic Perspective. Land Degrad. Dev. 2020, 31, 2700–2719. [Google Scholar] [CrossRef]
- NORMA Oficial Mexicana NOM-021-RECNAT-2000, Que Establece las Especificaciones de Fertilidad, Salinidad y Clasificaciónde Suelos. Estudios, Muestreo y Análisis. 2002; p. 73. Available online: https://www.ordenjuridico.gob.mx/Documentos/Federal/wo69255.pdf (accessed on 11 February 2025).
- Bouyoucos, G.J. Hydrometer Method Improved for Making Particle Size Analyses of Soils1. Agron. J. 1962, 54, 464–465. [Google Scholar] [CrossRef]
- U.S. Department of Agriculture (USDA). Soil Survey Manual; United Department of Agriculture: Washington, DC, USA, 1951.
- Thomas, G.W. Soil pH and Soil Acidity. In Methods of Soil Analysis; John Wiley & Sons, Ltd.: Hoboken, NJ, USA, 1996; pp. 475–490. ISBN 978-0-89118-866-7. [Google Scholar]
- Hendrickx, J.M.H.; Borchers, B.; Corwin, D.L.; Lesch, S.M.; Hilgendorf, A.C.; Schlue, J. Inversion of Soil Conductivity Profiles from Electromagnetic Induction Measurements. Soil Sci. Soc. Am. J. 2002, 66, 673–685. [Google Scholar] [CrossRef]
- Alef, K.; Nannipieri, P. Methods in Applied Soil Microbiology and Biochemistry; Academic Press: Cambridge, MA, USA, 1995. [Google Scholar]
- Walkley, A.; Black, I.A. An examination of the Degtjareff method for determining soil organic matter, and a proposed modification of the chromic acid titration method. Soil Sci. 1934, 37, 29. [Google Scholar] [CrossRef]
- Yilmaz, E.; Sönmez, M. The Role of Organic/Bio–Fertilizer Amendment on Aggregate Stability and Organic Carbon Content in Different Aggregate Scales. Soil Tillage Res. 2017, 168, 118–124. [Google Scholar] [CrossRef]
- Bremner, J.M. Nitrogen-Total. In Methods of Soil Analysis; John Wiley & Sons, Ltd.: Hoboken, NJ, USA, 1996; pp. 1085–1121. ISBN 978-0-89118-866-7. [Google Scholar]
- Conde, E.; Cardenas, M.; Ponce-Mendoza, A.; Luna-Guido, M.L.; Cruz-Mondragón, C.; Dendooven, L. The Impacts of Inorganic Nitrogen Application on Mineralization of 14C-Labelled Maize and Glucose, and on Priming Effect in Saline Alkaline Soil. Soil Biol. Biochem. 2005, 37, 681–691. [Google Scholar] [CrossRef]
- Kandeler, E.; Gerber, H. Short-Term Assay of Soil Urease Activity Using Colorimetric Determination of Ammonium. Biol. Fertil. Soils 1988, 6, 68–72. [Google Scholar] [CrossRef]
- von Mersi, W.; Schinner, F. An Improved and Accurate Method for Determining the Dehydrogenase Activity of Soils with Iodonitrotetrazolium Chloride. Biol. Fertil. Soils 1991, 11, 216–220. [Google Scholar] [CrossRef]
- Green, V.S.; Stott, D.E.; Diack, M. Assay for Fluorescein Diacetate Hydrolytic Activity: Optimization for Soil Samples. Soil Biol. Biochem. 2006, 38, 693–701. [Google Scholar] [CrossRef]
- Vance, E.D.; Brookes, P.C.; Jenkinson, D.S. An Extraction Method for Measuring Soil Microbial Biomass C. Soil Biol. Biochem. 1987, 19, 703–707. [Google Scholar] [CrossRef]
- Akarsu, C.; Madenli, Ö.; Deveci, E.Ü. Characterization of Littered Face Masks in the Southeastern Part of Turkey. Environ. Sci. Pollut. Res. 2021, 28, 47517–47527. [Google Scholar] [CrossRef]
- Liu, M.; Lu, S.; Song, Y.; Lei, L.; Hu, J.; Lv, W.; Zhou, W.; Cao, C.; Shi, H.; Yang, X.; et al. Microplastic and Mesoplastic Pollution in Farmland Soils in Suburbs of Shanghai, China. Environ. Pollut. 2018, 242, 855–862. [Google Scholar] [CrossRef]
- Beltrán-Hernández, R.I.; Luna-Guido, M.L.; Dendooven, L. Emission of Carbon Dioxide and Dynamics of Inorganic N in a Gradient of Alkaline Saline Soils of the Former Lake Texcoco. Appl. Soil Ecol. 2007, 35, 390–403. [Google Scholar] [CrossRef]
- Rustad, L.; Campbell, J.; Marion, G.; Norby, R.; Mitchell, M.; Hartley, A.; Cornelissen, J.; Gurevitch, J. GCTE-NEWS A Meta-Analysis of the Response of Soil Respiration, Net Nitrogen Mineralization, and Aboveground Plant Growth to Experimental Ecosystem Warming. Oecologia 2001, 126, 543–562. [Google Scholar] [CrossRef]
- Yang, Y.; Meng, T.; Qian, X.; Zhang, J.; Cai, Z. Evidence for Nitrification Ability Controlling Nitrogen Use Efficiency and N Losses via Denitrification in Paddy Soils. Biol. Fertil. Soils 2017, 53, 349–356. [Google Scholar] [CrossRef]
- Bedolla-Rivera, H.I.; Conde-Barajas, E.; Galván-Díaz, S.L.; Gámez-Vázquez, F.P.; Álvarez-Bernal, D.; Xochilt Negrete-Rodríguez, M.d.l.L. Compost Quality Indexes (CQIs) of Biosolids Using Physicochemical, Biological and Ecophysiological Indicators: C and N Mineralization Dynamics. Agronomy 2022, 12, 2290. [Google Scholar] [CrossRef]
- Dumontet, S.; Mazzatura, A.; Casucci, C.; Perucci, P. Effectiveness of Microbial Indexes in Discriminating Interactive Effects of Tillage and Crop Rotations in a Vertic Ustorthens. Biol. Fertil. Soils 2001, 34, 411–416. [Google Scholar] [CrossRef]
- Bedolla-Rivera, H.; Negrete-Rodríguez, M.X.; Medina-Herrera, M.; Gámez-Vázquez, F.; Álvarez-Bernal, D.; Samaniego-Hernández, M.; Gámez-Vázquez, A.; Conde-Barajas, E. Development of a Soil Quality Index for Soils under Different Agricultural Management Conditions in the Central Lowlands of Mexico: Physicochemical, Biological and Ecophysiological Indicators. Sustainability 2020, 12, 9754. [Google Scholar] [CrossRef]
- Boluda, R.; Roca-Pérez, L.; Iranzo, M.; Gil, C.; Mormeneo, S. Determination of Enzymatic Activities Using a Miniaturized System as a Rapid Method to Assess Soil Quality. Eur. J. Soil Sci. 2014, 65, 286–294. [Google Scholar] [CrossRef]
- Mahajan, G.; Das, B.; Morajkar, S.; Desai, A.; Murgaokar, D.; Kulkarni, R.; Sale, R.; Patel, K. Soil Quality Assessment of Coastal Salt-Affected Acid Soils of India. Environ. Sci. Pollut. Res. 2020, 27, 26221–26238. [Google Scholar] [CrossRef]
- Yu, P.; Liu, S.; Zhang, L.; Li, Q.; Zhou, D. Selecting the Minimum Data Set and Quantitative Soil Quality Indexing of Alkaline Soils under Different Land Uses in Northeastern China. Sci. Total Environ. 2018, 616–617, 564–571. [Google Scholar] [CrossRef]
- Zeraatpisheh, M.; Bakhshandeh, E.; Hosseini, M.; Alavi, S.M. Assessing the Effects of Deforestation and Intensive Agriculture on the Soil Quality through Digital Soil Mapping. Geoderma 2020, 363, 114139. [Google Scholar] [CrossRef]
- Prieto-Méndez, J.; Prieto-García, F.; Acevedo-Sandoval, O.A.; Méndez-Marzo, M.A. Indicadores e índices de calidad de los suelos (ICS) cebaderos del sur del estado de hidalgo, México. Agron. Mesoam. 2013, 24, 83–91. [Google Scholar] [CrossRef]
- Castelán-Vega, R.; Tamaríz-Flores, J.V.; Ramírez-García, A.L.; Handal-Silva, A.; García-Suastegui, W.A.; Castelán-Vega, R.; Tamaríz-Flores, J.V.; Ramírez-García, A.L.; Handal-Silva, A.; García-Suastegui, W.A. Susceptibilidad ambiental a la desertificación en la microcuenca del río Azumiatla, Puebla, México. Ecosistemas Recur. Agropecu. 2019, 6, 91–101. [Google Scholar] [CrossRef]
- Hazelton, P.; Murphy, B. Interpreting Soil Test Results: What Do All the Numbers Mean? Csiro Publishing: Clayton, VIC, Australia, 2016; ISBN 978-1-4863-0397-7. [Google Scholar]
- Bettinelli, M.; Baroni, U. A Microwave Oven Digestion Method for the Determination of Metals in Sewage Sludges by ICP-AES and GFAAS. Int. J. Environ. Anal. Chem. 1991, 43, 33–40. [Google Scholar] [CrossRef]
- Xie, K.; Li, X.; He, F.; Zhang, Y.; Wan, L.; David, B.H.; Wang, D.; Qin, Y.; Gamal, M.A.F. Effect of Nitrogen Fertilization on Yield, N Content, and Nitrogen Fixation of Alfalfa and Smooth Bromegrass Grown Alone or in Mixture in Greenhouse Pots. J. Integr. Agric. 2015, 14, 1864–1876. [Google Scholar] [CrossRef]
- Burket, J.Z.; Dick, R.P. Microbial and Soil Parameters in Relation to N Mineralization in Soils of Diverse Genesis under Differing Management Systems. Biol. Fertil. Soils 1998, 27, 430–438. [Google Scholar] [CrossRef]
- Sánchez-Guzmán, A.; Bedolla-Rivera, H.I.; Conde-Barajas, E.; Negrete-Rodríguez, M.d.l.L.X.; Lastiri-Hernández, M.A.; Gámez-Vázquez, F.P.; Álvarez-Bernal, D. Corn Cropping Systems in Agricultural Soils from the Bajio Region of Guanajuato: Soil Quality Indexes (SQIs). Appl. Sci. 2024, 14, 2858. [Google Scholar] [CrossRef]
- Joergensen, R.G.; Hemkemeyer, M.; Beule, L.; Iskakova, J.; Oskonbaeva, Z.; Rummel, P.S.; Schwalb, S.A.; Wichern, F. A Hitchhiker’s Guide: Estimates of Microbial Biomass and Microbial Gene Abundance in Soil. Biol. Fertil. Soils 2024, 60, 457–470. [Google Scholar] [CrossRef]
- Szefer, E.M.; Majka, T.M.; Pielichowski, K. Characterization and Combustion Behavior of Single-Use Masks Used during COVID-19 Pandemic. Materials 2021, 14, 3501. [Google Scholar] [CrossRef]
- Jung, M.R.; Horgen, F.D.; Orski, S.V.; Rodriguez, V.; Beers, K.L.; Balazs, G.H.; Jones, T.T.; Work, T.M.; Brignac, K.C.; Royer, S.-J.; et al. Validation of ATR FT-IR to Identify Polymers of Plastic Marine Debris, Including Those Ingested by Marine Organisms. Mar. Pollut. Bull. 2018, 127, 704–716. [Google Scholar] [CrossRef]
- Morent, R.; De Geyter, N.; Leys, C.; Gengembre, L.; Payen, E. Comparison between XPS- and FTIR-Analysis of Plasma-Treated Polypropylene Film Surfaces. Surf. Interface Anal. 2008, 40, 597–600. [Google Scholar] [CrossRef]
- Socrates, G. Infrared and Raman Characteristic Group Frequencies: Tables and Charts; John Wiley & Sons: Hoboken, NJ, USA, 2004; ISBN 978-0-470-09307-8. [Google Scholar]
- Zhao, T.; Lozano, Y.M.; Rillig, M.C. Microplastics Increase Soil pH and Decrease Microbial Activities as a Function of Microplastic Shape, Polymer Type, and Exposure Time. Front. Environ. Sci. 2021, 9, 675803. [Google Scholar] [CrossRef]
- Kim, S.W.; Waldman, W.R.; Kim, T.-Y.; Rillig, M.C. Effects of Different Microplastics on Nematodes in the Soil Environment: Tracking the Extractable Additives Using an Ecotoxicological Approach. Environ. Sci. Technol. 2020, 54, 13868–13878. [Google Scholar] [CrossRef]
- Wang, F.; Zhang, X.; Zhang, S.; Zhang, S.; Sun, Y. Interactions of Microplastics and Cadmium on Plant Growth and Arbuscular Mycorrhizal Fungal Communities in an Agricultural Soil. Chemosphere 2020, 254, 126791. [Google Scholar] [CrossRef] [PubMed]
- Rong, L.; Zhao, L.; Zhao, L.; Cheng, Z.; Yao, Y.; Yuan, C.; Wang, L.; Sun, H. LDPE Microplastics Affect Soil Microbial Communities and Nitrogen Cycling. Sci. Total Environ. 2021, 773, 145640. [Google Scholar] [CrossRef] [PubMed]
- Xu, S.; Zhao, R.; Sun, J.; Sun, Y.; Xu, G.; Wang, F. Microplastics Change Soil Properties, Plant Performance, and Bacterial Communities in Salt-Affected Soils. J. Hazard. Mater. 2024, 471, 134333. [Google Scholar] [CrossRef] [PubMed]
- Da Costa, J.P.; Avellan, A.; Mouneyrac, C.; Duarte, A.; Rocha-Santos, T. Plastic Additives and Microplastics as Emerging Contaminants: Mechanisms and Analytical Assessment. TrAC Trends Anal. Chem. 2023, 158, 116898. [Google Scholar] [CrossRef]
- Liu, H.; Yang, X.; Liu, G.; Liang, C.; Xue, S.; Chen, H.; Ritsema, C.J.; Geissen, V. Response of Soil Dissolved Organic Matter to Microplastic Addition in Chinese Loess Soil. Chemosphere 2017, 185, 907–917. [Google Scholar] [CrossRef]
- Li, J.; Yu, Y.; Zhang, Z.; Cui, M. The Positive Effects of Polypropylene and Polyvinyl Chloride Microplastics on Agricultural Soil Quality. J. Soils Sediments 2023, 23, 1304–1314. [Google Scholar] [CrossRef]
- Hu, B.; Guo, P.; Han, S.; Jin, Y.; Nan, Y.; Deng, J.; He, J.; Wu, Y.; Chen, S. Distribution Characteristics of Microplastics in the Soil of Mangrove Restoration Wetland and the Effects of Microplastics on Soil Characteristics. Ecotoxicology 2022, 31, 1120–1136. [Google Scholar] [CrossRef]
- Chen, H.; Wang, Y.; Sun, X.; Peng, Y.; Xiao, L. Mixing Effect of Polylactic Acid Microplastic and Straw Residue on Soil Property and Ecological Function. Chemosphere 2020, 243, 125271. [Google Scholar] [CrossRef]
- de Souza Machado, A.A.; Lau, C.W.; Till, J.; Kloas, W.; Lehmann, A.; Becker, R.; Rillig, M.C. Impacts of Microplastics on the Soil Biophysical Environment. Environ. Sci. Technol. 2018, 52, 9656–9665. [Google Scholar] [CrossRef]
- Yuan, X.; Li, S.; Jeon, S.; Deng, S.; Zhao, L.; Lee, K.B. Valorization of Waste Polyethylene Terephthalate Plastic into N-Doped Microporous Carbon for CO2 Capture through a One-Pot Synthesis. J. Hazard. Mater. 2020, 399, 123010. [Google Scholar] [CrossRef]
- Liu, M.; Feng, J.; Shen, Y.; Zhu, B. Microplastics Effects on Soil Biota Are Dependent on Their Properties: A Meta-Analysis. Soil Biol. Biochem. 2023, 178, 108940. [Google Scholar] [CrossRef]
- Liu, X.; Li, Y.; Yu, Y.; Yao, H. Effect of Nonbiodegradable Microplastics on Soil Respiration and Enzyme Activity: A Meta-Analysis. Appl. Soil Ecol. 2023, 184, 104770. [Google Scholar] [CrossRef]
- Zhang, S.; Wang, J.; Yan, P.; Hao, X.; Xu, B.; Wang, W.; Aurangzeib, M. Non-Biodegradable Microplastics in Soils: A Brief Review and Challenge. J. Hazard. Mater. 2021, 409, 124525. [Google Scholar] [CrossRef]
- Canuto, R.A. Dehydrogenases; BoD—Books on Demand; IntechOpen: Rijeka, Croatia, 2012; ISBN 978-953-307-019-3. [Google Scholar]
- Suliman, K.H.; Gaafar, A.-R.Z.; Abdelmalik, A.M.; AlMunqedhi, B.M.; Elzein, A.; Hodhod, M.S. Microbial Dynamics and Dehydrogenase Activity in Tomato (Lycopersicon esculentum Mill.) Rhizospheres: Impacts on Growth and Soil Health across Different Soil Types. Open Chem. 2024, 22, 20230209. [Google Scholar] [CrossRef]
- Fan, L.; Tarin, M.W.K.; Zhang, Y.; Han, Y.; Rong, J.; Cai, X.; Chen, L.; Shi, C.; Zheng, Y. Patterns of Soil Microorganisms and Enzymatic Activities of Various Forest Types in Coastal Sandy Land. Glob. Ecol. Conserv. 2021, 28, e01625. [Google Scholar] [CrossRef]
- Bergkemper, F.; Schöler, A.; Engel, M.; Lang, F.; Krüger, J.; Schloter, M.; Schulz, S. Phosphorus Depletion in Forest Soils Shapes Bacterial Communities towards Phosphorus Recycling Systems. Environ. Microbiol. 2016, 18, 1988–2000. [Google Scholar] [CrossRef]
- Greenfield, L.M.; Razavi, B.S.; Bilyera, N.; Zhang, X.; Jones, D.L. Root Hairs and Protein Addition to Soil Promote Leucine Aminopeptidase Activity of Hordeum vulgare L. Rhizosphere 2021, 18, 100329. [Google Scholar] [CrossRef]
- Medina-Herrera, M.D.R.; Negrete-Rodríguez, M.D.L.L.X.; Álvarez-Trejo, J.L.; Samaniego-Hernández, M.; González-Cruz, L.; Bernardino-Nicanor, A.; Conde-Barajas, E. Evaluation of Non-Conventional Biological and Molecular Parameters as Potential Indicators of Quality and Functionality of Urban Biosolids Used as Organic Amendments of Agricultural Soils. Appl. Sci. 2020, 10, 517. [Google Scholar] [CrossRef]
- Shi, J.; Wang, J.; Lv, J.; Wang, Z.; Peng, Y.; Shang, J.; Wang, X. Microplastic Additions Alter Soil Organic Matter Stability and Bacterial Community under Varying Temperature in Two Contrasting Soils. Sci. Total Environ. 2022, 838, 156471. [Google Scholar] [CrossRef]
- Qi, R.; Jones, D.L.; Tang, Y.; Gao, F.; Li, J.; Chi, Y.; Yan, C. Regulatory Path for Soil Microbial Communities Depends on the Type and Dose of Microplastics. J. Hazard. Mater. 2024, 473, 134702. [Google Scholar] [CrossRef]
- Lehmann, A.; Leifheit, E.F.; Gerdawischke, M.; Rillig, M.C. Microplastics Have Shape- and Polymer-Dependent Effects on Soil Processes. bioRxiv 2020. [Google Scholar] [CrossRef]
- Rubol, S.; Manzoni, S.; Bellin, A.; Porporato, A. Modeling Soil Moisture and Oxygen Effects on Soil Biogeochemical Cycles Including Dissimilatory Nitrate Reduction to Ammonium (DNRA). Adv. Water Resour. 2013, 62, 106–124. [Google Scholar] [CrossRef]
- Salas-Enriquez, B.G.; Bedolla-Rivera, H.I.; Negrete-Rodríguez, M.d.l.L.X.; Torres-Huerta, A.M.; Domínguez-Crespo, M.A.; Licona-Aguilar, Á.I.; Conde-Barajas, E. Development of a Soil Quality Index “SQI” from a Former Open Dump: Dynamics of C and N Mineralization. Soil Ecol. Lett. 2024, 6, 240234. [Google Scholar] [CrossRef]
- Bedolla-Rivera, H.I.; Bedolla-Rivera, H.I.; Negrete-Rodríguez, M.d.l.L.X.; Negrete-Rodríguez, M.d.l.L.X.; Gámez-Vázquez, F.P.; Gámez-Vázquez, F.P.; Inifap, C.E.B.; Inifap, C.E.B.; Álvarez-Bernal, D.; Álvarez-Bernal, D.; et al. Comparison of Methodolgies of Soil Quality Indices (SQI) for Sodic Soil. Rev. Int. Contam. Ambient. 2022, 38, 317–334. [Google Scholar] [CrossRef]
- Legay, N.; Clément, J.C.; Grassein, F.; Lavorel, S.; Lemauviel-Lavenant, S.; Personeni, E.; Poly, F.; Pommier, T.; Robson, T.M.; Mouhamadou, B.; et al. Plant Growth Drives Soil Nitrogen Cycling and N-Related Microbial Activity through Changing Root Traits. Fungal Ecol. 2020, 44, 100910. [Google Scholar] [CrossRef]
Disclaimer/Publisher’s Note: The statements, opinions and data contained in all publications are solely those of the individual author(s) and contributor(s) and not of MDPI and/or the editor(s). MDPI and/or the editor(s) disclaim responsibility for any injury to people or property resulting from any ideas, methods, instructions or products referred to in the content. |
© 2025 by the authors. Licensee MDPI, Basel, Switzerland. This article is an open access article distributed under the terms and conditions of the Creative Commons Attribution (CC BY) license (https://creativecommons.org/licenses/by/4.0/).