Application of Cold Atmospheric Pressure Plasma Jet Results in Achievement of Universal Antibacterial Properties on Various Plant Seeds
Abstract
1. Introduction
2. Results and Discussion
2.1. Multivariate Optimization of the Working Parameters of the Portable APPJ System
2.2. Antibacterial Properties of the Controlled APPJ Treatment
2.3. Effect of the APPJ Exposure on the Seed Coat Integrity
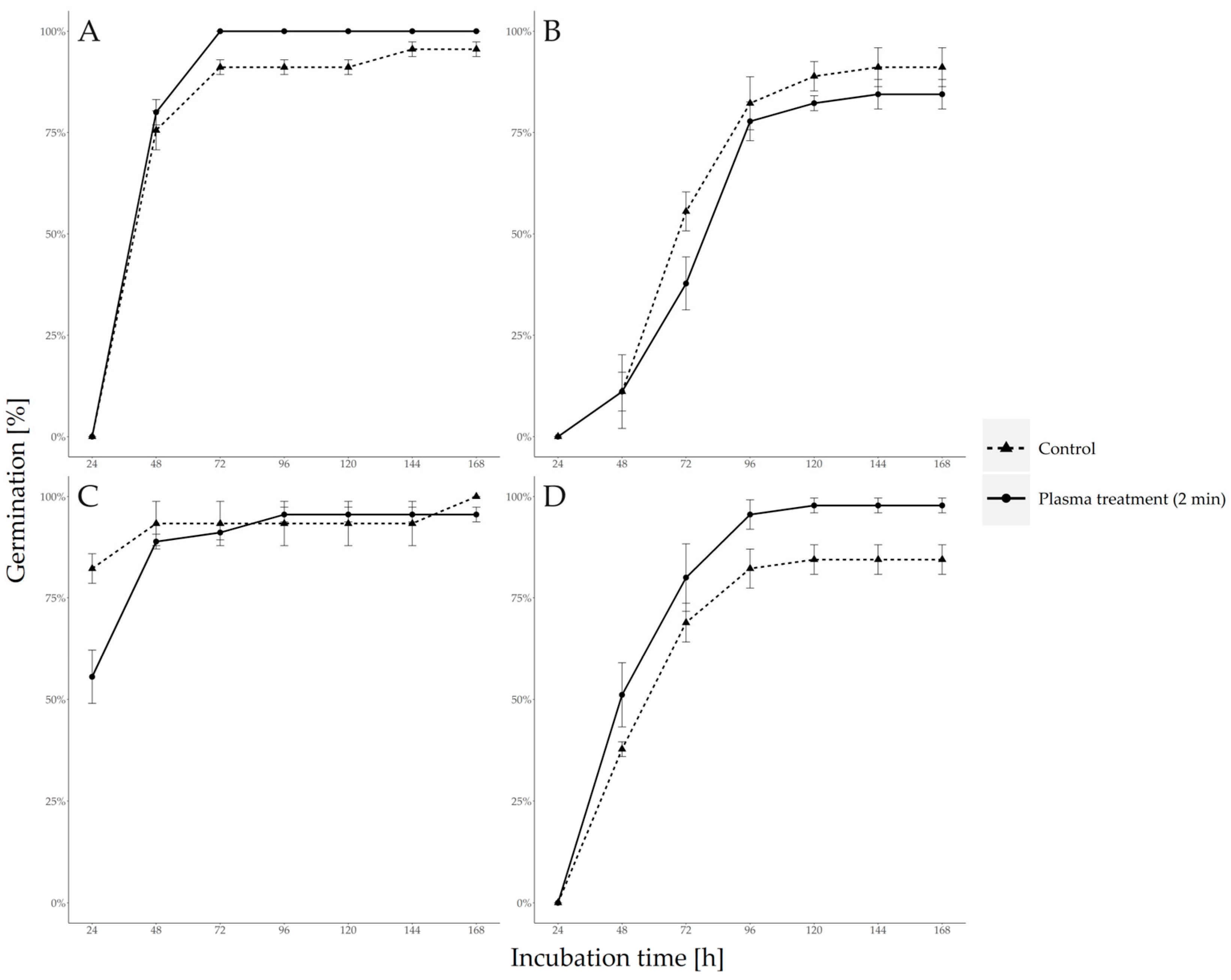
2.4. Impact of the Optimized APPJ Treatment on Seed Germination and Early Plant Growth
2.5. The Reactive Nitrogen and Oxygen Species Produced During APPJ Exposure Conducted Under the Optimal Working Conditions
3. Materials and Methods
3.1. The Implemented Portable APPJ System
3.2. Multivariate Optimization of the APPJ Working Parameters
3.3. Biological Material
3.3.1. Bacterial Suspensions
3.3.2. Plant Material
3.4. Inactivation of the Cells of Plant Pathogenic Bacteria from the Surface of Plant Seeds by the Applied APPJ Treatment
3.5. Influence of the APPJ Treatment on Seed Germination Efficacy
3.6. Effect of APPJ on Integrity of the Seed Coat
3.7. The Impact of the APPJ Treatment on the Early Plant Growth
3.8. Identification of ROS and RNS Generated in the Applied APPJ Source
3.9. Data Visualization and Statistical Analysis
4. Conclusions
5. Patents
Supplementary Materials
Author Contributions
Funding
Institutional Review Board Statement
Informed Consent Statement
Data Availability Statement
Conflicts of Interest
References
- FAO. How to Feed the World in 2050; FAO: Rome, Italy, 2009. [Google Scholar]
- WHO. Report: 11th FAO/WHO Joint Meeting on Pesticide Management, 9–12 October 2018, Rome, Italy; WHO: Geneva, Switzerland, 2019. [Google Scholar]
- Kannan, V.R.; Bastas, K.K. (Eds.) Sustainable Approaches to Controlling Plant Pathogenic Bacteria; CRC Press: Boca Raton, FL, USA, 2015; ISBN 9780429158896. [Google Scholar]
- Garrett, K.A.; Dendy, S.P.; Frank, E.E.; Rouse, M.N.; Travers, S.E. Climate Change Effects on Plant Disease: Genomes to Ecosystems. Annu. Rev. Phytopathol. 2006, 44, 489–509. [Google Scholar] [CrossRef]
- Haverkort, A.J.; Verhagen, A. Climate Change and Its Repercussions for the Potato Supply Chain. Potato Res. 2008, 51, 223–237. [Google Scholar] [CrossRef]
- Chia, X.K.; Hadibarata, T.; Kristanti, R.A.; Jusoh, M.N.H.; Tan, I.S.; Foo, H.C.Y. The Function of Microbial Enzymes in Breaking down Soil Contaminated with Pesticides: A Review. Bioprocess Biosyst. Eng. 2024, 47, 597–620. [Google Scholar] [CrossRef]
- Pailan, S.; Sengupta, K.; Saha, P. Microbial Metabolism of Organophosphates: Key for Developing Smart Bioremediation Process of Next Generation. In Microbial Technology for Health and Environment. Microorganisms for Sustainability; Arora, P., Ed.; Springer: Berlin/Heidelberg, Germany, 2020; Volume 22, pp. 361–410. [Google Scholar]
- FAOSTAT. Available online: https://www.fao.org/faostat/en/#data (accessed on 29 December 2024).
- Aktar, W.; Sengupta, D.; Chowdhury, A. Impact of Pesticides Use in Agriculture: Their Benefits and Hazards. Interdiscip. Toxicol. 2009, 2, 1–12. [Google Scholar] [CrossRef] [PubMed]
- EU. Proposal for a Regulation of the European Parliament and of the Council on the Sustainable Use of Plant Protection Products and Amending Regulation (EU) 2021/2115; EU: Brussels, Belgium, 2022; pp. 1–71. [Google Scholar]
- Balog, A.; Hartel, T.; Loxdale, H.D.; Wilson, K. Differences in the Progress of the Biopesticide Revolution between the EU and Other Major Crop-growing Regions. Pest Manag. Sci. 2017, 73, 2203–2208. [Google Scholar] [CrossRef] [PubMed]
- Ayilara, M.S.; Adeleke, B.S.; Akinola, S.A.; Fayose, C.A.; Adeyemi, U.T.; Gbadegesin, L.A.; Omole, R.K.; Johnson, R.M.; Uthman, Q.O.; Babalola, O.O. Biopesticides as a Promising Alternative to Synthetic Pesticides: A Case for Microbial Pesticides, Phytopesticides, and Nanobiopesticides. Front. Microbiol. 2023, 14, 1040901. [Google Scholar] [CrossRef] [PubMed]
- Verhaegen, M.; Mahillon, J.; Caulier, S.; Mingeot-Leclercq, M.-P.; Bragard, C. Data Collection on Antibiotics for Control of Plant Pathogenic Bacteria. EFSA Support. Publ. 2024, 21, 8522E. [Google Scholar] [CrossRef]
- Verhaegen, M.; Bergot, T.; Liebana, E.; Stancanelli, G.; Streissl, F.; Mingeot-Leclercq, M.-P.; Mahillon, J.; Bragard, C. On the Use of Antibiotics to Control Plant Pathogenic Bacteria: A Genetic and Genomic Perspective. Front. Microbiol. 2023, 14, 1221478. [Google Scholar] [CrossRef]
- Pandit, M.A.; Kumar, J.; Gulati, S.; Bhandari, N.; Mehta, P.; Katyal, R.; Rawat, C.D.; Mishra, V.; Kaur, J. Major Biological Control Strategies for Plant Pathogens. Pathogens 2022, 11, 273. [Google Scholar] [CrossRef]
- Eilenberg, J.; Hajek, A.; Lomer, C. Suggestions for Unifying the Terminology in Biological Control. BioControl 2001, 46, 387–400. [Google Scholar] [CrossRef]
- Mallman, W.L.; Hemstreet, C. Isolation of an Inhibitory Substance from Plants. J. Agric. Res. 1924, 23, 599–602. [Google Scholar]
- Nakayinga, R.; Makumi, A.; Tumuhaise, V.; Tinzaara, W. Xanthomonas Bacteriophages: A Review of Their Biology and Biocontrol Applications in Agriculture. BMC Microbiol. 2021, 21, 291. [Google Scholar] [CrossRef] [PubMed]
- Lamichhane, J.R.; Bischoff-Schaefer, M.; Bluemel, S.; Dachbrodt-Saaydeh, S.; Dreux, L.; Jansen, J.-P.; Kiss, J.; Köhl, J.; Kudsk, P.; Malausa, T.; et al. Identifying Obstacles and Ranking Common Biological Control Research Priorities for Europe to Manage Most Economically Important Pests in Arable, Vegetable and Perennial Crops. Pest Manag. Sci. 2017, 73, 14–21. [Google Scholar] [CrossRef]
- van der Wolf, J.M.; De Boer, S.H.; Czajkowski, R.; Cahill, G.; Van Gijsegem, F.; Davey, T.; Dupuis, B.; Ellicott, J.; Jafra, S.; Kooman, M.; et al. Management of Diseases Caused by Pectobacterium and Dickeya Species. In Plant Diseases Caused by Dickeya and Pectobacterium Species; Springer International Publishing: Cham, Switzerlands, 2021; pp. 175–214. [Google Scholar]
- Hariharan, G.; Prasannath, K. Recent Advances in Molecular Diagnostics of Fungal Plant Pathogens: A Mini Review. Front. Cell. Infect. Microbiol. 2021, 10, 600234. [Google Scholar] [CrossRef]
- Shen, C.-H. Amplification of Nucleic Acids. In Diagnostic Molecular Biology; Elsevier: Amsterdam, The Netherlands, 2019; pp. 215–247. [Google Scholar]
- Venbrux, M.; Crauwels, S.; Rediers, H. Current and Emerging Trends in Techniques for Plant Pathogen Detection. Front. Plant Sci. 2023, 14, 1120968. [Google Scholar] [CrossRef]
- Kumar, R.; Kumar Lal, M.; Prasad, P.; Tiwari, R.K. Editorial: Current Advancements in Real-Time Plant Pathogen Diagnostics: From Lab Assays to in-Field Detection. Front. Plant Sci. 2023, 14, 1255654. [Google Scholar] [CrossRef]
- Song, X.; Cao, Y.; Yan, F. Isothermal Nucleic Acid Amplification-Based Lateral Flow Testing for the Detection of Plant Viruses. Int. J. Mol. Sci. 2024, 25, 4237. [Google Scholar] [CrossRef]
- Adhikari, B.; Pangomm, K.; Veerana, M.; Mitra, S.; Park, G. Plant Disease Control by Non-Thermal Atmospheric-Pressure Plasma. Front. Plant Sci. 2020, 11, 77. [Google Scholar] [CrossRef] [PubMed]
- Bruggeman, P.J.; Kushner, M.J.; Locke, B.R.; Gardeniers, J.G.E.; Graham, W.G.; Graves, D.B.; Hofman-Caris, R.C.H.M.; Maric, D.; Reid, J.P.; Ceriani, E.; et al. Plasma–Liquid Interactions: A Review and Roadmap. Plasma Sources Sci. Technol. 2016, 25, 053002. [Google Scholar] [CrossRef]
- Fridman, G.; Friedman, G.; Gutsol, A.; Shekhter, A.B.; Vasilets, V.N.; Fridman, A. Applied Plasma Medicine. Plasma Process. Polym. 2008, 5, 503–533. [Google Scholar] [CrossRef]
- Cyganowski, P.; Terefinko, D.; Motyka-Pomagruk, A.; Babinska-Wensierska, W.; Khan, M.A.; Klis, T.; Sledz, W.; Lojkowska, E.; Jamroz, P.; Pohl, P.; et al. The Potential of Cold Atmospheric Pressure Plasmas for the Direct Degradation of Organic Pollutants Derived from the Food Production Industry. Molecules 2024, 29, 2910. [Google Scholar] [CrossRef]
- Chizoba Ekezie, F.-G.; Sun, D.-W.; Cheng, J.-H. A Review on Recent Advances in Cold Plasma Technology for the Food Industry: Current Applications and Future Trends. Trends Food Sci. Technol. 2017, 69, 46–58. [Google Scholar] [CrossRef]
- Bourke, P.; Ziuzina, D.; Boehm, D.; Cullen, P.J.; Keener, K. The Potential of Cold Plasma for Safe and Sustainable Food Production. Trends Biotechnol. 2018, 36, 615–626. [Google Scholar] [CrossRef]
- Ito, M.; Oh, J.; Ohta, T.; Shiratani, M.; Hori, M. Current Status and Future Prospects of Agricultural Applications Using Atmospheric-pressure Plasma Technologies. Plasma Process. Polym. 2018, 15, 1700073. [Google Scholar] [CrossRef]
- Motyka, A.; Dzimitrowicz, A.; Jamroz, P.; Lojkowska, E.; Sledz, W.; Pohl, P. Rapid Eradication of Bacterial Phytopathogens by Atmospheric Pressure Glow Discharge Generated in Contact with a Flowing Liquid Cathode. Biotechnol. Bioeng. 2018, 115, 1581–1593. [Google Scholar] [CrossRef] [PubMed]
- Dzimitrowicz, A.; Motyka, A.; Jamroz, P.; Lojkowska, E.; Babinska, W.; Terefinko, D.; Pohl, P.; Sledz, W. Application of Silver Nanostructures Synthesized by Cold Atmospheric Pressure Plasma for Inactivation of Bacterial Phytopathogens from the Genera Dickeya and Pectobacterium. Materials 2018, 11, 331. [Google Scholar] [CrossRef] [PubMed]
- Motyka-Pomagruk, A.; Dzimitrowicz, A.; Orlowski, J.; Babinska, W.; Terefinko, D.; Rychlowski, M.; Prusinski, M.; Pohl, P.; Lojkowska, E.; Jamroz, P.; et al. Implementation of a Non-Thermal Atmospheric Pressure Plasma for Eradication of Plant Pathogens from a Surface of Economically Important Seeds. Int. J. Mol. Sci. 2021, 22, 9256. [Google Scholar] [CrossRef] [PubMed]
- Nowinski, D.; Czapka, T.; Maliszewska, I. Effect of Multiple Nonthermal Plasma Treatments of Filamentous Fungi on Cellular Phenotypic Changes and Phytopathogenicity. Int. J. Food Microbiol. 2024, 408, 110428. [Google Scholar] [CrossRef]
- Chao, H.; Hu, W.; Li, Y.; Gui, H.; Tantai, S.; Yu, Y.; Wang, X.; Chen, W.; Li, L. Effects of Cold Plasma Treatment on Reactive Oxygen Metabolism and Storage Quality of Brassica chinensis. Innov. Food Sci. Emerg. Technol. 2024, 92, 103574. [Google Scholar] [CrossRef]
- Than, H.A.Q.; Nguyen, T.T.; Do, N.K.; Tran, M.A.N.; Pham, T.H. Inactivation of Diutina catenulata Isolated from Longan Fruit Using Atmospheric Pressure Cold Plasma DBD in Argon, Air, and Argon-Air Mixture. Food Bioproc. Tech. 2025, 18, 360–369. [Google Scholar] [CrossRef]
- Randeniya, L.K.; de Groot, G.J.J.B. Non-Thermal Plasma Treatment of Agricultural Seeds for Stimulation of Germination, Removal of Surface Contamination and Other Benefits: A Review. Plasma Process. Polym. 2015, 12, 608–623. [Google Scholar] [CrossRef]
- Thirumdas, R.; Sarangapani, C.; Annapure, U.S. Cold Plasma: A Novel Non-Thermal Technology for Food Processing. Food Biophys. 2015, 10, 1–11. [Google Scholar] [CrossRef]
- Holubová, Ľ.; Švubová, R.; Slováková, Ľ.; Bokor, B.; Chobotová Kročková, V.; Renčko, J.; Uhrin, F.; Medvecká, V.; Zahoranová, A.; Gálová, E. Cold Atmospheric Pressure Plasma Treatment of Maize Grains—Induction of Growth, Enzyme Activities and Heat Shock Proteins. Int. J. Mol. Sci. 2021, 22, 8509. [Google Scholar] [CrossRef] [PubMed]
- Sayahi, K.; Sari, A.H.; Hamidi, A.; Nowruzi, B.; Hassani, F. Application of Cold Argon Plasma on Germination, Root Length, and Decontamination of Soybean Cultivars. BMC Plant Biol. 2024, 24, 59. [Google Scholar] [CrossRef] [PubMed]
- Zahoranová, A.; Hoppanová, L.; Šimončicová, J.; Tučeková, Z.; Medvecká, V.; Hudecová, D.; Kaliňáková, B.; Kováčik, D.; Černák, M. Effect of Cold Atmospheric Pressure Plasma on Maize Seeds: Enhancement of Seedlings Growth and Surface Microorganisms Inactivation. Plasma Chem. Plasma Process. 2018, 38, 969–988. [Google Scholar] [CrossRef]
- Bermudez-Aguirre, D. (Ed.) Advances in Cold Plasma Applications for Food Safety and Preservation, 1st ed.; Academic Press: Cambridge, MA, USA, 2019. [Google Scholar]
- Aggelopoulos, C.A. Recent Advances of Cold Plasma Technology for Water and Soil Remediation: A Critical Review. Chem. Eng. J. 2022, 428, 131657. [Google Scholar] [CrossRef]
- Jiang, B.; Zheng, J.; Qiu, S.; Wu, M.; Zhang, Q.; Yan, Z.; Xue, Q. Review on Electrical Discharge Plasma Technology for Wastewater Remediation. Chem. Eng. J. 2014, 236, 348–368. [Google Scholar] [CrossRef]
- Aggelopoulos, C.A. Atmospheric Pressure Dielectric Barrier Discharge for the Remediation of Soil Contaminated by Organic Pollutants. Int. J. Environ. Sci. Technol. 2016, 13, 1731–1740. [Google Scholar] [CrossRef]
- Czajkowski, R.; Krzyżanowska, D.; Karczewska, J.; Atkinson, S.; Przysowa, J.; Lojkowska, E.; Williams, P.; Jafra, S. Inactivation of AHLs by Ochrobactrum sp. A44 Depends on the Activity of a Novel Class of AHL Acylase. Environ. Microbiol. Rep. 2011, 3, 59–68. [Google Scholar] [CrossRef]
- Terefinko, D.; Caban, M.; Motyka-Pomagruk, A.; Babinska, W.; Pohl, P.; Jamroz, P.; Cyganowski, P.; Sledz, W.; Lojkowska, E.; Stepnowski, P.; et al. Removal of Clinically Significant Antibiotics from Aqueous Solutions by Applying Unique High-Throughput Continuous-Flow Plasma Pencil and Plasma Brush Systems. Chem. Eng. J. 2023, 452, 139415. [Google Scholar] [CrossRef]
- Pipliya, S.; Kumar, S.; Babar, N.; Srivastav, P.P. Recent Trends in Non-Thermal Plasma and Plasma Activated Water: Effect on Quality Attributes, Mechanism of Interaction and Potential Application in Food & Agriculture. Food Chem. Adv. 2023, 2, 100249. [Google Scholar] [CrossRef]
- Critzer, F.J.; Kelly-Wintenberg, K.; South, S.L.; Golden, D.A. Atmospheric Plasma Inactivation of Foodborne Pathogens on Fresh Produce Surfaces. J. Food Prot. 2007, 70, 2290–2296. [Google Scholar] [CrossRef] [PubMed]
- Han, L.; Patil, S.; Boehm, D.; Milosavljević, V.; Cullen, P.J.; Bourke, P. Mechanisms of Inactivation by High-Voltage Atmospheric Cold Plasma Differ for Escherichia coli and Staphylococcus aureus. Appl. Environ. Microbiol. 2016, 82, 450–458. [Google Scholar] [CrossRef] [PubMed]
- Pandey, D.K. Conductivity Testing of Seeds. In Seed Analysis; Springer: Berlin/Heidelberg, Germany, 1992; pp. 273–304. [Google Scholar]
- Jangra, S.; Mishra, A.; Mishra, R.; Pandey, S.; Prakash, R. Transformative Impact of Atmospheric Cold Plasma on Mung Bean Seeds: Unveiling Surface Characteristics, Physicochemical Alterations, and Enhanced Germination Potential. AIP Adv. 2024, 14, 0211662. [Google Scholar] [CrossRef]
- Radchuk, V.; Borisjuk, L. Physical, Metabolic and Developmental Functions of the Seed Coat. Front. Plant Sci. 2014, 5, 510. [Google Scholar] [CrossRef]
- Grainge, G.; Nakabayashi, K.; Steinbrecher, T.; Kennedy, S.; Ren, J.; Iza, F.; Leubner-Metzger, G. Molecular Mechanisms of Seed Dormancy Release by Gas Plasma-Activated Water Technology. J. Exp. Bot. 2022, 73, 4065–4078. [Google Scholar] [CrossRef]
- Bahin, E.; Bailly, C.; Sotta, B.; Kranner, I.; Corbineau, F.; Leymarie, J. Crosstalk between Reactive Oxygen Species and Hormonal Signalling Pathways Regulates Grain Dormancy in Barley. Plant Cell Environ. 2011, 34, 980–993. [Google Scholar] [CrossRef]
- Melville, A.H.; Galletta, G.J.; Draper, A.D.; Ng, T.J. Seed Germination and Early Seedling Vigor in Progenies of Inbred Strawberry Selections. HortScience 1981, 15, 749–750. [Google Scholar] [CrossRef]
- Busco, G.; Fasani, F.; Dozias, S.; Ridou, L.; Douat, C.; Pouvesle, J.-M.; Robert, E.; Grillon, C. Changes in Oxygen Level Upon Cold Plasma Treatments: Consequences for RONS Production. IEEE Trans. Radiat. Plasma Med. Sci. 2018, 2, 147–152. [Google Scholar] [CrossRef]
- Hubenko, K.; Yefimova, S.; Tkacheva, T.; Maksimchuk, P.; Borovoy, I.; Klochkov, V.; Kavok, N.; Opolonin, O.; Malyukin, Y. Reactive Oxygen Species Generation in Aqueous Solutions Containing GdVO4:Eu3+ Nanoparticles and Their Complexes with Methylene Blue. Nanoscale Res. Lett. 2018, 13, 100. [Google Scholar] [CrossRef] [PubMed]
- Kim, S.Y.; Park, C.; Jang, H.-J.; Kim, B.; Bae, H.-W.; Chung, I.-Y.; Kim, E.S.; Cho, Y.-H. Antibacterial Strategies Inspired by the Oxidative Stress and Response Networks. J. Microbiol. 2019, 57, 203–212. [Google Scholar] [CrossRef] [PubMed]
- Meiyazhagan, S.; Kavitha, E.R.; Yugeswaran, S.; Santhanamoorthi, N.; Jiang, G.; Suresh, K. Accelerated Degradation of 4-Nitrophenol Using Microplasma Discharge: Processes and Mechanisms. J. Water Process Eng. 2023, 55, 104190. [Google Scholar] [CrossRef]
- Strachan, J.; Barnett, C.; Masters, A.F.; Maschmeyer, T. 4-Nitrophenol Reduction: Probing the Putative Mechanism of the Model Reaction. ACS Catal. 2020, 10, 5516–5521. [Google Scholar] [CrossRef]
- Lee, E.-J.; Khan, M.S.I.; Shim, J.; Kim, Y.-J. Roles of Oxides of Nitrogen on Quality Enhancement of Soybean Sprout during Hydroponic Production Using Plasma Discharged Water Recycling Technology. Sci. Rep. 2018, 8, 16872. [Google Scholar] [CrossRef] [PubMed]
- Guragain, R.P.; Baniya, H.B.; Shrestha, B.; Guragain, D.P.; Subedi, D.P. Improvements in Germination and Growth of Sprouts Irrigated Using Plasma Activated Water (PAW). Water 2023, 15, 744. [Google Scholar] [CrossRef]
- Sławiak, M.; Łojkowska, E.; Van Der Wolf, J.M. First Report of Bacterial Soft Rot on Potato Caused by Dickeya sp. (Syn. Erwinia chrysanthemi) in Poland. Plant Pathol. 2009, 58, 794. [Google Scholar] [CrossRef]
- Aravind, J.; Vimala Devi, S.; Radhamani, J.; Jacob, S.R.; Srinivasan, K. Germinationmetrics: Seed Germination Indices and Curve Fitting. 2023. Available online: https://aravind-j.github.io/germinationmetrics/ (accessed on 29 December 2024).







| Bacterial Strain | Cucumis sativus | Pisum sativum | Vigna radiata | Zea mays |
|---|---|---|---|---|
| Dickeya solani | 99.6451% ± 0.6045% (2.45) ab | 99.9984% ± 0.0024% (4.79) a | 99.9989% ± 0.0019% (4.95) a | 88.2043% ± 9.5591% (0.93) d |
| Pectobacterium atrospeticum | 97.539% ± 7.3272% (1.61) a | 98.2651% ± 2.355% (1.76) bc | 99.9942% ± 0.0048% (4.23) a | 92.4406% ± 10.1985% (1.12) c |
| Pectobacterium carotovorum | 99.9477% ± 0.0722% (3.28) a | 97.5813% ± 2.25% (1.61) bc | 99.9977% ± 0.0019% (4.64) a | 86.2014% ± 16.002% (0.86) d |
| Run Order | x1 | x2 | x3 |
|---|---|---|---|
| 1 $ | 5.0 (0) | 128 (0) | 50 (0) |
| 2 | 5.0 (0) | 15 (−1) | 25 (−1) |
| 3 | 4.5 (−1) | 128 (0) | 75 (+1) |
| 4 | 5.0 (0) | 240 (+1) | 75 (+1) |
| 5 | 5.0 (0) | 15 (−1) | 75 (+1) |
| 6 | 4.5 (−1) | 240 (+1) | 50 (0) |
| 7 | 4.5 (−1) | 128 (0) | 25 (−1) |
| 8 $ | 5.0 (0) | 128 (0) | 50 (0) |
| 9 $ | 5.0 (0) | 128 (0) | 50 (0) |
| 10 | 5.5 (+1) | 15 (−1) | 50 (0) |
| 11 | 5.5 (+1) | 128 (0) | 25 (−1) |
| 12 | 4.5 (−1) | 15 (−1) | 50 (0) |
| 13 | 5.5 (+1) | 128 (0) | 75 (+1) |
| 14 | 5.5 (+1) | 240 (+1) | 50 (0) |
| 15 | 5.0 (0) | 240 (+1) | 50 (0) |
| Bacterial Species | Strain Nos. | Plant of Origin (Organ) | Diseases | Country of Isolation | Year of Isolation | Reference |
|---|---|---|---|---|---|---|
| Dickeya solani | IFB0099 (IPO2276; LMG28824) | Potato (Tuber) | Blackleg and soft rot | Poland | 2005 | [66] |
| Pectobacterium atrospeticum | IFB5103 (SCRI1086) | Potato (Tuber) | Blackleg and soft rot | Canada | 1985 | SCRI collection |
| Pectobacterium carotovorum | IFB5118 (SCRI1136) | Potato (Tuber) | Soft rot | USA | NA | SCRI collection |
Disclaimer/Publisher’s Note: The statements, opinions and data contained in all publications are solely those of the individual author(s) and contributor(s) and not of MDPI and/or the editor(s). MDPI and/or the editor(s) disclaim responsibility for any injury to people or property resulting from any ideas, methods, instructions or products referred to in the content. |
© 2025 by the authors. Licensee MDPI, Basel, Switzerland. This article is an open access article distributed under the terms and conditions of the Creative Commons Attribution (CC BY) license (https://creativecommons.org/licenses/by/4.0/).
Share and Cite
Orlowski, J.; Motyka-Pomagruk, A.; Dzimitrowicz, A.; Pohl, P.; Terefinko, D.; Lojkowska, E.; Jamroz, P.; Sledz, W. Application of Cold Atmospheric Pressure Plasma Jet Results in Achievement of Universal Antibacterial Properties on Various Plant Seeds. Appl. Sci. 2025, 15, 1255. https://doi.org/10.3390/app15031255
Orlowski J, Motyka-Pomagruk A, Dzimitrowicz A, Pohl P, Terefinko D, Lojkowska E, Jamroz P, Sledz W. Application of Cold Atmospheric Pressure Plasma Jet Results in Achievement of Universal Antibacterial Properties on Various Plant Seeds. Applied Sciences. 2025; 15(3):1255. https://doi.org/10.3390/app15031255
Chicago/Turabian StyleOrlowski, Jakub, Agata Motyka-Pomagruk, Anna Dzimitrowicz, Pawel Pohl, Dominik Terefinko, Ewa Lojkowska, Piotr Jamroz, and Wojciech Sledz. 2025. "Application of Cold Atmospheric Pressure Plasma Jet Results in Achievement of Universal Antibacterial Properties on Various Plant Seeds" Applied Sciences 15, no. 3: 1255. https://doi.org/10.3390/app15031255
APA StyleOrlowski, J., Motyka-Pomagruk, A., Dzimitrowicz, A., Pohl, P., Terefinko, D., Lojkowska, E., Jamroz, P., & Sledz, W. (2025). Application of Cold Atmospheric Pressure Plasma Jet Results in Achievement of Universal Antibacterial Properties on Various Plant Seeds. Applied Sciences, 15(3), 1255. https://doi.org/10.3390/app15031255

