Study on Battery-Supercapacitor Hybrid Energy Storage System for Metros
Abstract
1. Introduction
2. Novel Battery-Supercapacitor Hybrid Energy Storage Scheme for Metros
3. Principle of HESS
3.1. Topology and Working Principle
3.1.1. Topology
3.1.2. Analysis of Energy Flow Under Different Conditions
3.2. Hybrid Energy Storage Control Strategy
3.2.1. PI Control
3.2.2. Loop Control Logic
3.2.3. Buck/Boost Mode Switching
4. Case Study
4.1. Case Design
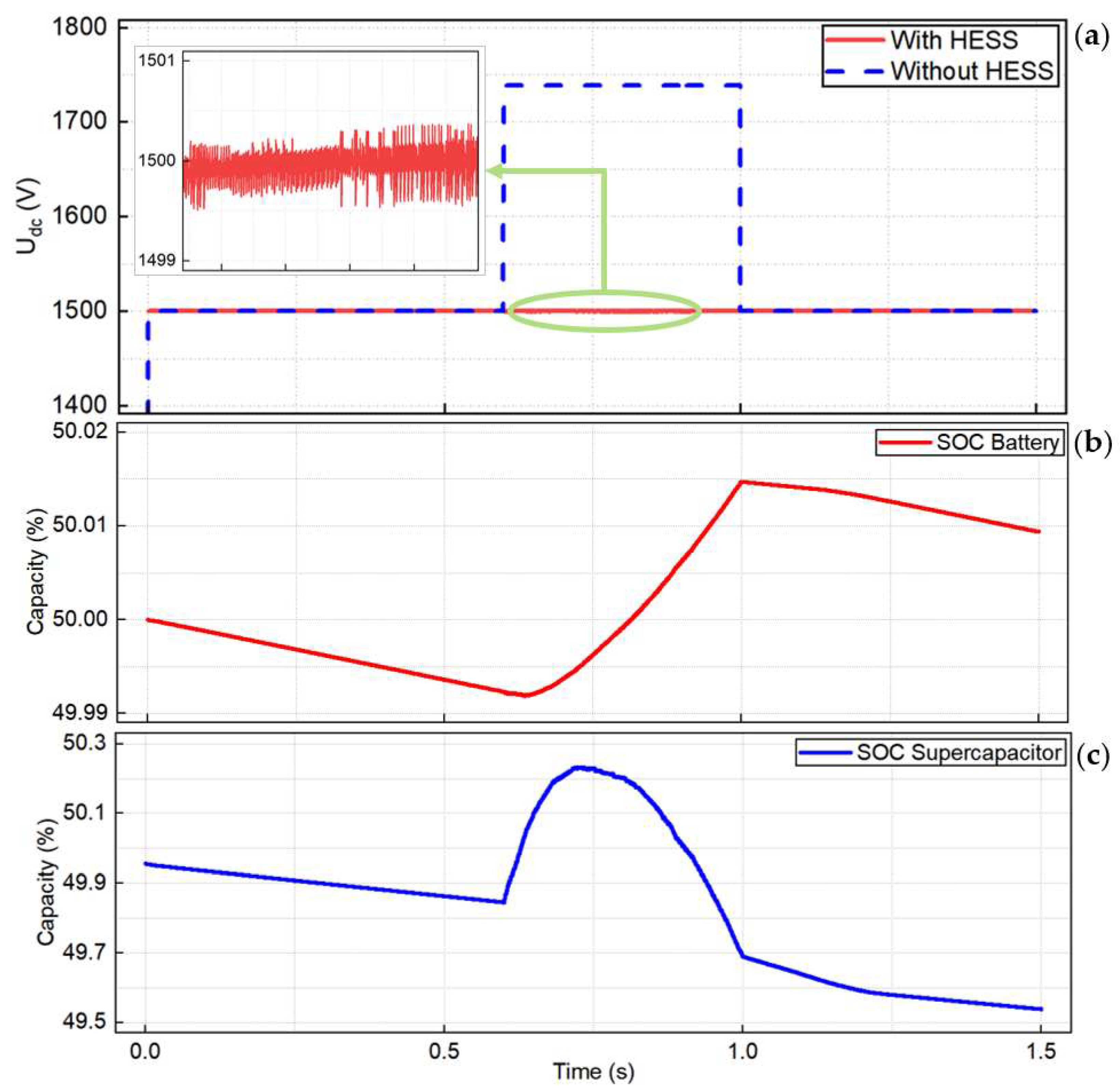
4.2. Case 1 Acceleration (Also with Comparison of Energy Storage Methods)
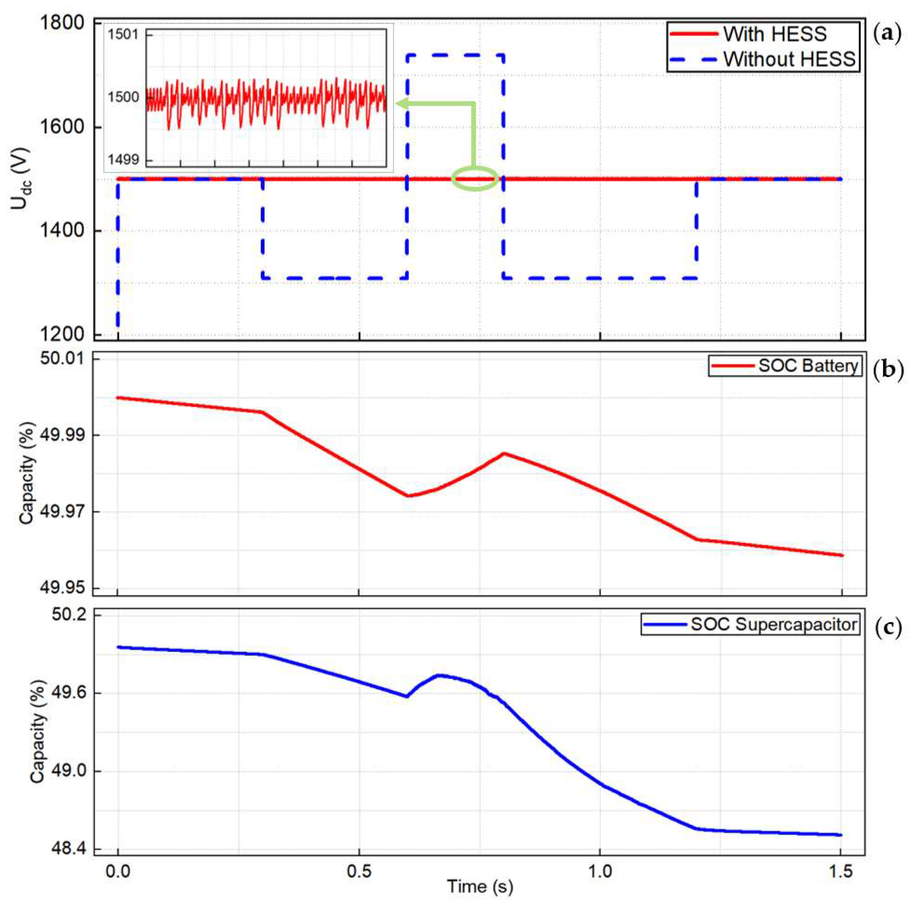
4.3. Case 2 Braking
4.4. Case 3 Multiple Acceleration-Braking
4.5. Case 4 Two-Metro Simultaneous Operation
5. Comparative Study on the Proposed Battery-Supercapacitor HESS Using Different DC/DC Conversion Topologies for Metros
6. Conclusions
Author Contributions
Funding
Institutional Review Board Statement
Informed Consent Statement
Data Availability Statement
Conflicts of Interest
Abbreviations
| AC | Alternating current |
| DC | Direct current |
| EDLCs | Electric Double-Layer Capacitors |
| HESS | Hybrid energy storage system |
| LIB | Lithium-Ion Battery |
| PWM | Pulse width modulation |
| SOC | State of charge |
References
- Lin, D.; Broere, W.; Cui, J. Metro systems and urban development: Impacts and implications. Tunn. Undergr. Space Technol. 2022, 125, 104509. [Google Scholar] [CrossRef]
- Zhu, Y.; Jiao, L.; Zhang, Y.; Wu, Y.; Huo, X. Sustainable development of urban metro system: Perspective of coordination between supply and demand. Int. J. Environ. Res. Public Health 2021, 18, 10349. [Google Scholar] [CrossRef] [PubMed]
- Cho, H.; Kim, J.; Jung, H.; Kim, H. Simultaneous DC Railway Power System Analysis Method Using Model-Based TPS. Appl. Sci. 2022, 12, 6929. [Google Scholar] [CrossRef]
- Zhang, D.; Jiang, J.; Zhang, L.; Zhou, Z.; Liu, Y.; Zhao, S. Voltage fluctuation suppression method for DC 1500V traction system based on flywheel energy storage system. In Proceedings of the 8th Renewable Power Generation Conference (RPG 2019), Shanghai, China, 24–25 October 2019; pp. 1–6. [Google Scholar]
- Zhao, F.; Zhu, X.; Chen, X.; Wang, Y. Regenerative Braking Energy Recovery System of Metro Train Based on Dual-Mode Power Management. Energy Eng. J. Assoc. Energy Eng. 2024, 121, 2585. [Google Scholar] [CrossRef]
- Zhao, L.; Liu, K.; Liu, D.; Jin, Z. Energy model based sensorless estimation method for operational temperature of braking resistor onboard metro vehicles. Railw. Sci. 2023, 2, 470–485. [Google Scholar] [CrossRef]
- Tian, Z.; Hillmansen, S.; Roberts, C.; Weston, P.; Zhao, N.; Chen, L.; Chen, M. Energy evaluation of the power network of a DC railway system with regenerating trains. IET Electr. Syst. Transp. 2016, 6, 41–49. [Google Scholar] [CrossRef]
- Fu, L.; Chen, Y.; Li, S.; Zhang, M.; Jiang, S.; Chen, X.; Shen, B. Hydrogen-electricity hybrid-energy system with superconducting-battery energy storage for urban rail transit: Design, case study, and techno-economic analysis. Appl. Energy 2026, 405, 127198. [Google Scholar] [CrossRef]
- Gabaldón, A.; Ruiz-Abellón, M.C.; Martínez, F.; Guillamón, A. Demand Management in Hybrid Locomotives Through Aggregated Models of Supercapacitors and Railway Units. Appl. Sci. 2025, 15, 2412. [Google Scholar] [CrossRef]
- Chirkin, V.G.; Khripach, N.A.; Petrichenko, D.A.; Papkin, B.A. A review of battery-supercapacitor hybrid energy storage system schemes for power systems applications. Int. J. Mech. Eng. Technol. 2017, 8, 699–707. [Google Scholar]
- Georgious, R.; Refaat, R.; Garcia, J.; Daoud, A.A. Review on energy storage systems in microgrids. Electronics 2021, 10, 2134. [Google Scholar] [CrossRef]
- Lin, K. A Control Strategy for Capacity Allocation of Hybrid Energy Storage System Based on Hierarchical Processing of Demand Power. arXiv 2020, arXiv:2010.01277. [Google Scholar] [CrossRef]
- Kim, Y.; Koh, J.; Xie, Q.; Wang, Y.; Chang, N.; Pedram, M. A scalable and flexible hybrid energy storage system design and implementation. J. Power Sources 2014, 255, 410–422. [Google Scholar] [CrossRef]
- Cheng, Q.; Xiang, C.; Zhu, Y.; Zhao, H. Power Fluctuation Suppression of Ship DC Microgrid Based on Variable Droop Control Strategy of Hybrid Energy Storage System. In Proceedings of the Annual Conference of China Electrotechnical Society, Beijing, China, 17–18 September 2022; pp. 826–833. [Google Scholar]
- Andújar Márquez, J.M.; Vivas Fernández, F.J.; Segura Manzano, F. A Complete Control-Oriented Model for Hydrogen Hybrid Renewable Microgrids with High-Voltage DC Bus Stabilized by Batteries and Supercapacitors. Appl. Sci. 2025, 15, 10810. [Google Scholar] [CrossRef]
- Li, S.; Shen, B.; Chen, Y.; Chen, X.; Fu, L. A real geographical case study on superconducting cables for high speed railway with electromagnetic and environmental analysis. Sci. Rep. 2025, 15, 42178. [Google Scholar] [CrossRef]
- Mutarraf, M.U.; Terriche, Y.; Niazi, K.A.K.; Vasquez, J.C.; Guerrero, J.M. Energy storage systems for shipboard microgrids—A review. Energies 2018, 11, 3492. [Google Scholar] [CrossRef]
- Kim, K.; An, J.; Park, K.; Roh, G.; Chun, K. Analysis of a Supercapacitor/Battery Hybrid Power System for a Bulk Carrier. Appl. Sci. 2019, 9, 1547. [Google Scholar] [CrossRef]
- Chen, Y.; Chen, X.; Fu, L.; Jiang, S.; Shen, B. Superconducting hydrogen-electricity multi-energy system for transportation hubs: Modeling, technical study and economic-environmental assessment. Appl. Energy 2025, 401, 126823. [Google Scholar] [CrossRef]
- Huang, K. Positive Rail Voltage Rise Behavior and Inhibition Analysis of Regenerative Braking of Medium–Low-Speed Maglev Train. Energies 2024, 17, 1782. [Google Scholar] [CrossRef]
- Rastegarzadeh, S.; Mahzoon, M.; Mohammadi, H. A novel modular designing for multi-ring flywheel rotor to optimize energy consumption in light metro trains. Energy 2020, 206, 118092. [Google Scholar] [CrossRef]
- Hossain, E.; Faruque, H.M.R.; Sunny, M.S.H.; Mohammad, N.; Nawar, N. A Comprehensive Review on Energy Storage Systems: Types, Comparison, Current Scenario, Applications, Barriers, and Potential Solutions, Policies, and Future Prospects. Energies 2020, 13, 3651. [Google Scholar] [CrossRef]
- Barrero, R.; Tackoen, X.; Van Mierlo, J. Improving energy efficiency in public transport: Stationary supercapacitor based Energy Storage Systems for a metro network. In Proceedings of the 2008 IEEE Vehicle Power and Propulsion Conference, Harbin, China, 3–5 September 2008. [Google Scholar]
- Lin, S.; Song, W.; Chen, M.; Feng, Z. Hybrid Energy Storage System and the Parameter Design for Metro Braking Energy Recovery. Urban Mass Transit 2020, 23, 75–79+83. [Google Scholar]
- Jafari Kaleybar, H.; Golnargesi, M.; Brenna, M.; Zaninelli, D. Hybrid energy storage system taking advantage of electric vehicle batteries for recovering regenerative braking energy in railway station. Energies 2023, 16, 5117. [Google Scholar] [CrossRef]
- Chen, R.; Yang, Y.; Jin, T. A hierarchical coordinated control strategy based on multi-port energy router of urban rail transit. Prot. Control. Mod. Power Syst. 2022, 7, 1–12. [Google Scholar] [CrossRef]
- Manoharan, P.; Chandrasekaran, K.; Chandran, R.; Ravichandran, S.; Mohammad, S.; Jangir, P. An effective strategy for unit commitment of microgrid power systems integrated with renewable energy sources including effects of battery degradation and uncertainties. Environ. Sci. Pollut. Res. 2024, 31, 11037–11080. [Google Scholar] [CrossRef]











| Energy Storage Types | Response Time | Mechanical Loss | Energy Density | System Complexity |
|---|---|---|---|---|
| Flywheel | Medium | Yes | Medium | High |
| Battery | Medium-fast | / | High | Medium |
| Supercapacitor | Fast | / | Low | Medium |
| Battery-Supercapacitor HESS | Fast | / | High | Medium |
| Energy Storage Device | Battery | Supercapacitor |
|---|---|---|
| Voltage/Capacity | 3.2 V/20 Ah | 2.7 V/650 F |
| Number of series connections/unit | 192 | 384 |
| Number of parallel connections/group | 8 | 5 |
| Energy storage capacity/kWh | 98.3 | 1.26 |
| Title | Parametric | Value |
|---|---|---|
| Traction network | AC grid voltage | 110/35 kV |
| DC bus voltage | 1500 V | |
| Metro traction | Operating power | 1240 kW |
| Battery | Rated voltage | 614.4 V |
| SOC initial value | 50% | |
| Capacity | 160 Ah | |
| Series inductor Lb | 5 × 10−5 H | |
| Supercapacitor | Rated voltage | 1036.8 V |
| SOC initial value | 50% | |
| Capacity | 8.46 F | |
| Series inductor Lsc | 1 × 10−4 H | |
| Parallel capacitor | C | 5 × 10−2 F |
Disclaimer/Publisher’s Note: The statements, opinions and data contained in all publications are solely those of the individual author(s) and contributor(s) and not of MDPI and/or the editor(s). MDPI and/or the editor(s) disclaim responsibility for any injury to people or property resulting from any ideas, methods, instructions or products referred to in the content. |
© 2025 by the authors. Licensee MDPI, Basel, Switzerland. This article is an open access article distributed under the terms and conditions of the Creative Commons Attribution (CC BY) license (https://creativecommons.org/licenses/by/4.0/).
Share and Cite
Han, J.; Shen, B.; Chen, Y.; Zhang, Y.; Li, M.; Mo, W.; Fu, L. Study on Battery-Supercapacitor Hybrid Energy Storage System for Metros. Appl. Sci. 2025, 15, 13243. https://doi.org/10.3390/app152413243
Han J, Shen B, Chen Y, Zhang Y, Li M, Mo W, Fu L. Study on Battery-Supercapacitor Hybrid Energy Storage System for Metros. Applied Sciences. 2025; 15(24):13243. https://doi.org/10.3390/app152413243
Chicago/Turabian StyleHan, Jiayu, Boyang Shen, Yu Chen, Yuanxin Zhang, Minxing Li, Wenjing Mo, and Lin Fu. 2025. "Study on Battery-Supercapacitor Hybrid Energy Storage System for Metros" Applied Sciences 15, no. 24: 13243. https://doi.org/10.3390/app152413243
APA StyleHan, J., Shen, B., Chen, Y., Zhang, Y., Li, M., Mo, W., & Fu, L. (2025). Study on Battery-Supercapacitor Hybrid Energy Storage System for Metros. Applied Sciences, 15(24), 13243. https://doi.org/10.3390/app152413243

