Physicochemical Stability of ‘Kissabel® Rouge’ Apple Juice: The Role of Filtration and High-Pressure Homogenization
Abstract
1. Introduction
2. Materials and Methods
2.1. Juice Extraction
2.2. Sample Preparation
2.3. Storage
2.4. Physical Analysis
2.5. Chemical Analysis
2.6. Colour Analysis
Aspect
2.7. Particle Analysis
2.7.1. Microscope
2.7.2. Colloidal Characterisation
2.8. Experimental Design and Statistical Analysis
3. Results
3.1. Effects of Filtration
3.2. Homogenisation
3.3. Interaction FxH
3.4. Storage
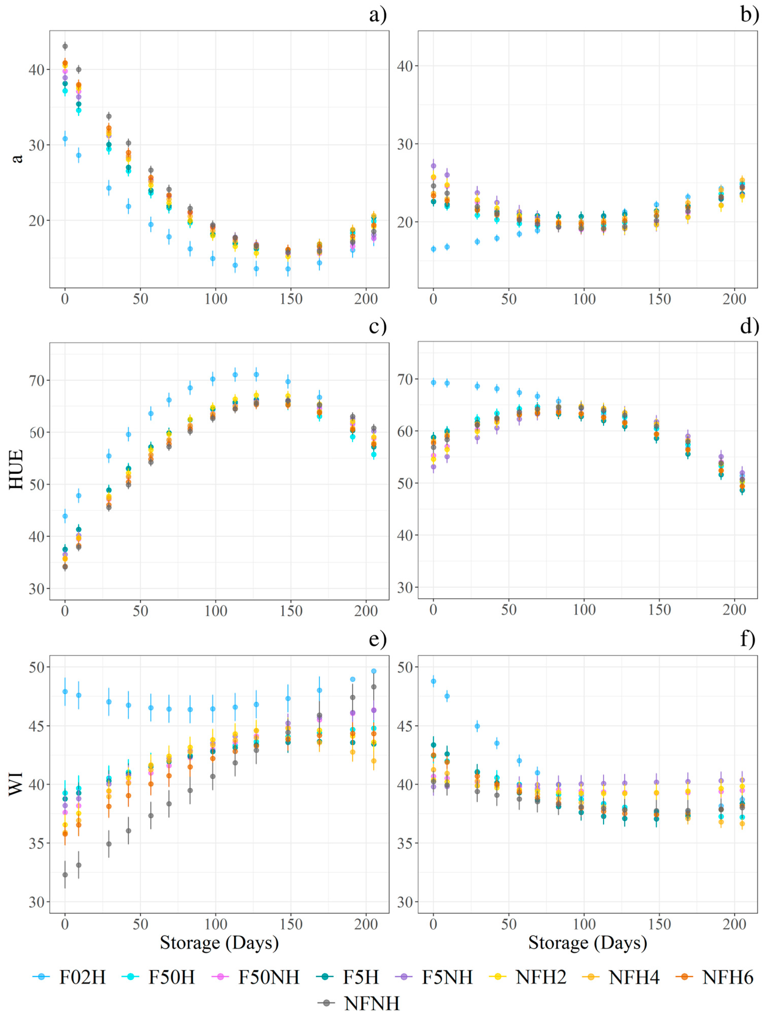
3.5. Aspect Through Storage
3.6. Variable Correlations
4. Discussion
5. Conclusions
Author Contributions
Funding
Institutional Review Board Statement
Informed Consent Statement
Data Availability Statement
Acknowledgments
Conflicts of Interest
Appendix A
| Variable | Storage | Sample | R2 | RMSE | MAPE | AIC | Intercept | Linear Coefficient (x) | Steepness (x2) |
|---|---|---|---|---|---|---|---|---|---|
| a | B | F0.2H20 | 0.72 | 1.6 | 5.6 | 154 | 16.5a,x | 0.031a,x | 0.00005082783a |
| a | B | F50H20 | 0.45 | 1.8 | 6.4 | 166 | 22.6a,y | −0.073a,xy | 0.000407a |
| a | B | F50NH | 0.39 | 2.4 | 8.9 | 187 | 25.7a,y | −0.124a,xy | 0.000578a |
| a | B | F5H20 | 0.15 | 2.1 | 7.8 | 178 | 22.6a,y | −0.041a,xy | 0.000227a |
| a | B | F5NH | 0.32 | 3.0 | 10.6 | 204 | 27.2a,y | −0.136a,xy | 0.000575a |
| a | B | NFH20 | 0.27 | 2.8 | 10.9 | 200 | 25.8a,y | −0.116a,y | 0.000507a |
| a | B | NFH40 | 0.42 | 1.9 | 7.0 | 170 | 23.7a | −0.079a | 0.000427a |
| a | B | NFH60 | 0.30 | 2.1 | 7.7 | 178 | 23.3a | −0.074a | 0.000387a |
| a | B | NFNH | 0.37 | 2.3 | 8.9 | 183 | 24.6a,z | −0.106a,y | 0.000516a |
| a | n | F0.2H20 | 0.60 | 3.6 | 16.8 | 219 | 30.8b,x | −0.251b,x | 0.000912b |
| a | n | F50H20 | 0.83 | 2.5 | 9.5 | 191 | 37.2b,y | −0.29b,xy | 0.001035b |
| a | n | F50NH | 0.90 | 2.2 | 9.7 | 180 | 39.8b,y | −0.3072797b,xy | 0.000973b |
| a | n | F5H20 | 0.86 | 2.3 | 8.9 | 184 | 38.1b,y | −0.310b,xy | 0.001093b |
| a | n | F5NH | 0.89 | 2.2 | 9.0 | 179 | 38.9b,y | −0.291b,xy | 0.000928b |
| a | n | NFH20 | 0.89 | 2.4 | 9.9 | 186 | 40.5b,y | −0.345b,y | 0.001176b |
| a | n | NFH40 | 0.90 | 2.1 | 8.3 | 176 | 40.8b | −0.343b | 0.001194b |
| a | n | NFH60 | 0.90 | 2.2 | 8.7 | 181 | 40.9b | −0.328b | 0.001092b |
| a | n | NFNH | 0.93 | 2.0 | 8.0 | 171 | 43.1b,z | −0.353b,y | 0.001139b |
| HUE | B | F0.2H20 | 0.79 | 2.9 | 3.6 | 203 | 69.3a,x | −0.014a | −0.000359a |
| HUE | B | F50H20 | 0.69 | 3.0 | 3.8 | 203 | 58.8a | 0.148a | −0.000929a |
| HUE | B | F50NH | 0.59 | 3.5 | 4.8 | 217 | 55.277a | 0.206a | −0.001109a |
| HUE | B | F5H20 | 0.66 | 3.3 | 4.7 | 212 | 58.7a | 0.124a | −0.000845a |
| HUE | B | F5NH | 0.45 | 4.3 | 6.1 | 232 | 53.1a | 0.224a | −0.001121a |
| HUE | B | NFH20 | 0.59 | 3.7 | 5.2 | 221 | 54.6a,y | 0.218a | −0.001167a |
| HUE | B | NFH40 | 0.63 | 3.3 | 4.6 | 212 | 58.1a | 0.141a | −0.000893a |
| HUE | B | NFH60 | 0.60 | 3.5 | 4.9 | 217 | 57.7a | 0.148a | −0.000917a |
| HUE | B | NFNH | 0.55 | 3.8 | 5.3 | 222 | 56.9a,y | 0.177a | −0.001008a |
| HUE | n | F0.2H20 | 0.67 | 4.8 | 6.2 | 241 | 43.9b,x | 0.453b | −0.001882b |
| HUE | n | F50H20 | 0.81 | 3.4 | 5.0 | 214 | 37.5b | 0.444b | −0.001733b |
| HUE | n | F50NH | 0.89 | 2.8 | 4.0 | 199 | 35.6b | 0.443b | −0.001609b |
| HUE | n | F5H20 | 0.84 | 3.1 | 4.6 | 208 | 37.5b | 0.43981712b | −0.001677b |
| HUE | n | F5NH | 0.86 | 3.1 | 4.4 | 207 | 36.5b | 0.419b | −0.001483b |
| HUE | n | NFH20 | 0.87 | 3.1 | 4.5 | 206 | 35.7b,y | 0.465b | −0.001712b |
| HUE | n | NFH40 | 0.89 | 2.7 | 3.9 | 197 | 35.8b | 0.442b | −0.001629b |
| HUE | n | NFH60 | 0.88 | 2.9 | 4.2 | 202 | 34.2 | 0.456b | −0.001667b |
| HUE | n | NFNH | 0.91 | 2.7 | 3.9 | 196 | 34.1b,y | 0.439b | −0.001506b |
| WI | B | F0.2H20 | 0.75 | 1.8 | 3.6 | 163 | 48.8a,x | −0.145a,x | 0.000467a |
| WI | B | F50H20 | 0.31 | 2.2 | 4.3 | 180 | 42.4a | −0.049a | 0.00012a |
| WI | B | F50NH | 0.03 | 2.1 | 4.1 | 177 | 40.7a | −0.019a | 0.000064a |
| WI | B | F5H20 | 0.31 | 2.5 | 5.3 | 189 | 43.4a | −0.090a | 0.00032a |
| WI | B | F5NH | 0.00 | 2.7 | 5.4 | 195 | 39.8a | 0.002a | 0.000003a |
| WI | B | NFH20 | 0.01 | 2.7 | 5.4 | 197 | 40.4a,y | −0.020a,y | 0.000083a |
| WI | B | NFH40 | 0.36 | 1.8 | 3.6 | 163 | 41.3a | −0.034a | 0.000058a |
| WI | B | NFH60 | 0.32 | 2.0 | 4.3 | 172 | 42.5a | −0.069a | 0.00023a |
| WI | B | NFNH | 0.04 | 3.2 | 6.2 | 209 | 40.2a,y | −0.032a,y | 0.00010a |
| WI | n | F0.2H20 | 0.05 | 4.2 | 7.2 | 230 | 47.9b,x | −0.036b,x | 0.00022b |
| WI | n | F50H20 | 0.15 | 3.8 | 7.2 | 223 | 39.3b | 0.046b | −0.000097b |
| WI | n | F50NH | 0.39 | 3.1 | 6.1 | 208 | 37.6b | 0.065b | −0.00011b |
| WI | n | F5H20 | 0.16 | 3.1 | 6.4 | 208 | 38.8b | 0.058b | −0.00017b |
| WI | n | F5NH | 0.40 | 2.9 | 5.7 | 201 | 38.2b | 0.067b | −0.00014b |
| WI | n | NFH20 | 0.32 | 3.2 | 6.6 | 209 | 36.6b,y | 0.110b,y | −0.00037b |
| WI | n | NFH40 | 0.34 | 2.9 | 5.8 | 201 | 35.9b | 0.118b | −0.00043b |
| WI | n | NFH60 | 0.35 | 3.4 | 6.5 | 214 | 35.8b | 0.088b | −0.00022b |
| WI | n | NFNH | 0.56 | 4.1 | 7.5 | 229 | 32.3b,y | 0.092b,y | −0.000069b |
References
- Krapfenbauer, G.; Kinner, M.; Gössinger, M.; Schönlechner, R.; Berghofer, E. Effect of Thermal Treatment on the Quality of Cloudy Apple Juice. J. Agric. Food Chem. 2006, 54, 5453–5460. [Google Scholar] [CrossRef]
- Girard, B.; Fukumoto, L.R. Apple Juice Clarification Using Microfiltration and Ultrafiltration Polymeric Membranes. LWT Food Sci. Technol. 1999, 32, 290–298. [Google Scholar] [CrossRef]
- Wellala, C.K.D.; Bi, J.; Liu, X.; Liu, J.; Lyu, J.; Zhou, M. Effect of High Pressure Homogenization on Mixed Juice Stability, Rheology, Physicochemical Properties and Microorganism Reduction. J. Food Sci. Technol. 2020, 57, 1944–1953. [Google Scholar] [CrossRef]
- Salehi, F. Physico-Chemical and Rheological Properties of Fruit and Vegetable Juices as Affected by High Pressure Homogenization: A Review. Int. J. Food Prop. 2020, 23, 1136–1149. [Google Scholar] [CrossRef]
- Moscovici Joubran, A.; Katz, I.H.; Okun, Z.; Davidovich-Pinhas, M.; Shpigelman, A. The Effect of Pressure Level and Cycling in High-Pressure Homogenization on Physicochemical, Structural and Functional Properties of Filtered and Non-Filtered Strawberry Nectar. Innov. Food Sci. Emerg. Technol. 2019, 57, 102203. [Google Scholar] [CrossRef]
- Sentandreu, E.; Stinco, C.M.; Vicario, I.M.; Mapelli-Brahm, P.; Navarro, J.L.; Meléndez-Martínez, A.J. High-Pressure Homogenization as Compared to Pasteurization as a Sustainable Approach to Obtain Mandarin Juices with Improved Bioaccessibility of Carotenoids and Flavonoids. J. Clean. Prod. 2020, 262, 121325. [Google Scholar] [CrossRef]
- Włodarska, K.; Pawlak-Lemańska, K.; Górecki, T.; Sikorska, E. Factors Influencing Consumers’ Perceptions of Food: A Study of Apple Juice Using Sensory and Visual Attention Methods. Foods 2019, 8, 545. [Google Scholar] [CrossRef]
- Vallée Marcotte, B.; Verheyde, M.; Pomerleau, S.; Doyen, A.; Couillard, C. Health Benefits of Apple Juice Consumption: A Review of Interventional Trials on Humans. Nutrients 2022, 14, 821. [Google Scholar] [CrossRef] [PubMed]
- Veeriah, S.; Balavenkatraman, K.K.; Böhmer, F.-D.; Kahle, K.; Glei, M.; Richling, E.; Scheppach, W.; Pool-Zobel, B.L. Intervention with Cloudy Apple Juice Results in Altered Biological Activities of Ileostomy Samples Collected from Individual Volunteers. Eur. J. Nutr. 2008, 47, 226–234. [Google Scholar] [CrossRef] [PubMed]
- Xie, X.; Wang, X.; Bi, X.; Ning, N.; Li, M.; Xing, Y.; Che, Z. Effects of Ultrafiltration Combined with High-Pressure Processing, Ultrasound and Heat Treatments on the Quality of a Blueberry–Grape–Pineapple–Cantaloupe Juice Blend. Int. J. Food Sci. Technol. 2022, 57, 4368–4379. [Google Scholar] [CrossRef]
- Pandiselvam, R.; Özaslan, Z.T.; Sahni, P.; Khanashyam, A.C.; Kutlu, N.; Yilmaz, M.S.; Isleroglu, H.; Ramniwas, S.; Rustagi, S. High Pressure Homogenization for Preservation of Liquid Foods- Mechanisms, Molecular Modifications and Recent Developments. Futur. Foods 2024, 10, 100488. [Google Scholar] [CrossRef]
- Marszałek, K.; Trych, U.; Bojarczuk, A.; Szczepańska, J.; Chen, Z.; Liu, X.; Bi, J. Application of High-Pressure Homogenization for Apple Juice: An Assessment of Quality Attributes and Polyphenol Bioaccessibility. Antioxidants 2023, 12, 451. [Google Scholar] [CrossRef]
- MacAdam, D.L. Visual Sensitivities to Color Differences in Daylight. J. Opt. Soc. Am. 1942, 32, 247–274. [Google Scholar] [CrossRef]
- Hirschler, R. Browning in Food Colorimetry. In Color in Food: Technological and Psychophysical Aspects; CRC Press: Boca Raton, FL, USA, 2012; pp. 93–104. [Google Scholar]
- Selen Burdurlu, H.; Karadeniz, F. Effect of Storage on Nonenzymatic Browning of Apple Juice Concentrates. Food Chem. 2003, 80, 91–97. [Google Scholar] [CrossRef]
- Frangopoulos, T.; Koliouskas, A.; Petridis, D. The Effect of Accelerated Storage Temperature Conditions on the Shelf Life of Pasteurized Orange Juice Based on Microbiological, Physicochemical, and Color Attributes. Appl. Sci. 2024, 14, 10870. [Google Scholar] [CrossRef]
- Nour, V. Increasing the Content of Bioactive Compounds in Apple Juice Through Direct Ultrasound-Assisted Extraction from Bilberry Pomace. Foods 2024, 13, 4144. [Google Scholar] [CrossRef]
- Müller, L.; Gnoyke, S.; Popken, A.M.; Böhm, V. Antioxidant Capacity and Related Parameters of Different Fruit Formulations. LWT 2010, 43, 992–999. [Google Scholar] [CrossRef]
- Rilievo, G.; Magro, M.; Tonolo, F.; Cecconello, A.; Rutigliano, L.; Cencini, A.; Molinari, S.; Di Paolo, M.L.; Fiorucci, C.; Rossi, M.N.; et al. Spermine Oxidase–Substrate Electrostatic Interactions: The Modulation of Enzyme Function by Neighboring Colloidal ɣ-Fe2O3. Int. J. Mol. Sci. 2023, 13, 1800. [Google Scholar] [CrossRef]
- Laconi, A.; Cecconello, A.; Molinari, S.; Rilievo, G.; Cencini, A.; Tonolo, F.; Krystofova, A.; Majethia, H.N.; Tolosi, R.; Schiavon, E.; et al. Highly Specific Polyphenolic Colloids as Alternatives to Antimicrobials in Livestock Production. Int. J. Mol. Sci. 2024, 25, 9363. [Google Scholar] [CrossRef]
- Zárate-Rodríguez, E.; Ortega-Rivas, E.; Barbosa-Cánovas, G. V Effect of Membrane Pore Size on Quality of Ultrafiltered Apple Juice. Int. J. Food Sci. Technol. 2001, 36, 663–667. [Google Scholar] [CrossRef]
- Zhu, D.; Shen, Y.; Wei, L.; Xu, L.; Cao, X.; Liu, H.; Li, J. Effect of Particle Size on the Stability and Flavor of Cloudy Apple Juice. Food Chem. 2020, 328, 126967. [Google Scholar] [CrossRef]
- Wu, M.L.; Zall, R.R.; Tzeng, W.C. Microfiltration and Ultrafiltration Comparison for Apple Juice Clarification. J. Food Sci. 1990, 55, 1162–1163. [Google Scholar] [CrossRef]
- Yassari, S.; Mirsaeedghazi, H.; Roozbeh Nasiraie, L.; Fadavi, A. Clarification of Apple Juice with a Scraped-Surface Membrane Unit: The Effect of System Parameters on Process Efficiency Running Title; Scraped-Surface Membrane Unit. Iran. J. Chem. Chem. Eng. 2023, 42, 618–626. [Google Scholar] [CrossRef]
- Fuenmayor, C.A.; Lemma, S.M.; Mannino, S.; Mimmo, T.; Scampicchio, M. Filtration of Apple Juice by Nylon Nanofibrous Membranes. J. Food Eng. 2014, 122, 110–116. [Google Scholar] [CrossRef]
- Drake, S.R.; Nelson, J.W. Apple Juice Quality as Influenced by Ultrafiltration. J. Food Qual. 1986, 9, 399–406. [Google Scholar] [CrossRef]
- Wagner, A.; Dussling, S.; Scansani, S.; Bach, P.; Ludwig, M.; Steingass, C.B.; Will, F.; Schweiggert, R. Comparative Evaluation of Juices from Red-Fleshed Apples after Production with Different Dejuicing Systems and Subsequent Storage. Molecules 2022, 27, 2459. [Google Scholar] [CrossRef] [PubMed]
- Girard, B.; Fukumoto, L.R. Membrane Processing of Fruit Juices and Beverages: A Review. Crit. Rev. Food Sci. Nutr. 2000, 40, 91–157. [Google Scholar] [CrossRef]
- Terefe, N.S.; Yang, Y.H.; Knoerzer, K.; Buckow, R.; Versteeg, C. High Pressure and Thermal Inactivation Kinetics of Polyphenol Oxidase and Peroxidase in Strawberry Puree. Innov. Food Sci. Emerg. Technol. 2010, 11, 52–60. [Google Scholar] [CrossRef]
- Türkyılmaz, M.; Hamzaoğlu, F.; Özkan, M. Effects of Pasteurization and Storage on Turbidity and Copigmentation in Pomegranate Juices Clarified with Various Hydrocolloid Combinations. Food Chem. 2021, 358, 129803. [Google Scholar] [CrossRef]
- Ertugay, M.F.; Başlar, M. The Effect of Ultrasonic Treatments on Cloudy Quality-Related Quality Parameters in Apple Juice. Innov. Food Sci. Emerg. Technol. 2014, 26, 226–231. [Google Scholar] [CrossRef]
- Schnürer, M.; Groll, E.; Gössinger, M. Effects of Harvest Ripeness and Fruit Storage on Turbidity in Cloudy Apple Juice. Mitteilungen Klosterneubg. 2014, 64, 96–104. [Google Scholar]
- Zhu, D.; Kou, C.; Wei, L.; Xi, P.; Changxin, L.V.; Cao, X.; Liu, H. Effects of High Pressure Homogenization on the Stability of Cloudy Apple Juice. IOP Conf. Ser. Earth Environ. Sci. 2019, 358, 22059. [Google Scholar] [CrossRef]
- Filippi, M.V.; Genovese, D.B.; Lozano, J.E. Zeta-Potential as a Way to Determine Optimal Conditions During Fruit Juice Clarification BT-Food Engineering: Integrated Approaches; Gutiérrez-López, G.F., Barbosa-Cánovas, G.V., Welti-Chanes, J., Parada-Arias, E., Eds.; Springer: New York, NY, USA, 2008; pp. 391–397. [Google Scholar]
- Zhou, X.; Wang, W.; Ma, X.; Xu, E.; Liu, D. Ultrasonication of Thawed Huyou Juice: Effects on Cloud Stability, Physicochemical Properties and Bioactive Compounds. Foods 2021, 10, 1695. [Google Scholar] [CrossRef]
- Carrín, M.E.; Ceci, L.N.; Lozano, J.E. Characterization of Starch in Apple Juice and Its Degradation by Amylases. Food Chem. 2004, 87, 173–178. [Google Scholar] [CrossRef]
- Nehmé, L.; El Tekle, M.; Barakat, N.; El Khoury, A.; Azzi-Achkouty, S.; El Rayess, Y. Alternative Processes for Apple Juice Stabilization and Clarification: A Bibliometric and Comprehensive Review. Processes 2024, 12, 296. [Google Scholar] [CrossRef]
- Hameed Sher-i-Kashmir, F.; Avanish Kumar Assistant Professor, I.; Hamid, N.; Fozia Hameed Sher-i-Kashmir, C.; Hameed, F.; Kumar, A. Effect of Thermal Treatment and Storage on the Quality of Apple Juice. J. Pharmacogn. Phytochem. 2019, 8, 1976–1979. [Google Scholar]
- Gerard, K.A.; Roberts, J.S. Microwave Heating of Apple Mash to Improve Juice Yield and Quality. LWT Food Sci. Technol. 2004, 37, 551–557. [Google Scholar] [CrossRef]
- Wang, H.; Yuan, J.; Chen, L.; Ban, Z.; Zheng, Y.; Jiang, Y.; Jiang, Y.; Li, X. Effects of Fruit Storage Temperature and Time on Cloud Stability of Not from Concentrated Apple Juice. Foods 2022, 11, 2568. [Google Scholar] [CrossRef]
- Wojdyło, A.; Teleszko, M.; Oszmiański, J. Physicochemical Characterisation of Quince Fruits for Industrial Use: Yield, Turbidity, Viscosity and Colour Properties of Juices. Int. J. Food Sci. Technol. 2014, 49, 1818–1824. [Google Scholar] [CrossRef]
- Lyu, J.; Liu, X.; Bi, J.; Wu, X.; Zhou, L.; Ruan, W.; Zhou, M.; Jiao, Y. Kinetic Modelling of Non-Enzymatic Browning and Changes of Physio-Chemical Parameters of Peach Juice during Storage. J. Food Sci. Technol. 2018, 55, 1003–1009. [Google Scholar] [CrossRef] [PubMed]
- Xu, Z.; Yang, Z.; Ji, J.; Mou, Y.; Chen, F.; Xiao, Z.; Liao, X.; Hu, X.; Ma, L. Polyphenol Mediated Non-Enzymatic Browning and Its Inhibition in Apple Juice. Food Chem. 2023, 404, 134504. [Google Scholar] [CrossRef] [PubMed]
- Lin, Y.-S.; Huang, W.-Y.; Ho, P.-Y.; Hu, S.-Y.; Lin, Y.-Y.; Chen, C.-Y.; Chang, M.-Y.; Huang, S.-L. Effects of Storage Time and Temperature on Antioxidants in Juice from Momordica charantia L. and Momordica charantia L. Var. Abbreviata Ser. Molecules 2020, 25, 3614. [Google Scholar] [CrossRef]
- Genova, G.; Iacopini, P.; Baldi, M.; Ranieri, A.; Storchi, P.; Sebastiani, L. Temperature and Storage Effects on Antioxidant Activity of Juice from Red and White Grapes. Int. J. Food Sci. Technol. 2012, 47, 13–23. [Google Scholar] [CrossRef]
- Alberti, A.; Braga, C.M.; Jaster, H.; Nogueira, A. Dissolved Oxygen Content in Apple Must: Technological Implications in Cider Processing. J. Inst. Brew. 2014, 120, 65–70. [Google Scholar] [CrossRef]
- Pham, H.T.T.; Kityo, P.; Buvé, C.; Hendrickx, M.E.; Van Loey, A.M. Influence of PH and Composition on Nonenzymatic Browning of Shelf-Stable Orange Juice during Storage. J. Agric. Food Chem. 2020, 68, 5402–5411. [Google Scholar] [CrossRef] [PubMed]
- Wahia, H.; Zhou, C.; Mustapha, A.T.; Amanor-Atiemoh, R.; Mo, L.; Fakayode, O.A.; Ma, H. Storage Effects on the Quality Quartet of Orange Juice Submitted to Moderate Thermosonication: Predictive Modeling and Odor Fingerprinting Approach. Ultrason. Sonochem. 2020, 64, 104982. [Google Scholar] [CrossRef]










| Sample | Homogeniser (MPa) | Filter (µm) |
|---|---|---|
| NFNH | 100.0 | |
| F50NH | 50.0 | |
| F5NH | 5.0 | |
| F50H20 | 20 | 50.0 |
| F5H20 | 20 | 5.0 |
| F0.2H20 | 20 | 0.2 |
| NFH200 | 20 | 100.0 |
| NFH40 | 40 | 100.0 |
| NFH60 | 60 | 100.0 |
| Model | Filtration | HPH | Interaction | Boost | |||
|---|---|---|---|---|---|---|---|
| Effect | F | TxF | H | TxH | FxH | Time | Boost |
| Df | 3 | 3 | 3 | 3 | 2 | 1 | 1 |
| Residuals | 27 | 27 | 46 | 44 | |||
| Items | 36 | 36 | 54 | 54 | |||
| pH | ns | ns | ns | ns | ns | ns | ns |
| ORP | ns | ns | ns | ns | ns | ** | ** |
| Viscosity | * | ns | ns | ns | ns | ns | ns |
| TSS | * | ns | ns | * | ns | *** | ns |
| Turbidity | *** | ns | * | ns | ns | *** | ** |
| Chroma | *** | ns | ns | ns | ns | *** | *** |
| HUE | ns | *** | * | ns | ns | *** | ** |
| L | *** | ns | ns | ns | ns | ns | ns |
| a | *** | * | ns | * | ns | *** | ** |
| b | *** | ns | * | ns | ns | *** | *** |
| ΔE | ns | ns | ns | ns | ns | ns | *** |
| WI | ns | ns | *** | ns | ns | *** | *** |
| BI | ns | ns | ns | ns | ns | *** | *** |
| YI | ns | ns | ns | ns | ns | *** | *** |
| NPart | * | ns | ns | ns | * | * | ns |
| AvArea | *** | ns | ** | * | * | ns | * |
| %Area | ns | ns | ns | ns | ns | * | * |
| z-size | *** | ns | ns | ns | ns | * | |
| ζ-potential | *** | ns | ns | ns | ns | ** | ** |
| Antiox | *** | ns | ns | ns | ns | ns | ns |
| Variables | R2 | p-Value | |
|---|---|---|---|
| Turbidity | ζ-potential | 0.60 | <2.2 * 10−16 |
| N_Part | ζ-potential | 0.29 | <1.5 * 10−9 |
| WI Intercept | ζ-potential | 0.38 | <1.0 * 10−12 |
| WI Steepness | ζ-potential | 0.14 | <2.7 * 10−5 |
| Antiox | HUE | 0.94 | <2.2 * 10−16 |
Disclaimer/Publisher’s Note: The statements, opinions and data contained in all publications are solely those of the individual author(s) and contributor(s) and not of MDPI and/or the editor(s). MDPI and/or the editor(s) disclaim responsibility for any injury to people or property resulting from any ideas, methods, instructions or products referred to in the content. |
© 2025 by the authors. Licensee MDPI, Basel, Switzerland. This article is an open access article distributed under the terms and conditions of the Creative Commons Attribution (CC BY) license (https://creativecommons.org/licenses/by/4.0/).
Share and Cite
Zanchin, A.; Perbellini, A.; De Iseppi, A.; Rilievo, G.; Fabris, M.; Gabardi, N.; Biada, E.; Luzzini, M.; Guerrini, L. Physicochemical Stability of ‘Kissabel® Rouge’ Apple Juice: The Role of Filtration and High-Pressure Homogenization. Appl. Sci. 2025, 15, 11697. https://doi.org/10.3390/app152111697
Zanchin A, Perbellini A, De Iseppi A, Rilievo G, Fabris M, Gabardi N, Biada E, Luzzini M, Guerrini L. Physicochemical Stability of ‘Kissabel® Rouge’ Apple Juice: The Role of Filtration and High-Pressure Homogenization. Applied Sciences. 2025; 15(21):11697. https://doi.org/10.3390/app152111697
Chicago/Turabian StyleZanchin, Alessandro, Anna Perbellini, Alberto De Iseppi, Graziano Rilievo, Matteo Fabris, Nicola Gabardi, Elisa Biada, Marco Luzzini, and Lorenzo Guerrini. 2025. "Physicochemical Stability of ‘Kissabel® Rouge’ Apple Juice: The Role of Filtration and High-Pressure Homogenization" Applied Sciences 15, no. 21: 11697. https://doi.org/10.3390/app152111697
APA StyleZanchin, A., Perbellini, A., De Iseppi, A., Rilievo, G., Fabris, M., Gabardi, N., Biada, E., Luzzini, M., & Guerrini, L. (2025). Physicochemical Stability of ‘Kissabel® Rouge’ Apple Juice: The Role of Filtration and High-Pressure Homogenization. Applied Sciences, 15(21), 11697. https://doi.org/10.3390/app152111697

