A Cost-Efficient Aggregation Strategy for Federated Learning in UAV Swarm Networks Under Non-IID Data
Abstract
1. Introduction
- We propose a UAV-enabled network model and a multi-dimensional cost function that accounts for communication, computation, and training contribution. Based on real UAV data profiles, it supports dynamic client participation to reduce resource usage while ensuring model accuracy and energy efficiency.
- To effectively solve the non-convex and tightly coupled resource allocation problem, we formulate the task assignment process as a cooperative game-theoretic decision problem. Based on this formulation, we introduce a Shapley-value-based contribution evaluation mechanism and propose a dynamic aggregation algorithm, termed TVCL (Time-Varying Collaborative Learning). The algorithm approximates near-optimal solutions to the formulated cooperative game by assigning aggregation weights based on each UAV’s marginal contribution. Furthermore, a multi-phase training strategy is introduced to adaptively respond to dynamic communication and computation conditions, thereby enhancing convergence efficiency and overall model performance.
- We conduct extensive simulations on standard bench-mark datasets, including MNIST and CIFAR-10, to evaluate the effectiveness of the proposed framework under non-IID data conditions. The results demonstrate that our method significantly outperforms conventional FL approaches such as FedAvg and FedProx, achieving faster convergence and higher final accuracy, while simultaneously reducing both communication cost and computational burden.
2. Related Work
2.1. Multi-Drone Collaboration
2.2. Federated Learning
2.3. Cooperative Game
3. Methods
3.1. Shapley-Based Aggregation with Contribution-Aware Weighting
| Algorithm 1: Shapley Estimation. |
| Input: local models {θk}, global model θ, validation set D_val, number of Monte Carlo samples S Output: Normalized Shapley values {φk} Initialize φk ← 0 for all k for s = 1 to S do Randomly sample subset Cs from clients Compute base accuracy A0 using θ on D_val for each client k in Cs do Load θk and evaluate Ak on D_val Δk ← max(0, Ak–A0) # Truncate negatives φk ← φk + Δk end for end for Normalize: φk ← φk/(sum(φk) + ε), where ε ≪ 1 return {φk} |
| Algorithm 2: TVCL_Main. |
| Input: number of clients K, total communication rounds T, client participation fraction C, initial global model θ0, local client datasets D1, D2, …, D_K, validation set for Shapley estimation D_val Output: Final global model θᴛ Initialize global model θ0 for each round t = 1 to T do Randomly select client subset St with m = max(C × K, 1) for each client k in St (in parallel) do θkt, Lkt ← LocalTrain(θt−1, Dk) end for if t < switch_round then Assign uniform weights: φk ← 1/|St| for all k in St Else φk ← Shapley Estimation({θkt}, θt−1, D_val) end if For all non-participating clients, set φk ← 0 Aggregate: θt ← sum over k=1 to K of φk × θkt Evaluate: acc, loss, f1, var ← Evaluation(θt, D_test) Log results for round t end for return θt |
3.2. Hierarchical Weighting Strategy Guided by Cost Function
| Algorithm 3: Local_Train. |
| Input: global model θ, local dataset Dk, local training epochs E, learning rate η, batch size B Output: Updated model θk, Local training loss Lk Determine training phase and assign weights Initialize local model θk ← θ Set optimizer (SGD/Adam) and learning rate scheduler Initialize best_loss ← ∞, trigger_times ← 0 for epoch e = 1 to E do for each minibatch (x, y) in Dk do Predict: ŷ ← θk(x) Compute loss: L ← CrossEntropy(ŷ, y) Backward and update: θk ← θk–η × ∇L end for Scheduler.step() # optional LR decay if current_loss < best_loss: best_loss ← current_loss; trigger_times ← 0 else: trigger_times += 1 if trigger_times ≥ patience: Stop early end for return θk, average_loss |
3.3. Adaptive Contribution-Based Optimization Mechanism
| Algorithm 4: Evaluation. |
| Input: global model θ, test dataset D_test, batch size B Output: Accuracy, average loss, F1-score, loss variance Initialize total_loss ← [], correct ← 0 for each batch (x, y) in D_test do Predict: ŷ ← θ(x) Compute per-sample loss: ℓ ← CrossEntropy(ŷ, y) Append ℓ to total_loss Count correct predictions Store ŷ and y for F1 calculation end for Compute accuracy ← correct/total samples Compute avg_loss ← mean(total_loss) Compute var_loss ← variance(total_loss) Compute F1 ← weighted F1-score(ŷ, y) return accuracy, avg_loss, F1, var_loss |
3.4. Communication Cost Modelingt
3.5. Complexity Analysis and Runtime Comparison
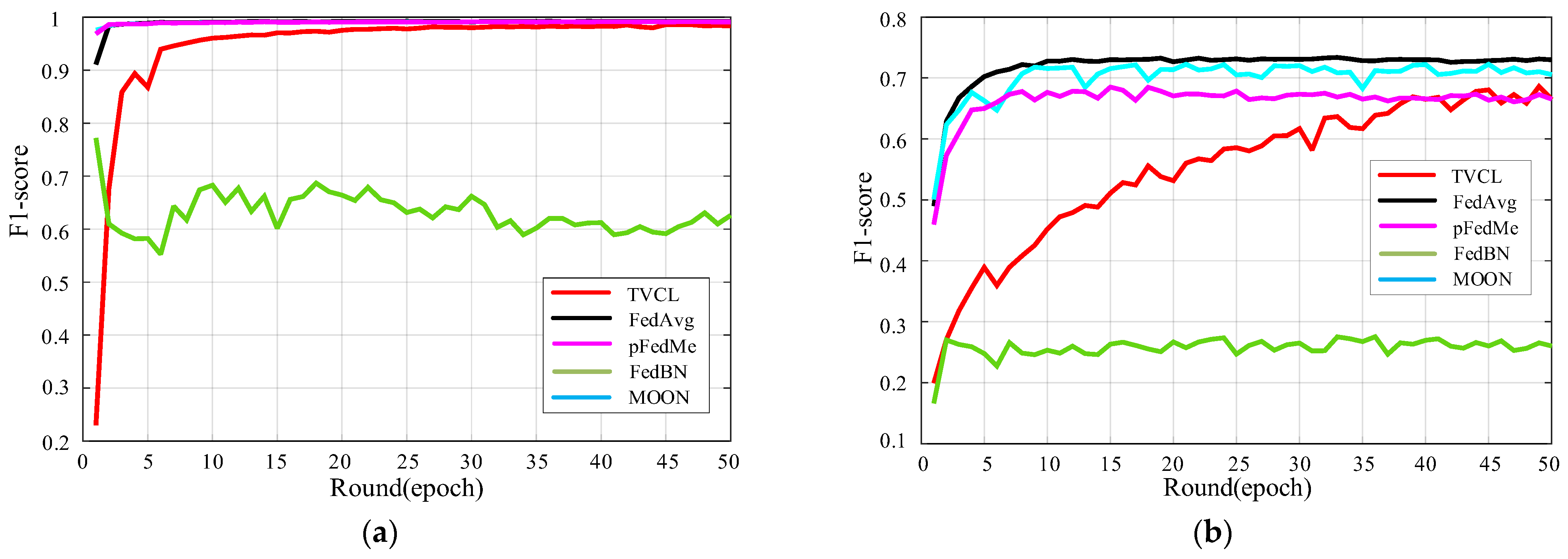
4. Results
4.1. Experimental Evaluation of Cost Function Effects
4.2. Shapley-Based Aggregation Under Varying Equilibrium Strategies
4.3. Evaluation Under Bandwidth Constraints
4.4. Discussion on Scalability and Real-World Deployment
- (1)
- Packet loss and intermittent connectivity can significantly delay global aggregation or lead to partial model updates. To address this, TVCL can be extended with asynchronous update strategies and communication redundancy mechanisms to ensure robustness against transient disconnections.
- (2)
- Energy-aware scheduling is critical for UAV swarms operating under limited battery capacity. The Shapley-based client evaluation in TVCL naturally supports this requirement by prioritizing high-contribution but energy-efficient nodes for participation, thereby reducing unnecessary computation and transmission overhead.
- (3)
- Scalability in large UAV fleets may introduce additional latency due to increased coordination cost. To mitigate this, hierarchical aggregation (e.g., cluster-based TVCL) can be employed, where local leaders perform intra-cluster aggregation before global synchronization.
4.5. Ablation and Sensitivity Analysis
5. Conclusions
Author Contributions
Funding
Institutional Review Board Statement
Informed Consent Statement
Data Availability Statement
Acknowledgments
Conflicts of Interest
Correction Statement
References
- Surendar, V.; Raghavendran, P.S.; Poojitha, P.T.; Shivali, S.; Sakthivel, G.; Lokesh, M. Revolutionizing Industries with Aerial Vehicle Using Mobile for Surveillance. In Proceedings of the 2024 2nd International Conference on Sustainable Computing and Smart Systems (ICSCSS), Coimbatore, India, 10–12 July 2024; IEEE: New York, NY, USA, 2024; pp. 154–158. [Google Scholar]
- Ma, L.; Liu, Y.; Zhang, X.; Ye, Y.; Yin, G.; Johnson, B.A. Deep learning in remote sensing applications: A meta-analysis and review. ISPRS J. Photogramm. Remote Sens. 2019, 152, 166–177. [Google Scholar] [CrossRef]
- Luo, J.; Wang, Z.; Xia, M.; Wu, L.; Tian, Y.; Chen, Y. Path planning for UAV communication networks: Related technologies, solutions, and opportunities. ACM Comput. Surv. 2023, 55, 1–37. [Google Scholar] [CrossRef]
- Tisdale, J.; Kim, Z.W.; Hedrick, J.K. Autonomous UAV path planning and estimation. IEEE Robot. Autom. Mag. 2009, 16, 35–42. [Google Scholar] [CrossRef]
- Adão, T.; Hruška, J.; Pádua, L.; Bessa, J.; Peres, E.; Morais, R.; Sousa, J.J. Hyperspectral imaging: A review on UAV-based sensors, data processing and applications for agriculture and forestry. Remote Sens. 2017, 9, 1110. [Google Scholar] [CrossRef]
- Colomina, I.; Molina, P. Unmanned aerial systems for photogrammetry and remote sensing: A review. ISPRS J. Photogramm. Remote Sens. 2014, 92, 79–97. [Google Scholar] [CrossRef]
- Xiang, B.; Elias, J.; Martignon, F.; Di Nitto, E. Resource calendaring for mobile edge computing: Centralized and decentralized optimization approaches. Comput. Netw. 2021, 199, 108426. [Google Scholar] [CrossRef]
- Hamissi, A.; Dhraief, A.; Sliman, L. A Comprehensive Survey on Conflict Detection and Resolution in Unmanned Aircraft System Traffic Management. IEEE Trans. Intell. Transp. Syst. 2024, 26, 1395–1418. [Google Scholar] [CrossRef]
- Motlagh, N.H.; Taleb, T.; Arouk, O. Low-altitude unmanned aerial vehicles-based internet of things services: Comprehensive survey and future perspectives. IEEE Internet Things J. 2016, 3, 899–922. [Google Scholar] [CrossRef]
- Guo, M.; Li, Q.; Peng, Z.; Liu, X.; Cui, D. Energy harvesting computation offloading game towards minimizing delay for mobile edge computing. Comput. Netw. 2022, 204, 108678. [Google Scholar] [CrossRef]
- Kim, M.; Lee, H.; Hwang, S.; Debbah, M.; Lee, I. Cooperative multi-agent deep reinforcement learning methods for uav-aided mobile edge computing networks. IEEE Internet Things J. 2024, 11, 38040–38053. [Google Scholar] [CrossRef]
- Shah, V.N.; Singh, R.; Turjya, S.M.; Ahuja, P.; Bandyopadhyay, A.; Swain, S. Unmanned Aerial Vehicles by Implementing Mobile Edge Computing for Resource Allocation. In Proceedings of the 2024 IEEE International Conference on Information Technology, Electronics and Intelligent Communication Systems (ICITEICS), Bengaluru, India, 28–29 June 2024; IEEE: New York, NY, USA, 2024; pp. 1–5. [Google Scholar]
- Alsadie, D. Artificial intelligence techniques for securing fog computing environments: Trends, challenges, and future directions. IEEE Access 2024, 12, 151598–151648. [Google Scholar] [CrossRef]
- Cao, Y.; Zhang, L.; Liang, Y.C. Deep reinforcement learning for channel and power allocation in UAV-enabled IoT systems. In Proceedings of the 2019 IEEE Global Communications Conference (GLOBECOM), Waikoloa, HI, USA, 9–13 December 2019; IEEE: New York, NY, USA, 2019; pp. 1–6. [Google Scholar]
- Wang, Y.; Tang, Z.; Huang, A.; Zhang, H.; Chang, L.; Pan, J. Placement of UAV-mounted edge servers for internet of vehicles. IEEE Trans. Veh. Technol. 2024, 73, 10587–10601. [Google Scholar] [CrossRef]
- Jiang, B.; Du, J.; Jiang, C.; Han, Z.; Alhammadi, A.; Debbah, M. Over-the-air federated learning in digital twins empowered UAV swarms. IEEE Trans. Wirel. Commun. 2024, 23, 17619–17634. [Google Scholar] [CrossRef]
- Ke, H.; Wang, H.; Sun, W.; Sun, H. Adaptive computation offloading policy for multi-access edge computing in heterogeneous wireless networks. IEEE Trans. Netw. Serv. Manag. 2021, 19, 289–305. [Google Scholar] [CrossRef]
- Ning, Z.; Hu, H.; Wang, X.; Guo, L.; Guo, S.; Wang, G.; Gao, X. Mobile edge computing and machine learning in the internet of unmanned aerial vehicles: A survey. ACM Comput. Surv. 2023, 56, 1–31. [Google Scholar] [CrossRef]
- McMahan, B.; Moore, E.; Ramage, D.; Hampson, S.; y Arcas, B.A. Communication-efficient learning of deep networks from decentralized data. In Proceedings of the Artificial Intelligence and Statistics, Fort Lauderdale, FL, USA, 20–22 April 2017; PMLR: New York, NY, USA, 2017; pp. 1273–1282. [Google Scholar]
- Li, T.; Sahu, A.K.; Zaheer, M.; Sanjabi, M.; Talwalkar, A.; Smith, V. Federated optimization in heterogeneous networks. Proc. Mach. Learn. Syst. 2020, 2, 429–450. [Google Scholar]
- Yahya, M.; Maghsudi, S.; Stanczak, S. Federated learning in UAV-enhanced networks: Joint coverage and convergence time optimization. IEEE Trans. Wirel. Commun. 2023, 23, 6077–6092. [Google Scholar] [CrossRef]
- Diaz-Vilor, C.; Abdelhady, A.M.; Eltawil, A.M.; Jafarkhani, H. Multi-UAV Reinforcement Learning for Data Collection in Cellular MIMO Networks. IEEE Trans. Wirel. Commun. 2024, 23, 15462–15476. [Google Scholar] [CrossRef]
- Yang, M.; Bi, W.; Zhang, A.; Gao, F. A distributed task reassignment method in dynamic environment for multi-UAV system. Appl. Intell. 2022, 52, 1582–1601. [Google Scholar] [CrossRef]
- Zheng, X.; Zhang, F.; Song, T.; Lin, D. Heterogeneous multi-UAV distributed task allocation based on CBBA. In Proceedings of the 2019 IEEE International Conference on Unmanned Systems (ICUS), Beijing, China, 17–19 October 2019; IEEE: New York, NY, USA, 2019; pp. 704–709. [Google Scholar]
- Li, T.; Shin, H.S.; Tsourdos, A. Efficient decentralized task allocation for UAV swarms in multi-target surveillance missions. In Proceedings of the 2019 International Conference on Unmanned Aircraft Systems (ICUAS), Atlanta, GA, USA, 11–14 June 2019; IEEE: New York, NY, USA, 2019; pp. 61–68. [Google Scholar]
- Asad, M.; Moustafa, A.; Ito, T. Fedopt: Towards communication efficiency and privacy preservation in federated learning. Appl. Sci. 2020, 10, 2864. [Google Scholar] [CrossRef]
- Zhang, Z.; Jiang, J.; Xu, H.; Zhang, W.-A. Distributed dynamic task allocation for unmanned aerial vehicle swarm systems: A networked evolutionary game-theoretic approach. Chin. J. Aeronaut. 2024, 37, 182–204. [Google Scholar] [CrossRef]
- Zhu, H.; Xu, J.; Liu, S.; Jin, Y. Federated learning on non-IID data: A survey. Neurocomputing 2021, 465, 371–390. [Google Scholar] [CrossRef]
- Mothukuri, V.; Parizi, R.M.; Pouriyeh, S.; Huang, Y.; Dehghantanha, A.; Srivastava, G. A survey on security and privacy of federated learning. Future Gener. Comput. Syst. 2021, 115, 619–640. [Google Scholar] [CrossRef]
- Konečný, J.; McMahan, H.B.; Yu, F.X.; Richtárik, P.; Suresh, A.T.; Bacon, D. Federated learning: Strategies for improving communication efficiency. arXiv 2016, arXiv:1610.05492. [Google Scholar]
- Li, X.; Jiang, M.; Zhang, X.; Kamp, M.; Dou, Q. Fedbn: Federated learning on non-iid features via local batch normalization. arXiv 2021, arXiv:2102.07623. [Google Scholar]
- Dinh, C.T.; Tran, N.; Nguyen, J. Personalized federated learning with moreau envelopes. Adv. Neural Inf. Process. Syst. 2020, 33, 21394–21405. [Google Scholar]
- Li, Q.; He, B.; Song, D. Model-contrastive federated learning. In Proceedings of the IEEE/CVF Conference on Computer Vision and Pattern Recognition, Nashville, TN, USA, 20–25 June 2021; pp. 10713–10722. [Google Scholar]
- Liu, D.; Dou, L.; Zhang, R.; Zhang, X.; Zong, Q. Multi-agent reinforcement learning-based coordinated dynamic task allocation for heterogenous UAVs. IEEE Trans. Veh. Technol. 2022, 72, 4372–4383. [Google Scholar] [CrossRef]
- Chen, J.; Wu, Q.; Xu, Y.; Qi, N.; Guan, X.; Zhang, Y.; Xue, Z. Joint task assignment and spectrum allocation in heterogeneous UAV communication networks: A coalition formation game-theoretic approach. IEEE Trans. Wirel. Commun. 2020, 20, 440–452. [Google Scholar] [CrossRef]
- Asheralieva, A.; Niyato, D. Game theory and Lyapunov optimization for cloud-based content delivery networks with device-to-device and UAV-enabled caching. IEEE Trans. Veh. Technol. 2019, 68, 10094–10110. [Google Scholar] [CrossRef]
- Hou, P.; Huang, Y.; Zhu, H.; Lu, Z.; Huang, S.; Yang, Y. Distributed DRL-based intelligent over-the-air computation in unmanned aerial vehicle swarm-assisted intelligent transportation system. IEEE Internet Things J. 2024, 11, 34382–34397. [Google Scholar] [CrossRef]













| Parameter | Value |
|---|---|
| The selected drone collection | |
| Contribution of drone collection | |
| The marginal contribution of client i to set s | |
| Shapley value of the i-th client | |
| The total contribution of subset S plus participant i | |
| The weight of the global model | |
| Local model weight for the i-th client | |
| Learning rate of the i-th client | |
| New and old learning rate of client i | |
| Loss function for each client | |
| The left boundary of the interval of good values |
| Parameter | Value |
|---|---|
| Platform | Pycharm |
| Number of node devices | 8 |
| Number of central servers | 1 |
| Learning rate | 0.01 |
| Epochs | 50 |
| Local_batch_size | 50 |
| Training model | Efficientnet, LeNet |
| Training participation ratio | 0.75 |
| Optimizer momentum parameter | 0.5 |
| The number of categories in a classification task | 10 |
| Test_batch_size | 128 |
| Data | CIFAR-10, MNIST |
| Step_size | 10 |
| Step_LR | 0.7 |
| Methods | CIFAR-10 | ||
|---|---|---|---|
| ACC | Std | Range | |
| FedAvg [28] | 72.92 | ±0.15% | 0.53% |
| FedBN [34] | 34.40 | ±0.47% | 1.61% |
| MOON [30] | 70.70 | ±0.55% | 1.89% |
| pFedMe [35] | 67.00 | ±0.35% | 1.13% |
| TVCL (ours) | 85.23 | ±0.18% | 0.58% |
| Methods | MNIST | ||
|---|---|---|---|
| ACC | Std | Range | |
| FedAvg [28] | 99.21 | ±0.021% | 0.06% |
| FedBN [34] | 67.58 | ±1.14% | 3.55% |
| MOON [30] | 99.21 | ±0.0735% | 0.24% |
| pFedMe [35] | 99.08 | ±0.022% | 0.07% |
| TVCL (ours) | 98.70 | ±0.19% | 0.6% |
| Methods | CIFAR-10 | MNIST | ||||
|---|---|---|---|---|---|---|
| ACC | F1-Score | Loss Var | ACC | F1-Score | Loss Var | |
| FedAvg [28] | 72.92 | 0.7298 | 0.1599 | 99.21 | 0.9920 | 0.0025 |
| FedBN [34] | 34.40 | 0.2601 | 0.0354 | 67.58 | 0.6258 | 0.0478 |
| MOON [36] | 70.70 | 0.7056 | 0.1550 | 99.21 | 0.9920 | 0.0012 |
| pFedMe [35] | 67.00 | 0.6653 | 0.2169 | 99.08 | 0.9907 | 0.0032 |
| TVCL (ours) | 85.23 | 0.6861 | 0.8516 | 98.70 | 0.9841 | 0.1149 |
| Bandwidth (Mbps) | Per-Round Comm Time (s) | Total Comm Time (50 rounds) | Final Accuracy (%) |
|---|---|---|---|
| 0.1 | 16.96 | 848.0 | 83.5 |
| 1.0 | 1.696 | 84.80 | 84.8 |
| 10.0 | 0.169 | 8.480 | 85.2 |
| Aggregation Components | Quantitative Evaluation Criteria | ||||
|---|---|---|---|---|---|
| Shapley Weighting | Cost Function | Truncation Mechanism | ACC | F1-Score | Loss Var |
| √ | √ | √ | 85.23 | 0.6861 | 0.8516 |
| √ | √ | 74.91 | 0.7298 | 0.2199 | |
| √ | √ | 82.20 | 0.6267 | 0.8551 | |
| √ | √ | 84.90 | 0.6760 | 0.9350 | |
Disclaimer/Publisher’s Note: The statements, opinions and data contained in all publications are solely those of the individual author(s) and contributor(s) and not of MDPI and/or the editor(s). MDPI and/or the editor(s) disclaim responsibility for any injury to people or property resulting from any ideas, methods, instructions or products referred to in the content. |
© 2025 by the authors. Licensee MDPI, Basel, Switzerland. This article is an open access article distributed under the terms and conditions of the Creative Commons Attribution (CC BY) license (https://creativecommons.org/licenses/by/4.0/).
Share and Cite
Liu, X.; Zhang, H.; Chen, J.; Li, G.; Zhu, X. A Cost-Efficient Aggregation Strategy for Federated Learning in UAV Swarm Networks Under Non-IID Data. Appl. Sci. 2025, 15, 11428. https://doi.org/10.3390/app152111428
Liu X, Zhang H, Chen J, Li G, Zhu X. A Cost-Efficient Aggregation Strategy for Federated Learning in UAV Swarm Networks Under Non-IID Data. Applied Sciences. 2025; 15(21):11428. https://doi.org/10.3390/app152111428
Chicago/Turabian StyleLiu, Xiao, Hongji Zhang, Jining Chen, Gaoxiang Li, and Xiaoyu Zhu. 2025. "A Cost-Efficient Aggregation Strategy for Federated Learning in UAV Swarm Networks Under Non-IID Data" Applied Sciences 15, no. 21: 11428. https://doi.org/10.3390/app152111428
APA StyleLiu, X., Zhang, H., Chen, J., Li, G., & Zhu, X. (2025). A Cost-Efficient Aggregation Strategy for Federated Learning in UAV Swarm Networks Under Non-IID Data. Applied Sciences, 15(21), 11428. https://doi.org/10.3390/app152111428

