Antitumor Activity of Whole-Plant Extracts from In Vitro Cultured and Wild-Growing Clinopodium vulgare Plants on a Panel of Human Tumor Cell Lines
Abstract
1. Introduction
2. Materials and Methods
2.1. Materials
2.2. Plant Specimens and In Vitro Culturing
2.3. Preparation of Freeze-Dried Extracts
2.4. Total Polyphenol and Flavonoid Content
2.5. Antioxidant Activity Assays
2.6. Antitumor Activity
2.6.1. Cell Lines
2.6.2. Cell Viability/Cytotoxicity Assay
2.6.3. Cell Migration Assay
2.6.4. Fluorescence Microscopy Analysis
Acridine Orange/Ethidium Bromide Staining
DAPI Nuclear Staining
Double Staining with Annexin V-FITC/Propidium Iodide (PI)
2.6.5. Cell Cycle Analysis
2.7. Statistics
3. Results
3.1. Secondary Metabolites Production in Wild and In Vitro Cultured Plants
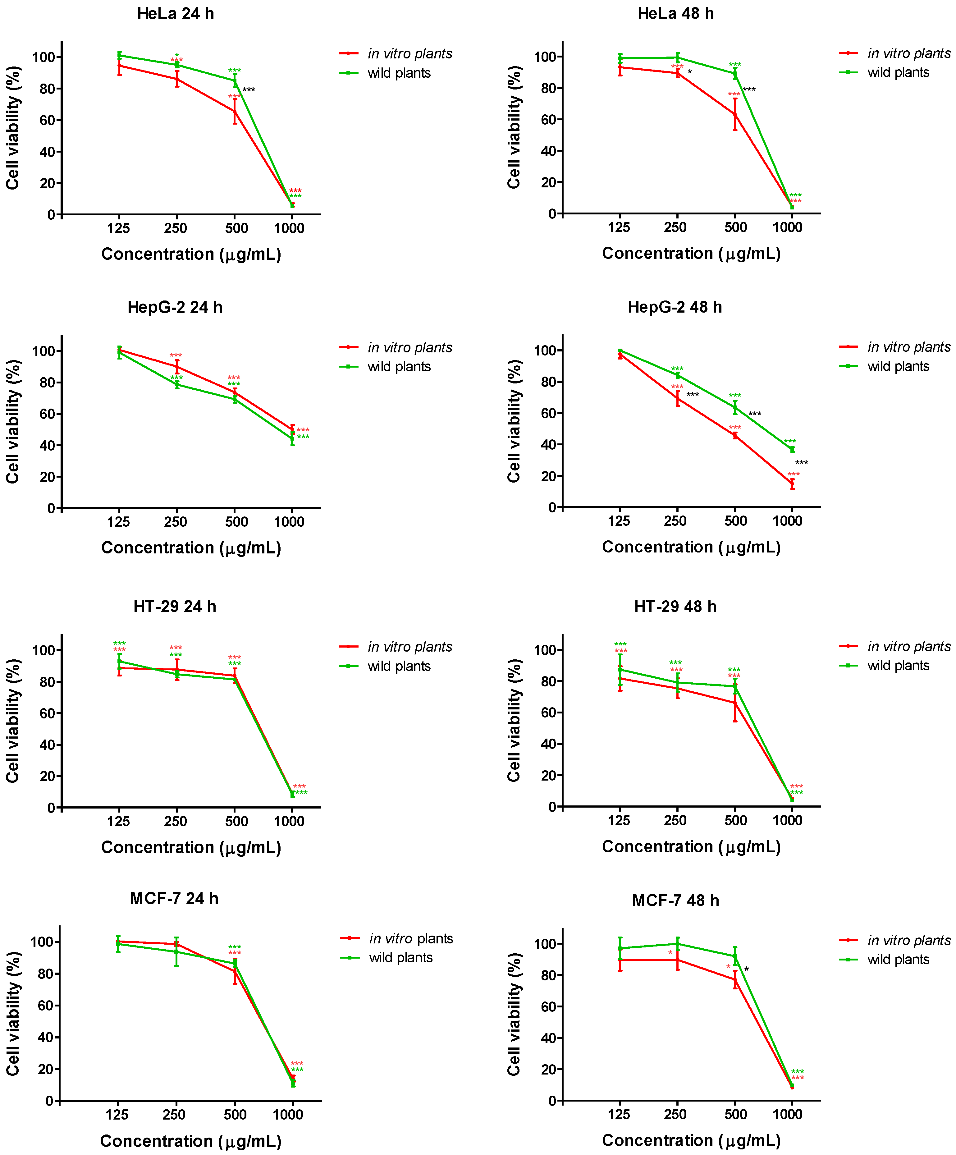
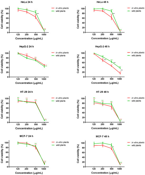
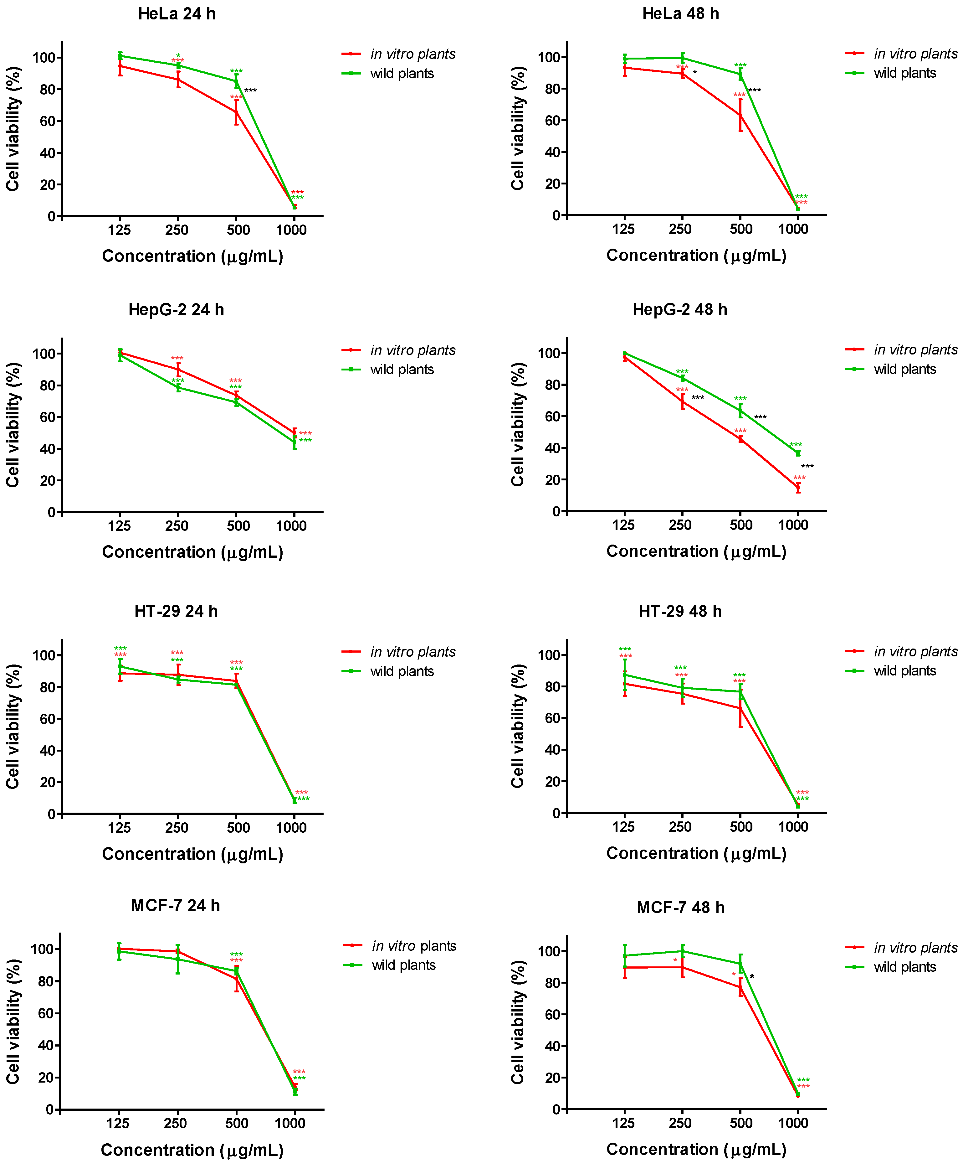
3.2. Cell Viability Assay
3.3. Cell Migration Assay
3.4. Fluorescence Microscopy
3.5. Flow Cytometric Analysis
4. Discussion
5. Conclusions
Author Contributions
Funding
Institutional Review Board Statement
Informed Consent Statement
Data Availability Statement
Acknowledgments
Conflicts of Interest
References
- Solowey, E.; Lichtenstein, M.; Sallon, S.; Paavilainen, H.; Solowey, E.; Lorberboum-Galski, H. Evaluating medicinal plants for anticancer activity. Sci. World J. 2014, 2014, 721402. [Google Scholar] [CrossRef] [PubMed]
- Khalid, M.; Amayreh, M.; Sanduka, S.; Salah, Z.; Al-Rimawi, F.; Al-Mazaideh, G.M.; Alanezi, A.A.; Wedian, F.; Alasmari, F.; Faris Shalayel, M.H. Assessment of antioxidant, antimicrobial, and anticancer activities of Sisymbrium officinale plant extract. Heliyon 2022, 8, e10477. [Google Scholar] [CrossRef] [PubMed]
- Gaobotse, G.; Venkataraman, S.; Brown, P.D.; Masisi, K.; Kwape, T.E.; Nkwe, D.O.; Rantong, G.; Makhzoum, A. The use of African medicinal plants in cancer management. Front. Pharmacol. 2023, 14, 1122388. [Google Scholar] [CrossRef] [PubMed]
- Asigbaase, M.; Adusu, D.; Anaba, L.; Abugre, S.; Kang-Milung, S.; Acheamfour, S.A.; Adamu, I.; Ackah, D.K. Conservation and economic benefits of medicinal plants: Insights from forest-fringe communities of Southwestern Ghana. Trees For. People 2023, 14, 100462. [Google Scholar] [CrossRef]
- Jain, S.; Dwivedi, J.; Kumar Jain, P.; Satpathy, S.; Patra, A. Medicinal plants for treatment of cancer: A brief review. Pharmacogn. J. 2016, 8, 87–102. [Google Scholar] [CrossRef]
- Popova, A.; Mihaylova, D. A review of the medicinal plants in Bulgaria—Collection, storage, and extraction techniques. Asian J. Pharm. Clin. Res. 2018, 11, 28–35. [Google Scholar]
- No 29/07.04.2000; Medicinal Plant Act. Decree no. 29 of Ministry of Environment and Water, Sofia, Bulgaria accepted by the National Assembly on 23 March 2000. State Gazette: Dyersburg, TN, USA, 2002; pp. 9–21. (In Bulgarian)
- Batsalova, T.; Bardarov, K.; Bardarov, V.; Moten, D.; Dzhambazov, B. Cytotoxic properties of Clinopodium vulgare L. extracts on selected human cell lines. Compt. Rend. Acad. Bulg. Sci. 2017, 70, 645–650. [Google Scholar]
- Zheleva-Dimitrova, D.; Simeonova, R.; Gevrenova, R.; Savov, Y.; Balabanova, V.; Nasar-Eddin, G.; Bardarov, K.; Danchev, N. In vivo toxicity assessment of Clinopodium vulgare L. water extract characterized by UHPLC-HRMS. Food Chem. Toxicol. 2019, 134, 110841. [Google Scholar] [CrossRef] [PubMed]
- Nassar-Eddin, G.; Zheleva-Dimitrova, D.; Danchev, N.; Vitanska-Simeonova, R. Antioxidant and enzyme-inhibiting activity of lyophilized extract from Clinopodium vulgare L.(Lamiaceae). Pharmacia 2021, 68, 259–263. [Google Scholar] [CrossRef]
- Qureshi, K.A.; Parvez, A.; Khan, M.M.U.; Aspatwar, A.; Atiya, A.; Elhassan, G.O.; Khan, R.A.; Ahammed, S.Y.E.; Khan, W.U.; Jaremko, M. Exploring nature’s hidden treasure: Unraveling the untapped phytochemical and pharmacological potentials of Clinopodium vulgare L.—A hidden gem in the Lamiaceae family. Heliyon 2024, 10, e24781. [Google Scholar] [CrossRef]
- Bardarov, K.; Todorova, T.; Miteva, D.; Bardarov, V.; Atanassov, A.; Chankova, S. Preliminary screening for study of the chemical composition of Clinopodium vulgare L. water extract. Compt. Rend. Acad. Bulg. Sci. 2016, 69, 717–725. [Google Scholar]
- Tepe, B.; Sihoglu-Tepe, A.; Daferera, D.; Polissiou, M.; Sokmen, A. Chemical composition and antioxidant activity of the essential oil of Clinopodium vulgare L. Food Chem. 2007, 103, 766–770. [Google Scholar] [CrossRef]
- Chandra, S.; Gahlot, M.; Choudhary, A.N. Scientific evidences of anticancer potential of medicinal plants. Food Chem. Adv. 2023, 2, 100239. [Google Scholar] [CrossRef]
- Kratchanova, M.; Denev, P.; Ciz, M.; Lojek, A.; Mihailov, A. Evaluation of antioxidant activity of medicinal plants containing polyphenol compounds. Comparison of two extraction systems. Acta Biochim. Pol. 2010, 57, 229–234. [Google Scholar] [CrossRef] [PubMed]
- Todorova, T.; Bardarov, K.; Miteva, D.; Bardarov, V.; Atanassov, A.; Chankova, S. DNA-protective activities of Clinopodium vulgare L. extracts. Compt. Rend. Acad. Bulg. Sci. 2016, 69, 1019–1024. [Google Scholar]
- Burk, D.R.; Senechal-Willis, P.; Lopez, L.C.; Hogue, B.G.; Daskalova, S.M. Suppression of lipopolysaccharide-induced inflammatory responses in RAW 264.7 murine macrophages by aqueous extract of Clinopodium vulgare L. (Lamiaceae). J. Ethnopharmacol. 2009, 126, 397–405. [Google Scholar] [CrossRef]
- Amirova, K.M.; Dimitrova, P.; Marchev, A.S.; Aneva, I.Y.; Georgiev, M.I. Clinopodium vulgare L.(wild basil) extract and its active constituents modulate cyclooxygenase-2 expression in neutrophils. Food Chem. Toxicol. 2019, 124, 1–9. [Google Scholar] [CrossRef] [PubMed]
- Dobrev, H.P. Treatment of numerous hand warts with Clinopodium vulgare tea. Wien. Med. Wochenschr. 2021, 171, 82–83. [Google Scholar] [CrossRef] [PubMed]
- Opalchenova, G.; Obreshkova, D. Antibacterial action of extracts of Clinopodium vulgare L. curative plant. Drug Dev. Ind. Pharm. 1999, 25, 323–328. [Google Scholar] [CrossRef] [PubMed]
- Stefanovic, O.; Stankovic, M.S.; Comic, L. In vitro antibacterial efficacy of Clinopodium vulgare L. extracts and their synergistic interaction with antibiotics. J. Med. Plants Res. 2011, 5, 4074–4079. [Google Scholar]
- Karakaş, F.P.; Yildirim, A.; Türker, A. Biological screening of various medicinal plant extracts for antibacterial and antitumor activities. Turk. J. Biol. 2012, 36, 641–652. [Google Scholar] [CrossRef]
- Nasar-Eddin, G.M.; Simeonova, R.; Zheleva-Dimitrova, D.; Gevrenova, R.; Savov, I.; Bardarov, K.; Danchev, N. Beneficial effects of Clinopodium vulgare water extract on spontaneously hypertensive rats. Bulg. Chem. Commun. 2019, 51, 156–160. [Google Scholar]
- Dzhambazov, B.; Daskalova, S.; Monteva, A.; Popov, N. In vitro screening for antitumour activity of Clinopodium vulgare L. (Lamiaceae) extracts. Biol. Pharm. Bull. 2002, 25, 499–504. [Google Scholar] [CrossRef]
- Yumrutaş, Ö.; Pehlivan, M.; Yumrutaş, P.; Kahraman, D. Possible induction of apoptotic and necrotic death pathways in lung cancer cells by Clinopodium vulgare L. and phenolic acids and flavonoids detection by LC-MS-MS. Boletín Latinoam. Caribe Plantas Med. Aromáticas 2024, 23, 740–748. [Google Scholar] [CrossRef]
- Petrova, M.; Dimitrova, L.; Dimitrova, M.; Denev, P.; Teneva, D.; Georgieva, A.; Petkova-Kirova, P.; Lazarova, M.; Tasheva, K. Antitumor and antioxidant activities of in vitro cultivated and wild-growing Clinopodium vulgare L. plants. Plants 2023, 12, 1591. [Google Scholar] [CrossRef]
- Espinosa-Leal, C.A.; Puente-Garza, C.A.; García-Lara, S. In vitro plant tissue culture: Means for production of biological active compounds. Planta 2018, 248, 1–18. [Google Scholar] [CrossRef] [PubMed]
- Murashige, T.; Skoog, F. A revised medium for rapid growth and bioassays with tobacco tissue cultures. Physiol. Plant. 1962, 15, 473–497. [Google Scholar] [CrossRef]
- Singleton, V.L.; Rossi, J.A. Colorimetry of total phenolics with phosphomolybdic-phosphotungstic acid reagents. Am. J. Enol. Vitic. 1965, 16, 144–158. [Google Scholar] [CrossRef]
- Chang, C.C.; Yang, M.H.; Wen, H.M.; Chern, J.C. Estimation of total flavonoid content in propolis by two complementary colometric methods. J. Food Drug Anal. 2002, 10, 3. [Google Scholar] [CrossRef]
- Ou, B.; Hampsch-Woodill, M.; Prior, R.L. Development and validation of an improved oxygen radical absorbance capacity assay using fluorescein as the fluorescent probe. J. Agric. Food Chem. 2001, 49, 4619–4626. [Google Scholar] [CrossRef] [PubMed]
- Ou, B.; Hampsch-Woodill, M.; Flanagan, J.; Deemer, E.K.; Prior, R.L.; Huang, D. Novel Fluorometric Assay for Hydroxyl Radical Prevention Capacity Using Fluorescein as the Probe. J. Agric. Food Chem. 2002, 50, 2772–2777. [Google Scholar] [CrossRef] [PubMed]
- Hartung, T.; Bremer, S.; Casati, S.; Coecke, S.; Corvi, R.; Fortaner, S.; Gribaldo, L.; Halder, M.; Roi, A.J.; Prieto, P.; et al. ECVAM’s response to the changing political environment for alternatives: Consequences of the European Union chemicals and cosmetics policies. Altern. Lab. Anim. 2003, 31, 473–481. [Google Scholar] [CrossRef] [PubMed]
- Mazzotti, F.; Sabbioni, E.; Ghiani, M.; Cocco, B.; Ceccatelli, R.; Fortaner, S. In vitro assessment of cytotoxicity and carcinogenic potential of chemicals: Evaluation of the cytotoxicity induced by 58 metal compounds in the BALB/3T3 cell line. Altern. Lab. Anim. 2001, 29, 601–611. [Google Scholar] [CrossRef]
- Badisa, R.B.; Tzakou, O.; Couladis, M.; Pilarinou, E. Cytotoxic activities of some Greek Labiatae herbs. Phytother. Res. 2003, 17, 472–476. [Google Scholar] [CrossRef]
- Gurgel, A.; da Silva, J.; Grangeiro, A.; Oliveira, D.; Lima, C.; da Silva, A.; Oliveira, R.; Souza, I. In vivo study of the anti-inflammatory and antitumor activities of leaves from Plectranthus amboinicus (Lour.) Spreng (Lamiaceae). J. Ethnopharmacol. 2009, 125, 361–363. [Google Scholar] [CrossRef] [PubMed]
- Rolim, T.; Meireles, D.; Batista, T.; de Sousa, T.; Mangueira, V.; de Abrantes, R.; Pita, J.; Xavier, A.; Costa, V.; Batista, L.; et al. Toxicity and antitumor potential of Mesosphaerum sidifolium (Lamiaceae) oil and fenchone, its major component. BMC Complement. Altern. Med. 2017, 17, 1–12. [Google Scholar]
- Sheremetyeva, A.; Napsheva, A.; Durnova, N. Antitumor activity in vivo of aqueous and alcoholic extracts of Thymus Marschallianus Willd. Pharm. Pharmacol. 2021, 9, 476–484. [Google Scholar] [CrossRef]
- Elmore, S. Apoptosis: A review of programmed cell death. Toxicol. Pathol. 2007, 35, 495–516. [Google Scholar] [CrossRef]
- Li, X.; Liu, C.; Dong, S.L.; Ou, C.S.; Lu, J.L.; Ye, J.H.; Liang, Y.R.; Zheng, X.Q. Anticarcinogenic potentials of tea catechins. Front. Nutr. 2022, 9, 1060783. [Google Scholar] [CrossRef]
- Zheng, X.; Nie, Y.; Gao, Y.; Huang, B.; Ye, J.; Lu, J.; Liang, Y.R. Screening the cultivar and processing factors based on the flavonoid profiles of dry teas using principal component analysis. J. Food Compos. Anal. 2018, 67, 29–37. [Google Scholar] [CrossRef]
- Jung, Y.D.; Ellis, L.M. Inhibition of tumour invasion and angiogenesis by epigallocatechin gallate (EGCG), a major component of green tea. Int. J. Exp. Pathol. 2001, 82, 309–316. [Google Scholar] [CrossRef] [PubMed]
- Fang, W.; Ma, Y.; Wang, J.; Yang, X.; Gu, Y.; Li, Y. In vitro and in vivo antitumor activity of neochlorogenic acid in human gastric carcinoma cells are complemented with ROS generation, loss of mitochondrial membrane potential and apoptosis induction. J. BUON 2019, 24, 221–226. [Google Scholar] [PubMed]
- Sitarek, P.; Kowalczyk, T.; Santangelo, S.; Białas, A.J.; Toma, M.; Wieczfinska, J.; Sliwinski, T.; Skała, E. The extract of Leonurus sibiricus transgenic roots with AtPAP1 transcriptional factor induces apoptosis via DNA damage and down regulation of selected epigenetic factors in human cancer cells. Neurochem. Res. 2018, 43, 1363–1370. [Google Scholar] [CrossRef] [PubMed]
- Rahmani, A.H.; Alsahli, M.A.; Almatroudi, A.; Almogbel, M.A.; Khan, A.A.; Anwa, S.; Almatroodi, S.A. The Potential Role of Apigenin in Cancer Prevention and Treatment. Molecules 2022, 27, 6051. [Google Scholar] [CrossRef] [PubMed]
- Liao, Y.; Xie, X.; Zhang, C.; Zhong, H.; Shan, L.; Yu, P.; Xu, L. Quercetin exerts anti-tumor immune mechanism by regulating IL-6/JAK2/STAT3 signaling pathway to deplete Treg cells. Toxicon 2024, 243, 107747. [Google Scholar] [CrossRef]
- Calderón-Montaño, J.M.; Martínez-Sánchez, S.M.; Jiménez-González, V.; Burgos-Morón, E.; Guillén-Mancina, E.; Jiménez-Alonso, J.J.; Díaz-Ortega, P.; García, F.; Aparicio, A.; López-Lázaro, M. Screening for selective anticancer activity of extracts of plants collected in Western Andalusia, Spain. Plants 2021, 10, 2193. [Google Scholar] [CrossRef] [PubMed]
- Jiménez-González, V.; Benítez, G.; Pastor, J.E.; López-Lázaro, M.; Calderón-Montaño, J.M. Evaluation of anticancer activity of 76 plant species collected in Andalusia (Spain) against lung cancer cells. Plants 2023, 12, 3275. [Google Scholar] [CrossRef] [PubMed]






| Sample | Total Polyphenols, mg GAE/100 g DW | Total Flavonoids, mg RE/100 g DW | ORAC, µmol TE/g DW | HORAC, µmol GAE/g DW |
|---|---|---|---|---|
| in vitro cultured plants | 22402 ± 812 a | 3689 ± 190 a | 6119 ± 195 a | 1538 ± 89 a |
| wild-growing plants | 24957 ± 1011 b | 4694 ± 165 b | 7115 ± 665 b | 2000 ± 101 b |
| Cell Line | In Vitro Plants | Wild Plants | ||
|---|---|---|---|---|
| 24 h | 48 h | 24 h | 48 h | |
| HeLa | 568.7 | 556.6 | 649.7 | 656.9 |
| HepG2 | 977.3 | 461.1 | 924.2 | 740.7 |
| HT-29 | 665.9 | 509.2 | 652.6 | 611.7 |
| MCF-7 | 682.7 | 633.1 | 691.7 | 719.3 |
| HaCaT | ›1000 | 744.0 | ›1000 | 499.5 |
| BALB/3T3 | 816.1 | 716.8 | 821.3 | 759.3 |
Disclaimer/Publisher’s Note: The statements, opinions and data contained in all publications are solely those of the individual author(s) and contributor(s) and not of MDPI and/or the editor(s). MDPI and/or the editor(s) disclaim responsibility for any injury to people or property resulting from any ideas, methods, instructions or products referred to in the content. |
© 2025 by the authors. Licensee MDPI, Basel, Switzerland. This article is an open access article distributed under the terms and conditions of the Creative Commons Attribution (CC BY) license (https://creativecommons.org/licenses/by/4.0/).
Share and Cite
Georgieva, A.; Sulikovska, I.; Toshkova-Yotova, T.; Djeliova, V.; Amiri, S.; Tsonevski, N.; Petkova-Kirova, P.; Tasheva, K. Antitumor Activity of Whole-Plant Extracts from In Vitro Cultured and Wild-Growing Clinopodium vulgare Plants on a Panel of Human Tumor Cell Lines. Appl. Sci. 2025, 15, 925. https://doi.org/10.3390/app15020925
Georgieva A, Sulikovska I, Toshkova-Yotova T, Djeliova V, Amiri S, Tsonevski N, Petkova-Kirova P, Tasheva K. Antitumor Activity of Whole-Plant Extracts from In Vitro Cultured and Wild-Growing Clinopodium vulgare Plants on a Panel of Human Tumor Cell Lines. Applied Sciences. 2025; 15(2):925. https://doi.org/10.3390/app15020925
Chicago/Turabian StyleGeorgieva, Ani, Inna Sulikovska, Tanya Toshkova-Yotova, Vera Djeliova, Sabrina Amiri, Nenad Tsonevski, Polina Petkova-Kirova, and Krasimira Tasheva. 2025. "Antitumor Activity of Whole-Plant Extracts from In Vitro Cultured and Wild-Growing Clinopodium vulgare Plants on a Panel of Human Tumor Cell Lines" Applied Sciences 15, no. 2: 925. https://doi.org/10.3390/app15020925
APA StyleGeorgieva, A., Sulikovska, I., Toshkova-Yotova, T., Djeliova, V., Amiri, S., Tsonevski, N., Petkova-Kirova, P., & Tasheva, K. (2025). Antitumor Activity of Whole-Plant Extracts from In Vitro Cultured and Wild-Growing Clinopodium vulgare Plants on a Panel of Human Tumor Cell Lines. Applied Sciences, 15(2), 925. https://doi.org/10.3390/app15020925

