Sign in to use this feature.

Years

Between: -

Subjects

remove_circle_outline
remove_circle_outline
remove_circle_outline
remove_circle_outline
remove_circle_outline
remove_circle_outline
remove_circle_outline

Journals

Article Types

Countries / Regions

Search Results (8)

Search Parameters:
Keywords = Clinopodium vulgare

Order results
Result details
Results per page
Select all
Export citation of selected articles as:
20 pages, 1482 KB  
Article
Bioactive Potential of Wild Plants from Gardunha Mountain: Phytochemical Characterization and Biological Activities
by Alexandra Coimbra, Eugenia Gallardo, Ângelo Luís, Pedro Dinis Gaspar, Susana Ferreira and Ana Paula Duarte
Molecules 2025, 30(19), 3876; https://doi.org/10.3390/molecules30193876 - 25 Sep 2025
Abstract
The plants used in folk medicine have been increasingly studied to identify their bioactive properties. Therefore, this study aimed to assess the bioactivity of the hydroethanolic extracts of plants collected in Gardunha Mountain, Portugal. Seven abundant and representative wild plants were studied: Cistus [...] Read more.
The plants used in folk medicine have been increasingly studied to identify their bioactive properties. Therefore, this study aimed to assess the bioactivity of the hydroethanolic extracts of plants collected in Gardunha Mountain, Portugal. Seven abundant and representative wild plants were studied: Cistus salviifolius, Clinopodium vulgare, Coincya monensis, Glandora prostrata, Helichrysum stoechas, Rubia peregrina, and Umbilicus rupestris. The phytochemical composition of the extracts was determined by UHPLC-timsTOF-MS and by spectrophotometric methods. The antioxidant, in vitro anti-inflammatory and antimicrobial activity and the biocompatibility of the extracts were tested. The extracts were predominantly composed of flavonoids and phenolic acids, such as gallic acid, neochlorogenic acid and quercetin glycosides. The C. salviifolius extracts demonstrated very strong antioxidant activity related to scavenging free radicals (AAI = 2.84 and 2.93). Regarding antimicrobial activity, the H. stoechas extract exhibited inhibitory effects, particularly against Gram-positive bacteria and yeasts (MIC = 0.008–0.5 mg/mL). The C. monensis, R. peregrina, and U. rupestris extracts showed low cytotoxicity (viability > 70%) in the highest concentration tested. These findings highlight C. salviifolius and H. stoechas as promising sources of novel bioactive compounds, particularly antimicrobials in controlling microbial growth and promoting associated health benefits, and underscore the value of traditional medicinal plants as a guide for pharmacological studies. Full article
Show Figures

Figure 1

18 pages, 3440 KB  
Article
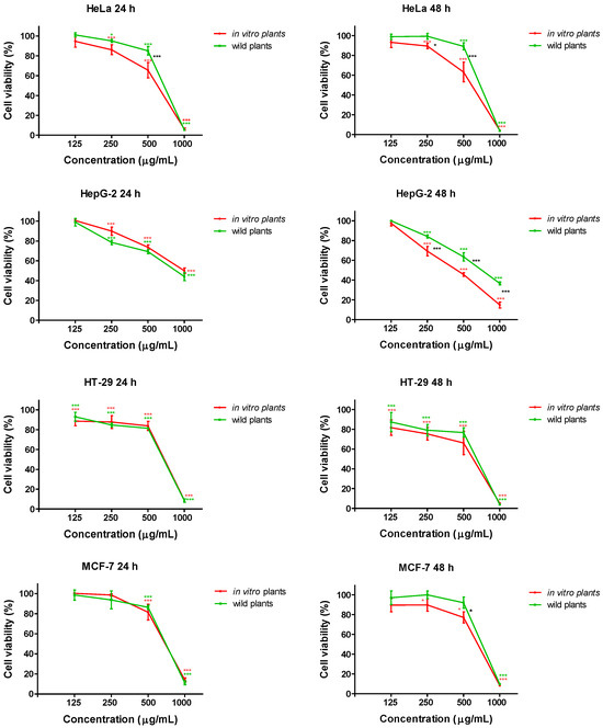
Antitumor Activity of Whole-Plant Extracts from In Vitro Cultured and Wild-Growing Clinopodium vulgare Plants on a Panel of Human Tumor Cell Lines
by Ani Georgieva, Inna Sulikovska, Tanya Toshkova-Yotova, Vera Djeliova, Sabrina Amiri, Nenad Tsonevski, Polina Petkova-Kirova and Krasimira Tasheva
Appl. Sci. 2025, 15(2), 925; https://doi.org/10.3390/app15020925 - 18 Jan 2025
Cited by 3 | Viewed by 1793
Abstract
Clinopodium vulgare L. is a valuable medicinal plant with various beneficial effects on health. In this study, water extracts from the aerial part of the wild and in vitro cultured C. vulgare plants were obtained. The polyphenol, flavonoid content and antioxidant activity of [...] Read more.
Clinopodium vulgare L. is a valuable medicinal plant with various beneficial effects on health. In this study, water extracts from the aerial part of the wild and in vitro cultured C. vulgare plants were obtained. The polyphenol, flavonoid content and antioxidant activity of the extracts as well as their antitumor efficiency against a panel of cell lines were analyzed. The ability of C. vulgare to inhibit cancer cell migration and induce apoptosis in the tumor cells was examined by wound healing assay and fluorescence microscopic methods. The effect of the extracts on the cell cycle progression of the tumor cells was analyzed by flow cytometry. The presented results show that the antitumor activity of the extracts from in vitro cultured plants was similar to and even exceeded that of the wild plants. The cell viability and migration assays demonstrate the selective anticancer effect of the extract and significant inhibition of cancer cell proliferation and motility. The fluorescence microscopy and cell cycle analyses indicate that the antitumor activity of the in vitro plant extract was related to both antiproliferative and proapoptotic effects. These results show that C. vulgare plants obtained by in vitro micropropagation and cultivated ex vitro are promising candidates for anticancer drug therapy. Full article
(This article belongs to the Section Applied Biosciences and Bioengineering)
Show Figures

Figure 1

16 pages, 4459 KB  
Article
Novel Spectroscopic Studies of the Interaction of Three Different Types of Iron Oxide Nanoparticles with Albumin
by Silviya Abarova, Tsenka Grancharova, Plamen Zagorchev, Boris Tenchov and Bissera Pilicheva
Nanomaterials 2024, 14(23), 1861; https://doi.org/10.3390/nano14231861 - 21 Nov 2024
Viewed by 1331
Abstract
In the present work, we studied the interactions of three types of iron oxide nanoparticles (IONPs) with human serum albumin (HSA) by fluorescence and UV-Vis spectroscopy. The determined binding parameters of the reactions and the thermodynamic parameters, including ΔHo, ΔSo, and ΔGo indicated [...] Read more.
In the present work, we studied the interactions of three types of iron oxide nanoparticles (IONPs) with human serum albumin (HSA) by fluorescence and UV-Vis spectroscopy. The determined binding parameters of the reactions and the thermodynamic parameters, including ΔHo, ΔSo, and ΔGo indicated that electrostatic forces play a major role in the interaction of IONPs with HSA. These measurements indicate a fluorescent quenching mechanism based on IONPs-HSA static complex formation. Our study shows that the interaction between HSA and IONPs depends on the nanoparticle structure. The interaction between IONPs and HSA was found to be spontaneous, exothermic, and entropy-driven. HSA was shown to interact moderately with IONPs obtained with plant extracts of Uncaria tomentosa L. (IONP@UT) and Clinopodium vulgare L. (IONP@CV), and firmly with IONPs prepared with Ganoderma lingzhi (Reishi) extract (IONP@GL), via ground-state association. Analysis by modified Stern-Volmer approximation indicates that the quenching mechanism is static. Our study significantly improves our understanding of the mechanisms of interaction, distribution, and transport involved in the interaction between proteins and IONPs. It provides crucial insights into the functional perturbations of albumin binding capacity and the effects of IONPs on the stability and structural modifications of plasma carrier proteins. Full article
Show Figures

Figure 1

21 pages, 2174 KB  
Article
Extracts of Sideritis scardica and Clinopodium vulgare Alleviate Cognitive Impairments in Scopolamine-Induced Rat Dementia
by Maria Lazarova, Elina Tsvetanova, Almira Georgieva, Miroslava Stefanova, Diamara Uzunova, Petko Denev, Valya Vassileva and Krasimira Tasheva
Int. J. Mol. Sci. 2024, 25(3), 1840; https://doi.org/10.3390/ijms25031840 - 2 Feb 2024
Cited by 6 | Viewed by 2614
Abstract
Sideritis scardica Griseb. and Clinopodium vulgare L., belonging to the Lamiaceae family, are rich in terpenoids and phenolics and exhibit various pharmacological effects, including antioxidant, anti-inflammatory and anti-cancer activities. While the memory-enhancing impacts of S. scardica are well documented, the cognitive benefits of [...] Read more.
Sideritis scardica Griseb. and Clinopodium vulgare L., belonging to the Lamiaceae family, are rich in terpenoids and phenolics and exhibit various pharmacological effects, including antioxidant, anti-inflammatory and anti-cancer activities. While the memory-enhancing impacts of S. scardica are well documented, the cognitive benefits of C. vulgare remain unexplored. This study assessed the potential effect of C. vulgare on learning and memory in healthy and scopolamine (Sco)-induced memory-impaired male Wistar rats, comparing it with the effects of S. scardica. Over a 21-day period, rats orally received extracts of cultivated S. scardica (200 mg/kg) and C. vulgare (100 mg/kg), either individually or in combination, with administration starting 10 days before and continuing 11 days simultaneously with Sco injection at a dose of 2 mg/kg intraperitoneally. The results showed that both extracts effectively mitigated Sco-induced memory impairment. Their combination significantly improved recognition memory and maintained monoaminergic function. S. scardica excelled in preserving spatial working memory, while C. vulgare exhibited comparable retention of recognition memory, robust antioxidant activity and acetylcholinesterase inhibitory activity. The extracts alleviated Sco-induced downregulation of p-CREB/BDNF signaling, suggesting neuroprotective mechanisms. The extract combination positively affected most of the Sco-induced impairments, underscoring the potential for further investigation of these extracts for therapeutic development. Full article
(This article belongs to the Special Issue Application of Natural Products in Biomedicine and Pharmacotherapy)
Show Figures

Figure 1

12 pages, 2923 KB  
Article
Synthesis and Characterization of Zinc Oxide Nanoparticles at Different pH Values from Clinopodium vulgare L. and Their Assessment as an Antimicrobial Agent and Biomedical Application
by Hajira Arif, Sidra Qayyum, Wasim Akhtar, Iram Fatima, Waqas Khan Kayani, Khursheed Ur Rahman, Wedad A. Al-Onazi, Amal M. Al-Mohaimeed, Naila Khan Bangash, Nasra Ashraf, Sarah Abdul Razak, Asif Kamal and Sajid Ali
Micromachines 2023, 14(7), 1285; https://doi.org/10.3390/mi14071285 - 23 Jun 2023
Cited by 14 | Viewed by 2679
Abstract
The current study attempts to evaluate the formation, morphology, and physico-chemical properties of zinc oxide nanoparticles (ZnO NPs) synthesized from Clinopodium vulgare extract at different pH values and to investigate their antimicrobial and biomedical application potential. The reduction of zinc ions to ZnO [...] Read more.
The current study attempts to evaluate the formation, morphology, and physico-chemical properties of zinc oxide nanoparticles (ZnO NPs) synthesized from Clinopodium vulgare extract at different pH values and to investigate their antimicrobial and biomedical application potential. The reduction of zinc ions to ZnO NPs was determined by UV spectra, which revealed absorption peaks at 390 nm at pH 5 and 348 nm at pH 9, respectively. The spherical morphology of the nanoparticles was observed using scanning electron microscopy (SEM), and the size was 47 nm for pH 5 and 45 nm for pH 9. Fourier-transformed infrared spectroscopy (FTIR) was used to reveal the presence of functional groups on the surface of nanoparticles. The antibacterial activity was examined against Staphylococcus aureus, Streptococcus pyogenes, and Klebsiella pneumonia via the agar-well diffusion method. Comparatively, the highest activities were recorded at pH 9 against all bacterial strains, and among these, biogenic ZnO NPs displayed the maximum inhibition zone (i.e., 20.88 ± 0.79 mm) against S. aureus. ZnO NPs prepared at pH 9 exhibited the highest antifungal activity of 80% at 25 mg/mL and antileishmanial activity of 82% at 400 mg/mL. Altogether, ZnO NPs synthesized at pH 9 show promising antimicrobial potential and could be used for biomedical applications. Full article
Show Figures

Figure 1

16 pages, 3595 KB  
Article
Antitumor and Antioxidant Activities of In Vitro Cultivated and Wild-Growing Clinopodium vulgare L. Plants
by Maria Petrova, Lyudmila Dimitrova, Margarita Dimitrova, Petko Denev, Desislava Teneva, Ani Georgieva, Polina Petkova-Kirova, Maria Lazarova and Krasimira Tasheva
Plants 2023, 12(8), 1591; https://doi.org/10.3390/plants12081591 - 9 Apr 2023
Cited by 14 | Viewed by 3763
Abstract
Clinopodium vulgare L. is a valuable medicinal plant used for its anti-inflammatory, antibacterial and wound-healing properties. The present study describes an efficient protocol for the micropropagation of C. vulgare and compares, for the first time, the chemical content and composition and antitumor and [...] Read more.
Clinopodium vulgare L. is a valuable medicinal plant used for its anti-inflammatory, antibacterial and wound-healing properties. The present study describes an efficient protocol for the micropropagation of C. vulgare and compares, for the first time, the chemical content and composition and antitumor and antioxidant activities of extracts from in vitro cultivated and wild-growing plants. The best nutrient medium was found to be Murashige and Skoog (MS) supplemented with 1 mg/L BAP and 0.1 IBA mg/L, yielding on average 6.9 shoots per nodal segment. Flower aqueous extracts from in vitro plants had higher total polyphenol content (29,927.6 ± 592.1 mg/100 g vs. 27,292.8 ± 85.3 mg/100 g) and ORAC antioxidant activity (7281.3 ± 82.9 µmol TE/g vs. 7246.3 ± 62.4 µmol TE/g) compared to the flowers of wild plants. HPLC detected qualitative and quantitative differences in phenolic constituents between the in vitro cultivated and wild-growing plants’ extracts. Rosmarinic acid was the major phenolic constituent, being accumulated mainly in leaves, while neochlorogenic acid was a major compound in the flowers of cultivated plants. Catechin was found only in cultivated plants, but not in wild plants or cultivated plants’ stems. Aqueous extracts of both cultivated and wild plants showed significant in vitro antitumor activity against human HeLa (cervical adenocarcinoma), HT-29 (colorectal adenocarcinoma) and MCF-7 (breast cancer) cell lines. The best cytotoxic activity against most of the cancer cell lines, combined with the least detrimental effects on a non-tumor human keratinocyte cell line (HaCaT), was shown by the leaf (250 µg/mL) and flower (500 µg/mL) extracts of cultivated plants, making cultivated plants a valuable source of bioactive compounds and a suitable candidate for anticancer therapy. Full article
(This article belongs to the Special Issue Production of Secondary Metabolites In Vitro)
Show Figures

Figure 1

13 pages, 543 KB  
Article
Antibacterial Activity and Epigenetic Remodeling of Essential Oils from Calabrian Aromatic Plants
by Patrizia D’Aquila, Ersilia Paparazzo, Michele Crudo, Sonia Bonacci, Antonio Procopio, Giuseppe Passarino and Dina Bellizzi
Nutrients 2022, 14(2), 391; https://doi.org/10.3390/nu14020391 - 17 Jan 2022
Cited by 21 | Viewed by 4023
Abstract
Natural compounds have historically had a wide application in nutrition. Recently, a fundamental role has been identified for essential oils extracted from aromatic plants for their nutritional, antimicrobial, and antioxidant properties, and as food preservatives. In the present study, essential oils (EOs) from [...] Read more.
Natural compounds have historically had a wide application in nutrition. Recently, a fundamental role has been identified for essential oils extracted from aromatic plants for their nutritional, antimicrobial, and antioxidant properties, and as food preservatives. In the present study, essential oils (EOs) from ten aromatic plants grown in Calabria (Italy), used routinely to impart aroma and taste to food, were evaluated for their antibacterial activity. This activity was investigated against Escherichia coli strain JM109, and its derived antibiotic-resistant cells selected by growing the strain at low concentrations of ampicillin, ciprofloxacin, and gentamicin by measuring the minimum inhibitory concentration (MIC) and the minimum bactericidal concentration (MBC). Although all the essential oils showed bactericidal activity, those from Clinopodium nepeta, Origanum vulgare, and Foeniculum vulgare displayed the greatest inhibitory effects on the bacterial growth of all cell lines. It is plausible that the antibacterial activity is mediated by epigenetic modifications since the tested essential oils induce methylation both at adenine and cytosine residues in the genomes of most cell lines. This study contributes to a further characterization of the properties of essential oils by shedding new light on the molecular mechanisms that mediate these properties. Full article
(This article belongs to the Special Issue Effects of Dietary Interventions on DNA Methylation during Lifecycle)
Show Figures

Graphical abstract

20 pages, 3890 KB  
Article
An Integrative Study on Asphondylia spp. (Diptera: Cecidomyiidae), Causing Flower Galls on Lamiaceae, with Description, Phenology, and Associated Fungi of Two New Species
by Umberto Bernardo, Francesco Nugnes, Simona Gargiulo, Rosario Nicoletti, Andrea Becchimanzi, Adriano Stinca and Gennaro Viggiani
Insects 2021, 12(11), 958; https://doi.org/10.3390/insects12110958 - 21 Oct 2021
Cited by 7 | Viewed by 3477
Abstract
An integrative study on some species of Asphondylia was carried out. Two species of gall midges from Italy, Asphondylia rivelloi sp. nov. and Asphondylia micromeriae sp. nov. (Diptera: Cecidomyiidae), causing flower galls respectively on Clinopodium vulgare and Micromeria graeca (Lamiaceae), are described and [...] Read more.
An integrative study on some species of Asphondylia was carried out. Two species of gall midges from Italy, Asphondylia rivelloi sp. nov. and Asphondylia micromeriae sp. nov. (Diptera: Cecidomyiidae), causing flower galls respectively on Clinopodium vulgare and Micromeria graeca (Lamiaceae), are described and illustrated. The characteristics of each developmental stage and induced galls are described, which allowed the discrimination of these new species in the complex of Asphondylia developing on Lamiaceae plants. Molecular data based on sequencing both nuclear (ITS2 and 28S-D2) and mitochondrial (COI) genes are also provided in support of this discrimination. Phylogeny based on nuclear markers is consistent with the new species, whereas COI phylogeny suggests introgression occurring between the two species. However, these species can also be easily identified using a morphological approach. Phenology of host plants and gall midges are described, and some peculiar characteristics allow the complete and confident discrimination and revision of the treated species. Gall-associated fungi were identified as Botryosphaeria dothidea,Alternaria spp., and Cladosporium spp. Full article
(This article belongs to the Special Issue Diptera Diversity in Space and Time)
Show Figures

Figure 1

Back to TopTop