Next Article in Journal
Smart Manufacturing Application in Precision Manufacturing
Next Article in Special Issue
InSAR-RiskLSTM: Enhancing Railway Deformation Risk Prediction with Image-Based Spatial Attention and Temporal LSTM Models
Previous Article in Journal
Integrating Environmental Data for Mental Health Monitoring: A Data-Driven IoT-Based Approach
Previous Article in Special Issue
Influence of the Oxide Layer Thickness on the Behavior of the Electrical Wheel–Rail Contact in Static Conditions
 
 
Font Type:
Arial Georgia Verdana
Font Size:
Aa Aa Aa
Line Spacing:
Column Width:
Background:
Article

A Method for Constructing a Synthesis Health Index for Metro Vehicle Wheelsets

Vehicle and Transportation Engineering of College of Transportation Engineering, Tongji University, Shanghai 201804, China
*
Author to whom correspondence should be addressed.
Appl. Sci. 2025, 15(2), 914; https://doi.org/10.3390/app15020914
Submission received: 13 December 2024 / Revised: 12 January 2025 / Accepted: 13 January 2025 / Published: 17 January 2025

Abstract

This study focuses on the construction of a synthesis health index for metro vehicle wheelsets through theoretical foundation analysis, procedural steps, and practical examples. By analyzing the theoretical foundation, this study explains the advantages of the synthesis health index compared to traditional health indicators. The procedural steps describe the detailed process from data collection, preprocessing, and feature extraction to health index construction. Additionally, practical examples are used to validate the effectiveness and accuracy of this method in real-world applications. The results indicate that this synthesis health index construction method can accurately assess the real-time health status of in-service wheelsets and also reflect and predict the trends of their health status changes.

1. Introduction

As urbanization rapidly progresses in China, subways, a vital part of modern urban rail transit, are expanding in both scale and operational mileage. The components of metro vehicles directly influence the safety, reliability, and comfort of train operations. Among these components, wheelsets play a critical role as they support the train’s weight and guide its movement. Any deterioration in the health status of wheelsets can significantly impact the train’s stability, noise levels, and overall service life. Therefore, ensuring the health of wheelsets is crucial for the safe operation of metro systems.
At present, the monitoring of metro vehicle wheelset health is primarily carried out through periodic manual inspections and static monitoring systems located at fixed points. However, these traditional methods face limitations, such as infrequent inspections, limited real-time monitoring capabilities, and insufficient accuracy. These shortcomings make traditional approaches unsuitable for modern metro operations, which require high-frequency monitoring and the capacity to handle large volumes of data. Recently, advances in sensor technology, wireless communication, the Internet of Things (IoT), and artificial intelligence have spurred the development of dynamic, intelligent monitoring methods. These methods aim to continuously assess the health of wheelsets and provide real-time alerts for potential failures.
Internationally, several research teams have proposed various methods for monitoring wheelset health. For example, Li et al. [1] developed an intelligent system based on deep learning algorithms that can analyze and predict wheelset health status in real-time. Similarly, Zhou [2] introduced a health status prediction method using deep learning, achieving high accuracy in fault detection using sensor data. Despite these advancements, existing methods are limited in their ability to construct comprehensive health status indicators and effectively integrate dynamic data for analysis. Specifically, there is a notable gap in research regarding the handling of multi-source, multi-dimensional data to derive a more representative synthesis health index (SHI).
This study addresses these gaps by proposing a new method for constructing a comprehensive health index to evaluate the health status of metro vehicle wheelsets. This method integrates multi-source data from various sensors to form a more accurate and reliable health assessment. Unlike traditional methods such as Principal Component Analysis (PCA), which excels in linear data handling but struggles with non-linearity, the proposed method can better capture complex relationships within the data. Additionally, while neural networks offer explicit metrics for health status prediction, they tend to operate as black-box models, lacking interpretability. In contrast, our method offers a more transparent approach, providing clearer insights into the factors influencing wheelset health.
The findings of this research demonstrate that the proposed method significantly enhances the accuracy and timeliness of wheelset health monitoring, offering more reliable technical support for the safe operation of urban rail transit. This approach provides a practical solution for addressing the real-time and accuracy challenges currently faced in wheelset health status monitoring, positioning it as a more effective tool for modern metro systems.

2. Research Status on the Construction Method for the Synthesis Health Index of Metro Vehicle Wheelsets

The health index (HI) is a statistical or quantitative metric that describes the health status of a studied object and reflects its dynamic performance degradation trend. The accuracy of its construction significantly influences the prediction of the system’s Remaining Useful Life (RUL) [3].
Based on different construction methods, the HI can be categorized into two types [4]: the physics health index (PHI) and the SHI, the latter of which is also referred to as the virtual health index (VHI). For certain devices or systems, a specific characteristic may dominate the degradation features; in other words, the degradation characteristics of the studied object can be represented by a single sensor parameter. In such cases, this dominant characteristic can serve as the PHI for that object. For example, the wheel diameter of a wheelset may be considered the PHI for assessing the wear status of the wheelset’s diameter. However, relying solely on the PHI may overlook the influence of other characteristics on wheel diameter wear. In contrast, the SHI is constructed by integrating multiple PHIs or multi-sensor parameters, allowing for a more comprehensive assessment of the wheelset’s health status.
The SHI is primarily constructed through data fusion methods that integrate multi-dimensional signals into a single SHI, mathematically expressed as x ( t ) f ( · ) h ( t ) , where x ( t ) represents the state data at time t, h ( t ) is the SHI to be constructed at time t, and f ( · ) denotes the data fusion function. The primary methods for constructing the SHI include Principal Component Analysis (PCA), Self-Organizing Maps (SOMs), linear regression, statistical distance-based SHI construction methods, and neural networks.
PCA, a widely used method for data dimensionality reduction, is often employed in constructing the SHI. Liu et al. [5] developed an SHI for milling cutters based on PCA, considering both distance similarity and spatial direction similarity. Widodo et al. [6] utilized PCA to reduce feature dimensions and then calculated the deviation between the unknown state of bearings and their healthy state as the SHI. Zhang et al. [7] extracted three principal components from multi-dimensional data of bearings, including temperature, torque, and vibration, using PCA. They subsequently integrated these three components through Support Vector Data Description to track degradation states and detect early faults. Additionally, Kernel Principal Component Analysis (KPCA), an extension of PCA, has been employed to construct the SHI. Schwartz et al. [8] automatically developed the SHI based on KPCA and adaptive fusion rules, validated through the 2008 PHM Challenge.
SOMs are also widely utilized in the construction of the SHI. Lei et al. [9] integrated multiple features of bearing vibration signals using SOMs, creating an SHI referred to as the “Weighted Minimum Quantization Error”.
Linear regression (LR) models are employed to fuse multi-dimensional data from failed systems and to convert monitoring data from in-service machines into the SHI. LR models are generally preferred over logistic regression for maintaining the system’s initial degradation state [10]. Ochella et al. [11] trained the potential fault interval factor as the target SHI for the LR model. Yang et al. [12] utilized the LR model to construct the SHI for aircraft engines. Typically, SHIs derived from regression contain noise, which can be reduced through smoothing and fitting operations.
The key aspect of SHI construction methods based on statistical distance is the normalization of each dimension of the vectors. Wang [13] constructed an SHI based on Hotelling’s T2 and performed RUL prediction for bearings. Kumar et al. [14] extracted statistical features from the wavelet coefficients of denoised bearing signals, employing Singular Value Decomposition and Kernel Fisher Discriminant Analysis for feature selection, ultimately constructing the SHI based on the Mahala nobis distance using the selected features.
Neural networks, owing to their nonlinear fusion capabilities, are employed to construct the SHI. Fu et al. [15] developed a time-series memory Auto Encoder (AE) that enhances SHI representation by sequentially updating reconstructions to capture temporal dependencies. Qin et al. [16] proposed a supervised multi-head self-attention network that improved the monotonicity and robustness of the SHI, along with an unsupervised model for SHI extraction. Ma et al. [17] conducted multi-health index fusion and health status estimation for lithium batteries using a hybrid network composed of Transfer Learning, Deep Belief Networks (DBNs), and Long Short-Term Memory (LSTM). Guo et al. [18] introduced a Recurrent Neural Network-based health index (RNN-HI) for bearing RUL prediction. Mao et al. [19] extracted representative features of data under different working conditions and constructed the SHI using multi-scale domain adversarial neural networks.
The SHI not only considers the degradation trends of individual feature parameters but also integrates the interactions and influences among different features, enabling a more comprehensive and accurate representation of the overall health status of wheelsets. Consequently, the SHI holds greater value in RUL prediction, offering more reliable and precise predictive results.

3. The Construction Process of the Synthesis Health Index for Metro Vehicle Wheelsets

The construction process of the SHI for metro vehicle wheelsets primarily includes the following steps:
Step 1: Training and Testing Set Division. The dynamic detection data of metro vehicle wheelset profiles are randomly divided into training and testing sets, which are used for model construction and the validation of model efficacy, respectively.
Step 2: Dimension Reduction. This step includes feature selection, normalization, and dimensionality reduction. First, feature selection is employed to identify parameters that reflect changes in the wheelset health status. Since the selected features still exhibit high dimensionality, standardization is applied to unify the units and limit the range of values. Subsequently, further dimensionality reduction is achieved by projecting the high-dimensional data into a lower-dimensional space using KPCA.
Step 3: Outlier Removal. An isolation forest is utilized to eliminate outliers from the reduced-dimensional data, thereby minimizing their impact on health status classification.
Step 4: Health Status Classification. The reduced-dimensional data are classified using hierarchical clustering, with health statuses defined according to the resulting categories. Further subdivisions of these categories are made based on the advantages of hierarchical clustering.
Step 5: SHI Construction Using the Geometric Center of Healthy Categories as a Baseline. The geometric center points of the subdivided healthy categories are used as the baseline to calculate a one-dimensional SHI for the metro vehicle wheelset based on Euclidean distance.
Step 6: SHI Smoothing and Performance Evaluation. The constructed SHI is smoothed and evaluated based on its monotonicity, trend, robustness, and recognizability.
The construction process of the synthesis health index for metro vehicle wheelsets is shown in Figure 1.

3.1. Dimension Reduction of Metro Vehicle Wheelset Data

The dynamic detection profile data of metro vehicle wheelsets exhibit high dimensionality. Conducting dimensionality reduction is crucial; it not only eliminates noise and redundancy unrelated to the wheelsets’ health status, thereby enhancing data quality, but also reduces computational costs, thereby facilitating data visualization and understanding.

3.1.1. Feature Selection of Metro Vehicle Wheelset Data

Common feature selection methods can be categorized into three groups: filtering, wrapper, and embedded methods. The filtering method evaluates and selects features based solely on the intrinsic properties of the data, independent of any subsequent training models. In comparison to the wrapper and embedded methods, utilizing filtering for feature selection in metro vehicle wheelset profile data does not necessitate multiple rounds of model training, thereby enhancing computational efficiency.
Choosing an appropriate feature evaluation criterion is the key aspect of the filtering method. This paper combines monotonicity, trend, and robustness for feature selection.
(1)
Monotonicity
The calculation method for assessing the monotonicity of metro vehicle wheelset features is presented in Equation (1):
M X = 1 n 1 | x X ( d d x > 0 ) x X ( d d x < 0 ) |
In this equation, X = ( x i ) i = 1 : n represents the time series of a specific feature for the metro vehicle wheelset, x i denotes the value of this feature at time i , and n indicates the length of the feature sequence. d d x = x i + 1 x i represents the derivative of this sequence. M X is used to measure the absolute difference between the positive and negative derivatives in the sequence X , with a value range of [0, 1]. A larger value indicates a stronger monotonicity.
(2)
Trend
Trend is assessed by the correlation coefficient between the features of metro vehicle wheelsets and time. Commonly used correlation coefficients include the Pearson and Spearman correlation coefficients.
Metro vehicle wheelsets frequently exhibit nonlinear degradation trends and significant fluctuations, rendering the Pearson correlation coefficient unsuitable. The Spearman correlation coefficient, a non-parametric method, considers the ranking of variables within their respective sequences rather than their actual values. Consequently, it is sensitive to nonlinear relationships and less influenced by outliers. This paper employs the Spearman correlation coefficient as the trend indicator:
S X , T = 1 n i = 1 n ( R ( x i ) R ( x ) ¯ ) × ( R ( t i ) R ( t ) ¯ ) ( 1 n 1 n ( R ( x i ) R ( x ) ¯ ) 2 ) × ( 1 n 1 n ( R ( t i ) R ( t ) ¯ ) 2 )
In this equation, R ( x i ) and R ( t i ) represent the ranks of x i and t i within their respective data sequences, while R ( x ) ¯ and R ( t ) ¯ denote the average ranks of sequences X and time T . The value of S X , T ranges from −1 to 1; when S X , T approaches either 1 or −1, it indicates a strong positive or negative correlation between X and T .
(3)
Robustness
The robustness of metro vehicle wheelset features is defined as follows [20]:
R X = i = 1 n exp ( | r x i x i | ) n
In this equation, r x i = x i x i ^ represents the residual of SHI at x i , while x i ^ denotes the average trend value of SHI at x i , typically obtained through smoothing.
By integrating monotonicity, trend, and robustness, the criteria for feature selection in metro vehicle wheelsets are established:
F ( X ) = ω 1 M X + ω 2 S X , T + ω 3 R X
In this equation, ω > 0 ,   i = 1 3 ω 1 = 1 . When the value of F C increases, it indicates that the feature should be selected more strongly.

3.1.2. Data Normalization of Metro Vehicle Wheelsets

After feature selection, dimensionality reduction techniques can be employed to further decrease the data’s dimensionality. However, prior to applying dimensionality reduction, the data must first be normalized. The two most commonly used normalization methods are Z-Normalization and Min–Max Normalization.
Z-normalization helps eliminate differences in measurement units among various parameters of the wheelset profile data. Min–Max normalization constrains the data range, enabling all variables to be represented on the same scale, thereby enhancing subset representation [8]. In this paper, we first apply Z-normalization, followed by Min–Max normalization.
The wheelset profile data exhibit a time series: X = ( x i ) i = 1 : n . The time series of the data after normalization is Y = ( y i ) i = 1 : n . The calculation formula for Z-normalization is:
y i = x i μ ( X ) σ ( X )
In this equation, μ ( X ) represents the mean of the sequence and σ ( X ) denotes the standard deviation of the sequence.
The calculation formula for Min–Max normalization is:
y i = x i min ( X ) max ( X ) min ( X )
In this equation, min ( X ) and max ( X ) represent the minimum and maximum values in the sequence, respectively.

3.1.3. Feature Dimensionality Reduction of Metro Vehicle Wheelsets

The wheelset profile data of metro vehicles exhibit nonlinear relationships, making traditional linear dimensionality reduction methods less effective. KPCA employs kernel methods that are effective in addressing high-dimensional datasets with nonlinear relationships [21]. Therefore, this paper utilizes KPCA for the dimensionality reduction of the wheelset profile data.
The relative size of the eigenvalues λ i can explain the variance in the kernel space. In this study, the contribution rate of each principal component is calculated based on the relative magnitudes of the eigenvalues:
C o n t r i k = λ k i = 1 m λ i × 100 %
The cumulative contribution proportion (CCP) of multiple principal components can be calculated. Once it exceeds the specified threshold, the number of principal components can be determined:
C C P = i = 1 N o . o f . P C C o n t r i i
While KPCA is well-suited for handling complex, nonlinear relationships, it is important to compare it with other methods such as t-SNE and autoencoders. t-SNE excels in visualizing high-dimensional data, but it is computationally expensive and less suitable for large datasets. Autoencoders, though powerful for nonlinear feature extraction, require large amounts of training data and lack the interpretability offered by KPCA.
In this study, KPCA was chosen due to its ability to effectively capture nonlinearities while maintaining computational efficiency and interpretability, making it the most appropriate method for dimensionality reduction in the wheelset profile data.

3.2. Outlier Removal Based on Isolation Forest for Dimensionality-Reduced Data

After dimensionality reduction, some data points with low density and relative isolation may persist, potentially affecting subsequent clustering. Unlike anomaly detection algorithms designed for time series data, the Isolation Forest (iForest) algorithm [22] can identify outliers that are sparsely distributed and distant from high-density clusters in the feature space. Therefore, this paper employs iForest to remove outliers from the dimensionality-reduced data.
iForest isolates and identifies outliers using decision trees by randomly and recursively partitioning the data space to separate the outliers.
iForest is based on decision trees to isolate and identify outliers. By recursively splitting the data space through random partitioning, outliers are isolated. For a given dataset, the process begins by randomly selecting a feature and then choosing a split threshold between the maximum and minimum values of the feature. All values in the dataset less than or equal to the chosen threshold are assigned to the left subtree, while values greater than the threshold are assigned to the right subtree. This process of recursive splitting continues until one of the following conditions is met:
(a)
The tree reaches the maximum depth h l i m .
(b)
There is only one sample left at the node.
(c)
All feature values of the samples at the node are identical.
The path length at which each point is isolated in the tree serves as the basis for its anomaly score. Let the number of edges traversed by a sample in the tree be denoted as h l i m and the calculation of the path length be as follows:
Step 1: If the node is a leaf node, it means the sample has reached its corresponding partition. Return the number of traversed edges as the path length.
Step 2: If the path length reaches or exceeds the tree’s height limit, return the path length as the value e + c ( T . s i z e ) .
Step 3: Otherwise, based on the split threshold, recursively search within the subtrees. If the value of the sample is less than or equal to the threshold, move to the left subtree; otherwise, move to the right subtree. Repeat Steps 1 and 2 until the path length is returned.
The path length where isolation in the isolation tree fails to be found can be treated as a correction value. The calculation of this correction value is as follows:
c ( n ) = { 2 H ( n 1 ) 2 ( n 1 ) n , n > 2 1 , n = 2 0 , o t h e r w i s e
The number of edges a sample traverses to reach the leaf node is not only related to the sample itself but also to the tree’s h l i m and the sample’s subset. Therefore, iForest maps the number of edges to the range [0, 1] and defines the anomaly score of the sample as follows:
s ( x , n ) = 2 E ( h ( x ) ) c ( n )

3.3. Classification of Metro Vehicle Wheelset Health States Based on Hierarchical Clustering

Metro vehicle wheelset failures represent typical cases of degradation failure, with distinct characteristics exhibited at different degradation stages. This study employs clustering algorithms to categorize the metro vehicle wheelset contour data into multiple classes, with each class corresponding to a different health state of the wheelset.
Before clustering, the number of health states present in the metro vehicle wheelset cannot be determined. Therefore, clustering algorithms that require a predetermined number of clusters, such as k-means and KNN, are unsuitable for this scenario. The hierarchical clustering (HC) algorithm does not require a predetermined number of clusters, is computationally straightforward, and is highly adaptable. Thus, this study employs an agglomerative hierarchical clustering algorithm to classify the health states of metro vehicle wheelsets, following the computational steps outlined below:
Step 1: Initialization. Initially, each data point is treated as an individual cluster; therefore, if there are N data points, there will be N clusters.
Step 2: Calculate the distances between all pairs of clusters. Using the selected distance metric, compute the distances for all possible pairs of clusters and store the results in a distance matrix.
Step 3: Iterative merging. Identify the two closest clusters in the distance matrix and merge them into a new cluster. Then, update the distance matrix to reflect the distances between the new cluster and the remaining clusters.
Step 4: Termination condition. Continue iterating until all data points are merged into a single cluster, resulting in the formation of a dendrogram.
Step 5: Select truncation. If necessary, choose a level to truncate the dendrogram, thereby determining the final number of clusters.
Assuming there are data to be classified, we represent them with an m × n matrix X . The distance between two vectors x i and x j is represented using Euclidean distance:
d = ( x i x j ) ( x i x j )
Assuming there are two clusters, denoted as cluster_a and cluster_b, containing n a and n b members, respectively, with x a ¯ and x b ¯ representing the centroids of these clusters. The Ward-linkage between a and b is calculated as follows:
d w a r d ( a , b ) = 2 n a n b n a + n b   x a ¯ x b ¯ 2
The HC classification process ultimately generates a dendrogram, often referred to as a binary tree. By applying specific pruning rules to this binary tree, the final classification results can be obtained. Commonly used pruning criteria include the “inconsistency coefficient” and the “maximum number of classifications”.
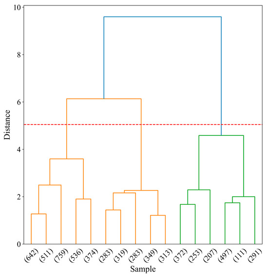
Figure 2 illustrates the use of the maximum number of classifications to derive results from the dendrogram. However, this approach requires a prior decision on how many categories the data should be divided into, which undermines one of the key advantages of hierarchical clustering. Furthermore, when the exact number of health state categories for the metro vehicle wheelsets is unclear, this method introduces a certain degree of subjectivity.
In the figure, the orange color represents the first cluster of hierarchical clustering, the blue color represents the second cluster, and the green color represents the third cluster.
To derive results from the dendrogram based on the inconsistency coefficient, it is essential to first determine the depth d , which determines how many layers of information will be considered in the calculation of the inconsistency coefficient. The depth d specifies the number of hierarchical levels to be evaluated, allowing for the assessment of differences in linkage heights between different layers. Specifically, the inconsistency coefficient is used to compare the height relationships between the current linkage and adjacent linkages in the next layer, thereby reflecting the clustering consistency across different levels.
Typically, d is set to 2, meaning the height relationships between the current linkage and the next layer’s linkages are compared. Choosing d = 2 strikes a balance between capturing relevant hierarchical structure and maintaining computational simplicity. By examining the second layer of the dendrogram, significant differences in linkage heights are often revealed, which can indicate potential clusters. Let m represent the number of linkages involved in calculating the inconsistency coefficient and let h i denote the height of a particular linkage for which the inconsistency coefficient is to be computed, while the remaining heights correspond to the linkages in the next layer. The formula for calculating the inconsistency coefficient is as follows:
i c = h i h t ¯ σ
In the equation, h t ¯ represents the mean of all linkages involved in the calculation, while σ denotes their standard deviation.
As the inconsistency coefficient increases, it indicates greater differences among the clusters at this level. In other words, clustering may not be appropriate at this stage, suggesting that the data should naturally separate. After classification, further subdivisions can be conducted based on the dendrogram of a specific class, highlighting a key feature of the hierarchical clustering algorithm’s flexibility.

3.4. Construction of SHI and Health Status Assessment for Metro Vehicle Wheelsets Based on Similarity Analysis

3.4.1. SHI Construction Based on Health Class Centers

If a wheel has failed during the maintenance cycle, it indicates that there are Run to Failure (RtF) data for that wheel. Therefore, for training samples containing RtF data, it is essential that both failure data and healthy data are present across all classes generated by HC.
This study proposes using the geometric center C h of the healthy class as the baseline for calculating the health factor.
The geometric center C h of the healthy class is represented as a 1 × m vector, where m denotes the dimensionality of the data used for the clustering analysis. Assuming the total number of samples is n , the data for the i-th sample, after dimensionality reduction, is represented as an l i × m matrix denoted by R , with l i indicating the lifespan of sample i . Based on the distance between R and C h , a composite health factor H i ( l i ) can be generated, where i = 1 , 2 , , n ,   l i = 1 , 2 , , L i . The calculation formula employs the Euclidean distance:
H i ( l i ) = ( R l i C h ) ( R l i C h )
Qualitatively, a larger value of the SHI indicates a greater distance from the geometric center of the healthy class, suggesting that the health status of the wheelset is deteriorating.

3.4.2. Health Status Assessment of Test Samples

The health status assessment of test samples, specifically the wheelsets of subway vehicles still in service, is conducted based on distance similarity to construct the SHI.
The historical and real-time detection data of the test samples are processed using the same dimensionality reduction and outlier removal methods applied to the training samples to obtain the reduced data. After establishing the baseline SHI from the training data, the SHI for the test samples is calculated by determining the Euclidean distance between their data and the baseline.
Furthermore, the health status of the test samples can be evaluated based on their real-time detection data. Clustering the training samples yields the geometric centers C and radii r for each class, where the radius r is defined as the distance from the farthest point in the class to its geometric center. By identifying the class to which the real-time detection data of the test samples belong, the most recent health status of each sample can be determined. The specific process is as follows:
Step 1: Calculate the distances between the latest detection data point and the geometric centers of all classes and obtain the minimum distance value, d m i n = min ( d 1 , d 2 , d 3 , , d n ) .
Step 2: Compare the distance d m i n with the corresponding class radius r k . If d m i n < r k , the latest detection data point of the test sample belongs to that class, thereby determining the health status of the test sample. If d m i n > r k , the data point may be classified as an outlier or may indicate the emergence of a new class, necessitating further analysis based on the specific context.

3.5. Performance Evaluation of the Comprehensive Health Index for Subway Vehicle Wheelsets

The constructed SHI for subway vehicle wheelsets is typically evaluated comprehensively across several aspects: monotonicity, trend, robustness, and identifiability [3]. Among these aspects, the formulas for monotonicity, trend, and robustness align with those used in feature selection; thus, they will not be elaborated upon further. The following section will focus on explaining identifiability.
During the RtF process, subway vehicle wheelsets are classified into several distinct health states. An effective SHI should be capable of identifying these varying health states. This capability is defined as identifiability, which measures the correlation between the SHI and the health states of subway vehicle wheelsets. Identifiability is quantified by the correlation coefficient between the SHI sequence and the health state sequence [3]:
I s , h = i = 1 m ( s i s ¯ ) × ( h i h ¯ ) i = 1 m ( s i s ¯ ) 2 × ( h i h ¯ ) 2
In this equation, s i represents the label value of the SHI, h i denotes the SHI value, while s ¯ and h ¯ are the means of s i and h i , respectively.

4. Instance Verification

4.1. Data Preprocessing

The dynamic detection data of 144 wheels from trains 2, 5, and 6 revealed that 56 wheels had runouts exceeding the permissible limit. These 56 data sets were then randomly split into a training set and a test set in a 4:1 ratio, producing 45 data sets in the training set and 11 in the test set.
In this paper, a wheel is defined as having failed once its runout exceeds the re-profiling threshold of 0.5 mm. These 56 data sets were truncated, and to minimize the influence of certain fluctuations, only the period from the start of operation until the second occurrence of the runout exceeding 0.5 mm was retained. This period was used as the RtF data for the wheel.

4.2. Dimension Reduction

First, feature selection was performed on the dynamic detection data of subway vehicle wheelsets. Given that features should exhibit a “predictable” trend, greater weights were assigned to monotonicity and trend. These two features directly reflect how the characteristics change over time, so they were considered more important in predicting the health of the wheelset. Therefore, monotonicity ( ω 1 ) and trend ( ω 2 ) were assigned higher weights of 0.4 each, while robustness ( ω 3 ) was given a lower weight of 0.2. This weighting scheme was based on the idea that monotonicity and trend provide a more direct description of the feature’s time-based changes.
To further test the impact of different weight configurations, another set of weights ( ω 1 = 0.2 ,     ω 2 = 0.2 ,     ω 3 = 0.6 ) was applied, placing more emphasis on robustness. This configuration assumes that features exhibiting greater stability and less fluctuation under varying conditions contribute more to the composite health index.
Although changing the weight configuration affects the ranking of features, the final selected features remained consistent regardless of the weight configuration. Whether using the default weights ( ω 1 = 0.4 ,     ω 2 = 0.4 ,     ω 3 = 0.2 ) or the alternative weights ( ω 1 = 0.2 ,     ω 2 = 0.2 ,     ω 3 = 0.6 ), the top features selected for the construction of the SHI were the same, with only slight variations in their order.
The results for both weight configurations are as follows (see Table 1 and Table 2).
Although different weight configurations influence the ranking of the features, the final selection of features remains unchanged. Specifically, it is evident that there is a significant decline in the F C values from the Q r value to the wheel diameter difference within the same carriage, and the F C values for the wheel diameter differences in the same carriage are notably lower. This indicates that these features do not adequately reflect the degradation state of the wheelset. Therefore, the top six features from the table were selected to construct the SHI.
After standardizing the data obtained from the feature selection process, KPCA was employed for dimensionality reduction. Figure 3 illustrates the contribution rates of different principal components at various dimensions. By setting the cumulative contribution rate threshold to 95%, it is evident that PC3 provides a relatively high contribution rate, while PC4 contributes less than 5%. Consequently, reducing the dimensionality to 3 is considered an appropriate choice.
After dimensionality reduction, the distribution of the wheelset data can be visualized, and the iForest algorithm was applied to remove outliers, as illustrated in Figure 4.

4.3. Health Status Classification

After outlier removal, the number of data points used for classification learning was 16,903. HC was employed to generate the dendrogram shown in Figure 5a, and the inconsistency coefficients between each level were calculated with a depth of 2. The inconsistency coefficients for classifications of n = 2, n = 3, and n = 6 were 2.07, 1.68, and 1.49, respectively. Based on these results, dividing the training data into three classes emerged as the optimal solution. This classification aligns well with the different health states of subway vehicle wheelsets: healthy, suboptimal health, and rapid degradation. While dividing the data into two categories might suggest a binary health classification (healthy or failed), it would fail to provide a comprehensive representation of the wheelset’s health condition. Therefore, the decision to classify the data into three distinct states offers a more nuanced and accurate understanding of the wheelset’s health. The distribution of the classified data points is illustrated in Figure 5b.
In the figure, the orange color represents the first cluster of hierarchical clustering, the blue color represents the second cluster, and the red color represents the third cluster. Based on the numbering of subway vehicle wheels, the starting and ending points of each wheel’s lifespan can be identified in the diagram, allowing for the determination of the health status of different categories. As illustrated in Figure 5b, the classes represented by dark gray, gray, and light gray correspond to healthy, suboptimal health, and rapidly deteriorating states, respectively. Furthermore, the geometric centers, member counts, and radii of the different classes can be statistically derived, as presented in Table 3.
After obtaining the geometric center of the healthy class (Cluster 1), further subdivision of this class was performed, resulting in the dendrogram shown in Figure 6. The inconsistency coefficients for subdividing the healthy class into two subclasses and three subclasses were 1.13 and 1.11, respectively, indicating a minimal difference. However, subdividing the healthy class into three subclasses provides a more accurate baseline. Therefore, the healthy class was further divided into three subclasses, labeled SUB1, SUB2, and SUB3.
In the figure, the orange color represents the first cluster of hierarchical clustering, the blue color represents the second cluster, and the green color represents the third cluster.
After subdivision, the healthy class contained a total of 1547 data points. The detailed information about the subclasses of the healthy class is presented in Table 4.

4.4. Comprehensive Health Factor Calculation and Assessment

Using the geometric center of subclass SUB1 of the wheelset healthy class (−0.1647, 0.0095, 0.0707) as the baseline, the SHI for all training samples is calculated using Equation (15). The SHI for the testing samples can be derived based on similarity, as illustrated in Figure 7. The SHI is a one-dimensional indicator that varies over time; a larger value signifies a worse health status. As time progresses, the increasing trend of the SHI corresponds with the deterioration trend of the wheelset.
The lines in the figure are colored differently to represent the SHI curves for all training samples. Two randomly selected samples from the training set are taken as examples: the sixth wheel of car 2, referred to as wheel #226, and the second wheel of car 6, referred to as wheel #652. Figure 8 illustrates the variation trends of the SHI and health status for these two wheels. As the working time increases, the condition of the wheelset gradually transitions from healthy to suboptimal health, eventually entering the rapid deterioration stage, with the corresponding SHI continuously increasing.
The health status labels may exhibit some fluctuations. Taking wheel #226 as an example, after entering a sub-health state, it occasionally returns to a healthy state at certain time points. Similar scenarios also occur during the transition from sub-health to rapid degradation. This is because when classifying states based on HC clustering, perfect classification cannot always be achieved, leading to imperfect transitions of states over time. Due to the fluctuations in the health status labels, when a particular state persists for a week, i.e., when the state label remains stable for seven consecutive data points, it is considered that the wheelset has entered that state.
Using the two samples mentioned above as examples, the monotonicity, trendiness, robustness, and recognizability of the SHI are calculated, as presented in Table 5.
The SHI constructed in this paper demonstrates high trendiness and recognizability, along with reasonably high robustness; however, its monotonicity is notably low. This low monotonicity is attributed to significant fluctuations in the original sample data, which adversely affect the constructed SHI’s ability to maintain a consistent trend.
The considerable fluctuations in the SHI also impact the prediction accuracy of the RUL. Consequently, it is common in the literature to apply smoothing techniques to the constructed SHI. In this paper, the Exponential Weighted Moving Average (EWMA) method is utilized to smooth all SHIs. The calculation formula for the EWMA model is as follows [23]:
S t = λ × Y t + ( 1 λ ) × S t 1
In the equation, S t and S t 1 represent the smoothed values at times t and t 1 , respectively, while λ denotes the smoothing coefficient. As this coefficient approaches 1, it indicates that the new observation will carry a higher weight. This study adopts a compromise value for the smoothing coefficient of SHI, specifically λ = 0.5 . Similarly, using wheel #226 and wheel #652 as examples, Figure 9 illustrates the changes in the smoothed SHI and health status.
The performance evaluation of the smoothed SHI curve is presented in Table 6. As shown, while the other three indicators remain relatively stable, there is a noticeable improvement in the monotonicity of the smoothed SHI.

4.5. Health Status Assessment of Testing Sample

Taking the testing sample wheel #524 as an example, its health status is assessed. The sample was truncated to retain the first half of the total data, encompassing the period from the initial state to failure, thus allowing it to be classified as a serviceable wheel that has not yet failed. The real-time detection data for this wheel on Day 151, after dimensionality reduction, are (0.1473, −0.0474, 0.0283). The Euclidean distances to the geometric centers of the healthy class, suboptimal health class, and rapidly deteriorating class are 0.3260, 0.1101, and 0.1216, respectively. Notably, the distance to the suboptimal health class geometric center is the smallest and is less than the radius of the suboptimal health class (0.3281). Therefore, this point is classified as belonging to the suboptimal health class, indicating that the current state of sample wheel #524 is suboptimal health.
The health status of testing sample wheel #524, along with the changes in SHI, is illustrated in Figure 10.

5. Conclusions

This paper investigates assessment methods for the health status of subway vehicle wheelsets based on the HC algorithm and similarity analysis. First, it analyzes how feature selection metrics constructed on monotonicity, trendiness, and robustness can effectively enhance the quality of feature selection. The KPCA dimensionality reduction method further minimizes data redundancy and optimizes the data processing workflow. Subsequently, outliers are removed using the iForest algorithm, and health status is classified and subdivided based on the HC algorithm, resulting in a robust baseline model and a one-dimensional SHI. Instance verification demonstrates that the constructed SHI effectively characterizes the changing trends in wheelset health status, showcasing high robustness and identification accuracy. This research expands the application of SHI in health management for subway vehicle wheelsets, providing more reliable technical support for the safe operation of urban rail transit.
The method for constructing the comprehensive health index (SHI) exhibits broad applicability and can be applied to other critical components in subway systems, as well as extended to other transportation sectors, such as high-speed trains and aerospace. However, the method’s application does have certain prerequisites:
(1)
There must be valid data support to ensure that the input data accurately reflect the true operating conditions of the system.
(2)
Given the limitations in computational resources and cost, real-time predictions of remaining component life should not demand excessively high time sensitivity. Thus, a balance between real-time performance and prediction accuracy must be carefully considered based on the specific situation.
(3)
Considering the significant differences in structure, operating environments, and performance metrics among various components and transportation fields, it is crucial to fully consider the system’s characteristics when selecting sensor data. The selection and processing of input data should be adjusted according to specific requirements.
The proper setting of these prerequisites ensures that the method can provide accurate health assessments and life predictions in diverse application scenarios, thus supporting intelligent management and maintenance optimization in transportation systems.
However, the method does have certain limitations, particularly in its reliance on historical data. Nevertheless, when applied to different lines, this issue can be effectively addressed through techniques such as data migration, enabling cross-system adaptability.
Furthermore, the implementation and deployment of this system may face a series of challenges. For example, during data transmission, significant noise may occur, potentially affecting the quality and accuracy of the data, which in turn could influence the prediction and assessment outcomes of the system.

Author Contributions

Conceptualization, M.L.; methodology, T.Z.; validation, T.Z.; formal analysis, T.Z.; writing—original draft preparation, T.Z.; writing—review and editing, J.D.; supervision, M.L. All authors have read and agreed to the published version of the manuscript.

Funding

This research received no external funding.

Institutional Review Board Statement

Not applicable.

Informed Consent Statement

Not applicable.

Data Availability Statement

The data presented in this study are available on request from the corresponding author. The data are not publicly available due to privacy.

Conflicts of Interest

The authors declare no conflicts of interest.

References

  1. Li, C.; Luo, S.; Cole, C.; Spiryagin, M. An overview: Modern techniques for railway vehicle on-board health monitoring systems. Veh. Syst. Dyn. 2017, 55, 1045–1070. [Google Scholar] [CrossRef]
  2. Zhou, H.; Huang, X.; Wen, G.; Lei, Z.; Dong, S.; Zhang, P.; Chen, X. Construction of health indicators for condition monitoring of rotating machinery: A review of the research. Expert Syst. Appl. 2022, 203, 117297. [Google Scholar] [CrossRef]
  3. Lei, Y.; Li, N.; Guo, L.; Li, N.; Yan, T.; Lin, J. Machinery health prognostics: A systematic review from data acquisition to RUL prediction. Mech. Syst. Signal Process. 2018, 104, 799–834. [Google Scholar] [CrossRef]
  4. Hu, C.; Youn, B.D.; Wang, P.; Yoon, J.T. Ensemble of data-driven prognostic algorithms for robust prediction of remaining useful life. Reliab. Eng. Syst. Saf. 2012, 103, 120–135. [Google Scholar] [CrossRef]
  5. Liu, Y.; Hu, X.; Zhang, W. Remaining useful life prediction based on health index similarity. Reliab. Eng. Syst. Saf. 2019, 185, 502–510. [Google Scholar] [CrossRef]
  6. Achmad, W.; Bo-Suk, Y. Application of relevance vector machine and survival probability to machine degradation assessment. Expert Syst. Appl. 2011, 38, 2592–2599. [Google Scholar] [CrossRef]
  7. Zhang, B.; Wang, H.; Tang, Y.; Pang, B.; Gao, X. Residual Useful Life Prediction for Slewing Bearing Based on Similarity under Different Working Conditions. Exp. Tech. 2018, 42, 279–289. [Google Scholar] [CrossRef]
  8. Schwartz, S.; Jiménez, J.J.M.; Vingerhoeds, R.; Salaün, M. An unsupervised approach for health index building and for similarity-based remaining useful life estimation. Comput. Ind. 2022, 141, 103716. [Google Scholar] [CrossRef]
  9. Lei, Y.; Li, N.; Gontarz, S.; Lin, J.; Radkowski, S.; Dybala, J. A Model-Based Method for Remaining Useful Life Prediction of Machinery. IEEE Trans. Reliab. 2016, 65, 1314–1326. [Google Scholar] [CrossRef]
  10. Wang, T.; Yu, J.; Siegel, D.; Lee, J. A similarity-based prognostics approach for Remaining Useful Life estimation of engineered systems. In Proceedings of the 2008 International Conference on Prognostics and Health Management, Denver, CO, USA, 6–9 October 2008. [Google Scholar] [CrossRef]
  11. Sunday, O.; Mahmood, S.; Chris, S. Adopting machine learning and condition monitoring P-F curves in determining and prioritizing high-value assets for life extension. Expert Syst. Appl. 2021, 176, 114897. [Google Scholar] [CrossRef]
  12. Yang, X.; Fang, Z.; Li, X.; Yang, Y.; Mba, D. Similarity-based information fusion grey model for remaining useful life prediction of aircraft engines. Grey Syst. Theory Appl. 2021, 11, 463–483. [Google Scholar] [CrossRef]
  13. Wang, T. Bearing life prediction based on vibration signals: A case study and lessons learned. In Proceedings of the 2012 IEEE Conference on Prognostics and Health Management, Denver, CO, USA, 18–21 June 2012. [Google Scholar] [CrossRef]
  14. Kumar, H.S.; Srinivasa, P.P.; Sriram, N.S.; Vijay, G. Rolling element bearing fault diagnostics: Development of health index. Proc. Inst. Mech. Eng. Part C J. Mech. Eng. Sci. 2017, 231, 3923–3939. [Google Scholar] [CrossRef]
  15. Fu, S.; Zhong, S.; Lin, L.; Zhao, M. A Novel Time-Series Memory Auto-Encoder with Sequentially Updated Reconstructions for Remaining Useful Life Prediction. IEEE Trans. Neural Netw. Learn. Syst. 2022, 33, 7114–7125. [Google Scholar] [CrossRef] [PubMed]
  16. Qin, Y.; Yang, J.; Zhou, J.; Pu, H.; Mao, Y. A new supervised multi-head self-attention autoencoder for health indicator construction and similarity-based machinery RUL prediction. Adv. Eng. Inform. 2023, 56, 101973. [Google Scholar] [CrossRef]
  17. Ma, Y.; Shan, C.; Gao, J.; Chen, H. Multiple health indicators fusion-based health prognostic for lithium-ion battery using transfer learning and hybrid deep learning method. Reliab. Eng. Syst. Saf. 2023, 229, 108818. [Google Scholar] [CrossRef]
  18. Guo, L.; Li, N.; Jia, F.; Lei, Y.; Lin, J. A recurrent neural network based health indicator for remaining useful life prediction of bearings. Neurocomputing 2017, 240, 98–109. [Google Scholar] [CrossRef]
  19. Mao, W.; Chen, J.; Chen, Y.; Afshari, S.S.; Liang, X. Construction of Health Indicators for Rotating Machinery Using Deep Transfer Learning with Multiscale Feature Representation. IEEE Trans. Instrum. Meas. 2021, 70, 1–13. [Google Scholar] [CrossRef]
  20. Zhang, B.; Zhang, L.; Xu, J. Degradation Feature Selection for Remaining Useful Life Prediction of Rolling Element Bearings. Qual. Reliab. Eng. Int. 2016, 32, 547–554. [Google Scholar] [CrossRef]
  21. Schölkopf, B.; Smola, A.; Müller, K.R. Kernel principal component analysis. In Proceedings of the 7th International Conference on Artificial Neural Networks—ICANN’97, Lausanne, Switzerland, 8–10 October 1997; Gerstner, W., Germond, A., Hasler, M., Nicoud, J.D., Eds.; Lecture Notes in Computer Science. Springer: Berlin/Heidelberg, Germany,, 1997; Volume 1327. [Google Scholar] [CrossRef]
  22. Liu, F.T.; Ting, K.M.; Zhou, Z.-H. Isolation Forest. In Proceedings of the 2008 Eighth IEEE International Conference on Data Mining, Pisa, Italy, 15–19 December 2008; pp. 413–422. [Google Scholar] [CrossRef]
  23. Hunter, J.S. The Exponentially Weighted Moving Average. J. Qual. Technol. 1986, 18, 203–210. [Google Scholar] [CrossRef]
Figure 1. Flowchart for constructing the SHI for metro vehicle wheelsets.
Figure 1. Flowchart for constructing the SHI for metro vehicle wheelsets.
Applsci 15 00914 g001
Figure 2. Maximum number of clusters setting.
Figure 2. Maximum number of clusters setting.
Applsci 15 00914 g002
Figure 3. Contribution rates for different dimensions based on KPCA reduction. (a) Contribution rate for PC3. (b) Contribution rate for PC4.
Figure 3. Contribution rates for different dimensions based on KPCA reduction. (a) Contribution rate for PC3. (b) Contribution rate for PC4.
Applsci 15 00914 g003
Figure 4. Visualization of data after dimension reduction for wheelsets. (a) Original data after wheelset dimensionality reduction. (b) Outlier-removed data after wheelset dimensionality reduction.
Figure 4. Visualization of data after dimension reduction for wheelsets. (a) Original data after wheelset dimensionality reduction. (b) Outlier-removed data after wheelset dimensionality reduction.
Applsci 15 00914 g004
Figure 5. Training data classification learning results. (a) Hierarchical clustering dendrogram. (b) Data classification corresponding to different health states.
Figure 5. Training data classification learning results. (a) Hierarchical clustering dendrogram. (b) Data classification corresponding to different health states.
Applsci 15 00914 g005
Figure 6. Further subdivision of the healthy category.
Figure 6. Further subdivision of the healthy category.
Applsci 15 00914 g006
Figure 7. SHI curves for all training samples.
Figure 7. SHI curves for all training samples.
Applsci 15 00914 g007
Figure 8. Health status and SHI of random samples in the training set. (a) Wheel #226 health status and SHI. (b) Wheel #652 health status and SHI.
Figure 8. Health status and SHI of random samples in the training set. (a) Wheel #226 health status and SHI. (b) Wheel #652 health status and SHI.
Applsci 15 00914 g008
Figure 9. Health status and smoothed SHI of random samples from the training set. (a) Wheel #226 health status and smoothed SHI. (b) Wheel #652 health status and smoothed SHI.
Figure 9. Health status and smoothed SHI of random samples from the training set. (a) Wheel #226 health status and smoothed SHI. (b) Wheel #652 health status and smoothed SHI.
Applsci 15 00914 g009
Figure 10. Test sample #524 wheel health status and SHI display. (a) Health status of test sample #524 wheel and SHI. (b) Health status of test sample #524 wheel and smoothed SHI.
Figure 10. Test sample #524 wheel health status and SHI display. (a) Health status of test sample #524 wheel and SHI. (b) Health status of test sample #524 wheel and smoothed SHI.
Applsci 15 00914 g010
Table 1. Feature selection index values for different features of subway vehicle wheelset references.
Table 1. Feature selection index values for different features of subway vehicle wheelset references.
NumberFeature F C ( X )
1Radial runout0.7408
2Flange height0.6130
3Flange thickness0.5413
4Wheel diameter0.4866
5Inner distance0.4760
6 Q R 0.4419
7Wheel diameter difference within the same carriage0.3251
8Wheel diameter difference within the same bogie0.3014
9Wheel diameter difference on the same axle0.2927
10Scratch depth0.2894
11Scratch length0.2647
Table 2. Feature selection index values for different features of subway vehicle wheelsets (high robustness).
Table 2. Feature selection index values for different features of subway vehicle wheelsets (high robustness).
NumberFeature F C ( X )
1Flange height0.8209
2Wheel diameter0.8040
3Radial runout0.7725
4Inner distance0.7586
5Flange thickness0.7151
6 Q R 0.7085
7Wheel diameter difference within the same bogie0.6011
8Wheel diameter difference within the same carriage0.5543
9Wheel diameter difference on the same axle0.5182
10Scratch length 0.5009
11Scratch depth0.49465
Table 3. The information of the different categories after classification.
Table 3. The information of the different categories after classification.
Class Code/ColorCluster 1/GreenCluster 2/YellowCluster 3/Red
Health statusHealthySuboptimal healthRapid degradation
CenterPC1−0.16930.04000.1998
PC20.0158−0.02780.0266
PC3−0.01710.0429−0.0526
Number of members610070453758
Radius0.30880.32810.2765
Table 4. Information on subcategories after further classification of the healthy category.
Table 4. Information on subcategories after further classification of the healthy category.
Class Code/ColorCluster 1/GreenCluster 2/YellowCluster 3/Red
CenterPC1−0.1647−0.1425−0.1882
PC20.00950.1469−0.0612
PC30.707−0.0509−0.0445
Number of members154717312822
Table 5. Performance evaluation of SHI for random samples from the training set.
Table 5. Performance evaluation of SHI for random samples from the training set.
SampleMonotonicityTrendinessRobustnessIdentifiability
#2260.08400.98750.57530.9204
#6520.11460.97500.56620.8828
Table 6. Performance evaluation of smoothed SHI for random samples from the training set.
Table 6. Performance evaluation of smoothed SHI for random samples from the training set.
SampleMonotonicityTrendinessRobustnessIdentifiability
#2260.25450.98890.57250.9206
#6520.19100.98360.56380.8881
Disclaimer/Publisher’s Note: The statements, opinions and data contained in all publications are solely those of the individual author(s) and contributor(s) and not of MDPI and/or the editor(s). MDPI and/or the editor(s) disclaim responsibility for any injury to people or property resulting from any ideas, methods, instructions or products referred to in the content.

Share and Cite

MDPI and ACS Style

Luo, M.; Zhong, T.; Dai, J. A Method for Constructing a Synthesis Health Index for Metro Vehicle Wheelsets. Appl. Sci. 2025, 15, 914. https://doi.org/10.3390/app15020914

AMA Style

Luo M, Zhong T, Dai J. A Method for Constructing a Synthesis Health Index for Metro Vehicle Wheelsets. Applied Sciences. 2025; 15(2):914. https://doi.org/10.3390/app15020914

Chicago/Turabian Style

Luo, Min, Tianyi Zhong, and Jinzhen Dai. 2025. "A Method for Constructing a Synthesis Health Index for Metro Vehicle Wheelsets" Applied Sciences 15, no. 2: 914. https://doi.org/10.3390/app15020914

APA Style

Luo, M., Zhong, T., & Dai, J. (2025). A Method for Constructing a Synthesis Health Index for Metro Vehicle Wheelsets. Applied Sciences, 15(2), 914. https://doi.org/10.3390/app15020914

Note that from the first issue of 2016, this journal uses article numbers instead of page numbers. See further details here.

Article Metrics

Back to TopTop