Calcium-Rich Biochar Derived from Cactus Feedstock and Its Efficient Adsorption Properties for Industrial Dye
Abstract
1. Introduction
2. Materials and Methods
2.1. Biomass Preparation and Pyrolysis Experiments
2.2. Biomass and Biochar Characterization
2.3. Batch Adsorption Experiments
2.4. Adsorption Kinetic Study and Isotherms
3. Results and Discussion
3.1. Effects of Pyrolysis Temperatures on Biochar Yield and Characteristics
3.2. Fourier Transform Infrared Spectroscopy (FTIR) Analysis
3.3. X-Ray Diffraction (XRD) Analysis
3.4. Mineral Content
3.5. Scanning Electron Microscopic Analysis
3.6. Surface Area Measurement
4. Adsorption Study
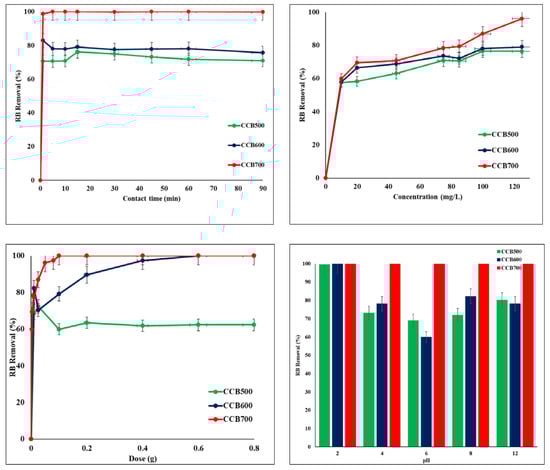
4.1. Effect of Contact Time on the Removal of RB
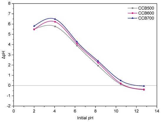
4.2. Effect of pH on the Removal of RB
4.3. Effect of Initial Concentration on the Removal of RB
4.4. Effect of Adsorbent Dosage on the Removal of RB
5. Adsorption Kinetics
6. Adsorption Isotherms
7. Conclusions
Supplementary Materials
Author Contributions
Funding
Institutional Review Board Statement
Informed Consent Statement
Data Availability Statement
Conflicts of Interest
Abbreviations
| CC | Cactus cladode biomass |
| CCB | Cactus cladode-derived biochar |
| CCB500 | Biochar produced from cactus cladodes at 500 °C |
| CCB600 | Biochar produced from cactus cladodes at 600 °C |
| CCB700 | Biochar produced from cactus cladodes at 700 °C |
| RB | Repanil Blue industrial dye |
| C | Carbon content (wt%) |
| H | Hydrogen content (wt%) |
| O | Oxygen content (wt%) |
| N | Nitrogen content (wt%) |
| S | Sulphur content (wt%) |
| VM | Volatile matter (wt%) |
| FC | Fixed carbon (wt%) |
| pHPZC | pH at point of zero charge |
| Initial aqueous RB concentration (mg/L) | |
| t time aqueous RB concentration (mg/L) | |
| Equilibrium constant for the adsorption process | |
| Mass of the used biochar (g) | |
| Freundlich exponent related to adsorption intensity | |
| Amount of dye adsorbed (mg/g) | |
| Maximum amount of adsorption (mg/g) | |
| Dimensionless constant separation factor | |
| R2 | Correlation coefficient |
| Time (min) | |
| Volume of the aqueous solution (L) |
References
- Chagtmi, R.; Trabelsi, A.B.H.; Haddad, K.; Maaoui, A.; Lopez, G.; Santamaria, L.; Cortazar, M.; Khedira, H.; Chaden, C.; Olazar, M. Biochar Derived from Animal Bone Waste as an Alternative Bioadsorbent for an Industrial Tannery Dye Removal. Biomass Convers. Biorefin. 2022, 14, 27461–27475. [Google Scholar] [CrossRef]
- Bhardwaj, A.; Kumar, S.; Singh, D. Tannery Effluent Treatment and Its Environmental Impact: A Review of Current Practices and Emerging Technologies. Water Qual. Res. J. 2023, 58, 128–152. [Google Scholar] [CrossRef]
- Srivastav, A.L.; Rani, L.; Sharda, P.; Patel, A.; Patel, N.; Chaudhary, V.K. Sustainable Biochar Adsorbents for Dye Removal from Water: Present State of Art and Future Directions. Adsorption 2024, 30, 1791–1804. [Google Scholar] [CrossRef]
- Adesanmi, B.M.; Hung, Y.-T.; Paul, H.; Huhnke, C. Comparison of Dye Wastewater Treatment Methods: A Review. Comparison of Dye Wastewater Treatment Methods: A Review. GSC Adv. Res. Rev. 2022, 10, 126–137. [Google Scholar] [CrossRef]
- Fdez-Sanromán, A.; Pazos, M.; Rosales, E.; Sanromán, M.A. Unravelling the Environmental Application of Biochar as Low-Cost Biosorbent: A Review. Appl. Sci. 2020, 10, 7810. [Google Scholar] [CrossRef]
- Tomin, O.; Vahala, R.; Yazdani, M.R. Synthesis and Efficiency Comparison of Reed Straw-Based Biochar as a Mesoporous Adsorbent for Ionic Dyes Removal. Heliyon 2024, 10, e24722. [Google Scholar] [CrossRef]
- Chavan, R.; Patil, R.; Chougale, A. Efficient Dye Removal Strategies: Exploring the Role of Biochar. ChemSci Adv. 2024, 1, 4–13. [Google Scholar] [CrossRef]
- Inyang, M.I.; Gao, B.; Yao, Y.; Xue, Y.; Zimmerman, A.; Mosa, A.; Pullammanappallil, P.; Ok, Y.S.; Cao, X. A Review of Biochar as a Low-Cost Adsorbent for Aqueous Heavy Metal Removal. Crit. Rev. Environ. Sci. Technol. 2016, 46, 406–433. [Google Scholar] [CrossRef]
- Song, J.; Li, Y.; Wang, Y.; Zhong, L.; Liu, Y.; Sun, X.; He, B.; Li, Y.; Cao, S. Preparing Biochars from Cow Hair Waste Produced in a Tannery for Dye Wastewater Treatment. Materials 2021, 14, 1690. [Google Scholar] [CrossRef] [PubMed]
- Jadhav, S.K.; More, G.B.; Thorat, S.R. Competitive Adsorption of Leather Dyes by Using Biochar Prepared from MUSA Acuminata: A Cost-Effective Technique. Res. J. Chem. Environ. 2021, 25, 110–118. [Google Scholar] [CrossRef]
- Haddad, K.; Hantous, A.; Chagtmi, R.; Khedhira, H.; Chaden, C.; Trabelsi, A.B.H. Industrial Dye Removal from Tannery Wastewater by Using Biochar Produced from Tannery Fleshing Waste: A Road to Circular Economy. Comptes Rendus Chim. 2022, 25, 43–60. [Google Scholar] [CrossRef]
- Maiuolo, J.; Nucera, S.; Serra, M.; Caminiti, R.; Oppedisano, F.; Macrì, R.; Scarano, F.; Ragusa, S.; Muscoli, C.; Palma, E.; et al. Cladodes of Opuntia Ficus-Indica (L.) Mill. Possess Important Beneficial Properties Dependent on Their Different Stages of Maturity. Plants 2024, 13, 1365. [Google Scholar] [CrossRef] [PubMed]
- Maaoui, A.; Ben Hassen Trabelsi, A.; Hamdi, M.; Chagtmi, R.; Jamaaoui, F.; Lopez, G.; Cortazar, M.; Olazar, M. Towards Local Circular Economy through Opuntia Ficus Indica Cladodes Conversion into Renewable Biofuels and Biochars: Product Distribution and Kinetic Modelling. Fuel 2023, 332, 126056. [Google Scholar] [CrossRef]
- Oudir, M.; Ait Mesbah, Z.; Lerari, D.; Issad, N.; Djenane, D. Development of Eco-Friendly Biocomposite Films Based on Opuntia Ficus-Indica Cladodes Powder Blended with Gum Arabic and Xanthan Envisaging Food Packaging Applications. Foods 2024, 13, 78. [Google Scholar] [CrossRef]
- Barka, N.; Ouzaouit, K.; Abdennouri, M.; Makhfouk, M. El Dried Prickly Pear Cactus (Opuntia Ficus Indica) Cladodes as a Low-Cost and Eco-Friendly Biosorbent for Dyes Removal from Aqueous Solutions. J. Taiwan Inst. Chem. Eng. 2013, 44, 52–60. [Google Scholar] [CrossRef]
- Agulheiro-Santos, A.C.; Trindade, S.; Rouxinol, M.I.; Nabais, J. Evaluation of the Potential of Opuntia Ficus-Indica Cladodes as a Natural Flocculant for Wastewater Treatment through Simple Procedures. J. Ecol. Eng. 2021, 22, 249–257. [Google Scholar] [CrossRef]
- Ramírez-Arpide, F.R.; Demirer, G.N.; Gallegos-Vázquez, C.; Hernández-Eugenio, G.; Santoyo-Cortés, V.H.; Espinosa-Solares, T. Life Cycle Assessment of Biogas Production through Anaerobic Co-Digestion of Nopal Cladodes and Dairy Cow Manure. J. Clean. Prod. 2018, 172, 2313–2322. [Google Scholar] [CrossRef]
- De Santiago, E.; Juániz, I.; Cid, C.; De Peña, M.P. Extraction of (Poly)Phenolic Compounds of Cactus (Opuntia Ficus-Indica (L.) Mill.) Cladodes. Food Anal. Methods 2021, 14, 1167–1175. [Google Scholar] [CrossRef]
- Volpe, M.; Goldfarb, J.L.; Fiori, L. Hydrothermal Carbonization of Opuntia Ficus-Indica Cladodes: Role of Process Parameters on Hydrochar Properties. Bioresour. Technol. 2018, 247, 310–318. [Google Scholar] [CrossRef] [PubMed]
- Razzak, S.; Aouji, M.; Zirari, M.; Benchehida, H.; Taibi, M.; Bengueddour, R.; Wondmie, G.F.; Ibenmoussa, S.; Bin Jardan, Y.A.; Taboz, Y. Nutritional Composition, Functional and Chemical Characterization of Moroccan Opuntia Ficus-Indica Cladode Powder. Int. J. Food Prop. 2024, 27, 1167–1179. [Google Scholar] [CrossRef]
- Fabozzi, A.; Cerciello, F.; Senneca, O. Direct Reduction of Iron Ore Using Biomass Biochar: Reduction Rate, Microstructural and Morphological Analysis. Fuel 2025, 383, 133976. [Google Scholar] [CrossRef]
- Sun, J.; He, F.; Pan, Y.; Zhang, Z. Effects of Pyrolysis Temperature and Residence Time on Physicochemical Properties of Different Biochar Types. Acta Agric. Scand. B Soil. Plant Sci. 2017, 67, 12–22. [Google Scholar] [CrossRef]
- Maaoui, A.; Chagtmi, R.; Lopez, G.; Cortazar, M.; Olazar, M.; Trabelsi, A.B.H. Impact of Pyrolysis Process Conditions on the Features of the Biochar from Opuntia Ficus Indica Fruit Peels. Biomass Convers. Biorefin. 2024, 2190–6823. [Google Scholar] [CrossRef]
- Maaoui, A.; Ben Hassen Trabelsi, A.; Ben Abdallah, A.; Chagtmi, R.; Lopez, G.; Cortazar, M.; Olazar, M. Assessment of Pine Wood Biomass Wastes Valorization by Pyrolysis with Focus on Fast Pyrolysis Biochar Production. J. Energy Inst. 2023, 108, 101242. [Google Scholar] [CrossRef]
- Rafiq, M.K.; Bachmann, R.T.; Rafiq, M.T.; Shang, Z.; Joseph, S.; Long, R.L. Influence of Pyrolysis Temperature on Physico-Chemical Properties of Corn Stover (Zea Mays L.) Biochar and Feasibility for Carbon Capture and Energy Balance. PLoS ONE 2016, 11, e0156894. [Google Scholar] [CrossRef]
- Qurat-ul-Ain; Shafiq, M.; Capareda, S.C. Firdaus-e-Bareen Effect of Different Temperatures on the Properties of Pyrolysis Products of Parthenium Hysterophorus. J. Saudi Chem. Soc. 2021, 25, 101197. [Google Scholar] [CrossRef]
- Tu, P.; Zhang, G.; Wei, G.; Li, J.; Li, Y.; Deng, L.; Yuan, H. Influence of Pyrolysis Temperature on the Physicochemical Properties of Biochars Obtained from Herbaceous and Woody Plants. Bioresour. Bioprocess. 2022, 9, 131. [Google Scholar] [CrossRef]
- Praveen, S.; Jegan, J.; Bhagavathi Pushpa, T.; Gokulan, R.; Bulgariu, L. Biochar for Removal of Dyes in Contaminated Water: An Overview. Biochar 2022, 4, 10. [Google Scholar] [CrossRef]
- Zhao, B.; O’Connor, D.; Zhang, J.; Peng, T.; Shen, Z.; Tsang, D.C.W.; Hou, D. Effect of Pyrolysis Temperature, Heating Rate, and Residence Time on Rapeseed Stem Derived Biochar. J. Clean. Prod. 2018, 174, 977–987. [Google Scholar] [CrossRef]
- Zhang, H.; Su, L.; Cheng, C.; Cheng, H.; Chang, M.; Liu, F.; Liu, N.; Oh, K. A New Type of Calcium-Rich Biochars Derived from Spent Mushroom Substrates and Their Efficient Adsorption Properties for Cationic Dyes. Front. Bioeng. Biotechnol. 2022, 10, 1007630. [Google Scholar] [CrossRef] [PubMed]
- Singh, M.; Ahsan, M.; Pandey, V.; Singh, A.; Mishra, D.; Tiwari, N.; Singh, P.; Karak, T.; Khare, P. Comparative Assessment for Removal of Anionic Dye from Water by Different Waste-Derived Biochar Vis a Vis Reusability of Generated Sludge. Biochar 2022, 4, 13. [Google Scholar] [CrossRef]
- Wang, Y.; Dong, Y.; Shao, J.; Zhao, Z.; Zhai, H. Study on Preparation of Calcium-Based Modified Coal Gangue and Its Adsorption Dye Characteristics. Molecules 2024, 29, 2183. [Google Scholar] [CrossRef]
- Dai, L.; Zhu, W.; He, L.; Tan, F.; Zhu, N.; Zhou, Q.; He, M.; Hu, G. Calcium-Rich Biochar from Crab Shell: An Unexpected Super Adsorbent for Dye Removal. Bioresour. Technol. 2018, 267, 510–516. [Google Scholar] [CrossRef]
- Choi, Y.K.; Jang, H.M.; Kan, E.; Wallace, A.R.; Sun, W. Adsorption of Phosphate in Water on a Novel Calcium Hydroxide-Coated Dairy Manure-Derived Biochar. Environ. Eng. Res. 2019, 24, 434–442. [Google Scholar] [CrossRef]
- Ogbeh, G.O.; Ogunlela, A.O.; Akinbile, C.O.; Iwar, R.T. Adsorption of Organic Micropollutants in Water: A Review of Advances in Modelling, Mechanisms, Adsorbents, and Their Characteristics. Environ. Eng. Res. 2024, 30, 230733. [Google Scholar] [CrossRef]
- Gao, H.; Cao, R.; Xu, X.; Xue, J.; Zhang, S.; Hayat, T.; Alharbi, N.S.; Li, J. Surface Area- and Structure-Dependent Effects of LDH for Highly Efficient Dye Removal. ACS Sustain. Chem. Eng. 2019, 7, 905–915. [Google Scholar] [CrossRef]
- Munagapati, V.S.; Wen, J.C.; Pan, C.L.; Gutha, Y.; Wen, J.H.; Reddy, G.M. Adsorptive Removal of Anionic Dye (Reactive Black 5) from Aqueous Solution Using Chemically Modified Banana Peel Powder: Kinetic, Isotherm, Thermodynamic, and Reusability Studies. Int. J. Phytoremediation 2020, 22, 267–278. [Google Scholar] [CrossRef] [PubMed]
- Choudhary, M.; Kumar, R.; Neogi, S. Activated Biochar Derived from Opuntia Ficus-Indica for the Efficient Adsorption of Malachite Green Dye, Cu+2 and Ni+2 from Water. J. Hazard. Mater. 2020, 392, 122441. [Google Scholar] [CrossRef]
- Akaniro, I.R.; Wang, G.; Wang, P.; Zhang, R.; Xue, W.; Ye, J.; Wong, J.W.C.; Zhao, J. PH-Tuneable Simultaneous and Selective Dye Wastewater Remediation with Digestate-Derived Biochar: Adsorption Behaviour, Mechanistic Insights and Potential Application. Green. Chem. Eng. 2024; in press. [Google Scholar] [CrossRef]
- Abdu, M.; Babaee, S.; Worku, A.; Msagati, T.A.M.; Nure, J.F. The Development of Giant Reed Biochar for Adsorption of Basic Blue 41 and Eriochrome Black T. Azo Dyes from Wastewater. Sci. Rep. 2024, 14, 18320. [Google Scholar] [CrossRef] [PubMed]
- Zubair, M.; Mu’azu, N.D.; Jarrah, N.; Blaisi, N.I.; Aziz, H.A.; Al-Harthi, M.A. Adsorption Behavior and Mechanism of Methylene Blue, Crystal Violet, Eriochrome Black T, and Methyl Orange Dyes onto Biochar-Derived Date Palm Fronds Waste Produced at Different Pyrolysis Conditions. Water Air Soil. Pollut. 2020, 231, 240. [Google Scholar] [CrossRef]
- Dawood, S.; Sen, T.K.; Phan, C. Synthesis and Characterization of Slow Pyrolysis Pine Cone Bio-Char in the Removal of Organic and Inorganic Pollutants from Aqueous Solution by Adsorption: Kinetic, Equilibrium, Mechanism and Thermodynamic. Bioresour. Technol. 2017, 246, 76–81. [Google Scholar] [CrossRef]
- Pandey, D.; Daverey, A.; Dutta, K.; Arunachalam, K. Enhanced Adsorption of Congo Red Dye onto Polyethyleneimine-Impregnated Biochar Derived from Pine Needles. Environ. Monit. Assess. 2022, 194, 880. [Google Scholar] [CrossRef] [PubMed]
- Yazdani, M.R.; Duimovich, N.; Tiraferri, A.; Laurell, P.; Borghei, M.; Zimmerman, J.B.; Vahala, R. Tailored Mesoporous Biochar Sorbents from Pinecone Biomass for the Adsorption of Natural Organic Matter from Lake Water. J. Mol. Liq. 2019, 291, 111248. [Google Scholar] [CrossRef]
- Binaeian, E.; Babaee Zadvarzi, S.; Yuan, D. Anionic Dye Uptake via Composite Using Chitosan-Polyacrylamide Hydrogel as Matrix Containing TiO2 Nanoparticles; Comprehensive Adsorption Studies. Int. J. Biol. Macromol. 2020, 162, 150–162. [Google Scholar] [CrossRef]
- Goswami, L.; Kushwaha, A.; Kafle, S.R.; Kim, B.S. Surface Modification of Biochar for Dye Removal from Wastewater. Catalysts 2022, 12, 817. [Google Scholar] [CrossRef]
- Jellali, S.; Hamdi, W.; Al-Harrasi, M.; Al-Wardy, M.; Al-Sabahi, J.; Al-Nadabi, H.; Al-Raeesi, A.; Jeguirim, M. Investigations on Amoxicillin Removal from Aqueous Solutions by Novel Calcium-Rich Biochars: Adsorption Properties and Mechanisms Exploration. Processes 2024, 12, 1552. [Google Scholar] [CrossRef]
- Davis, C.W.; Di Toro, D.M. Modeling Nonlinear Adsorption to Carbon with a Single Chemical Parameter: A Lognormal Langmuir Isotherm. Environ. Sci. Technol. 2015, 49, 7810–7817. [Google Scholar] [CrossRef]
- Qiao, H.T.; Qiao, Y.S.; Luo, X.H.; Zhao, B.W.; Cai, Q.Y. Qualitative and Quantitative Adsorption Mechanisms of Zinc Ions from Aqueous Solutions onto Dead Carp Derived Biochar. RSC Adv. 2021, 11, 38273–38282. [Google Scholar] [CrossRef]
- Abd-Elhamid, A.I.; Emran, M.; El-Sadek, M.H.; El-Shanshory, A.A.; Soliman, H.M.A.; Akl, M.A.; Rashad, M. Enhanced Removal of Cationic Dye by Eco-Friendly Activated Biochar Derived from Rice Straw. Appl. Water Sci. 2020, 10, 45. [Google Scholar] [CrossRef]
- Murtaza, G.; Ahmed, Z.; Dai, D.Q.; Iqbal, R.; Bawazeer, S.; Usman, M.; Rizwan, M.; Iqbal, J.; Akram, M.I.; Althubiani, A.S.; et al. A Review of Mechanism and Adsorption Capacities of Biochar-Based Engineered Composites for Removing Aquatic Pollutants from Contaminated Water. Front. Environ. Sci. 2022, 10, 1035865. [Google Scholar] [CrossRef]
- Cabral, L.L.; Bottini, R.C.R.; Gonçalves, A.J.; Junior, M.M.; Rizzo-Domingues, R.C.P.; Lenzi, M.K.; Nagalli, A.; Passig, F.H.; dos Santos, P.M.; de Carvalho, K.Q. Food Dye Adsorption in Single and Ternary Systems by the Novel Passion Fruit Peel Biochar Adsorbent. Food Chem. 2025, 464, 141592. [Google Scholar] [CrossRef] [PubMed]
- Heidarinejad, Z.; Rahmanian, O.; Fazlzadeh, M.; Heidari, M. Enhancement of Methylene Blue Adsorption onto Activated Carbon Prepared from Date Press Cake by Low Frequency Ultrasound. J. Mol. Liq. 2018, 264, 591–599. [Google Scholar] [CrossRef]
- Alberghina, G.; Bianchini, R.; Fichera, M.; Fisichella, S. Dimerization of Cibacron Blue F3GA and Other Dyes: In¯uence of Salts and Temperature. Dye. Pigment. 2000, 46, 129–137. [Google Scholar] [CrossRef]







| CCB500 | CCB600 | CCB700 | |
|---|---|---|---|
| Proximate analysis (wt%) | |||
| Moisture | 2.01 | 1.35 | 1.91 |
| VM | 35.29 | 30.01 | 26.07 |
| FC | 24.74 | 25.11 | 26.58 |
| Ash | 37.97 | 43.52 | 45.44 |
| Ultimate analysis (wt%) | |||
| C | 41.55 | 38.07 | 37.91 |
| H | 1.33 | 1.16 | 0.93 |
| N | 1.61 | 1.13 | 1.09 |
| S | - | - | - |
| O * | 17.53 | 16.12 | 14.61 |
| Morphological properties | |||
| Surface area (m2/g) | 95.80 | 143.56 | 209.64 |
| Total pore volume (cm3/g) | 0.013 | 0.03 | 0.033 |
| Physicochemical properties | |||
| pH | 10.26 | 11.12 | 12.45 |
| pHPZC | 11.00 | 11.35 | 12.53 |
| Mineral content (wt%) | |||
| CaO | 53.88 | 56.12 | 60.90 |
| K2O | 16.13 | 13.57 | 8.16 |
| MgO | 9.40 | 9.57 | 10.75 |
| P2O5 | 1.24 | 1.11 | 1.30 |
| Fe2O3 | 0.09 | 0.05 | 0.10 |
| Na2O | 0.72 | 0.13 | 0.27 |
| SO3 | 1.73 | 1.68 | 1.98 |
| Cl | 8.75 | 6.34 | 2.98 |
| SiO2 | 0.55 | 1.02 | 0.93 |
| Al2O3 | 0.29 | 1.19 | 0.94 |
| Pseudo-First-Order | Pseudo-Second-Order | |||||||
|---|---|---|---|---|---|---|---|---|
| K1 | qe Experimental (mg/g) | qeI Calculated (mg/g) | R2 | K2 | qe Experimental (mg/g) | qeII Calculated (mg/g) | R2 | |
| CCB500 | 0.15 | 21.93 | 1.89 | 0.079 | 0.03 | 21.93 | 21.9 | 0.995 |
| CCB600 | 0.12 | 23.33 | 0.128 | 0.005 | 0.05 | 23.33 | 23.3 | 0.993 |
| CCB700 | 0.15 | 30.25 | 3.02 | 0.099 | 0.02 | 30.25 | 30.3 | 0.999 |
| Sample | Langmuir | Freundlich | ||||||
|---|---|---|---|---|---|---|---|---|
| (mg/g) | R2 | (mg/g) | R2 | |||||
| CCB500 | 0.0708 | 39.3701 | 0.33 | 0.9984 | 9.0148 | 0.9852 | 1.0150 | 0.8270 |
| CCB600 | 0.1174 | 51.2821 | 0.14 | 0.9896 | 9.0463 | 0.9537 | 1.0485 | 0.6106 |
| CCB700 | 1.5752 | 56.1798 | 0.13 | 0.9999 | 9.6268 | 0.3732 | 2.6790 | 0.3275 |
Disclaimer/Publisher’s Note: The statements, opinions and data contained in all publications are solely those of the individual author(s) and contributor(s) and not of MDPI and/or the editor(s). MDPI and/or the editor(s) disclaim responsibility for any injury to people or property resulting from any ideas, methods, instructions or products referred to in the content. |
© 2025 by the authors. Licensee MDPI, Basel, Switzerland. This article is an open access article distributed under the terms and conditions of the Creative Commons Attribution (CC BY) license (https://creativecommons.org/licenses/by/4.0/).
Share and Cite
Maaoui, A.; Chagtmi, R.; Apicella, B.; Cerciello, F.; Senneca, O.; Trabelsi, A.B.H. Calcium-Rich Biochar Derived from Cactus Feedstock and Its Efficient Adsorption Properties for Industrial Dye. Appl. Sci. 2025, 15, 894. https://doi.org/10.3390/app15020894
Maaoui A, Chagtmi R, Apicella B, Cerciello F, Senneca O, Trabelsi ABH. Calcium-Rich Biochar Derived from Cactus Feedstock and Its Efficient Adsorption Properties for Industrial Dye. Applied Sciences. 2025; 15(2):894. https://doi.org/10.3390/app15020894
Chicago/Turabian StyleMaaoui, Assia, Raouia Chagtmi, Barbara Apicella, Francesca Cerciello, Osvalda Senneca, and Aida Ben Hassen Trabelsi. 2025. "Calcium-Rich Biochar Derived from Cactus Feedstock and Its Efficient Adsorption Properties for Industrial Dye" Applied Sciences 15, no. 2: 894. https://doi.org/10.3390/app15020894
APA StyleMaaoui, A., Chagtmi, R., Apicella, B., Cerciello, F., Senneca, O., & Trabelsi, A. B. H. (2025). Calcium-Rich Biochar Derived from Cactus Feedstock and Its Efficient Adsorption Properties for Industrial Dye. Applied Sciences, 15(2), 894. https://doi.org/10.3390/app15020894

