Study on the Ablation Behavior of High-Intensity Lasers in Vacuum
Abstract
1. Introduction
2. Experimental Setup
3. Results and Discussion
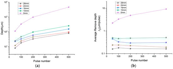
3.1. Ablation Depth
3.2. Ablation Volume and Efficiency
3.3. Ablation Plume
3.4. Ablation Morphology
4. Conclusions
Author Contributions
Funding
Institutional Review Board Statement
Informed Consent Statement
Data Availability Statement
Conflicts of Interest
References
- Yilbas, B.S.; Sahin, A.Z. Laser Pulse Optimization for Practical Laser Drilling. Opt. Lasers Eng. 1994, 20, 311–323. [Google Scholar] [CrossRef]
- Rohde, H.; Meiners, E. Trepan Drilling of Fuel Injection Nozzles With a TEM(00) Nd: YAG Slab Laser. J. Laser Appl. 1996, 8, 95–101. [Google Scholar] [CrossRef]
- Mcnally, C.A.; Folkes, J.; Pashby, I.R. Laser drilling of cooling holes in aeroengines: State of the art and future challenges. Mater. Sci. Technol. 2004, 20, 805–813. [Google Scholar] [CrossRef]
- Gautam, G.D.; Pandey, A.K. Pulsed Nd: YAG laser beam drilling: A review. Opt. Laser Technol. 2018, 100, 183–215. [Google Scholar] [CrossRef]
- Zhang, S.; Fan, Y.; Huang, Y.; Yang, X.; Zhang, M.; Luo, J.; Deng, G.; Zhou, Q.; Song, H.; Wang, Y. Improvement of the surface condition of laser-drilled holes via a dual-wavelength double-pulse train. Opt. Laser Technol. 2023, 157, 108681. [Google Scholar] [CrossRef]
- Li, W.; Zhang, G.; Huang, Y.; Rong, Y. Drilling of CFRP plates with adjustable pulse duration fiber laser. Mater. Manuf. Process. 2021, 36, 1256–1263. [Google Scholar] [CrossRef]
- Jackson, M.J.; O’neill, W. Laser micro-drilling of tool steel using Nd: YAG lasers. J. Mater. Process. Technol. 2003, 142, 517–525. [Google Scholar] [CrossRef]
- Wang, C.-S.; Hsiao, Y.-H.; Chang, H.-Y.; Chang, Y.-J. Process Parameter Prediction and Modeling of Laser Percussion Drilling by Artificial Neural Networks. Micromachines 2022, 13, 529. [Google Scholar] [CrossRef]
- Li, Z.; Yang, Z.; Jia, X.; Wang, C.; Li, K.; Shen, H.; Duan, J. Numerical analysis of the effect of temporal and/or spatial shaping on the ms/ns combined pulse laser drilling performance of alumina ceramic. Opt. Laser Technol. 2023, 164, 109481. [Google Scholar] [CrossRef]
- Wang, H.; Liu, J.; Xu, Y.; Wang, X.; Ren, N.; Ren, X.; Hu, Q. Experimental characterization and real-time monitoring for laser percussion drilling in titanium alloy using transverse electric field assistance and/or lateral air blowing. J. Manuf. Process. 2021, 62, 845–858. [Google Scholar] [CrossRef]
- Xia, K.; Ren, N.; Lin, Q.; Li, T.; Gao, F.; Yang, H.; Song, S. Experimental investigation of femtosecond laser through-hole drilling of stainless steel with and without transverse magnetic assistance. Appl. Opt. 2021, 60, 1399–1410. [Google Scholar] [CrossRef] [PubMed]
- Yuan, C.G.; Pramanik, A.; Basak, A.K.; Prakash, C.; Shankar, S. Drilling of titanium alloy (Ti6Al4V)—A review. Mach. Sci. Technol. 2021, 25, 637–702. [Google Scholar] [CrossRef]
- Schulz, W.; Eppelt, U.; Poprawe, R. Review on laser drilling I. Fundamentals, modeling, and simulation. J. Laser Appl. 2013, 25, 012006. [Google Scholar] [CrossRef]
- Phillips, K.C.; Gandhi, H.H.; Mazur, E.; Sundaram, S.K. Ultrafast laser processing of materials: A review. Adv. Opt. Photonics 2015, 7, 684–712. [Google Scholar] [CrossRef]
- Tao, S.; Wu, B.X.; Lei, S.T. Study of laser beam propagation in micro-holes and the effect on femtosecond laser micromachining. J. Appl. Phys. 2011, 109, 123506. [Google Scholar] [CrossRef]
- Salleo, A.; Sands, T.; Genin, F.Y. Machining of transparent materials using an IR and UV nanosecond pulsed laser. Appl. Phys. A Mater. Sci. Process. 2000, 71, 601–618. [Google Scholar] [CrossRef]
- Liu, D.; Kong, D.; Miao, Z.; Zhang, X. Simulation and experimental investigation on nano-second pulsed laser drilling of titanium alloy. High Power Laser Part. Beams 2018, 30, 069001. [Google Scholar]
- Vorobyev, A.Y.; Guo, C.L. Enhanced energy coupling in femtosecond laser-metal interactions at high intensities. Opt. Express 2006, 14, 13113–13119. [Google Scholar] [CrossRef]
- Döring, S.; Richter, S.; Heisler, F.; Ullsperger, T.; Tünnermann, A.; Nolte, S. Influence of ambient pressure on the hole formation in laser deep drilling. Appl. Phys. A Mater. Sci. Process. 2013, 112, 623–629. [Google Scholar] [CrossRef]
- Kononenko, T.V.; Klimentov, S.M.; Konov, V.I.; Dausinger, F. Effect of air breakdown on short-pulsed laser drilling. In Proceedings of the International Conference on Lasers, Applications and Technologies, St. Petersburg, Russia, 11–15 May 2005. [Google Scholar]
- Wang, Q.; Chen, A.; Li, S.; Qi, H.; Qi, Y.; Hu, Z.; Jin, M. Influence of ambient pressure on the ablation hole in femtosecond laser drilling Cu. Appl. Opt. 2015, 54, 8235–8240. [Google Scholar] [CrossRef]
- Xia, B.; Jiang, L.; Li, X.; Yan, X.; Zhao, W.; Lu, Y. High aspect ratio, high-quality micro-holes in PMMA: A comparison between femtosecond laser drilling in air and in vacuum. Appl. Phys. A Mater. Sci. Process. 2015, 119, 61–68. [Google Scholar] [CrossRef]
- Mutlu, M.; Kacar, E.L.; Akman, E.R.; Akkan, C.K.; Demir, P.; Demir, A. Effects of The Laser Wavelength on Drilling Process of Ceramic Using Nd: YAG Laser. J. Laser Micro Nanoeng. 2009, 4, 84–88. [Google Scholar] [CrossRef]
- Jia, X.; Zhu, G.; Zhang, Y.; Chen, Y.; Wang, H.; Shan, P.; Aleksei, K.; Zhu, X. Laser processing of alumina ceramic by spatially and temporally superposing the millisecond pulse and nanosecond pulse train. Opt. Express 2020, 28, 676–684. [Google Scholar] [CrossRef]
- Wang, X.; Michalowski, A.; Walter, D.; Sommer, S.; Kraus, M.; Liu, J.; Dausinger, F. Laser drilling of stainless steel with nanosecond double-pulse. Opt. Laser Technol. 2009, 41, 148–153. [Google Scholar] [CrossRef]
- Noll, R.; Sattmann, R.; Sturm, V.; Winkelmann, S. Space- and time-resolved dynamics of plasmas generated by laser double pulses interacting with metallic samples. J. Anal. At. Spectrom. 2004, 19, 419–428. [Google Scholar] [CrossRef]
- Bonse, J.; Baudach, S.; Krüger, J.; Kautek, W.; Lenzner, M. Femtosecond laser ablation of silicon–modification thresholds and morphology. Appl. Phys. A 2002, 74, 19–25. [Google Scholar] [CrossRef]
- Shen, N.; Bude, J.D.; Ly, S.; Keller, W.J.; Rubenchik, A.M.; Negres, R.; Guss, G. Enhancement of laser material drilling using high-impulse multi-laser melt ejection. Opt. Express 2019, 27, 19864–19886. [Google Scholar] [CrossRef] [PubMed]
- Zhao, J.; Zhu, Z.; Xu, Y.; Song, X.; Wang, Y.; Peng, H.; Wang, Y.; Zuo, J.; Shu, X.; Yin, A. Nanosecond Laser Ablation of Ti–6Al–4V under Different Temperature. Appl. Sci. 2020, 10, 4657. [Google Scholar] [CrossRef]
- Kovalev, O.B.; Zaitsev, A.V. Modeling of the free-surface shape in laser cutting of metals. 2. model of multiple reflection and absorption of radiation. J. Appl. Mech. Tech. Phys. 2005, 46, 9–13. [Google Scholar] [CrossRef]
- Gusarov, A.V.; Kruth, J.P. Modelling of radiation transfer in metallic powders at laser treatment. Int. J. Heat Mass Transf. 2005, 48, 3423–3434. [Google Scholar] [CrossRef]
- Garrelie, F.; Champeaux, C.; Catherinot, A. Study by a Monte Carlo simulation of the influence of a background gas on the expansion dynamics of a laser-induced plasma plume. Appl. Phys. A 1999, 69, 45–50. [Google Scholar] [CrossRef]
- Schneider, M.; Berthe, L.; Fabbro, R.; Muller, M. Measurement of laser absorptivity for operating parameters characteristic of laser drilling regime. J. Phys. D Appl. Phys. 2009, 41, 155502. [Google Scholar] [CrossRef]








Disclaimer/Publisher’s Note: The statements, opinions and data contained in all publications are solely those of the individual author(s) and contributor(s) and not of MDPI and/or the editor(s). MDPI and/or the editor(s) disclaim responsibility for any injury to people or property resulting from any ideas, methods, instructions or products referred to in the content. |
© 2025 by the authors. Licensee MDPI, Basel, Switzerland. This article is an open access article distributed under the terms and conditions of the Creative Commons Attribution (CC BY) license (https://creativecommons.org/licenses/by/4.0/).
Share and Cite
Gao, H.; Wang, Y.; Ye, J.; Du, B.; Wang, D.; Li, S.; Cui, Q.; Wang, S.; Zhang, T. Study on the Ablation Behavior of High-Intensity Lasers in Vacuum. Appl. Sci. 2025, 15, 848. https://doi.org/10.3390/app15020848
Gao H, Wang Y, Ye J, Du B, Wang D, Li S, Cui Q, Wang S, Zhang T. Study on the Ablation Behavior of High-Intensity Lasers in Vacuum. Applied Sciences. 2025; 15(2):848. https://doi.org/10.3390/app15020848
Chicago/Turabian StyleGao, Heyan, Ying Wang, Jifei Ye, Bangdeng Du, Diankai Wang, Sai Li, Qianqian Cui, Sibo Wang, and Tengfei Zhang. 2025. "Study on the Ablation Behavior of High-Intensity Lasers in Vacuum" Applied Sciences 15, no. 2: 848. https://doi.org/10.3390/app15020848
APA StyleGao, H., Wang, Y., Ye, J., Du, B., Wang, D., Li, S., Cui, Q., Wang, S., & Zhang, T. (2025). Study on the Ablation Behavior of High-Intensity Lasers in Vacuum. Applied Sciences, 15(2), 848. https://doi.org/10.3390/app15020848

