Next Article in Journal
Micromechanical Characterization of Diatom Frustules of Multiple Origin
Next Article in Special Issue
Video-Biomechanical Analysis of the Shoulder Kinematics of Impact from Sode-Tsurikomi-Goshi and Tsurikomi-Goshi Judo Throws in Elite Adult Judoka
Previous Article in Journal
Understanding Recruiters’ Acceptance of Artificial Intelligence: Insights from the Technology Acceptance Model
Previous Article in Special Issue
Explosive Strength and Speed as Potential Determinants of Success in Youth Figure Skating Competitions
 
 
Font Type:
Arial Georgia Verdana
Font Size:
Aa Aa Aa
Line Spacing:
Column Width:
Background:
Article

Effect of Post-Activation Potentiation on Weightlifting Performance and Endocrinological Responses

1
London Sports Institute, Middlesex University, The Burroughs, Hendon, London NW4 4BT, UK
2
Biomarker Research Group, Department of Natural Sciences, Faculty of Science and Technology, Middlesex University, Hendon, London NW4 4BT, UK
*
Author to whom correspondence should be addressed.
Appl. Sci. 2025, 15(2), 748; https://doi.org/10.3390/app15020748
Submission received: 2 December 2024 / Revised: 8 January 2025 / Accepted: 9 January 2025 / Published: 14 January 2025
(This article belongs to the Special Issue Advances in the Biomechanics of Sports)

Abstract

Purpose: This study examined the acute performance-enhancing effects and endocrinological responses of a supramaximal clean pull performed at 120% of clean and jerk, one repetition maximum, on clean performance. Methods: Eight (n = 8) ranked collegiate level weightlifters attended two days of testing in a randomised order. A control session was used to identify a baseline measure of kinetic and kinematic clean performance and endocrinological status following three cleans interspersed with one-minute recovery between repetitions. The experimental condition required participants to perform a single clean pull at 120% of clean and jerk, one repetition maximum, followed by three minutes recovery, prior to executing three cleans with one-minute recovery between repetitions. All cleans were performed on a dual force plate set up, synchronised with a 3D motion capture system to simultaneously record barbell and ground reaction force data. All endocrinological data were measured prior to the participant warming up and also following each testing protocol. Results: The results indicated that no significant differences were found between the control and PAP condition (p = 0.140–0.902); however, effect sizes from group analysis identified moderately negative to trivial effects across kinetic, kinematic and endocrinological variables (d = −0.30–0.14). Further analysis on an individual level demonstrated values, both negative and positive, ranging from extremely large (d = −4.10) to trivial (d = 0.04). Conclusions: The findings suggest a potentially negative affect of PAP on kinetic and kinematic measures of clean performance. However, individual responses varied, and thus some weightlifters may find this useful.

1. Introduction

The manifestation of post-activation potentiation (PAP) occurs based on the muscles’ acute contractile history following a conditioning stimulus [1,2,3,4]. The optimal elicitation of PAP is heavily dependent upon individual characteristics’ with the primary determinant of onset, degree, and duration of PAP being an individual’s relative strength and their ability to dissipate fatigue [5,6]. The majority of studies investigating lower body PAP have utilised conditioning stimuli consisting of ballistic or high-load resistance exercises, such as power cleans [6], snatch pulls [7] and back squats [6,8]. These stimuli have been found to have significant positive effects on performance measures such as jump height (p = 0.01) [8], sprint time (p = 0.001, d = −0.66–−0.92) [6], acceleration (p = 0.001, ES = 0.70–1.00) [6] and power output [8]. While there is a breadth of research on lower body PAP and its effect on general measures of athletic performance, very little information exists on the use of PAP and its effect on weightlifting performance.
Research from Stone et al. [4] on national level weightlifters utilised mid-thigh clean pulls (MTCPs) at absolute loads of 60, 80, 100 and 120 kg for females and 60, 140, 180 and 220 kg for males, with a fifth set performed at the 80 and 140kg loads, respectively. Their findings demonstrated significant increases in barbell vertical peak velocity (vPV) between the second and fifth set (p = 0.023, ƞ2 = 0.61), with a strong correlation to peak rate of force development (RFD) (r = 0.92, r2 = 0.85, p = 0.003), although peak RFD did not reach significance with respect to the fifth vs. second set. This suggests that MTCP may be an effective PAP stimulus in increasing the chance of weightlifting success, as barbell vPV has previously been associated with successful and effective lifts [9,10]. It should be noted that since the relative strength of an individual has been shown to determine the degree to which PAP is induced as well as the onset and duration of its effects, the absolute loads used in Stone’s study may have affected the PAP response. The maximal loads used were 120 and 220 kg for females and males, respectively, with their average 1RM’s presented as 117.5 ± 6.6 kg (female) and 211.9 ± 18.3 kg (male) equating to ~113–96% of clean and jerk 1RM. This means that the intensity of the conditioning stimulus would have been higher for some athletes compared to others and would potentially affect the magnitude of effect. Secondly, the fifth set following the heaviest MTCP was not based on a percentage of the individuals 1RM but instead based on prior observations where barbell vPV, relative peak power (PP), and peak force (PF) were produced. Since absolute loads may have individual effects due to their relative intensity, utilising percentages to prescribe PAP-inducing loads may make the load specific to the individual.
More recent research from Comfort et al. [11] investigated the use of mid-thigh clean pulls (MTCPs) with loads up to 140% of power clean 1RM. The results from this study showed that vPV (1.69 ± 0.042 m·s−1) and PP (3712.82 ± 254.38 W) occurred at 40% 1RM, with peak RFD occurring at 120% (26,224.2 ± 2461.6 N·s−1) and peak force significantly increasing at 140% compared to 120% (p < 0.02). The same study also showed a linear increase in impulse, as the loads increased, with the highest total impulse (1129.86 ± 534.86 N·s) occurring at 140%. When implementing supramaximal pulls, factors such as impulse, RFD, peak power, and velocity have been shown to change significantly as the load increases [6,11,12]. It could be stipulated that a greater impulse developed during the second pull phase of a clean would increase the systems’ velocity and subsequently the velocity of the barbell.
Since peak RFD has been found to be related to vPV [4] and is optimised during an MTCP at 120% 1RM power clean, it could be hypothesised that utilising a 120% supramaximal pull of 1RM clean may elicit a potentiating effect on clean performance, with weightlifters often performing this derivative during training at loads between 100 and 120% 1RM. Of further consideration is the effect these variables have on barbell displacement. Bartonietz [10], Enoka [13], and Haff et al. [14] have noted that greater vPV results in greater barbell displacement, which improves the likelihood of a successful lift. Therefore, utilising exercises such as the pulling derivatives, which improve these key characteristics in weightlifting, should be considered. Additionally, when attempting to induce PAP, the biomechanical similarity of the stimulus to the subsequent activity must be considered [15]. Suchomel et al. [16] has noted that the use of pulling derivatives enables practitioners to overload biomechanically identical movements above full lift 1RM levels, without the need to receive the weight. Therefore, utilising a supramaximal clean pull may elicit positive effects on kinetic and kinematic clean performance.
Consideration of time between the PAP stimulus and the performance measure has a large influence on the effectiveness of PAP, with the literature suggesting that less than 2 min rest will not enable the dissipation of fatigue to an extent great enough to allow for the maximal expression of PAP [1,6,15,17]. Current research has shown that the onset of PAP will typically occur between 3 and 6 min post-conditioning stimulus in stronger subjects and between 6 and 9 min in weaker subjects [6]. During weightlifting competitions; however, individuals have 1 min between when the bar is loaded and their lift, or 2 min if they are following themselves. Given the competitive nature of backroom tactics, and the other clock-stopping activities (i.e., changes in bar load, changes in lifter sequence, etc.), the time an athlete may take between their last warm up lift and platform lift, or between platform lifts, will vary depending on the scenario. From an applied practice standpoint, providing a potentiating stimulus at around 3 min prior to the next competition platform lift may elicit an improvement in performance without having to perform a full lift, thus potentially conserving energy.
Finally, given that heavy resistance loading has been shown to produce acute increases in serum testosterone [18], which is considered critical for optimal force production [19] and potentially psychological priming [20], testing this association may reveal mechanistic factors causative to changes in performance following a priming intervention, should any be noted. Furthermore, given the antagonistic relationship between testosterone and cortisol, it is also considered necessary to measure the testosterone to cortisol ratio, thus accounting for environmental stress and arousal, which may further explain performance [21,22].
To the authors’ knowledge, there is no existing literature on the effect of supramaximal clean pulls on clean performance. Therefore, the purpose of this study is two-fold: (1) to investigate the effect supramaximal clean pulls have on clean kinetics and kinematics and (2) to investigate the effect this has on hormonal status, since heavy resistance loading has been shown to produce large acute increases in serum testosterone (T) [18], which has been associated with weightlifting [23], and thus may be a contributing factor to the PAP mechanism. Given the practical limitations of competition, a 3 min recovery period between the conditioning stimuli and performance has been adopted.

2. Method

2.1. Experimental Approach

A randomised order design was used to look at the effect of supramaximal clean pulls on ground reaction force (GRF) and barbell kinetics and kinematics during a clean in 8 competitive weightlifters. In addition, the effect of supramaximal pulls on salivary testosterone and cortisol was also investigated. Subjects performed cleans on two separate occasions at 90% of their predetermined clean and jerk (CJ) 1RM. Both the control and experimental sessions consisted of the subjects performing a self-selected warm up followed by a standardised weightlifting-specific warm up. Following this, the participants performed 3 cleans at ascending intensities from 50 to 80% 1RM followed by 3 sets of cleans at 90%, interspersed with 1 min recovery between sets; this served as the control session. During the experimental session, a supramaximal clean pull was performed at 120% 1RM, 3 min prior to the 90% 1RM cleans. All cleans were performed on a dual force plate system synchronised with two 3-dimensional (3D) motion capture cameras to enable the collection of force–time data and barbell kinematics. The multiple repetitions (reps) conducted allowed for reliability statistics to be run on the kinetic and kinematic variables once the raw data were extracted and analysed. A saliva sample was taken at the beginning and end of each session to assess the subject’s hormonal responses (testosterone, cortisol and T:C ratio). Each session was conducted at the same time of day to standardise the diurnal effects on hormonal status. A paired samples t-test was used to evaluate the differences between the control and experimental independent variables, with the magnitude of changes quantified using Cohens d effect sizes.

2.2. Subjects

Eight collegiate competitive weightlifters participated in this study. All subjects were ranked competitive weightlifters during the 2017 season in Britain with a mean competitive age of 8.1 ± 7.8 years. Of the eight subjects, 3 had competed at a national U23 standard and 1 at a national senior standard. The descriptive characteristics of the subject are shown in Table 1. This study was carried out according to the ethics committee conforming to the code of ethics of the World Medical Association (Declaration of Helsinki). All participants were free of injury through the duration of the study.

2.3. Procedures

In a randomised cross-over design, two sessions were carried out to determine the effect a supramaximal clean pull would have on clean performance and hormonal status. Two weeks prior to the investigation, the subjects performed maximal CJ’s as part of their normal training session. This formed the percentage in which the current investigation was calculated off. Immediately prior to each session and 15 min post the final clean performance, the participant’s saliva sample was taken. Subjects were given an 8 min period in which a self-selected warm up could be conducted, which included foam rolling and dynamic stretches. Following the self-selected warm up, a standardised weightlifting-specific warm up was carried out using an empty barbell (15 kg for females, 20 kg for males) (Eleiko, Halmstad, Sweden). These procedures are outlined in Figure 1.

2.4. PAP Protocol

Following the barbell warm-up, subjects performed cleans at loads corresponding to 50, 60, 70 and 80% of 1RM CJ, performing 3 reps at each load with approximately 30 s recovery between reps and 2–3 min rest between loads. Following the warmup protocol, athletes were asked to stand still on the force plates for a period of 2 s with a further 2 s taken with them holding the barbell. The barbell was passed to them so as to reduce the effect of fatigue, as well as allowing for the measurement of system weight (body + barbell weight), which would later be required to determine the start of the lift and subsequent temporal phases. Once the baselines had been measured, the acquisition of data continued and the subjects performed 3 sets of 1 repetition of cleans at 90% 1RM CJ with 1 min between reps. The same process was followed for the experimental condition with the addition of 3 individual pulls performed at 100, 110 and 120% of 1RM CJ, interspersed with 3 min of recovery between loads. Following the last pull at 120%, the subjects recovered for 3 min and then performed 3 sets of 1 repetition at 90% 1RM as per the control protocol.

2.5. Kinetic and Kinematic Analysis

All lifts were performed on dual force plates (Kistler 9286AA and BA, Winterhur, Switzerland) captured at a sampling rate of 1000 Hz. Barbell kinematics were captured using the CODA motion system (Charnwood Dynamics, Rothley, UK) sampled at 200 Hz with active markers attached to each end of the barbell. Automatic synchronisation of force-time data and raw positional marker data of the vertical coordinate was obtained through Odin x64 version 2.01 (Charnwood Dynamics, Rothley, UK). The raw positional marker data were smoothed using a low pass Butterworth filter with a cut off frequency of 6 Hz. Velocity and acceleration were then calculated within the Odin x64 software and filtered at 4 Hz.
All data were exported from Odin x64 (Charnwood Dynamics, Rothley, UK) and analysed for the pull portion of the lift only, using a custom Excel spreadsheet (Microsoft® Excel® for Office 365, Microsoft Corporation, Redmond, WA, USA). The two markers’ vertical displacement data coordinates were averaged so as to estimate the bar centroid and used to obtain peak bar height (PBH) and calculate the peak bar height relative to subject height (PBH:Ht). Barbell peak power (BPP) was defined as the instantaneous point at which power reached its highest value and was calculated using methods outlined by Garhammer [12].
Force–time data from each repetition were analysed to obtain impulse and peak force in the vertical axis. Prior to phase detection, a baseline of the system weight was taken over a quiet stance period of 1 s, from which 5 standard deviations (5 SDs) were calculated. The phases were then characterised as weighting 1, unweighting, and weighting 2 [13] and were defined when system mass met ± 5 SD of the baseline, as depicted in Figure 2. All force–time data were analysed unfiltered.

2.6. Saliva Sampling

On arrival at the lab and at the conclusion of the warm-up, participants had saliva samples taken. Beforehand, participants were asked to refrain from eating or drinking for 1–2 h before arriving at the laboratory. Before the warmup and 15 min after the final 90% clean, participants were asked to place a sterile swab in the mouth and allow saliva to soak in for a period of one minute. The swab was then removed and placed into Salivette collection tubes (Sarstedt, Leicester, UK) and stored at −80 °C. Prior to biochemical analysis, samples were thawed and centrifuged at 3000 rpm for 3 min to obtain clear saliva with low viscosity. Salivary testosterone and cortisol levels were determined employing a commercially available enzyme-linked immunosorbent assay (ELISA, IBL, Hamburg, Germany) with limits of detection of 20 and 0.4 nmol/L, respectively. For our study, the intra- and inter-assay coefficients of variation were all below 9%.

2.7. Statistical Analysis

Descriptive data are reported as mean ± standard deviation (SD) in Table 1. Data from all trials were averaged for analysis with the exception of T, C and T:C, of which only one value was obtained. All statistical analyses were performed utilising SPSS 24.0 (IBM Corp., Armonk, NY, USA). Reliability was quantified for each independent kinetic and kinematic variable using the coefficient of variation (CV) and interclass correlation coefficient (ICC). However, given that it is highly plausible that one of these methods may report strong reliability while the other shows unacceptable variability, the results were interpreted in line with previous suggestions from Bradshaw et al. (2010). When considered collectively, reliability was considered ‘good’ if ICC > 0.67 and CV < 10%, ‘moderate’ if ICC < 0.67 or CV > 10% or ‘poor’ if ICC < 0.67 and CV > 10% (8). A paired samples t-test was performed to evaluate the differences that may exist between independent variables between the two conditions (control vs. PAP). The criterion for statistical significance was set at an alpha level of p < 0.05. The magnitude of change was also quantified between independent variables using Cohen’s d effect sizes. These were interpreted in line with a suggested scale by Hopkins et al. [24], where <0.2 = trivial; 0.2–0.6 = small; 0.6–1.2 = moderate; 1.2–2.0 = large; 2.0–4.0 = very large; and >4.0 = extremely large. Individual subject analysis was also calculated using effect size, using an average of each of the subject’s three trials performed at 90% for each condition (control vs. experimental). The purpose behind this was due to peak (or best) values not all occurring within the same repetition.

3. Results

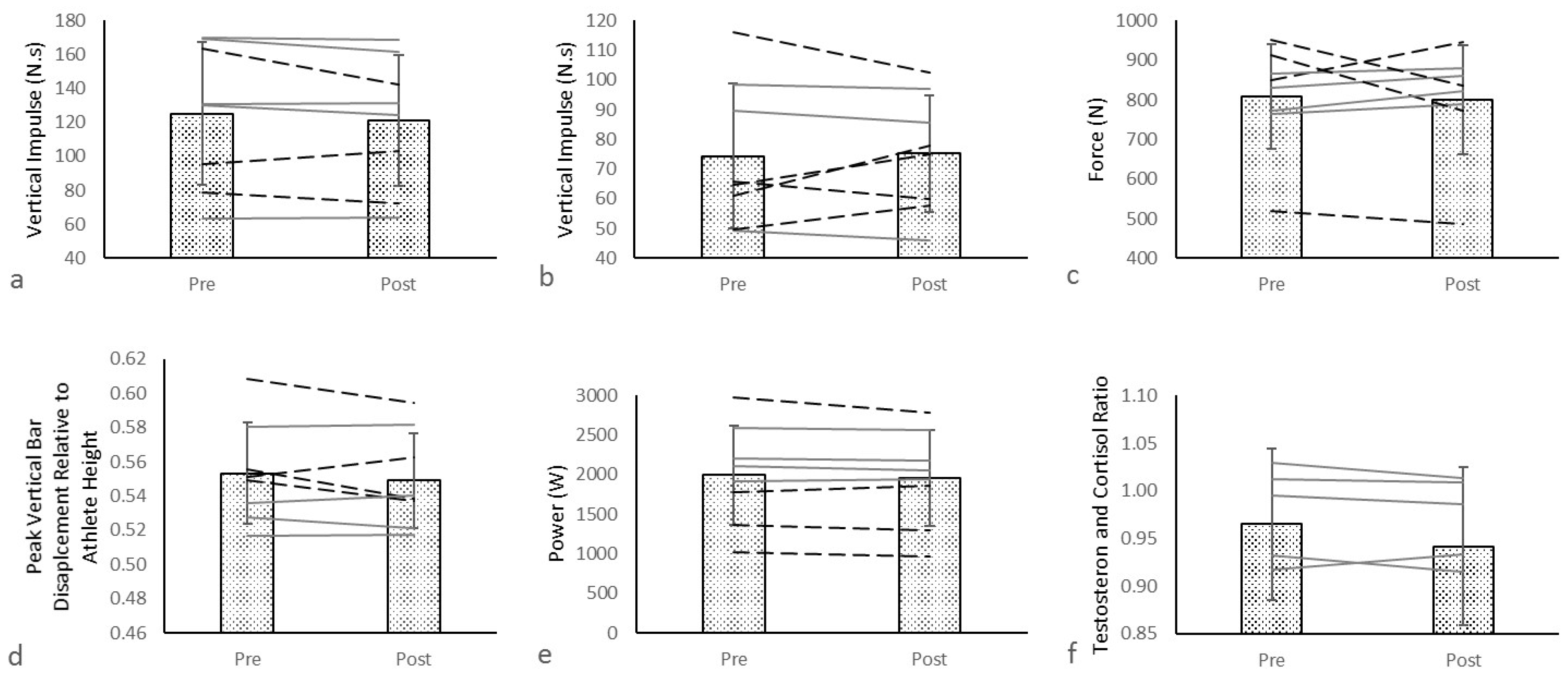
The mean scores, effect size (ES) and variable reliability data are represented in Table 2. All variables demonstrated good reliability with the exception of the UW vImpulse which showed poor reliability (CV = −22.45, ICC = 0.67, 95% CI = −0.26–0.95). The paired sample t-test indicated no statistical significance between the control and PAP condition across all variables (Table 2). The magnitude of change between the control and PAP condition was trivial to small (ES = −0.30–0.14), displaying negative or no effect (Figure 3). Further analysis of individual subject effect size is displayed in Table 3, with Figure 4a–f showing the percentage change from baseline to post potentiation. The results demonstrated values, both positive and negative, ranging from extremely large (ES = −4.10) to trivial (ES = 0.04).

4. Discussion

The aim of the present study was to investigate the PAP effect of supramaximal clean pulls executed at 120% of 1RM CJ, on kinetic and kinematic clean performance. The purpose behind utilising the athletes’ CJ 1RM as apposed to their clean 1RM was because the CJ was predetermined during a typical training session and is more indicative of competition success than using the clean alone. A further aim was to also investigate the effect PAP would have on salivary testosterone and cortisol and their ratio. The results demonstrate that the effects of PAP on kinetic and kinematic measures of the clean are subject-specific and therefore may positively affect some and not others. This is evidenced through the lack of statistical significance found between the control and experimental condition across all variables and loads (p = 0.140–0.803) but is highlighted when effect sizes are considered for each individual, as shown in Table 3. The most affected variable was UW impulse; however, the high variability (22%) suggests this metric has poor reliability, and therefore any changes elicited by PAP likely fall within its error. Peak force had the greatest positive change in five out of the eight participants, with effect sizes ranging from trivial to very large (ES = 0.14–2.51). The hormonal responses also suggested that no significant differences existed between the two conditions (p = 0.224–0.902), with the effect size of T:C (ES = −0.30) highlighting that there was a small increase in cortisol, therefore altering the T:C ratio. Unlike in the present study, heavy resistance loading has been shown to produce acute increases in serum testosterone, GH, and blood lactate [18]. These acute endocrine responses are critical for optimal force production during resistance exercise [19]. Within weightlifting, experience of more than two years has previously been associated with increased exercise-induced T responses [23]. However, other hormonal factors also have to be taken into consideration when it comes to competition-based factors, as increased cortisol concentrations can occur correspondingly, due to increased stress and arousal from the environment [21,22]. The prescribed sets and reps are associated with hormonal responses, with three sets resulting in higher testosterone, hGH and cortisol responses [25,26]. Within the present study, one set at different loads was used for the pulls, which may not have provided enough stimulus to generate adequate hormonal responses.
The time between the stimulus (120% clean pull) and the performance measures was set at 3 min. The rationale behind this time frame was to replicate the time periods between clean attempts during competition. The athlete typically has 1 min from when the bar is loaded to perform the lift. Alternatively, should they follow themselves, there is a 2 min period between attempts. Although 3 min does not directly correspond with either of those competition times, it is highly likely that an athlete may perform their last warm up lift anywhere between 3 and 6 min prior to the competition lift. Nonetheless, the rest period length could be too short to provide any necessary hormonal responses, with T concentrations found to be suppressed for 13 h after a stressful resistance exercise protocol [27]. However, this is dependent on other factors, such as age, gender and responsiveness. Secondly, in the likely event of competition tactics, the time frame one is expecting may change, and therefore, 3 min may serve as a time to keep the athlete primed. It has also been posited that the onset of PAP will typically occur between 3 and 6 min post-conditioning stimulus in stronger subjects and between 6 and 9 min in weaker test subjects [6], with anything less suggesting that fatigue would not have dissipated to an extent great enough to allow for the maximal expression of PAP [1,6,15,17].
Due to the nature of weightlifting, group analysis may not be the most relevant method of statistical analysis as variation in relative strength, training age, weight class and gender may affect the interpretation and thus the administration of such acute PAP protocols. Therefore, the authors conducted individual analyses to identify which subjects had positively responded to the PAP stimuli, and thus allowing for individualised administration of PAP. Gender was an important factor to consider from a hormonal aspect, with males having a larger amount of serum T, as well as more prominent responsiveness than females, after heavy resistance training [28]. Most notably, subject 3 had demonstrated positive effects across all kinetic and kinematic variables ranging from trivial to very large (ES = 0.10–2.91). Interestingly, the impulse and peak force during W2 displayed moderate to large effect sizes (ES = 1.90–2.51), as did the PBH:Ht and BPP (ES = 2.24 and 1.42, respectively). Since impulse is the product of force and time, the athlete was able to increase the magnitude of force applied to the system, as suggested by the large change in peak force. Consequently, this has increased PP applied to the barbell, therefore owing to a greater vertical displacement relative to the athlete’s height. It is also worth noting that the subject was the strongest female, with the second highest training age.
While the present study provides evidence on individualised PAP responses in kinetic and kinematic measures of the clean, it should be highlighted that all subjects’ lifts were successful. Ultimately, the outcome measure during the clean within competition is whether an athlete can successfully get the bar from the floor to the shoulders within the confines of the technical rulings. Measures relating to kinetics, such as impulse and peak force, may provide insight into the accessibility of force to increase the load lifted during the clean; however, further research is needed on the effect PAP has on such variables. Furthermore, a larger more homogenous group should be tested to reduce the variability in data and thus increase the sensitivity to detect true changes, should they exist.
Practical Application The results indicate that utilising a supramaximal clean pull of 120% 3 min prior to performing a clean at 90% of 1RM will likely elicit a positive response for some and not others. Given that the current protocol had little effect on the group, it is suggested that individual analysis of PAP on kinetic and kinematic indices related to weightlifting is conducted in response to load, time and rest period. Identifying a potentiating stimulus for an individual within weightlifting may increase the likelihood of greater accessibility of force, thus increasing the chances of lifting a greater load.

5. Conclusions

In the present investigation, the use of supra maximal clean pulls to potentiate clean performance at 90% of 1RM has individualised effects on hormonal, kinetic and kinematic indices in competitive weightlifting athletes. For some, a positive effect is noted; for others, it is trivial or even negative. Therefore, coaches and athletes should experiment with this form of performance priming. Similarly, utilising a 3 min period between the potentiating stimulus and the performance measure may be suitable for some and not others. Therefore, in order to optimise accessibility to force, without compromising technical execution of the clean, further research into additional loading schemes and time between PAP and performance in weightlifting is required.

Author Contributions

Methodology, A.S., J.V. and F.H.; Writing—original draft, S.C. and A.N.T.; Writing—review & editing, C.B. All authors have read and agreed to the published version of the manuscript.

Funding

This research received no external funding.

Institutional Review Board Statement

The study was conducted in accordance with the Declaration of Helsinki, and approved by the Institutional Review Board of London Sport Institute REC (protocol code 3537, 19 February 2018).

Informed Consent Statement

Informed consent was obtained from all subjects involved in the study.

Data Availability Statement

The original contributions presented in this study are included in the article. Further inquiries can be directed to the corresponding author.

Acknowledgments

The authors would like to thank all the subjects for their participation. The results of the current study do not constitute endorsement of the product by the authors of the journal.

Conflicts of Interest

The authors declare no conflicts of interest.

References

  1. Suchomel, T.J.; Lamont, H.S.; Moir, G.L. Understanding Vertical Jump Potentiation: A Deterministic Model. Sports Med. 2016, 46, 809–828. [Google Scholar] [CrossRef]
  2. Maloney, S.J.; Turner, A.N.; Fletcher, I.M. Ballistic exercise as a pre-activation stimulus: A review of the literature and practical applications. Sports Med. 2014, 44, 1347–1359. [Google Scholar] [CrossRef] [PubMed]
  3. Robbins, D.W. Post activation potentiation and its practical applicability: A brief review. J. Strength Cond. Res. 2005, 19, 453–458. [Google Scholar] [CrossRef] [PubMed]
  4. Stone, M.H.; Sands, W.A.; Pierce, K.C.; Ramsey, M.W.; Haff, G.G. Power and Power Potentiation among Strength-Power Athletes: Preliminary Study. Int. J. Sport. Physiol. 2008, 3, 55–67. [Google Scholar] [CrossRef] [PubMed]
  5. Chiu, L.Z.F.; Fry, A.C.; Weiss, L.W.; Schilling, B.K.; Brown, L.E.; Smith, S.L. Postactivation potentiation response in athletic and recreationally trained individuals. J. Strength Cond. Res. 2003, 17, 671–677. [Google Scholar] [CrossRef]
  6. Seitz, L.B.; de Villarreal, E.S.; Haff, G.G. The temporal profile of post-activation potentiation is related to strength level. J. Strength Cond. Res. 2014, 28, 706–715. [Google Scholar] [CrossRef] [PubMed]
  7. Chiu, L.Z.F.; Salem, G.J. Potentiation of vertical jump performance during a snatch pull exercise session. J. Appl. Biomech. 2012, 28, 627–635. [Google Scholar] [CrossRef]
  8. Kilduff, L.P.; Owen, N.; Bevan, H.; Bennett, M.; Kingsley, M.I.C.; Cunningham, D. Influence of recovery time on post-activation potentiation in professional rugby players. J. Sports Sci. 2008, 26, 795–802. [Google Scholar] [CrossRef] [PubMed]
  9. Gourgoulis, V.; Aggeloussis, N.; Garas, A.; Mavromatis, G. Unsuccessful vs. successful performance in snatch lifts: A kinematic approach. J. Strength Cond. Res. 2009, 23, 486–494. [Google Scholar] [CrossRef] [PubMed]
  10. Bartonietz, K.E. Biomechanics of the Snatch: Toward a Higher Training Efficiency. Strength Cond. J. 1996, 18, 24–31. [Google Scholar] [CrossRef]
  11. Comfort, P.; Udall, R.; Jones, P. The Effect of Loading on Kinematic and Kinetic Variables During the Midthigh Clean Pull. J. Strength Cond. Res. 2012, 26, 1208–1214. [Google Scholar] [CrossRef] [PubMed]
  12. Garhammer, J. A Review of Power Output Studies of Olympic and Powerlifting: Methodology, Performance Prediction, and Evaluation Tests. J. Strength Cond. Res. 1993, 7, 76–89. [Google Scholar] [CrossRef]
  13. Enoka, R.M. The pull in Olympic weightlifting. Med. Sci. Sports 1979, 11, 131–137. [Google Scholar] [PubMed]
  14. Haff, G.G.; Whitley AD RI, A.N.; McCoy, L.B.; O’BRYANT, H.S.; Kilgore, J.L.; Haff, E.E.; Stone, M.H. Effects of Different Set Configurations on Barbell Velocity and Displacement during a Clean Pull. J. Strength Cond. Res. 2003, 17, 95–103. [Google Scholar] [CrossRef]
  15. Nibali, M.L.; Chapman, D.W.; Robergs, R.A.; Drinkwater, E.J. Considerations for determining the time course of post-activation potentiation. Appl. Physiol. Nutr. Metab. 2015, 40, 1163–1170. [Google Scholar] [CrossRef] [PubMed]
  16. Suchomel, T.J.; Comfort, P.; Stone, M.H. Weightlifting pulling derivatives: Rationale for implementation and application. Sports Med. 2015, 45, 823–839. [Google Scholar] [CrossRef] [PubMed]
  17. Haff, G.G.; Nimphius, S. Training Principles for Power. Strength Cond. J. 2012, 34, 2–12. [Google Scholar] [CrossRef]
  18. Häkkinen, K.; Pakarinen, A. Acute hormonal responses to two different fatiguing heavy-resistance protocols in male athletes. J. Appl. Physiol. 1993, 74, 882–887. [Google Scholar] [CrossRef]
  19. Kraemer, W.J.; Ratamess, N.A. Resistance Training. In Encyclopedia of Exercise Medicine in Health and Disease; Mooren, F.C., Ed.; Springer: Berlin/Heidelberg, Germany, 2012; pp. 762–765. [Google Scholar]
  20. Collins, J.; Bishop, C.; Hills, F.; Spiegelhalter, A.; Cohen, R.; Turner, A. A survey into the use of priming techniques implemented by athletes and coaches to improve athletic performance. J. Strength Cond. Res. 2023, 37, 107–113. [Google Scholar] [CrossRef]
  21. Passelergue, P.; Robert, A.; Lac, G. Salivary cortisol and testosterone variations during an official and a simulated weight-lifting competition. Int. J. Sports Med. 1995, 16, 298–303. [Google Scholar] [CrossRef] [PubMed]
  22. Smilios, I.; Pilianidis, T.; Karamouzis, M.; Tokmakidis, S.P. Hormonal responses after various resistance exercise protocols. Med. Sci. Sports Exerc. 2003, 35, 644–654. [Google Scholar] [CrossRef] [PubMed]
  23. Kraemer, W.J.; Fry, A.C.; Warren, B.J.; Stone, M.H.; Fleck, S.J.; Kearney, J.T.; Gordon, S.E. Acute hormonal responses in elite junior weightlifters. Int. J. Sports Med. 1992, 13, 103–109. [Google Scholar] [CrossRef]
  24. Will, H. How to Interpret Changes in an Athletic Performance Test. Available online: http://www.sportsci.org/jour/04/wghtests.htm (accessed on 28 October 2019).
  25. Gotshalk, L.A.; Loebel, C.C.; Nindl, B.C.; Putukian, M.; Sebastianelli, W.J.; Newton, R.U.; Kraemer, W.J. Hormonal responses of multiset versus single-set heavy-resistance exercise protocols. Can. J. Appl. Physiol. 1997, 22, 244–255. [Google Scholar] [CrossRef] [PubMed]
  26. Mulligan, S.E.; Fleck, S.J.; Gordon, S.E.; Koziris, L.P.; Triplett-McBride, N.T.; Kraemer, W.J. Influence of Resistance Exercise Volume on Serum Growth Hormone and Cortisol Concentrations in Women. J. Strength Cond. Res. 1996, 10, 256–262. [Google Scholar] [CrossRef]
  27. Nindl, B.C.; Kraemer, W.J.; Deaver, D.R.; Peters, J.L.; Marx, J.O.; Heckman, J.T.; Loomis, G.A. LH secretion and testosterone concentrations are blunted after resistance exercise in men. J. Appl. Physiol. 2001, 91, 1251–1258. [Google Scholar] [CrossRef]
  28. Kraemer, W.J.; Gordon, S.E.; Fleck, S.J.; Marchitelli, L.J.; Mello, R.; Dziados, J.E.; Fry, A.C. Endogenous anabolic hormonal and growth factor responses to heavy resistance exercise in males and females. Int. J. Sports Med. 1991, 12, 228–235. [Google Scholar] [CrossRef]
Figure 1. Experimental design workflow.
Figure 1. Experimental design workflow.
Applsci 15 00748 g001
Figure 2. Clean force-time curve.
Figure 2. Clean force-time curve.
Applsci 15 00748 g002
Figure 3. Forrest plot displaying group effect size for each variable’s ±95% confidence intervals where W1 = weighting 1, UW = unweighting, W2 = weighting 2, vImpulse = vertical impulse, vPF = vertical peak force, PBH:Ht = peak bar height relative to height, BPP = barbell peak power, T = testosterone, C = cortisol and T:C = ratio between testosterone and cortisol.
Figure 3. Forrest plot displaying group effect size for each variable’s ±95% confidence intervals where W1 = weighting 1, UW = unweighting, W2 = weighting 2, vImpulse = vertical impulse, vPF = vertical peak force, PBH:Ht = peak bar height relative to height, BPP = barbell peak power, T = testosterone, C = cortisol and T:C = ratio between testosterone and cortisol.
Applsci 15 00748 g003
Figure 4. Individual responses from the control compared to the PAP across kinetic, kinematic and hormonal variables. Mean ± standard deviation group responses presented as bar graphs. Dashed lines represent percentage changes greater than the coefficient of variation (CV) solid lines represent percentage changes less than CV. (a) Vertical impulse during weighting 1, (b) vertical impulse during weighting 2, (c) peak force, (d) ratio of peak bar height relative to athlete height, (e) peak barbell power and (f) testosterone and cortisol ratio.
Figure 4. Individual responses from the control compared to the PAP across kinetic, kinematic and hormonal variables. Mean ± standard deviation group responses presented as bar graphs. Dashed lines represent percentage changes greater than the coefficient of variation (CV) solid lines represent percentage changes less than CV. (a) Vertical impulse during weighting 1, (b) vertical impulse during weighting 2, (c) peak force, (d) ratio of peak bar height relative to athlete height, (e) peak barbell power and (f) testosterone and cortisol ratio.
Applsci 15 00748 g004
Table 1. Individual participant information.
Table 1. Individual participant information.
GenderAgeYears of Weightlifting ExperienceCJ 1RMHeight (cm)Body Weight (kg)CJ: Body Weight Ratio
1Female352081172.568.651.2
2Male2710100173.579.81.3
3Male22496173.861.71.6
4Female2624217261.30.7
5Female22258150.551.21.1
6Male205120182.7586.41.4
7Male202100170.168.71.5
8Female35208016167.551.2
Mean25.888.1384.63169.5268.161.25
SD6.177.7925.119.7010.990.28
CJ = clean and jerk, RM = repetition max.
Table 2. Mean ± standard deviation, effect size (between control and experimental condition), p value and reliability data for all kinetic and kinematic variables.
Table 2. Mean ± standard deviation, effect size (between control and experimental condition), p value and reliability data for all kinetic and kinematic variables.
VariableMean ± SDEffect Size (d)p ValueCV (%)ICC (95% CI)Reliability Descriptor
W1 vImpulse (N·s)125.18 ± 42.01−0.100.2015.221.00 (−1.08–0.877)Good
UW vImpulse (N·s)−21.77 ± 17.390.030.620−22.450.67 (−0.95–1.01)Poor
W2 vImpulse (N·s)74.27 ± 24.380.040.8037.600.98 (−0.94–1.02)Good
PF (N)808.11 ± 103.49−0.070.7674.100.98 (−1.05–0.91)Good
PBH:Ht0.55 ± 0.03−0.140.1401.740.84 (−1.12–0.84)Good
BPP (W)1992.78 ± 625.88−0.070.2022.031.00 (−1.05–0.91)Good
T187.26 ± 41.06−0.070.431N/A−0.07 (−1.05–0.91)N/A
C78.80 ± 26.090.140.902N/A0.14 (−0.84–1.12)N/A
T:C0.96 ± 0.08−0.300.224N/A−0.29 (−1.27–0.70)N/A
SD = standard deviation; CV = coefficient of variation; ICC = interclass correlation coefficient; CIs = confidence intervals.
Table 3. Individual effect sizes’ kinetic and kinematic data, where PBH:Ht = peak bar height relative to height, BPP = barbell peak power.
Table 3. Individual effect sizes’ kinetic and kinematic data, where PBH:Ht = peak bar height relative to height, BPP = barbell peak power.
SubjectW1 vImpulseUW vImpulseW2 ImpulsePFPBH:HtBPP
1−0.140.321.420.14−2.21−2.03
20.200.30−1.370.85−3.24−1.45
30.100.171.902.512.241.42
4−4.011.98−0.48−0.650.04−2.71
53.04−0.47−0.510.930.28−1.20
6−1.070.24−1.29−1.85−4.10−0.57
7−0.64−0.59−1.43−1.91−0.910.38
8−1.651.741.431.720.60−0.58
Disclaimer/Publisher’s Note: The statements, opinions and data contained in all publications are solely those of the individual author(s) and contributor(s) and not of MDPI and/or the editor(s). MDPI and/or the editor(s) disclaim responsibility for any injury to people or property resulting from any ideas, methods, instructions or products referred to in the content.

Share and Cite

MDPI and ACS Style

Chavda, S.; Sorensen, A.; Vernau, J.; Hills, F.; Bishop, C.; Turner, A.N. Effect of Post-Activation Potentiation on Weightlifting Performance and Endocrinological Responses. Appl. Sci. 2025, 15, 748. https://doi.org/10.3390/app15020748

AMA Style

Chavda S, Sorensen A, Vernau J, Hills F, Bishop C, Turner AN. Effect of Post-Activation Potentiation on Weightlifting Performance and Endocrinological Responses. Applied Sciences. 2025; 15(2):748. https://doi.org/10.3390/app15020748

Chicago/Turabian Style

Chavda, Shyam, Angela Sorensen, James Vernau, Frank Hills, Chris Bishop, and Anthony Nicholas Turner. 2025. "Effect of Post-Activation Potentiation on Weightlifting Performance and Endocrinological Responses" Applied Sciences 15, no. 2: 748. https://doi.org/10.3390/app15020748

APA Style

Chavda, S., Sorensen, A., Vernau, J., Hills, F., Bishop, C., & Turner, A. N. (2025). Effect of Post-Activation Potentiation on Weightlifting Performance and Endocrinological Responses. Applied Sciences, 15(2), 748. https://doi.org/10.3390/app15020748

Note that from the first issue of 2016, this journal uses article numbers instead of page numbers. See further details here.

Article Metrics

Back to TopTop