Understanding Recruiters’ Acceptance of Artificial Intelligence: Insights from the Technology Acceptance Model
Abstract
1. Introduction
2. Theoretical Framework
2.1. Artificial Intelligence
2.2. Artificial Intelligence in Recruitment and Selection
2.3. Intention to Use AI Tools in Recruitment and Selection
3. Overview of Studies
4. Study 1: Exploring Recruiters’ Perceptions of AI Tools
4.1. Method
4.1.1. Procedure and Participants
4.1.2. Interview Guide
4.1.3. Data Analyses
4.2. Results
4.2.1. AI Tools Used in Recruitment and Selection
4.2.2. Benefits of AI Tools
4.2.3. Disadvantages of AI Tools
4.2.4. Discussion
5. Study 2: Quantitative Validation of the Technology Acceptance Model in AI Recruitment
5.1. Method
5.1.1. Participants and Procedure
5.1.2. Instruments
5.1.3. Data Analysis
5.2. Results
5.2.1. Descriptive Statistics
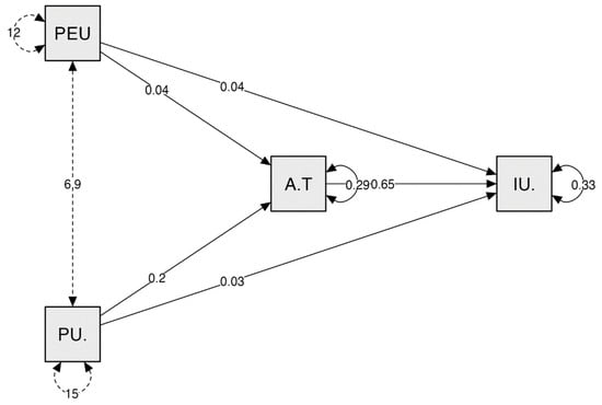
5.2.2. Hypotheses Testing
5.2.3. Discussion
6. General Discussion
6.1. Theoretical Implications
6.2. Practical Implications
6.3. Limitations and Future Directions
7. Conclusions
Author Contributions
Funding
Institutional Review Board Statement
Informed Consent Statement
Data Availability Statement
Conflicts of Interest
References
- Pérez-Castillo, R.; Serrano, M.A.; Piattini, M. Software modernization to embrace quantum technology. Adv. Eng. Softw. 2021, 151, 102933. [Google Scholar] [CrossRef]
- Sadik-Zada, E.R. Natural resources, technological progress, and economic modernization. Rev. Dev. Econ. 2021, 25, 381–404. [Google Scholar] [CrossRef]
- Baldassari, P.; Roux, J. Industry 4.0: Preparing for the future of work. Gale Acad. Onefile 2017, 40. Available online: https://go.gale.com/ps/i.do?p=AONE&u=googlescholar&id=GALE|A499598704&v=2.1&it=r&si (accessed on 14 November 2024).
- Degryse, C. Digitalisation of the Economy; Brussels. 2016. Available online: https://salus.adapt.it/wp-content/uploads/2019/10/Degryse_Digitalization-and-impagct-on-labour-mrk_ETUI_2016_02.pdf (accessed on 14 November 2024).
- Khan, A.U.; Rafi, M.; Zhang, Z.; Khan, A. Determining the impact of technological modernization and management capabilities on user satisfaction and trust in library services. Glob. Knowl. Mem. Commun. 2023, 72, 593–611. [Google Scholar] [CrossRef]
- Madan, R.; Ashok, M. A public values perspective on the application of Artificial Intelligence in government practices: A Synthesis of case studies. In Handbook of Research on Artificial Intelligence in Government Practices and Processes; IGI Global: Hershey, UK, 2022; pp. 162–189. [Google Scholar]
- Priya, S.; Karthikeyan, N.K. Deep Learning Classification to Improve Diagnosis of Cervical Cancer Through Swarm Intelligence-Based Feature Selection Approach. In Intelligent Systems, Technologies and Applications: Proceedings of Sixth ISTA 2020, India; Springer: Singapore, 2021; pp. 247–264. [Google Scholar]
- Yektansani, K.; He, C.; Azizi, S.; Aftabi, A.; AzizKhani, M. Can machine learning predict environmental attitudes and beliefs? Int. J. Environ. Stud. 2024, 81, 2012–2026. [Google Scholar] [CrossRef]
- Koechling, A.; Wehner, M.C.; Warkocz, J. Can I show my skills? Affective responses to artificial intelligence in the recruitment process. Rev. Manag. Sci. 2023, 17, 2109–2138. [Google Scholar] [CrossRef]
- Pan, Y.; Froese, F.; Liu, N.; Hu, Y.; Ye, M. The adoption of artificial intelligence in employee recruitment: The influence of contextual factors. In Artificial Intelligence and International HRM; Routledge: London, UK, 2023; pp. 60–82. [Google Scholar]
- Zahedi Nejad, Z.; Sabokro, M.; Oikarinen, E.L. Challenges in adopting and using online recruitment tools from employers’ perspective. Int. J. Organ. Anal. 2024. [Google Scholar] [CrossRef]
- Laumer, S.; Maier, C.; Eckhardt, A.; Weitzel, T. User personality and resistance to mandatory information systems in organizations: A theoretical model and empirical test of dispositional resistance to change. J. Inf. Technol. 2016, 31, 67–82. [Google Scholar] [CrossRef]
- Zheng, F.; Zhao, C.; Usman, M.; Poulova, P. From Bias to Brilliance: The Impact of Artificial Intelligence Usage on Recruitment Biases in China. IEEE Trans. Eng. Manag. 2024, 71, 14155–14167. [Google Scholar] [CrossRef]
- Biea, E.A.; Dinu, E.; Bunica, A.; Jerdea, L. Recruitment in SMEs: The role of managerial practices, technology and innovation. Eur. Bus. Rev. 2024, 36, 361–391. [Google Scholar] [CrossRef]
- Thakur, A.; Hinge, P.; Adhegaonkar, V. Use of Artificial Intelligence (AI) in recruitment and selection. In International Conference on Applications of Machine Intelligence and Data Analytics (ICAMIDA 2022); Atlantis Press: Amsterdam, The Netherlands, 2023; pp. 632–640. [Google Scholar]
- Davis, F.D.; Bagozzi, R.P.; Warshaw, P.R. Technology acceptance model. J. Manag. Sci. 1989, 35, 982–1003. [Google Scholar]
- King, W.R.; He, J. A meta-analysis of the technology acceptance model. Inf. Manag. 2006, 43, 740–755. [Google Scholar] [CrossRef]
- Shahzad, M.F.; Xu, S.; Asif, M. Factors affecting generative artificial intelligence, such as ChatGPT, use in higher education: An application of technology acceptance model. Br. Educ. Res. J. 2024. [Google Scholar] [CrossRef]
- Akram, S.; Buono, P.; Lanzilotti, R. Recruitment chatbot acceptance in a company: A mixed method study on human-centered technology acceptance model. Pers. Ubiquitous Comput. 2024, 28, 961–984. [Google Scholar] [CrossRef]
- Azzatillah, A.; Nada, L.; Rahmadina, D.S.; Chairunnisa, C.; Savira, D.A. Technology acceptance model theory on intention to use e-recruitment. J. Fokus Manaj. Bisnis 2024, 14, 241–242. [Google Scholar] [CrossRef]
- Budhwar, P.; Malik, A. Artificial intelligence—Challenges and opportunities for international HRM: A review and research agenda. Int. J. Hum. Resour. Manag. 2022, 33, 1065–1097. [Google Scholar] [CrossRef]
- Glikson, E.; Woolley, A. Human trust in artificial intelligence: Review of empirical research. Acad. Manag. Ann. 2020, 14, 627–660. [Google Scholar] [CrossRef]
- Lakhangaonkar, U.D.; Ubale, S. Reinventing RH with AI. Int. Interdiscip. Res. J. 2021. Available online: https://www.researchgate.net/profile/Supriya-Lakhangaonkar/publication/357897630_Reinventing_HR_with_AI/links/6271373c2f9ccf58eb29670b/Reinventing-HR-with-AI.pdf (accessed on 14 November 2024).
- Pizzi, G.; Scarpi, D.; Pantano, E. Artificial intelligence and the new forms of interaction: Who has the control when interacting with a chatbot? J. Bus. Res. 2021, 129, 878–890. [Google Scholar] [CrossRef]
- Aggarwal, S.; Kathuria, P. Impact of Artificial Intelligence on Human Resource Management: A Review of Literature. J. Int. Acad. Res. Multidiscip. 2023, 11, 2320–5083. [Google Scholar]
- Choudhary, S. AI in Organizations a Helping hand of HR. Int. J. Innov. Res. Sci. Eng. Technol. 2022, 11, 1–9. [Google Scholar]
- Dijkkamp, J. The Recruiter of the Future, a Qualitative Study in AI Supported Recruitment Process. Master’s Thesis, University of Twente, Twente, The Netherlands, 2019. Available online: https://essay.utwente.nl/80003/1/JorisDijkkamp_MA_BMS.pdf (accessed on 14 November 2024).
- Pan, Y.; Froese, F.J. An interdisciplinary review of AI and HRM: Challenges and future directions. Hum. Resour. Manag. Rev. 2023, 33, 100924. [Google Scholar] [CrossRef]
- Gupta, A.; Mishra, M. Artificial Intelligence for Recruitment and Selection. In The Adoption and Effect of Artificial Intelligence on Human Resources Management, Part B; Emerald Publishing Limited: Bingley, UK, 2023; pp. 1–11. [Google Scholar] [CrossRef]
- Horodyski, P. Applicants’ perception of artificial intelligence in the recruitment process. Comput. Hum. Behav. Rep. 2023, 11, 100303. [Google Scholar] [CrossRef]
- Sen, S.; Kadam, S.; Kumar, R.V. Role of Artificial Intelligence-Enabled Recruitment Processes in Sourcing Talent. In Proceedings of the 2023 6th International Conference on Information Systems and Computer Networks (ISCON), Mathura, India, 3℃4 March 2023; pp. 1–5. Available online: https://ieeexplore.ieee.org/abstract/document/10112009 (accessed on 14 November 2024).
- Ore, O.; Sposato, M. Opportunities and risks of artificial intelligence in recruitment and selection. Int. J. Organ. Anal. 2022, 30, 1771–1782. [Google Scholar] [CrossRef]
- Van Esch, P.; Black, J.S.; Ferolie, J. Marketing AI recruitment: The next phase in job application and selection. Comput. Hum. Behav. 2019, 90, 215–222. [Google Scholar] [CrossRef]
- Al-Alawi, A.I.; Naureen, M.; Ai-Alawi, E.I.; Ahmed Abdulla Naser Al-Hadad, A.A. The Role of Artificial Intelligence in Recruitment Process Decision-Making. In Proceedings of the 2021 International Conference on Decision Aid Sciences and Application (DASA), Sakheer, Bahrain, 7–8 December 2021; Available online: https://ieeexplore.ieee.org/abstract/document/9682320 (accessed on 14 November 2024).
- Berg, A.; Buffie, E.F.; Zanna, L.F. Should we fear the robot revolution? (The correct answer is yes). J. Monet. Econ. 2018, 97, 117–148. [Google Scholar] [CrossRef]
- Cardoso, A.; Mourão, F.; Rocha, L. The matching scarcity problem: When recommenders do not connect the edges in recruitment services. Expert Syst. Appl. 2021, 175, 114764. [Google Scholar] [CrossRef]
- Albassam, W.A. The Power of Artificial Intelligence in Recruitment: An Analytical Review of Current AI-Based Recruitment Strategies. Int. J. Prof. Bus. Rev. 2023, 8, e02089. [Google Scholar] [CrossRef]
- Albert, E.T. AI in talent acquisition: A review of AI-applications used in recruitment and selection. Strateg. HR Rev. 2019, 18, 215–221. [Google Scholar] [CrossRef]
- Primiero, C.A.; Betz-Stablein, B.; Ascott, N.; D’Alessandro, B.; Gaborit, S.; Fricker, P.; Goldsteen, A.; González-Villà, S.; Lee, K.; Nazari, S.; et al. A protocol for annotation of total body photography for machine learning to analyze skin phenotype and lesion classification. Front. Med. 2024, 11, 1380984. [Google Scholar] [CrossRef]
- Tanantong, T.; Wongras, P. A UTAUT-Based Framework for Analyzing Users’ Intention to Adopt Artificial Intelligence in Human Resource Recruitment: A Case Study of Thailand. Systems 2024, 12, 28. [Google Scholar] [CrossRef]
- Davis, F. Perceived Usefulness, Perceived Ease of use and user acceptance of information technology. MIS Q. 1989, 13, 319–340. [Google Scholar] [CrossRef]
- Davis, F.D. User Acceptance of Information Systems: The Technology Acceptance Model (TAM); University of Michigan: Ann Arbor, MI, USA, 1987. [Google Scholar]
- Venkatesh, V.; Morris, M.G.; Davis, G.B.; Davis, F.D. User Acceptance of Information Technology: Toward a Unified View. JSTOR 2003, 27, 425–478. [Google Scholar] [CrossRef]
- Podsakoff, P.M.; Podsakoff, N.P.; Williams, L.J.; Huang, C.; Yang, J. Common method bias: It’s bad, it’s complex, it’s widespread, and it’s not easy to fix. Annu. Rev. Organ. Psychol. Organ. Behav. 2024, 11, 17–61. [Google Scholar] [CrossRef]
- VERBI Software. MAXQDA 2020 [Computer Software]; VERBI Software: Berlin, Germany, 2019. Available online: https://www.maxqda.com (accessed on 14 November 2024).
- Samaradiwakara, G.D. Comparison of Existing Technology acceptance theories and models to suggest a well improved theory/model. Int. Tech. Sci. J. 2014, 1, 21–36. [Google Scholar]
- Horodyski, P. Recruiter’s perception of artificial intelligence (AI)-based tools in recruitment. Comput. Hum. Behav. Rep. 2023, 10, 100298. [Google Scholar] [CrossRef]
- Turner, M.; Kitchenham, B.; Budgen, D.; Brereton, P. Lessons Learnt Undertaking a Large-scale Systematic Literature Review. In Proceedings of the 12th International Conference on Evaluation and Assessment in Software Engineering (EASE), Bari, Italy, 26–27 June 2008. [Google Scholar]
- Venkatesh, V.; Bala, H. Technology Acceptance Model 3 and a Research Agenda on Interventions. Decis. Sci. Inst. 2008, 39, 273–315. [Google Scholar] [CrossRef]
- Ghani, M.T.; Hamzah, M.; Ramli, S.; Daud, W.; Ramli, T.; Mokhtar, N. A questionnaire-based approach on technology acceptance model for mobile digital game-based learning. J. Glob. Bus. Soc. Entrep. (GBSE) 2019, 5, 11–21. [Google Scholar]
- Venkatesh, V.; Davis, F. A Theoretical Extension of the Technology Acceptance Model: Four Longitudinal Field Studies. Manag. Sci. 2000, 46, 186–2004. [Google Scholar] [CrossRef]
- Gibbs, G.R. Analyzing Qualitative Data. In SAGE Research Methods; SAGE Publications, Ltd.: Thousand Oaks, CA, USA, 2007; pp. 38–55. [Google Scholar]
- Love, J.; Selker, R.; Marsman, M.; Jamil, T.; Dropmann, D.; Verhagen, J.; Ly, A.; Gronau, Q.F.; Šmíra, M.; Epskamp, S.; et al. JASP: Graphical statistical software for common statistical designs. J. Stat. Softw. 2019, 88, 1–17. [Google Scholar]
- Kline, R.B. Principles and Practice of Structural Equation Modeling; Guilford Publications: New York, NY, USA, 2015. [Google Scholar]
- Hair, J.F., Jr.; da Silva Gabriel, M.L.D.; Patel, V.K. Modelagem de Equações Estruturais Baseada em Covariância (CB-SEM) com o AMOS: Orientações sobre a sua aplicação como uma Ferramenta de Pesquisa de Marketing. REMark-Rev. Bras. Mark. 2014, 13, 44–55. [Google Scholar] [CrossRef]
- Campos, J.G. Método de análise de conteúdo: Ferramenta para a análise de dados qualitativos no campo da saúde. Rev. Bras. De Enferm. 2004, 53, 611–614. [Google Scholar] [CrossRef] [PubMed]
- Davis, F.D.; Granić, A.; Marangunić, N. The Technology Acceptance Model: 30 Years of TAM; Springer International Publishing AG: Cham, Switzerland, 2024. [Google Scholar]
- Kelly, S.; Kaye, S.A.; Oviedo-Trespalacios, O. What factors contribute to the acceptance of artificial intelligence? A systematic review. Telemat. Inform. 2023, 77, 101925. [Google Scholar] [CrossRef]
- Almeida, F.; Silva, A.J.; Lopes, S.L. Artificial intelligence and people management in the 21st century. In Artificial Intelligence in Production Engineering and Management; Woodhead Publishing: London, UK, 2024; pp. 41–64. [Google Scholar]





| Benefits of AI Tools |
| “Making the process easier” (38%) |
| “Optimization and time management” (20%) |
| “Efficiency and efficacy” (17%) |
| “Accuracy and reduction of human bias” (9%) |
| “Cost reduction” (7%) |
| “No advantages or skepticism” (4%) |
| Disadvantages of AI Tools |
| “Lack of human touch” (36%) |
| “Possibility of error and lack of precision and reliability” (25%) |
| “Job reduction and unemployment” (18%) |
| “Ethical issues and privacy and data protection” (15%) |
| “Resistance to change” (11%) |
| “AI implementation costs” (9%) |
| “Excessive dependence” (7%). |
| Variable | Items | Reference |
|---|---|---|
| Perceived Usefulness α = 0.895 ω = 0.90 | Using AI-based tools in recruitment and selection would improve my job performance in doing my work. Using AI-based tools in Recruitment and selection would improve my productivity. Using AI-based tools in Recruitment and selection would enhance my effectiveness in my job. Using AI-based tools in Recruitment and selection would save me time. I would find AI-base tools in Recruitment and selection useful in my job. | On the basis of Davis et al. [16] |
| Perceived ease of use α = 0.85 ω = 0.85 | Learning to operate the AI-based tools in Recruitment and selection would be easy for me. I would find it easy to get the AI-based tools to do what I want it to do. It would be easy for me to become skillful in the use of the AI-based tools. My interaction with AI-based tools would be clear for me. I would find the AI-based tools easy to use in Recruitment and selection. | On the basis of Davis [16,41], Mark Turner et al. [48], and Davis and Venkatesh [49] |
| Attitude α = 0.937 ω = 0.936 | Using AI-based tools in Recruitment and selection is, in general, a good idea. I feel positive towards the use of AI-based tools in Recruitment and selection. Using AI-based tools in Recruitment and selection would make work more interesting. I would like to work with AI-based tools in Recruitment and selection for my future coursework. | On the basis of Ghani et al. [50] |
| Intention to use α = 0.883 ω = 0.885 | Assuming I have access to AI-based tools, I intend to use them throughout this semester and the next. I predict I will use AI-based tools in the next couple of years. I plan to use AI-based tools in the next couple years as often as possible. | On the basis of Venkatesh and Davis [51] and Venkatesh et al. [43] |
| Models | χ2/df | CFI | TLI | RMSEA | SRMR |
|---|---|---|---|---|---|
| Model 1 | 3.64 | 0.94 | 0.93 | 0.08 | 0.05 |
| Model 2 | 6.38 | 0.89 | 0.87 | 0.12 | 0.07 |
| Model 3 | 7.48 | 0.87 | 0.85 | 0.14 | 0.07 |
| Model 4 | 8.41 | 0.85 | 0.82 | 0.14 | 0.07 |
| M | SD | CR | AVE | MSV | 1 | 2 | 3 | 4 | 5 | |
|---|---|---|---|---|---|---|---|---|---|---|
| 1. PU | 3.86 | 0.77 | 0.92 | 0.71 | 0.84 | (0.68) | ||||
| 2. PEU | 3.73 | 0.69 | 0.90 | 0.64 | 0.80 | 0.51 ** | (0.28) | |||
| 3. Attitude | 3.70 | 0.89 | 0.96 | 0.85 | 0.92 | 0.83 ** | 0.53 ** | (0.68) | ||
| 4. ITU | 3.71 | 0.95 | 0.93 | 0.81 | 0.90 | 0.71 ** | 0.53 ** | 0.80 ** | (0.64) | |
| 5. Age | - | - | - | - | - | −0.03 | 0.00 | 0.00 | 0.03 | |
| 6. Tenure | - | - | - | - | - | −0.03 | −0.02 | 0.03 | 0.07 | 0.73 ** |
| 7. Gender 1 | - | - | - | - | - | 0.02 | −0.00 | −0.01 | 0.05 | 0.12 * |
| Direct Effect | ||||||||
| 95% CI | ||||||||
| Estim. | SE | z-value | p | LLCI | ULCI | |||
| PEU | → | IU | 0.036 | 0.01 | 3.433 | <0.001 | 0.01 | 0.06 |
| PU | → | IU | 0.028 | 0.01 | 1.968 | 0.04 | 0.00 | 0.06 |
| Indirect Effect | ||||||||
| 95% CI | ||||||||
| Estim. | SE | z-value | p | LLCI—ULCI | ||||
| PEU | At | IU | 0.027 | 0.007 | 4.066 | <0.001 | 0.01 | 0.04 |
| PU | At | IU | 0.127 | 0.01 | 10.178 | <0.001 | 0.10 | 0.16 |
| Total Effects | ||||||||
| 95% CI | ||||||||
| Estim. | SE | z-value | p | LLCI | ULCI | |||
| PEU | → | IU | 0.06 | 0.012 | 5.268 | <0.001 | 0.03 | 0.09 |
| PU | → | IU | 0.155 | 0.011 | 14.318 | <0.001 | 0.12 | 0.18 |
Disclaimer/Publisher’s Note: The statements, opinions and data contained in all publications are solely those of the individual author(s) and contributor(s) and not of MDPI and/or the editor(s). MDPI and/or the editor(s) disclaim responsibility for any injury to people or property resulting from any ideas, methods, instructions or products referred to in the content. |
© 2025 by the authors. Licensee MDPI, Basel, Switzerland. This article is an open access article distributed under the terms and conditions of the Creative Commons Attribution (CC BY) license (https://creativecommons.org/licenses/by/4.0/).
Share and Cite
Almeida, F.; Junça Silva, A.; Lopes, S.L.; Braz, I. Understanding Recruiters’ Acceptance of Artificial Intelligence: Insights from the Technology Acceptance Model. Appl. Sci. 2025, 15, 746. https://doi.org/10.3390/app15020746
Almeida F, Junça Silva A, Lopes SL, Braz I. Understanding Recruiters’ Acceptance of Artificial Intelligence: Insights from the Technology Acceptance Model. Applied Sciences. 2025; 15(2):746. https://doi.org/10.3390/app15020746
Chicago/Turabian StyleAlmeida, Filomena, Ana Junça Silva, Sara L. Lopes, and Isabel Braz. 2025. "Understanding Recruiters’ Acceptance of Artificial Intelligence: Insights from the Technology Acceptance Model" Applied Sciences 15, no. 2: 746. https://doi.org/10.3390/app15020746
APA StyleAlmeida, F., Junça Silva, A., Lopes, S. L., & Braz, I. (2025). Understanding Recruiters’ Acceptance of Artificial Intelligence: Insights from the Technology Acceptance Model. Applied Sciences, 15(2), 746. https://doi.org/10.3390/app15020746

