Enzymatic Modification of Apple Pomace and Its Application in Conjunction with Probiotics for Jelly Candy Production
Abstract
1. Introduction
2. Materials and Methods
2.1. Apple Pomace
2.2. Enzymatic Hydrolysis
2.3. Evaluation of Dietary Fibere and Reducing Sugars
2.4. Technological Properties
2.4.1. Water-Retention Capacity (WRC), Water-Swelling Capacity (WSC), and Solubility Index (SI)
2.4.2. Oil-Retention Capacity (ORC)
2.4.3. Emulsion Stability
2.4.4. Bulk Density
2.5. Preparation of Probiotic Jelly Candies
2.6. Probiotic Bacteria Viability Evaluation
2.7. Physicochemical Characteristics of Jelly Candies
2.8. Sensory Analysis
2.9. Statistical Analysis
3. Results
3.1. IDF, SDF, and RS Content in Enzymatically Treated Apple Pomace
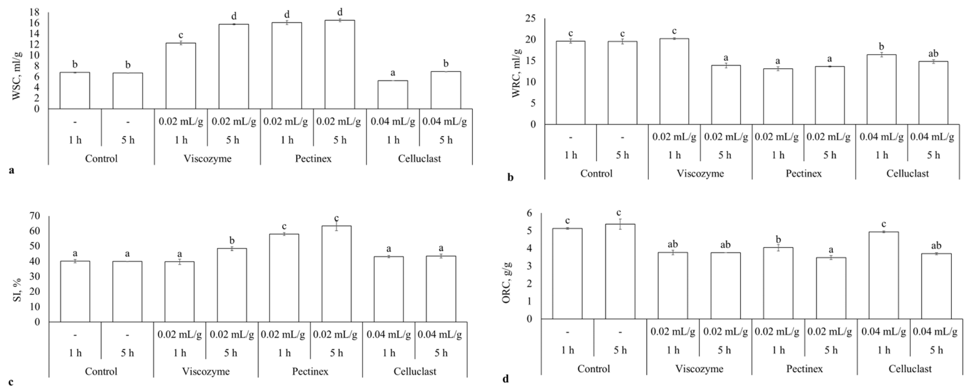
3.2. Technological Properties of Enzymatically Treated Apple Pomace
3.3. Jelly Candy Properties
3.3.1. Viability of Probiotics in Jelly Candies During Storage
3.3.2. Survival of Probiotics in Jelly Candies During In Vitro Digestion
3.3.3. Quality Characteristics of Probiotic Jelly Candies
4. Conclusions
Author Contributions
Funding
Institutional Review Board Statement
Informed Consent Statement
Data Availability Statement
Conflicts of Interest
References
- Tseng, A.; Zhao, Y. Wine Grape Pomace as Antioxidant Dietary Fibre for Enhancing Nutritional Value and Improving Storability of Yogurt and Salad Dressing. Food Chem. 2013, 138, 356–365. [Google Scholar] [CrossRef] [PubMed]
- Sah, B.N.P.; Vasiljevic, T.; McKechnie, S.; Donkor, O.N. Physicochemical, Textural and Rheological Properties of Probiotic Yogurt Fortified with Fibre-Rich Pineapple Peel Powder during Refrigerated Storage. LWT 2016, 65, 978–986. [Google Scholar] [CrossRef]
- Kauser, S.; Murtaza, M.A.; Hussain, A.; Imran, M.; Kabir, K.; Najam, A.; An, Q.U.; Akram, S.; Fatima, H.; Batool, S.A.; et al. Apple Pomace, a Bioresource of Functional and Nutritional Components with Potential of Utilization in Different Food Formulations: A Review. Food Chem. Adv. 2024, 4, 100598. [Google Scholar] [CrossRef]
- EFSA Panel on Dietetic Products, Nutrition, and Allergies (NDA). Scientific Opinion on Dietary Reference Values for Carbohydrates and Dietary Fibre. EFSA J. 2016, 8, 1462. [Google Scholar] [CrossRef]
- Shalini, R.; Gupta, D.K. Utilization of Pomace from Apple Processing Industries: A Review. J. Food Sci. Technol. 2010, 47, 365. [Google Scholar] [CrossRef]
- Bhushan, S.; Kalia, K.; Sharma, M.; Singh, B.; Ahuja, P.S. Processing of Apple Pomace for Bioactive Molecules. Crit. Rev. Biotechnol. 2008, 28, 285–296. [Google Scholar] [CrossRef]
- Lyu, F.; Luiz, S.F.; Azeredo, D.R.P.; Cruz, A.G.; Ajlouni, S.; Ranadheera, C.S. Apple Pomace as a Functional and Healthy Ingredient in Food Products: A Review. Processes 2020, 8, 319. [Google Scholar] [CrossRef]
- Ezzat, S.M.; Salama, M.; El Kersh, D.; Salem, M. Apple Pomace as a Source of Nutraceuticals. In Food and Agricultural Byproducts as Important Source of Valuable Nutraceuticals; Springer: Berlin/Heidelberg, Germany, 2022; pp. 75–86. [Google Scholar] [CrossRef]
- Kruczek, M.; Gumul, D.; Kacániová, M.; Ivanišhová, E.; Marecek, J.; Gambus, H. Industrial Apple Pomace By-Products as a Potential Source of pro-Health Compounds in Functional Food. J. Microbiol. Biotechnol. Food Sci. 2017, 7, 22–26. [Google Scholar] [CrossRef]
- Kschonsek, J.; Wolfram, T.; Stöckl, A.; Böhm, V. Polyphenolic Compounds Analysis of Old and New Apple Cultivars and Contribution of Polyphenolic Profile to the In Vitro Antioxidant Capacity. Antioxidants 2018, 7, 20. [Google Scholar] [CrossRef]
- Schneeman, B.O. Soluble vs Insoluble Fiber: Different Physiological Responses. Food Technol. 1987, 47, 81–82. [Google Scholar]
- Garcia-Amezquita, L.E.; Tejada-Ortigoza, V.; Serna-Saldivar, S.O.; Welti-Chanes, J. Dietary Fiber Concentrates from Fruit and Vegetable By-Products: Processing, Modification, and Application as Functional Ingredients. Food Bioprocess Technol. 2018, 11, 1439–1463. [Google Scholar] [CrossRef]
- Diez-Sánchez, E.; Quiles, A.; Hernando, I. Use of Berry Pomace to Design Functional Foods. Food Rev. Int. 2023, 39, 3204–3224. [Google Scholar] [CrossRef]
- FDA. Authors Health Claims: Fruits, Vegetables, and Grain Products That Contain Fiber, Particularly Soluble Fiber, and Risk of Coronary Heart Disease. Available online: https://www.ecfr.gov/current/title-21/chapter-I/subchapter-B/part-101/subpart-E/section-101.77 (accessed on 28 May 2022).
- Anderson, J.W.; Baird, P.; Davis, R.H.; Ferreri, S.; Knudtson, M.; Koraym, A.; Waters, V.; Williams, C.L. Health Benefits of Dietary Fiber. Nutr. Rev. 2009, 67, 188–205. [Google Scholar] [CrossRef] [PubMed]
- Procentese, A.; Russo, M.E.; Di Somma, I.; Marzocchella, A. Kinetic Characterization of Enzymatic Hydrolysis of Apple Pomace as Feedstock for a Sugar-Based Biorefinery. Energies 2020, 13, 1051. [Google Scholar] [CrossRef]
- Putra, N.R.; Rizkiyah, D.N.; Abdul Aziz, A.H.; Che Yunus, M.A.; Veza, I.; Harny, I.; Tirta, A. Waste to Wealth of Apple Pomace Valorization by Past and Current Extraction Processes: A Review. Sustainability 2023, 15, 830. [Google Scholar] [CrossRef]
- Lu, Q.; Liu, H.; Wang, Q.; Liu, J. Sensory and Physical Quality Characteristics of Bread Fortified with Apple Pomace Using Fuzzy Mathematical Model. Int. J. Food Sci. Technol. 2017, 52, 1092–1100. [Google Scholar] [CrossRef]
- Raczkowska, E.; Wojdyło, A.; Nowicka, P. Effect of the Addition of Apple Pomace and Erythritol on the Antioxidant Capacity and Antidiabetic Properties of Shortbread Cookies. Pol. J. Food Nutr. Sci. 2024, 74, 147–161. [Google Scholar] [CrossRef]
- Patel, A.; Naik, S.N.; Satya, S.; Ghodki, B.M.; Jana, S.; Sharma, P. Utilization of Industrial Waste of Amla and Apple Pomace for Development of Functional Biscuits: Physical, Microstructural, and Macroscopic Properties. J. Food Process Preserv. 2022, 46, 1. [Google Scholar] [CrossRef]
- Sudha, M.L.; Dharmesh, S.M.; Pynam, H.; Bhimangouder, S.V.; Eipson, S.W.; Somasundaram, R.; Nanjarajurs, S.M. Antioxidant and Cyto/DNA Protective Properties of Apple Pomace Enriched Bakery Products. J. Food Sci. Technol. 2016, 53, 1909–1918. [Google Scholar] [CrossRef]
- Terpou, A.; Papadaki, A.; Lappa, I.K.; Kachrimanidou, V.; Bosnea, L.A.; Kopsahelis, N. Probiotics in Food Systems: Significance and Emerging Strategies towards Improved Viability and Delivery of Enhanced Beneficial Value. Nutrients 2019, 11. [Google Scholar] [CrossRef]
- Mizock, B.A. Probiotics. Dis.-A-Mon. 2015, 61, 259–290. [Google Scholar] [CrossRef] [PubMed]
- Sessler, T.; Weiss, J.; Vodovotz, Y. Influence of PH and Soy Protein Isolate Addition on the Physicochemical Properties of Functional Grape Pectin Confections. Food Hydrocoll. 2013, 32, 294–302. [Google Scholar] [CrossRef]
- Confectionery Market Size & Share Report, 2028. Available online: https://www.grandviewresearch.com/industry-analysis/confectionery-market# (accessed on 17 November 2024).
- Gok, S.; Toker, O.S.; Palabiyik, I.; Konar, N. Usage Possibility of Mannitol and Soluble Wheat Fiber in Low Calorie Gummy Candies. LWT 2020, 128, 109531. [Google Scholar] [CrossRef]
- Renaldi, G.; Junsara, K.; Jannu, T.; Sirinupong, N.; Samakradhamrongthai, R.S. Physicochemical, Textural, and Sensory Qualities of Pectin/Gelatin Gummy Jelly Incorporated with Garcinia atroviridis and Its Consumer Acceptability. Int. J. Gastron. Food Sci. 2022, 28, 100505. [Google Scholar] [CrossRef]
- Viscozyme® L—Vegetables|Novozymes. Available online: https://biosolutions.novozymes.com/en/juice-fruit-vegetables/products/vegetables/viscozyme-l?gclid=Cj0KCQjw0oyYBhDGARIsAMZEuMv6eLmjvJUAG_R4_V8FY0UQv8f5ZzY9dp-b7bZx_mxH4ex0B3vnud8aAtTZEALw_wcB (accessed on 22 August 2022).
- Pectinex® Ultra Tropical|Novozymes. Available online: https://biosolutions.novozymes.com/en/juice-fruit-vegetables/products/tropical-fruits/pectinex-ultra-tropical (accessed on 22 August 2022).
- Yoshida, B.Y.; Prudencio, S.H. Physical, Chemical, and Technofunctional Properties of Okara Modified by a Carbohydrase Mixture. LWT 2020, 134, 110141. [Google Scholar] [CrossRef]
- Kitrytė, V.; Kraujalienė, V.; Šulniūtė, V.; Pukalskas, A.; Venskutonis, P.R. Chokeberry Pomace Valorization into Food Ingredients by Enzyme-Assisted Extraction: Process Optimization and Product Characterization. Food Bioprod. Process. 2017, 105, 36–50. [Google Scholar] [CrossRef]
- Miller, G.L. Use of Dinitrosalicylic Acid Reagent for Determination of Reducing Sugar. Anal. Chem. 1959, 31, 426–428. [Google Scholar] [CrossRef]
- Sheng, K.; Qu, H.; Liu, C.; Yan, L.; You, J.; Shui, S.; Zheng, L. A Comparative Assess of High Hydrostatic Pressure and Superfine Grinding on Physicochemical and Antioxidant Properties of Grape Pomace. Int. J. Food Sci. Technol. 2017, 52, 2106–2114. [Google Scholar] [CrossRef]
- Brodkorb, A.; Egger, L.; Alminger, M.; Alvito, P.; Assunção, R.; Ballance, S.; Bohn, T.; Bourlieu-Lacanal, C.; Boutrou, R.; Carrière, F.; et al. INFOGEST Static in Vitro Simulation of Gastrointestinal Food Digestion. Nat. Protoc. 2019, 14, 991–1014. [Google Scholar] [CrossRef]
- ISO 13299:2016. Sensory Analysis—Methodology—General Guidance for Establishing a Sensory Profile. Available online: https://www.iso.org/standard/58042.html (accessed on 17 December 2024).
- Borujeni, N.E.; Karimi, K.; Denayer, J.F.M.; Kumar, R. Apple Pomace Biorefinery for Ethanol, Mycoprotein, and Value-Added Biochemicals Production by Mucor Indicus. Energy 2022, 240, 122469. [Google Scholar] [CrossRef]
- Antonic, B.; Jancikova, S.; Dordevic, D.; Tremlova, B. Apple Pomace as Food Fortification Ingredient: A Systematic Review and Meta-Analysis. J. Food Sci. 2020, 85, 2977–2985. [Google Scholar] [CrossRef] [PubMed]
- Li, X.; He, X.; Lv, Y.; He, Q. Extraction and Functional Properties of Water-Soluble Dietary Fiber from Apple Pomace. J. Food Process Eng. 2014, 37, 293–298. [Google Scholar] [CrossRef]
- Oechslin, R.; Lutz, M.V.; Amadò, R. Pectic Substances Isolated from Apple Cellulosic Residue: Structural Characterisation of a New Type of Rhamnogalacturonan I. Carbohydr. Polym. 2003, 51, 301–310. [Google Scholar] [CrossRef]
- Will, F.; Bauckhage, K.; Dietrich, H. Apple Pomace Liquefaction with Pectinases and Cellulases: Analytical Data of the Corresponding Juices. Eur. Food Res. Technol. 2000, 211, 291–297. [Google Scholar] [CrossRef]
- Capek, P.; Renard, C.M.G.C.; Thibault, J.F. Enzymatic Degradation of Cell Walls of Apples and Characterization of Solubilized Products. Int. J. Biol. Macromol. 1995, 17, 337–340. [Google Scholar] [CrossRef][Green Version]
- Mrabet, A.; Rodríguez-Gutiérrez, G.; Rubio-Senent, F.; Hamza, H.; Rodríguez-Arcos, R.; Guillén-Bejarano, R.; Sindic, M.; Jiménez-Araujo, A. Enzymatic Conversion of Date Fruit Fiber Concentrates into a New Product Enriched in Antioxidant Soluble Fiber. LWT 2017, 75, 727–734. [Google Scholar] [CrossRef]
- Elleuch, M.; Bedigian, D.; Roiseux, O.; Besbes, S.; Blecker, C.; Attia, H. Dietary Fibre and Fibre-Rich by-Products of Food Processing: Characterisation, Technological Functionality and Commercial Applications: A Review. Food Chem. 2011, 124, 411–421. [Google Scholar] [CrossRef]
- Dangi, N.; Yadav, B.S. Characterization of Partial Acid Hydrolysates of Citrus Pectin for Their Pasting, Rheological and Thermal Properties. J. Food Sci. Technol. 2020, 57, 2681–2692. [Google Scholar] [CrossRef]
- Dranca, F.; Vargas, M.; Oroian, M. Physicochemical Properties of Pectin from Malus domestica ‘Fălticeni’ Apple Pomace as Affected by Non-Conventional Extraction Techniques. Food Hydrocoll. 2020, 100, 105383. [Google Scholar] [CrossRef]
- Naqash, F.; Masoodi, F.A.; Gani, A.; Nazir, S.; Jhan, F. Pectin Recovery from Apple Pomace: Physico-Chemical and Functional Variation Based on Methyl-Esterification. Int. J. Food Sci. Technol. 2021, 56, 4669–4679. [Google Scholar] [CrossRef]
- Caparino, O.A.; Tang, J.; Nindo, C.I.; Sablani, S.S.; Powers, J.R.; Fellman, J.K. Effect of Drying Methods on the Physical Properties and Microstructures of Mango (Philippine ‘Carabao’ Var.) Powder. J. Food Eng. 2012, 111, 135–148. [Google Scholar] [CrossRef]
- Nemetz, N.J.; Schieber, A.; Weber, F. Application of Crude Pomace Powder of Chokeberry, Bilberry, and Elderberry as a Coloring Foodstuff. Molecules 2021, 26, 2689. [Google Scholar] [CrossRef] [PubMed]
- Afrin, S.M.; Acharjee, A.; Sit, N. Convective Drying of Orange Pomace at Different Temperatures and Characterization of the Obtained Powders. J. Food Sci. Technol. 2022, 59, 1040–1052. [Google Scholar] [CrossRef]
- Zhai, J.; Wooster, T.J.; Hoffmann, S.V.; Lee, T.H.; Augustin, M.A.; Aguilar, M.I. Structural Rearrangement of β-Lactoglobulin at Different Oil-Water Interfaces and Its Effect on Emulsion Stability. Langmuir 2011, 27, 9227–9236. [Google Scholar] [CrossRef] [PubMed]
- Chen, J.; Mu, T.; Zhang, M.; Goffin, D. Effect of Heat Treatments on the Structure and Emulsifying Properties of Protein Isolates from Cumin Seeds (Cuminum cyminum). Food Sci. Technol. Int. 2018, 24, 673–687. [Google Scholar] [CrossRef] [PubMed]
- Huc-Mathis, D.; Journet, C.; Fayolle, N.; Bosc, V. Emulsifying Properties of Food By-Products: Valorizing Apple Pomace and Oat Bran. Colloids Surf. A Physicochem. Eng. Asp. 2019, 568, 84–91. [Google Scholar] [CrossRef]
- Cizeikiene, D.; Jagelaviciute, J. Investigation of Antibacterial Activity and Probiotic Properties of Strains Belonging to Lactobacillus and Bifidobacterium Genera for Their Potential Application in Functional Food and Feed Products. Probiotics Antimicrob. Proteins 2021, 13, 1387–1403. [Google Scholar] [CrossRef]
- Zhang, R.; He, L.; Zhang, L.; Li, C.; Zhu, Q. Screening of Cholesterol-Lowering Bifidobacterium from Guizhou Xiang Pigs, and Evaluation of Its Tolerance to Oxygen, Acid, and Bile. Korean J. Food Sci. Anim. Resour. 2016, 36, 37–43. [Google Scholar] [CrossRef]
- O’Mahony, D.; Murphy, S.; Boileau, T.; Park, J.S.; O’Brien, F.; Groeger, D.; Konieczna, P.; Ziegler, M.; Scully, P.; Shanahan, F.; et al. Bifidobacterium animalis AHC7 Protects against Pathogen-Induced NF-ΚB Activation in Vivo. BMC Immunol. 2010, 11, 63. [Google Scholar] [CrossRef]
- Kozak, T.; Lykhova, O.; Serhiichuk, T.; Bezdieniezhnykh, N.; Chekhun, V. Optimization of experimental model systems for evaluating reciprocal influence of Bifidobacterium animalis and human breast cancer cells in vitro. Exp. Oncol. 2024, 45, 504–514. [Google Scholar] [CrossRef]
- Tripathi, M.K.; Giri, S.K. Probiotic Functional Foods: Survival of Probiotics during Processing and Storage. J. Funct. Foods 2014, 9, 225–241. [Google Scholar] [CrossRef]
- Abedinia, A.; Alimohammadi, F.; Teymori, F.; Razgardani, N.; Asl, M.R.S.; Ariffin, F.; Nafchi, A.M.; Huda, N.; Roslan, J. Characterization and Cell Viability of Probiotic/Prebiotics Film Based on Duck Feet Gelatin: A Novel Poultry Gelatin as a Suitable Matrix for Probiotics. Foods 2021, 10, 1761. [Google Scholar] [CrossRef] [PubMed]
- Campaniello, D.; Bevilacqua, A.; Speranza, B.; Sinigaglia, M.; Corbo, M.R. Alginate- and Gelatin-Coated Apple Pieces as Carriers for Bifidobacterium animalis Subsp. Lactis DSM 10140. Front. Microbiol. 2020, 11, 566596. [Google Scholar] [CrossRef] [PubMed]
- Alvarez, M.V.; Bambace, M.F.; Quintana, G.; Gomez-Zavaglia, A.; Moreira, M.d.R. Prebiotic-Alginate Edible Coating on Fresh-Cut Apple as a New Carrier for Probiotic Lactobacilli and Bifidobacteria. LWT 2021, 137, 110483. [Google Scholar] [CrossRef]
- Wilkowska, A.; Nowak, A.; Antczak-Chrobot, A.; Motyl, I.; Czy, A.; Paliwoda, A. Structurally Different Pectic Oligosaccharides Produced from Apple Pomace and Their Biological Activity In Vitro. Foods 2019, 8, 365. [Google Scholar] [CrossRef]
- Vlad, C.C.; Păcularu-Burada, B.; Vasile, A.M.; Milea Ștefania, A.; Bahrim, G.E.; Râpeanu, G.; Stănciuc, N. Upgrading the Functional Potential of Apple Pomace in Value-Added Ingredients with Probiotics. Antioxidants 2022, 11, 2028. [Google Scholar] [CrossRef]
- Ibrahim, I.N.; Kamaruding, N.A.; Ismail, N.; Shaharuddin, S. Value Addition to Ice Cream by Fortification with Okara and Probiotic. J. Food Process Preserv. 2022, 46, e16253. [Google Scholar] [CrossRef]
- La Cava, E.; Gerbino, E.; Sgroppo, S.; Gomez-Zavaglia, A. Baked Mango Slices Coated with Lactiplantibacillus plantarum Immobilized in Pectic Extracts. Appl. Food Res. 2022, 2, 100236. [Google Scholar] [CrossRef]
- Gómez-García, R.; Vilas-Boas, A.A.; Machado, M.; Campos, D.A.; Aguilar, C.N.; Madureira, A.R.; Pintado, M. Impact of Simulated in Vitro Gastrointestinal Digestion on Bioactive Compounds, Bioactivity and Cytotoxicity of Melon (Cucumis melo L. Inodorus) Peel Juice Powder. Food Biosci. 2022, 47, 101726. [Google Scholar] [CrossRef]
- Soares, M.B.; Martinez, R.C.R.; Pereira, E.P.R.; Balthazar, C.F.; Cruz, A.G.; Ranadheera, C.S.; Sant’Ana, A.S. The Resistance of Bacillus, Bifidobacterium, and Lactobacillus Strains with Claimed Probiotic Properties in Different Food Matrices Exposed to Simulated Gastrointestinal Tract Conditions. Food Res. Int. 2019, 125, 108542. [Google Scholar] [CrossRef]
- Talebzadeh, S.; Sharifan, A. Developing Probiotic Jelly Desserts with Lactobacillus acidophilus. J. Food Process Preserv. 2017, 41, e13026. [Google Scholar] [CrossRef]
- Mandura, A.; Šeremet, D.; Ščetar, M.; Vojvodić Cebin, A.; Belščak-Cvitanović, A.; Komes, D. Physico-Chemical, Bioactive, and Sensory Assessment of White Tea-Based Candies during 4-Months Storage. J. Food Process Preserv. 2020, 44, e14628. [Google Scholar] [CrossRef]
- Altınok, E.; Palabiyik, I.; Gunes, R.; Toker, O.S.; Konar, N.; Kurultay, S. Valorisation of Grape By-Products as a Bulking Agent in Soft Candies: Effect of Particle Size. LWT 2020, 118, 108776. [Google Scholar] [CrossRef]
- Spinei, M.; Oroian, M. Characterization of Băbească Neagră Grape Pomace and Incorporation into Jelly Candy: Evaluation of Phytochemical, Sensory, and Textural Properties. Foods 2024, 13, 98. [Google Scholar] [CrossRef] [PubMed]






| Storage Days | JCC | JCA |
|---|---|---|
| 1 | 7.80 ± 0.10 aE | 7.86 ± 0.14 aE |
| 7 | 7.48 ± 0.05 aCD | 7.74 ± 0.08 bDE |
| 14 | 7.35 ± 0.07 aC | 7.63 ± 0.02 bD |
| 28 | 6.80 ± 0.06 aB | 7.38 ± 0.03 bC |
| 42 | 6.69 ± 0.07 aB | 7.11 ± 0.02 bB |
| 56 | 6.28 ± 0.28 aA | 6.64 ± 0.10 aA |
| Phases of In Vitro Digestion | JCC | JCA |
|---|---|---|
| Saline phase | 6.28 ± 0.28 aB | 6.64 ± 0.10 aB |
| Gastric phase | 6.15 ± 0.14 aB | 6.40 ± 0.11 bB |
| Intestine phase | 5.79 ± 0.04 aA | 6.09 ± 0.02 bA |
| Storage Days | pH | TTA, mL, 0.1 N of NaOH/10 g | ||
|---|---|---|---|---|
| JCC | JCA | JCC | JCA | |
| 1 | 4.78 ± 0.01 aB | 4.56 ± 0.01 aA | 5.17 ± 0.18 aB | 6.55 ± 0.18 aA |
| 7 | 4.79 ± 0.02 aB | 4.56 ± 0.02 aA | 5.12 ± 0.22 aB | 6.57 ± 0.17 aA |
| 14 | 4.78 ± 0.01 aB | 4.56 ± 0.02 aA | 5.18 ± 0.18 aB | 6.55 ± 0.16 aA |
| 28 | 4.80 ± 0.02 aB | 4.60 ± 0.01 aA | 5.12 ± 0.10 aB | 6.57 ± 0.16 aA |
| 42 | 4.80 ± 0.01 aB | 4.58 ± 0.01 aA | 5.16 ± 0.03 aB | 6.50 ± 0.09 aA |
| 56 | 4.80 ± 0.01 aB | 4.58 ± 0.01 aA | 5.15 ± 0.03 aB | 6.58 ± 0.16 aA |
| Candies | Storage Days | Hardness, N | Colour Characteristics | |||
|---|---|---|---|---|---|---|
| L* | a* | b* | ΔE | |||
| JCC | 1 | 23.92 ± 1.06 aA | 78.58 ± 0.33 bD | 0.54 ± 0.02 bD | 11.54 ± 0.47 aB | - |
| 56 | 36.39 ± 1.30 bB | 73.63 ± 0.33 aC | −0.06 ± 0.04 aC | 11.19 ± 0.32 aB | 4.86 ± 0.35 A | |
| JCA | 1 | 24.49 ± 0.43 aA | 37.20 ± 0.05 bB | 9.53 ± 0.24 bB | 12.73 ± 0.15 bB | - |
| 56 | 20.40 ± 0.84 aA | 31.35 ± 0.11 aA | 6.83 ± 0.34 aA | 8.05 ± 0.33 aA | 7.98 ± 0.33 B | |
Disclaimer/Publisher’s Note: The statements, opinions and data contained in all publications are solely those of the individual author(s) and contributor(s) and not of MDPI and/or the editor(s). MDPI and/or the editor(s) disclaim responsibility for any injury to people or property resulting from any ideas, methods, instructions or products referred to in the content. |
© 2025 by the authors. Licensee MDPI, Basel, Switzerland. This article is an open access article distributed under the terms and conditions of the Creative Commons Attribution (CC BY) license (https://creativecommons.org/licenses/by/4.0/).
Share and Cite
Jagelavičiutė, J.; Čižeikienė, D.; Bašinskienė, L. Enzymatic Modification of Apple Pomace and Its Application in Conjunction with Probiotics for Jelly Candy Production. Appl. Sci. 2025, 15, 599. https://doi.org/10.3390/app15020599
Jagelavičiutė J, Čižeikienė D, Bašinskienė L. Enzymatic Modification of Apple Pomace and Its Application in Conjunction with Probiotics for Jelly Candy Production. Applied Sciences. 2025; 15(2):599. https://doi.org/10.3390/app15020599
Chicago/Turabian StyleJagelavičiutė, Jolita, Dalia Čižeikienė, and Loreta Bašinskienė. 2025. "Enzymatic Modification of Apple Pomace and Its Application in Conjunction with Probiotics for Jelly Candy Production" Applied Sciences 15, no. 2: 599. https://doi.org/10.3390/app15020599
APA StyleJagelavičiutė, J., Čižeikienė, D., & Bašinskienė, L. (2025). Enzymatic Modification of Apple Pomace and Its Application in Conjunction with Probiotics for Jelly Candy Production. Applied Sciences, 15(2), 599. https://doi.org/10.3390/app15020599

