Next Article in Journal
Sun-Drying and Melatonin Treatment Effects on Apricot Color, Phytochemical, and Antioxidant Properties
Previous Article in Journal
Investigation for Possible Association of the Topside and Bottomside Ionospheric Irregularities over the Midlatitude Ionosphere
 
 
Font Type:
Arial Georgia Verdana
Font Size:
Aa Aa Aa
Line Spacing:
Column Width:
Background:
Article

Analysis of the Effect of Frequency Weighting According to the Sperling Index Method on the Dynamic Response of the Railway Vehicle Carbody to Vertical Vibrations

by
Ioana Izabela Apostol
,
Mădălina Dumitriu
* and
Traian Mazilu
*
Department of Railway Vehicles, National University of Science and Technology Politehnica Bucharest, 060042 Bucharest, Romania
*
Authors to whom correspondence should be addressed.
Appl. Sci. 2025, 15(2), 507; https://doi.org/10.3390/app15020507
Submission received: 6 October 2024 / Revised: 31 December 2024 / Accepted: 2 January 2025 / Published: 7 January 2025
(This article belongs to the Section Acoustics and Vibrations)

Abstract

The topic of the paper is part of the research area in which the methods of ride comfort evaluation are investigated, to identify their advantages and limitations, the correlation of the comfort indices obtained by different methods, and even the improvement of these methods as an application methodology or as an interpretation. In this paper, the Sperling index method is analyzed from a new perspective, specifically, the effect that the frequency weighting functions specific to this method have on the dynamic response of the railway vehicle carbody, as evaluated by the power spectral density (PSD) of the acceleration. The analysis is based on numerical simulation results for three different cases: respectively, the unweighted PSD of the acceleration, the frequency-weighted PSD of the acceleration with the function for the evaluation of ride quality (RQ)and the weighting function for the evaluation of ride comfort (RC). The applications for the numerical simulation are based on an original vehicle–track system model with 15 degrees of freedom, which includes a rigid–flexible coupled model of the vehicle and the equivalent model of the track. This model considers important elements that can influence the vertical vibration behavior of the carbody, namely, the carbody structural flexibility, which is represented by an equivalent Euler–Bernoulli beam, the system through which the longitudinal forces are transmitted from the bogies to the carbody, and the elasticity of the wheel–rail contact. Based on the analyses developed in the paper, the relevant conclusions regarding the effect of the frequency weighting functions specific to the Sperling index method on the dominant vertical vibration modes of the carbody are synthesized. These conclusions are correlated with the results of the Wz index for the RQ evaluation and the RC evaluation.

1. Introduction

The dynamic performance of railway vehicles can be defined according to RQ, RC, safety, and track fatigue. The evaluation of these performances requires the use of specific methods and evaluation criteria that consider a number of aspects, such as the type and characteristics of the vehicle, the operating conditions, the speed regime, or the quality of the track. For example, for the railway administrations affiliated with the International Union of Railways (UIC), UIC 518 [1] includes the reference conditions for carrying out tests and analyzing the results in order to approve railway vehicles from the point of view of RQ, safety, and track fatigue. In Europe, specifications for the homologation tests of railway vehicles in terms of dynamic behavior are included in the railway application standard EN 14363 [2].
For the evaluation of RC, no universally valid method can be applied at the international level, because, from one country to another, the vibration characteristics of railway vehicles may vary due to the condition of the vehicles and the lines or the operating conditions [3]. Also, the methods for RC evaluation must be adapted to the specifics of the traffic, namely urban, suburban, or long-distance. For example, in Japan and Korea, where trains in urban areas are very crowded, it is a common practice that the permissible limits of vibration to which passengers are exposed are not established for the seated position but for the least comfortable position [4,5]. This explains why there are several methods for evaluating RC that have appeared over time, independently, in different countries [6].
Out of the practical need to assess the state of comfort that passengers feel during the train journey, several standards, guidelines, and procedures have been developed. The AS 2670 standard [7,8], the BS 6841 standard [9], the UIC 513R [10], the ISO 10056 standard [11], and the railway applications standard EN 12299 [12] are based on different versions of the ISO 2631 standard developed by the International Organization for Standardization [13,14,15]. A reference method for evaluating RQ and RC of the railway vehicles is the method known as the Sperling index method or Wz index method [16,17]. This method introduces, for the first time, the notions of the RC index and the RQ index, the latter also being referred to asthe Wz index.
In the context of the considerations presented above, several researchers have come to the conclusion that, in the absence of a generally applicable RC evaluation method, it would be useful to establish a relationship between comfort indices obtained by different methods, which would allow the immediate transformation of one index into another, or, at least, to identify the advantages and limitations of one RC evaluation method in relation to another. However, this task is also a very difficult one because each RC evaluation method has different expressions, and the comfort indices depend on the way in which the railway vehicle vibrations are measured and processed. Thus, a research area was established, in which several reference papers can be found. One of these is that of Kim et al. [5], in which the relationships between several methods for the evaluation of the RC of the railway vehicles was analyzed. These methods are the Sperling index method, the mean comfort method according to the UIC 513 and the EN 12299, and the method based on RMS acceleration (root mean square of the acceleration) in accordance with ISO 2631. Dumitriu and Leu [18], as well as Dumitriu and Stănică [19], made a correlation between RC indices for vertical vibrations calculated according to EN 12299 and the Sperling index method based on the similarity between the sensation of comfort and the values of the indices corresponding to the two methods. Munawir et al. [20] evaluated the RC for two positions of the passenger—the seated position and the standing position by the method corresponding to EN 12299—and the results obtained were validated based on the Sperling method. Jiang et al. [21] examined the advantages and limitations of the mean comfort index method and the Wz index method using experimental data. To identify an optimal method for evaluating RC in trams, Haladin et al. [22] compared three methods of RC evaluation, namely the equivalent vibration level method according to ISO 2631, the Wz index method, and the mean comfort method. Starting from the premise that each RC evaluation method has certain advantages and disadvantages that depend on the running conditions of the railway vehicle, Alehashem and co-authors [23] used two methods in parallel—the Sperling index method and the mean comfort method according to UIC 513—to test the effectiveness of a new magneto–rheological damper installed in the secondary lateral suspension system of a high-speed vehicle. Novillo et al. [24] applied the RMS acceleration method, according to ISO 2631 and the mean comfort method according to EN 12299, to evaluate RC in a tram in the city of Cuenca, Ecuador. The results obtained with both methods showed that the tram is pleasant and that oscillations are barely perceived by the passengers.
Sun et al. [25] noticed that the issue of carbody hunting instability has rarely been considered in RC evaluation. In addressing this issue, different RC evaluation methods, namely the Sperling index method, the mean comfort method, and the continuous comfort method, are compared. In this context, using experimental results, the advantages and limits of these methods are analyzed and the most suitable method for evaluating the carbody hunting instability is determined.
Recently, a team of researchers from Spain raised the issue of improving the current methods for evaluating RC, both in terms of methodology and interpretations [26]. Reference was made to the Sperling index method and the mean comfort method on the EN 12299 standard, which, in the current context of increasing speeds and the use of light structures, seem to be outdated. The research on the Sperling index method developed by Deng and co-authors [27] is also in the same line. They investigated the dependence of the Sperling index on the calculation algorithms used and showed that the results obtained based on the analysis in the time domain and based on the analysis in the frequency domain can be inconsistent in some situations.
In a recent paper, Silva et al. [6] published a review paper in which they conducted a systematic analysis on RC assessment. In this paper, they dedicated a large section to RC analysis. In the first part of this section, the most well-known RC assessment methods are presented, namely the ISO 2631 method, the mean comfort method, and the Sperling index method. In the second part of the section, dedicated to RC analysis, some of the papers mentioned above [5,19,20,21] are presented, in which the RC assessment methods are analyzed. Finally, they conclude that although all three RC assessment methods have some advantages and limitations, the ISO 2631 standard is widely used.
A review of the most recent methods for evaluating and improving RC of the railway vehicles is also found in reference [28]. In this context, it is shown that the Sperling index method does not reflect the effect of the duration of exposure to vibrations, but that this index offers advantages to designers, giving the possibility to improve the damping of the lateral and vertical suspension of the vehicle by assuming that the vertical and lateral motions are decoupled. It is also summarized that the comfort indices corresponding to various assessment approaches vary due to different reasons, including the acceleration measurement, index calculation, and evaluation thresholds. All comfort indices have advantages and disadvantages, so using several comparison and reference methods in the evaluation of vibration comfort is recommended.
The present paper is part of the area of research described above, focusing on the investigation of RC evaluation methods, but with a completely different approach. In the paper, the effect of frequency weighting, corresponding to the Sperling index method, is analyzed both for the evaluation of RQ and for the evaluation of RC, on the dynamic response of the railway vehicle carbody to vertical vibrations. These aspects help outline how the frequency weighting functions influence the RC and RQ assessments according to the Sperling index method.
The numerical simulation applications were developed based on an original 15 degrees of freedom model of the vehicle–track system, which includes the rigid and flexible modes of the vehicle, as well as an equivalent model for the track. This model considers important factors for vehicle vibration, namely the carbody’s structural flexibility, the system through which the longitudinal forces are transferred between the bogies and the carbody, and the elasticity of the wheel–rail contact. The carbody vibration is calculated in an original manner, represented as the form of the PSD of the acceleration for three different analysis cases: unweighted PSD of the acceleration, and frequency-weighted PSD of the acceleration with the corresponding weighting functions for RQ and RC evaluation. These analyses lead to important conclusions regarding the effect of the two weighting functions on the dominant vibration modes of the carbody, which are then correlated with the results for the Wz indices used in the evaluation of RQ and RC.

2. The Mechanical Model of the Railway Vehicle–Track System

Figure 1 displays the mechanical model of a passenger railway vehicle running at constant velocity on a straight track affected by random vertical irregularities. The mechanical model of the vehicle comprises an equivalent beam for the carbody, two rigid bodies for the chassis of the bogies, and four rigid bodies for the vehicle wheelsets. These bodies are coupled to each other by Kelvin–Voigt systems, through which the secondary suspension and the primary suspension of the vehicle are represented.
The carbody model exhibits three vibration modes: bounce, pitch, and the first vertical bending mode. The carbody inertia in relation to the bounce and pitch modes is represented by the mass mc and the moment of inertia Jc.
In Figure 1, the displacements and the rotation of the carbody in the vertical plane are highlighted. The bounce motion is denoted as zc, and the rotation angle of the pitch motion is denoted as θc. The displacement of a section of the carbody, denoted as uc, results from the superposition of the three vibration modes mentioned above.
At a given instant of time t, the vertical displacement of the carbody at section x is given by the following relation:
u c ( x , t ) = z c ( t ) + x l c 2 θ c ( t ) + Y c ( x ) T c ( t ) ,
where Tc is the time coordinate of the first vertical bending mode, Yc is the eigenfunction of the vertical bending, and lc represents the length of the carbody.
The Yc eigenfunction is calculated with the following relationship:
Y c ( x ) = sin α x + sinh α x sin α l c sinh α l c cos α l c cosh α l c ( cos α x + cosh α x ) ,
where
α = ω c 2 ρ c E c I c 4
is the solution to the equation
cos α l c cosh α l c = 1 ;
ωc is the natural angular frequency of the carbody vertical bending; ρc = mc/lc is the carbody mass per unit length; EcIc represents the bending stiffness of the carbody; with Ec represents Young’s modulus; and Ic represents the second moment of aria of the cross section of the carbody.
For bogies, two degrees of freedom are considered: the bounce denoted as zb1,2 and the pitch denoted as θb1,2. mb denotes the bogie chassis mass, and Jb denotes the moment of inertia.
The wheelsets, with mass mw, have vertical motion denoted by zw1…4.
Above each wheelset, the track model is an oscillator with one degree of freedom, having mass mr, stiffness 2kzr, and damping constant 2czr. This is justified because the coupling between the wheels via the rail bending waves can be neglected at low frequencies. Oscillator displacement is denoted by zr1…4. The vertical irregularities of the track in front of each wheel are denoted with η1…4. When the track irregularity is a harmonic function, the vertical irregularities η1…4 can be calculated as follows:
η 1 , 2 ( x ) = η 0 cos 2 π Λ ( x + a c ± a b ) = cos ω t + a c ± a b V ,
η 3 , 4 ( x ) = η 0 cos 2 π Λ ( x a c ± a b ) = η 0 cos ω t a c ± a b   V ,
where x = Vt gives the position of the carbody center (V represents the velocity of the vehicle), and ω = 2πV/Λ is the angular frequency induced by the track irregularity of the amplitude η0 and wavelength Λ.
To model the wheel–rail contact, a linear elastic element of stiffness 2kH is inserted in each wheel–rail pair.
The primary suspension model consists of a single Kelvin–Voigt system for each wheelset with the stiffness of 2kzb and the damping constant 2czb. The model of the secondary suspension has two Kelvin–Voigt systems per bogie, one for the vertical displacement and other one for the longitudinal displacement. The vertical stiffness and damping constant are denoted by 2kzc and 2czc, respectively, and the longitudinal stiffness and damping constant are denoted by 2kxc and 2cxc, respectively. The longitudinal Kelvin–Voigt system is positioned at the distance hc in relation to the neutral axis of the carbody and at the distance hb from the bogie center.
On the model in Figure 1, three relevant points are labeled: point M, positioned at the carbody middle, and points B1 and B2, located above to the two bogies.
To derive the equations of motion for the vibration modes of the carbody, the following equation is used as the starting point:
E c I c 4 u c ( x , t ) x 4 + μ I c 5 u c ( x , t ) x 4 t + ρ c 2 u c ( x , t ) t 2 = i = 1 2 F z c i δ ( x l i ) + h c i = 1 2 F x c i d δ ( x l i ) d x ,
where δ(.) is Dirac’s delta function, μ represents the damping coefficient, the distances l1,2 fix the position of the carbody support points on the secondary suspension, and the forces Fzc1,2 and Fxc1,2 are applied by the components of the secondary suspension.
The distances l1,2 are calculated according to the carbody length lc and its semi-wheelbase, denoted with ac and, respectively,
l 1 , 2 = l c 2 ± a c .
For the forces, due to the secondary suspension, the relations are given as follows:
F z c 1 , 2 = 2 c z c u c ( l 1 , 2 , t ) t z ˙ b 1 , 2 2 k z c u c ( l 1 , 2 , t ) z b 1 , 2 ,
F x c 1 , 2 = 2 c x c h c 2 u c ( l 1 , 2 , t ) x t + h b θ ˙ b 1 , 2 + 2 k x c h c u c ( l 1 , 2 , t ) x + h b θ b 1 , 2 .
The equations of motion for the vibration modes of the carbody are obtained via the following modal analysis technique:
m c z ¨ c = i = 1 2 F z c i
J c θ ¨ c = i = 1 2 F z c i l i l c 2 h c i = 1 2 F x c i ,
m m c T ¨ c + c m c T ˙ c + k m c T c = i = 1 2 F z c i Y c ( l i ) h c i = 1 2 F x c i d Y c ( l i ) d x ,
where mmc, cmc, and kmc are the modal mass, modal damping, and modal stiffness of the carbody, and are calculated with the following relations:
m m c = ρ c 0 L Y c 2 d x ,   c m c = μ I c 0 L d 2 Y c d x 2 2 d x , k m c = E c I c 0 L d 2 Y c d x 2 2 d x .
In the equations of motion of the carbody (11)–(13), the expressions of the forces Fzc1,2 and Fxc1,2 are substituted, according to relations (9) and (10). Also, the next notations are introduced as follows:
Y c ( l 1 ) = Y c ( l 2 ) = ε ,
d Y c ( l 1 ) d x = d Y c ( l 2 ) d x = λ .
The equations of motion of the carbody become the following:
m c z ¨ c + 2 c z c ( 2 z ˙ c + 2 ε T ˙ c z ˙ b 1 z ˙ b 2 ) + 2 k z c ( 2 z c + 2 ε T c z b 1 z b 2 ) = 0 ,
J c θ ¨ c + 2 c z c a c ( 2 a c θ ˙ c z ˙ b 1 + z ˙ b 2 ) + 2 k z c a c ( 2 a c θ c z b 1 + z b 2 ) + + 2 c x c h c [ 2 h c θ ˙ c + h b ( θ ˙ b 1 + θ ˙ b 2 ) ] + 2 k x c h c [ 2 h c θ c + h b ( θ b 1 + θ b 2 ) ] = 0 ,
m m c T ¨ c + c m c T ˙ c + k m c T c + + 2 c z c ε ( 2 z ˙ c + 2 ε T ˙ c z ˙ b 1 z ˙ b 2 ) + 2 k z c ε ( 2 z c + 2 ε T c z b 1 z b 2 ) + + 2 c x c h c λ [ 2 h c λ T ˙ c + h b ( θ ˙ b 1 θ ˙ b 2 ) ] + 2 k x c h c λ [ 2 h c λ T c + h b ( θ b 1 θ b 2 ) ] = 0 .
The equations that describe the motion of the bogies are as follows:
m b z ¨ b 1 = j = 1 2 F z b j F z c 1 ,
m b z ¨ b 2 = j = 3 4 F z b j F z c 2 ,
J b θ ¨ b 1 = a b j = 1 2 ( 1 ) j + 1 F z b j h b F x c 1 ,
J b θ ¨ b 2 = a b j = 3 4 ( 1 ) j + 1 F z b j h b F x c 2 ,
in which Fzbj are the forces applied by components of the primary suspension:
F z b 1 , 2 = 2 c z b ( z ˙ b 1 ± a b θ ˙ b 1 z ˙ w 1 , 2 ) 2 k z b ( z b 1 ± a b θ b 1 z w 1 , 2 ) ,
F z b 3 , 4 = 2 c z b ( z ˙ b 2 ± a b θ ˙ b 2 z ˙ w 3 , 4 ) 2 k z b ( z b 2 ± a b θ b 2 z w 3 , 4 ) ,
where ab represents the semi-wheelbase of the bogie.
After processing, Equations (20)–(23) become the following:
m b z ¨ b 1 + 2 c z b [ z ˙ b 1 ( z ˙ w 1 + z ˙ w 2 ) ] + 2 k z b [ z b 1 ( z w 1 + z w 2 ) ] + + 2 c z c ( z ˙ b 1 z ˙ c a c θ ˙ c ε T ˙ c ) + 2 k z c ( z b 1 z c a c θ c ε T c ) = 0
m b z ¨ b 2 + 2 c z b [ z ˙ b 2 ( z ˙ w 3 + z ˙ w 4 ) ] + 2 k z b [ z b 2 ( z w 3 + z w 4 ) ] + + 2 c z c ( z ˙ b 2 z ˙ c + a c θ ˙ c ε T ˙ c ) + 2 k z c ( z b 2 z c + a c θ c ε T c ) = 0
J b θ ¨ b 1 + 2 c z b a b [ 2 a b θ ˙ b 1 ( z ˙ w 1 z ˙ w 2 ) ] + 2 k z b a b [ 2 a b θ b 1 ( z w 1 z w 2 ) ] + + 2 c x c h b [ h b θ ˙ b 1 + h c ( θ ˙ c + λ T ˙ c ) ] + 2 k x c h b [ h b θ b 2 + h c ( θ c + λ T c ) ] = 0
J b θ ¨ b 2 + 2 c z b a b [ 2 a b θ ˙ b 2 ( z ˙ w 3 z ˙ w 4 ) ] + 2 k z b a b [ 2 a b θ b 2 ( z w 3 z w 4 ) ] + + 2 c x c h b [ h b θ ˙ b 2 + h c ( θ ˙ c λ T ˙ c ) ] + 2 k x c h b [ h b θ b 2 + h c ( θ c λ T c ) ] = 0
On each wheelset, the vertical force from the primary suspension, Fzbj (see Equations (24) and (25)), and the vertical dynamic force, Fj, with j = 1…4, act as follows:
F j = k H ( z w j z r j η j ) .
The equations of motion of the four wheelsets have the following general form:
m w z ¨ w j = 2 F j F z b j .
After replacing the expressions of the forces Fj and Fzbj, the equations of motion (31) can be rewritten as follows:
m w z ¨ w 1 , 2 + 2 c z b ( z ˙ w 1 , 2 z ˙ b 1 a b θ ˙ b 1 ) + 2 k z b ( z w 1 , 2 z b 1 a b θ b 1 ) + + 2 k H ( z w 1 , 2 z r 1 , 2 ) = 2 k H η 1 , 2
m w z ¨ w 3 , 4 + 2 c z b ( z ˙ w 3 , 4 z ˙ b 2 a b θ ˙ b 2 ) + 2 k z b ( z w 3 , 4 z b 2 a b θ b 2 ) + + 2 k H ( z w 3 , 4 z r 3 , 4 ) = 2 k H η 3 , 4 .
On each rail, the vertical dynamic force, Fj (Equation (30)), and the vertical force, Fzrj, are given by the following relation:
F z r j = 2 c z r z ˙ r j 2 k z r z r j .
The equations of motion of the rails corresponding to the wheelset j are of the form
m r z ¨ r j = F z r j 2 F j ,
which are brought to the following form:
m r z ¨ r 1 , 2 + 2 c r z ˙ r 1 , 2 + 2 k r z r 1 , 2 + 2 k H ( z r 1 , 2 z w 1 , 2 ) = 2 k H η 1 , 2 ,
m r z ¨ r 3 , 4 + 2 c r z ˙ r 3 , 4 + 2 k r z r 3 , 4 + 2 k H ( z r 3 , 4 z w 3 , 4 ) = 2 k H η 3 , 4 .
The 15 equations of motion of the mechanical model of the passenger vehicle can be organized into a matrix equation:
M p ¨ + C p ˙ + K p = R η ˙ + Q η ,
where p is the vector of the displacements and η is the vector of the inhomogeneous terms. The matrices M, C, and K are the inertia, damping, and stiffness matrices of the system.

3. Sperling Index Method

The Sperling index method, also known as the Wz index method [17,18], is used both for the evaluation of RQ and RC in the carbody. By applying this method, the Wz index is obtained, which has a precise meaning, based on which the performance of the railway vehicle, in terms of RQ and RC, can be evaluated. The scale of values and significance of the Wz indices for RQ is presented in Figure 2, and Figure 3 displays the scale of values of the Wz indices indicating passengers’ perception of railway vehicle vibrations.
The calculation relation of the comfort index Wz is of the form
W z = 0.5 30 a 3 ( f ) B 3 ( f ) d f 10 ,
where a stands for the vertical acceleration of the carbody, expressed in cm/s2, B stands for the frequency weighting function, and f is the frequency (f = ω/2π).
Relation (39) is valid on the assumption that the acceleration spectrum is a continuous function of frequency between 0.5 and 30 Hz.
The weighting function B is computed differently for the evaluation of the RQ and the RC (see Figure 4), respectively, according to the relations below.
-
for the evaluation the RQ we use the following relation:
B r q ( f ) = q 0 1 q 1 f 2 2 + q 2 f 2 q 3 f 2 1 q 4 f 2 2 + q 5 f q 6 f 3 2 1 + q 7 f 2 ;
-
for evaluation the RC to vertical vibrations, we use the following one:
B r c ( f ) = c 0 c 1 f 2 + c 2 f 2 2 1 c 3 f 2 2 + c 4 f c 5 f 3 2 ,
where q0 = 1.14, q1 = 0.056, q2 = 0.645, q3 = 3.55, q4 = 0.252, q5 = 1.547, q6 = 0.00444, q7 = 3.55, and c0 = 0.588, c1 = 1.911, c2 = 0.25, c3 = 0.277, c4 = 1.563 and c5 = 0.0368.
The RMS acceleration of the carbody is computed in the three relevant points of the vibration behavior of the carbody, respectively, points M, B1, and B2 (see Figure 1), based on the PSD of the following acceleration:
-
the RMS of the acceleration at the middle of the carbody (point M),
a M = 1 π G a M ( ω ) d ω = 1 π G ( ω ) H ¯ a M ( ω ) 2 d ω ;
-
and the RMS of the acceleration above the two bogies (points B1 and B2),
a B 1 , 2 = 1 π G a B 1 , 2 ( ω ) d ω = 1 π G ( ω ) H ¯ a B 1 , 2 ( ω ) 2 d ω .
where G a M ( ω ) and G a B 1 , 2 ( ω ) represents the PSD of the acceleration at the carbody relevant points, which are calculated as a function of the PSD of the vertical irregularities of the track G(ω) and the frequency response functions of the carbody acceleration, H ¯ a M ( ω ) and H ¯ a B 1 , 2 ( ω ) .
The theoretical curve of the PSD of the track irregularities can be described by relation [29]:
G ( ω ) = A Ω c 2 V 3 [ ω 2 + ( V Ω c ) 2 ] [ ω 2 + ( V Ω r ) 2 ] ,
where Ωc = 0.8246 rad/m, Ωr = 0.0206 rad/m, and the constant A depends on the quality of the track. For a track of good quality, it is considered that A = 2119 × 10−7 radm, and in the case of a track with low quality, the constant A is assigned a value of 6.124 × 10−7 radm.
The frequency response functions of the acceleration in the relevant points of the carbody are calculated based on the functions of the frequency response functions corresponding to the vibration modes of the carbody and the partial response functions for bounce H ¯ z c ( ω ) , pitch H ¯ θ c ( ω ) , and vertical bending H ¯ T c ( ω ) .
At the relevant point located at the carbody center, the frequency response function of the acceleration of the carbody is given by the following relationship:
H ¯ a M ( ω ) = ω 2 H ¯ z c ( ω ) + X c l c 2 H ¯ T c ( ω ) .
At the relevant points B1 and B2 of the carbody, located above the bogies, the frequency response functions of the acceleration are calculated according to the following relationship:
H ¯ a B 1 , 2 ( ω ) = ω 2 H ¯ z c ( ω ) ± a c H ¯ θ c ( ω ) + X c ( l 1 , 2 ) H ¯ T c ( ω ) .
Starting from relation (39), in which the RMS of the acceleration corresponding to relations (42) and (43), expressed in cm/s2, and the weighting function B according to relations (40) or (41) for f = ω/2π, the following relations are derived for the calculation of the Wz index at the relevant points of the carbody:
W z M = 1 π 0.5 30 G a M 3 ( ω ) B 3 ( ω ) d ω 10 ;
W z B 1.2 = 1 π 0.5 30 G a B 1 , 2 3 ( ω ) B 3 ( ω ) d ω 10 .

4. Dynamic Response of the Carbody to Vertical Vibrations

The effect of frequency weighting according to the Sperling index method on the dynamic response of the carbody to vertical vibrations is calculated based on the mechanical model previously presented and analyzed. The vehicle’s dimensions are specific to the type X coach equipped with 250 km/h bogie, in accordance with [30].
The dynamic response of the vehicle carbody is analyzed by considering the PSD of the acceleration, both unweighted and frequency-weighted, using the two weighting functions (Brq and Brc) corresponding to RQ and RC, respectively. The results obtained are correlated with the results of the Wz indices for the RQ evaluation and the RC evaluation.
Table 1 contains the values of the mechanical model parameters. The vehicle is running on a low-quality track.
Figure 5 presents the frequency response functions of the acceleration at the relevant points of the carbody—points M, B1, and B2, obtained for the undamped case and for czc = 0, cxc = 0, czb = 0, cm = 0, and czs = 0, respectively. The response function curves show several peaks corresponding to the resonance frequencies of the vehicle and several minima corresponding to the antiresonance frequencies. On diagram (a), the peak of the response functions at the resonance frequency of the wheelset is marked at 43 Hz. The frequency range, in which the peaks of the resonance frequencies of the vibration modes of the carbody and bogies are found, is selected on diagram (a) and marked in gray; these are highlighted in diagram (a’). The following eigenfrequencies are marked on diagram (a’): 1.17 Hz—resonance frequency of the carbody bounce; 1.56 Hz—resonance frequency of the carbody pitch; 6.65 Hz—resonance frequency of the bogie bounce; 8.00 Hz—resonance frequency of the carbody vertical bending; 9.63 Hz—resonance frequency of the bogie pitch.
Figure 6 displays the frequency response functions of the carbody acceleration at the relevant points of the carbody, considering the damping constants from Table 1. In diagram (a), the frequency range 0–50 Hz was considered, in which the resonance frequency of the vertical vibrations of the wheelset is found, at 43 Hz, and in diagram (a’), only the frequency range 0–10 Hz was selected, which includes all the resonance frequencies of the carbody. In the detail in diagram (a’), the peaks of the response functions corresponding to the resonance frequencies of the vibration modes of the carbody are marked; the peaks of the frequency response functions corresponding to the resonance frequencies of the vibration modes of the bogies are faded due to the damping of the system.
The antiresonance frequencies, which are identified in Figure 5 and Figure 6 on the frequency response curves of the carbody in the form of minima, are due to the geometric filtering effect. This effect represents a distinctive feature of the vertical vibration of railway vehicles, which has been analyzed in several studies [31,32,33,34]. The minima of the PSD of the acceleration correspond to the frequencies of geometric filtering. If the frequencies of geometric filtering equal the resonance frequency of one of the vibration modes of the vehicle carbody, then its impact is greatly reduced. The geometric filtering effect manifests itself more intensely at the carbody center, where the geometric filtering effects given by the bogie wheelbase and the carbody wheelbase are cumulated. Above the bogies and the support points of the carbody on the secondary suspension, the geometric filtering effect has smaller impact because the geometric filtering effect, given by the carbody wheelbase, is missing.
A final observation, highlighted in Figure 5 and Figure 6, refers to the vibration behavior of the carbody above the two bogies. It is observed that for the undamped system, the vibration behavior of the carbody at points B1 and B2 is symmetrical (Figure 5), and when damping is taken into account, the response of the carbody at the same points is different (Figure 6).
Figure 7 shows the dynamic response at the relevant points of the carbody, expressed as the unweighted PSD acceleration, for the damped mechanical model. These diagrams highlight several important properties of the vibration behavior of the carbody.
First, the peaks corresponding to the resonance frequencies of the vibration modes of the carbody are noted: at 1.17 Hz for the bounce vibrations; at 1.53 Hz for pitch vibrations; and at 8 Hz for vertical bending vibrations. At the carbody center (diagram a), the PSD of the acceleration is dominated by bounce vibrations, but at speeds higher than 200 km/h the weight of vertical bending vibrations also becomes important. Above the bogies (diagrams b and c), the dominant mode of vibration is the pitch, but bounce also has an important contribution. Then, it is observed that, regardless of the velocity, the carbody vibration level is higher above the bogies than in the middle of the carbody, and that the vibration level above the two bogies is asymmetric. It is also noted that at all relevant points of the carbody, the vibration level increases with velocity, but not monotonous. The PSD has several minima, which appear in the form of anti-resonance frequencies, and which are due to the geometric filtering effect. It is observed that the geometric filtering effect is more efficient at the resonance frequency of the vertical bending of the carbody.
The results presented above, which highlight the most important features of the carbody vibration, are in agreement with the theoretical or experimental results presented in the scientific literature [35,36,37].
At the carbody center, at velocities greater than 200 km/h, vertical bending can become the dominant vibration mode for flexible carbodies, and this is evident in the diagrams in Figure 8. Diagram (a) shows the unweighted PSD of the acceleration for the carbody bending frequency of 6 Hz. It is observed that at velocities above 200 km/h, the frequency peak of the vertical bending dominates the PSD.
Diagrams (b), (c), and (d) show the unweighted PSD of the acceleration at the middle of the carbody for five values of bending frequency at velocities of 200 km/h, 220 km/h, and 240 km/h. Table 2 shows the values of the bending stiffness of the carbody corresponding to the eigenfrequencies of the vertical bending analyzed in Figure 8.
According to diagram (b), at the velocity of 200 km/h, for the resonance frequency of 6 Hz, vertical bending is the dominant mode of vibration. At the velocity of 220 km/h, the vertical bending with the eigenfrequencies of 6 Hz and 7 Hz, respectively, dominates the PSD of the acceleration. At 240 km/h, vertical bending with an eigenfrequency of 7 Hz is the dominant mode of vibration at the middle of the carbody.
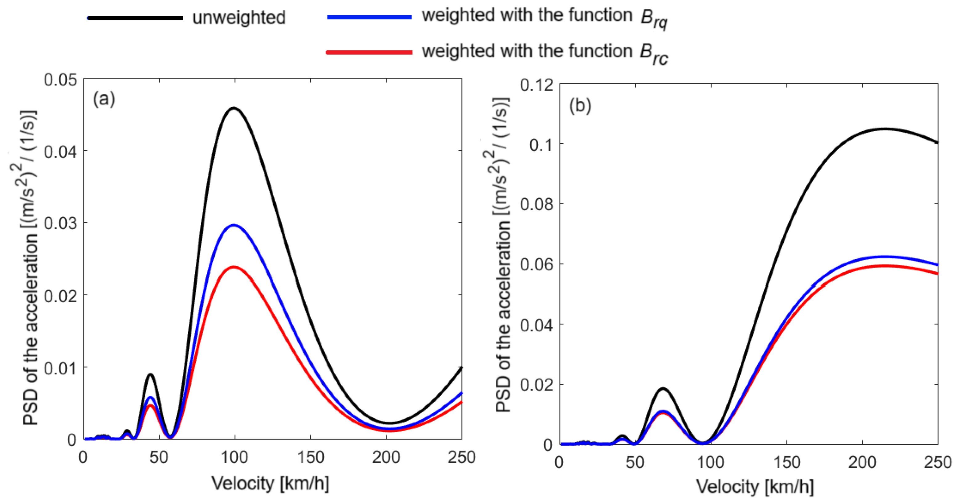
Figure 9 and Figure 10 show the dynamic response of the carbody, expressed in the form of the unweighted PSD of the acceleration, weighted with the weighting function Brq for the RQ evaluation and the weighting function Brc for the RC evaluation, respectively, calculated under the same conditions as in the case of Figure 7. The diagrams in these figures highlight the same characteristics of the carbody vibration behavior at its relevant points. An important point to note is that the weighting functions do not change the dominant modes of the carbody vibration.
Next, the effect of frequency weighting on the PSD of the acceleration at the resonance frequencies of the dominant modes of vibration at the relevant points of the carbody is analyzed. Figure 11 shows the PSD of the acceleration at the middle of the carbody, unweighted and weighted with the weighting functions (Brq and Brc) corresponding to the Sperling index method, at the resonance frequencies of the vertical bounce and vertical bending. In both cases, the two weighting functions reduce the carbody dynamic response. However, the influence of bounce mode on the carbody dynamic response is reduced more in the case of applying the weighting function corresponding RC, while the reduction in the influence of bending vibrations is more effective after applying the weighting function corresponding RQ. Another observation relates to the geometric filtering effect that is better highlighted in these diagrams. Here, it is clearly seen that geometric filtering is more efficient at the resonance frequency of the vertical bending of the carbody than at the bounce frequency. It is also highlighted that geometric filtering is more efficient in the speed velocity of up to 100 km/h.
Figure 12 and Figure 13 show the unweighted/weighted PSD of the acceleration calculated above the bogies, at the resonance frequencies of the bounce and pitch. At the resonance frequency of the bounce (1.17 Hz), the observation presented in Figure 11 is maintained: frequency weighting with the Brc function reduces the influence of the bounce mode on the carbody’s dynamic response more than weighting with the Brq function. At the eigenfrequency of the pitch, the differences between the PSD of the acceleration weighted with the Brq function and the PSD of the acceleration weighted with the Brc function are not significant.
Figure 14 shows the Wz indices for RQ and RC, calculated at the carbody center, for two values of the bending frequency of the carbody from those analyzed above: 8 Hz (diagram a) and 6 Hz (diagram b). According to diagram (a), the Wz index for RQ is higher than the Wz index for RC, but the differences are insignificant. These results are in agreement with those shown in diagram (b) of Figure 11, where it was shown that for the bending frequency of 8 Hz, the dominant mode of vibration is bounce and that its influence is diminished more in the case of weighting with the function corresponding to the RC. In diagram (b), it can be seen that for velocities between 150 km/h and 240 km/h, the RC index is higher than the RQ index, with significant differences at speeds above 200 km/h. To explain these results, it is recalled that, as shown in Figure 8, in the case of flexible carbody (with a vertical bending resonance frequency of 6 Hz), vertical bending is the dominant mode of vibration at the carbody center at velocities greater than 200 km/h. Next, the results presented in diagrams (b) to (d) of Figure 11 must be considered, which show that the reduction in bending vibrations is more efficient by weighting with the function corresponding to the RQ.
Figure 15 shows the Wz indices for RQ and RC calculated above the bogies. Here, it can be seen that the values of the two Wz indices are very close throughout the analyzed speed range. These results correlate perfectly with those highlighted above, in diagrams (b) of Figure 12 and Figure 13, where it was shown that, at the resonance frequency of the pitch, which is the dominant mode of vibration above the bogies, the differences between the PSD of the acceleration weighted with the weighting function for RQ and the PSD of the acceleration weighted with the weighting function for RC are not significant.

5. Conclusions

In this paper, the impact of frequency-weighting on the dynamic response of the railway vehicle carbody were analyzed at three relevant points of the vertical vibration behavior, positioned at the carbody center and above the two bogies. The dynamic response of the carbody is expressed in terms of the PSD of the acceleration. In the analysis, the numerical results are used for three cases: the unweighted PSD of the acceleration; the frequency-weighted PSD of the acceleration with the two weighting functions corresponding to the Sperling index method, namely the frequency-weighting function for RQ; and the frequency-weighting function for RC.
Based on the results regarding the PSD of the acceleration, several important characteristics of the vertical vibration behavior of the vehicle carbody were identified, such as the following: the vibration level of the carbody is higher above the bogies than at its middle; and the asymmetry of the carbody vibration above the two bogies. Another important feature is the geometric filtering effect induced by the vehicle’s wheelbases, due to which the vertical vibration of the carbody does not continuously intensify whit increasing velocity. It was highlighted that the geometric filtering effect becomes more intense at the carbody center and that it exhibits a selective character basing on vehicle speed and frequency, namely that the geometric filtering effect is more intense at low speeds, in the frequency range specific to the carbody bending vibrations. The dominant modes of vibration at the relevant points of the carbody were also identified. At the carbody center, the bounce is the dominant mode of vibration, but in the case of flexible carbodies, at velocities greater than 200 km/h, vertical bending becomes the dominant mode of vibration. Pitch is the dominant mode of vibration above the bogies.
Based on the analysis of the effect of frequency weighting on the dynamic response of the railway vehicle carbody, the following important conclusions are summarized:
-
The dominant modes of vibration of the carbody are not changed by the frequency weighting;
-
Both weighting functions corresponding to the Sperling index method reduce the carbody vibration level, with the following observations: the reduction in bounce vibrations is more effective in the case of weighting with the function for the RC function; the reduction in vertical bending vibrations is more effective in the case of weighting with the function for RQ; the reduction in pitch vibrations is not significantly different in the case of weighting with the function for RQ compared to the case of weighting with function for the RC.
Based on the conclusions about the dominant modes of vibration of the carbody and those that emphasized the effect of frequency weighting with the two weighting functions on the carbody vibrations, the results on the Wz indices for RQ and RC were explained.
The results presented in the paper and the conclusions synthesized based on them bring more knowledge in a field of research that has been insufficiently explored so far, in which the objectives of the studies are to identify the advantages and limitations of the RQ and RC evaluation methods, the correlation of the comfort indices obtained by different methods, and even the improvement of these methods from the point of view of applied methodology or interpretations. The paper outcomes contribute to a better understanding on the effect of the weighting functions corresponding to the Sperling index method upon the assessment of the RC and RQ using this method. It should be noted, however, that these results are obtained for a two-dimensional analytical model of the vehicle–track system, which takes into account important factors that can influence the vertical vibration behavior of the carbody, but which is based on several simplifying assumptions. For example, the vertical irregularities of the track are equal on both rails, meaning they are symmetrical with respect to the track axis, so rolling vibrations are not excited. On the other hand, a series of nonlinearities of the system are neglected, such as the nonlinearity of the damping characteristic of the vertical suspension and the wheel-rail contact nonlinearity. All these aspects limit the accuracy of the present study. To obtain numerical results that are more accurate, the research can be further developed based on more complex three-dimensional models obtained by the finite element method.

Author Contributions

Conceptualization, M.D. and I.I.A.; methodology, M.D. and T.M.; software, T.M. and I.I.A.; validation, M.D., T.M. and I.I.A.; formal analysis, M.D., T.M. and I.I.A.; investigation, I.I.A., M.D. and T.M.; resources, M.D. and I.I.A.; data curation, I.I.A.; writing—original draft preparation, M.D. and I.I.A.; writing—review and editing, T.M.; visualization, I.I.A.; supervision, M.D.; project administration, M.D. All authors have read and agreed to the published version of the manuscript.

Funding

This research received no external funding.

Institutional Review Board Statement

Not applicable.

Informed Consent Statement

Not applicable.

Data Availability Statement

The raw data supporting the conclusions of this article will be made available by the authors on request.

Conflicts of Interest

The authors declare no conflicts of interest.

References

  1. UIC 518; Testing and Approval of Railway Vehicles from the Point of View of Their Dynamic Behaviour—Safety—Track Fatigue—Running Behaviour, 4th Edition. International Union of Railways: Paris, France, 2009.
  2. EN 14363; Railway Applications—Testing for the Acceptance of Running Characteristics of Railway Vehicles—Testing of Running Behaviour and Stationary Tests. CEN: Brussels, Belgium, 2005.
  3. Mihăilescu, I.; Popa, G.; Tudor, E.; Vasile, I.; Gheți, M.A. Experimental study of wheel-to-rail interaction using acceleration sensors for continuous rail transport comfort evaluation. Sensors 2023, 23, 8064. [Google Scholar] [CrossRef] [PubMed]
  4. Kim, Y.G.; Choi, S.; Kim, S.W.; Kim, Y.M.; Park, T.W. An experimental study on the ride comfort of the Korean high-speed train. Techniques 2009, 33, 30–37. [Google Scholar] [CrossRef]
  5. Kim, Y.G.; Kwon, H.B.; Kim, S.W.; Park, C.K.; Park, T.W. Correlation of ride comfort evaluation methods for railway vehicles. Proc. Inst. Mech. Eng. Part F J. Rail Rapid Transit 2003, 217, 73–88. [Google Scholar] [CrossRef]
  6. Silva, P.; Ribeiro, D.; Mendes, J.; Seabra, E.A.R.; Postolache, O. Railways Passengers Comfort Evaluation through Motion Parameters: A Systematic Review. Machines 2023, 11, 465. [Google Scholar] [CrossRef]
  7. AS 2670; Vibration and Shock—Guide to the Evaluation of Human Exposure to Whole Body Vibration. Standards Australia: Sydney, Australia, 1983.
  8. AS 2670-1; Evaluation of Human Exposure to Whole-Body Vibration. General Requirements. Standards Australia: Sydney, Australia, 1990.
  9. BS 6841; Guide to Measurement and Evaluation of Human Exposure to Whole-Body Mechanical Vibration and Repeated Shock. BSI: London, UK, 1987.
  10. UIC 513; Guidelines for Evaluating Passenger Comfort in Relation to Vibration in Railway Vehicles. International Union of Railways: Paris, France, 1994.
  11. ISO 10056; Mechanical Vibration-Measurement and Analysis of Whole-Body Vibration to Which Passengers and Crew are Exposed in Railway Vehicles. ISO: Geneva, Switzerland, 2001.
  12. EN 12299; Railway Applications. Ride Comfort for Passengers. Measurement and Evaluation. British Standard: London, UK, 1999.
  13. ISO 2631; Guide for the Evaluation of Human Exposure to Whole-Body Vibration. ISO: Geneva, Switzerland, 1974.
  14. ISO 2631-1; Mechanical Vibration and Shock—Evaluation of Human Exposure to Whole-Body Vibration. Part 1: General Requirements. ISO: Geneva, Switzerland, 1997.
  15. ISO 2631-3; Evaluation of Human Exposure to Whole-Body Vibration—Part 3: Evaluation of Exposure to Whole-Body Z-Axis Vertical Vibration in the Frequency Range 0.1 to 0.63 Hz. ISO: Geneva, Switzerland, 1985.
  16. Helbig, W.; Sperling, E. Verfahren zur beurteilung der laufeigenschaften von eisenbahnwagen (Process for the evaluation of the running behavior of railway vehicles). Organ Für Die Fortschritte Des Eisenbahnwesens 1941, 96, 177–187. [Google Scholar]
  17. Sperling, E. Beitrag zur beurteilung des fahrkomforts in schienenfahrzeugen (Contribution to the evaluation of ride comfort in rail vehicles). Glas. Ann. 1956, 80, 314–320. [Google Scholar]
  18. Dumitriu, M.; Leu, M. Correlation between ride comfort index and Sperling’s index for evaluation ride comfort in railway vehicles. Appl. Mech. Mater. 2018, 880, 201–206. [Google Scholar] [CrossRef]
  19. Dumitriu, M.; Stănică, D.I. Study on the evaluation methods of the vertical ride comfort of railway vehicle—Mean comfort method and Sperling’s method. Appl. Sci. 2021, 11, 3953. [Google Scholar] [CrossRef]
  20. Munawir, T.I.T.; Abu Samah, A.A.; Rosle, M.A.A.; Azlis-Sani, J.; Hasnan, K.; Sabri, S.; Ismail, S.; Yunos, M.N.A.M.; Bin, T.Y. A comparison study on the assessment of ride comfort for LRT passengers. IOP Conf. Ser. Mater. Sci. Eng. 2017, 226, 012039. [Google Scholar] [CrossRef]
  21. Jiang, Y.; Chen, B.K.; Thompson, C. A comparison study of ride comfort indices between Sperling’s method and EN 12299. Int. J. Rail Transp. 2019, 7, 279–296. [Google Scholar] [CrossRef]
  22. Haladin, I.; Lakušić, S.; Bogut, M. Overview and analysis of methods for assessing ride comfort on tram tracks. Građevinar 2019, 71, 901–921. [Google Scholar]
  23. Alehashem, A.S.M.; Ni, Y.Q.; Liu, X.Z. A full-scale experimental investigation on ride comfort and rolling motion of high-speed train equipped with MR dampers. IEEE Access 2021, 9, 118113–118123. [Google Scholar] [CrossRef]
  24. Novillo, G.P.; Rivera, N.; Soto-Ocampo, C.R.; Mera, J.M. Analysis of tram comfort using the UNE EN 12299:2010 standard and Sperling method (Wz). WIT Trans. Built Environ. 2022, 213, 3–13. [Google Scholar]
  25. Sun, J.; Chi, M.; Cai, W.; Gao, H.; Liang, S. An investigation into evaluation methods for ride comfort of railway vehicles in the case of carbody hunting instability. Proc. Inst. Mech. Eng. Part F J. Rail Rapid Transit 2021, 235, 586–597. [Google Scholar] [CrossRef]
  26. Palomares, E.; Morales, A.L.; Nieto, A.J.; Félix, M.; Chicharro, J.M.; Pintado, P. Is the standard ride comfort index an actual estimation of railway passenger comfort? Veh. Syst. Dyn. 2023, 61, 2811–2824. [Google Scholar] [CrossRef]
  27. Deng, C.; Zhou, J.; Thompson, D.; Gong, D.; Sun, W.; Sun, Y. Analysis of the consistency of the Sperling index for rail vehicles based on different algorithms. Veh. Syst. Dyn. 2021, 59, 313–330. [Google Scholar] [CrossRef]
  28. Peng, Y.; Zhou, J.; Fan, C.; Wu, Z.; Zhou, W.; Sun, D.; Lin, Y.; Xu, D.; Xu, Q. A review of passenger ride comfort in railway: Assessment and improvement method. Transp. Saf. Environ. 2022, 4, tdac016. [Google Scholar] [CrossRef]
  29. C 116; Interaction Between Vehicles and Track, RP 1, Power Spectral Density of Track Irregularities, Part 1: Definitions, Conventions and Available Data. UIC: Utrecht, The Netherlands, 1971.
  30. UIC Leaflet No: 567-1; Rolling Stock—Standard X and Y Coaches Accepted for Running on International Services Ed. No.4|Utrecht. International Union of Railways: Paris, France, 1978.
  31. Zhou, J.; Wenjing, S. Analysis on geometric filtering phenomenon and flexible carbody resonant vibration of railway vehicles. J. Tongji Univ. 2009, 37, 1653–1657. [Google Scholar]
  32. Gong, D.; Gu, Y.J.; Song, Y.J.; Zhou, J. Study on geometry filtering phenomenon and flexible carbody resonant vibration of articulated trains. Adv. Mater. Res. 2013, 787, 542–547. [Google Scholar] [CrossRef]
  33. Cheli, F.; Corradi, R. On rail vehicle vibrations induced by track unevenness: Analysis of the excitation mechanism. J. Sound Vib. 2011, 330, 3744–3765. [Google Scholar] [CrossRef]
  34. Stănică, D.I.; Dumitriu, M.; Leu, M. The geometric filtering effect on ride comfort of the railway vehicles. UPB Sci. Bull. Ser. D Mech. Eng. 2021, 83, 137–154. [Google Scholar]
  35. Tomioka, T.; Takigami, T.; Suzuki, Y. Numerical analysis of three-dimensional flexural vibration of railway vehicle car body. Veh. Syst. Dyn. 2006, 44, 272–285. [Google Scholar] [CrossRef]
  36. Zhou, J.; Goodall, R.; Ren, L.; Zhang, H. Influences of car body vertical flexibility on ride quality of passenger railway vehicles. Proc. Inst. Mech. Eng. Part F J. Rail Rapid Transit 2009, 223, 461–471. [Google Scholar] [CrossRef]
  37. Sharma, S.K.; Sharma, R.C.; Choi, Y.; Lee, J. Experimental and mathematical study of flexible–rigid rail vehicle riding comfort and safety. Appl. Sci. 2023, 13, 5252. [Google Scholar] [CrossRef]
Figure 1. The mechanical model of the vehicle–track system.
Figure 1. The mechanical model of the vehicle–track system.
Applsci 15 00507 g001
Figure 2. Scale for the RQ index Wz.
Figure 2. Scale for the RQ index Wz.
Applsci 15 00507 g002
Figure 3. Scale for the RC index Wz.
Figure 3. Scale for the RC index Wz.
Applsci 15 00507 g003
Figure 4. The frequency weighting function B: (a) for evaluation the RQ; (b) for evaluation the RC.
Figure 4. The frequency weighting function B: (a) for evaluation the RQ; (b) for evaluation the RC.
Applsci 15 00507 g004
Figure 5. Carbody acceleration for the undamped vehicle–track system: (a) for 0–50 Hz; (a’) for 0–10 Hz.
Figure 5. Carbody acceleration for the undamped vehicle–track system: (a) for 0–50 Hz; (a’) for 0–10 Hz.
Applsci 15 00507 g005
Figure 6. Carbody acceleration for the damped vehicle–track system: (a) for 0–50 Hz; (a’) for 0–10 Hz.
Figure 6. Carbody acceleration for the damped vehicle–track system: (a) for 0–50 Hz; (a’) for 0–10 Hz.
Applsci 15 00507 g006
Figure 7. Unweighted PSD of the acceleration, in (m/s2)/(1/s): (a) at point M; (b) point B1; (c) and point B2.
Figure 7. Unweighted PSD of the acceleration, in (m/s2)/(1/s): (a) at point M; (b) point B1; (c) and point B2.
Applsci 15 00507 g007
Figure 8. The unweighted PSD of the acceleration at point M, in (m/s2)/(1/s): (a) for the bending eigenfrequency of 6 Hz; (bd) for the bending resonance frequencies of 6 Hz, 7 Hz, 8 Hz, 9 Hz, and 10 Hz.
Figure 8. The unweighted PSD of the acceleration at point M, in (m/s2)/(1/s): (a) for the bending eigenfrequency of 6 Hz; (bd) for the bending resonance frequencies of 6 Hz, 7 Hz, 8 Hz, 9 Hz, and 10 Hz.
Applsci 15 00507 g008
Figure 9. The PSD of the acceleration weighted with the function Brq, in (m/s2)/(1/s): (a) in the carbody relevant point M; (b) in the carbody relevant point B1; and (c) in the carbody relevant point B2.
Figure 9. The PSD of the acceleration weighted with the function Brq, in (m/s2)/(1/s): (a) in the carbody relevant point M; (b) in the carbody relevant point B1; and (c) in the carbody relevant point B2.
Applsci 15 00507 g009
Figure 10. The PSD of the acceleration weighted with the function Brc, in (m/s2)/(1/s): (a) in the carbody relevant point M; (b) in the carbody relevant point B1; and (c) in the carbody relevant point B2.
Figure 10. The PSD of the acceleration weighted with the function Brc, in (m/s2)/(1/s): (a) in the carbody relevant point M; (b) in the carbody relevant point B1; and (c) in the carbody relevant point B2.
Applsci 15 00507 g010
Figure 11. The PSD of the acceleration at the carbody center: (a) at the bounce resonance frequency (1.17 Hz); (b) at the bending resonance frequency (8 Hz); (c) at the bending resonance frequency (7 Hz); and (d) at the bending resonance frequency (6 Hz).
Figure 11. The PSD of the acceleration at the carbody center: (a) at the bounce resonance frequency (1.17 Hz); (b) at the bending resonance frequency (8 Hz); (c) at the bending resonance frequency (7 Hz); and (d) at the bending resonance frequency (6 Hz).
Applsci 15 00507 g011
Figure 12. The PSD of the acceleration ration above the bogie 1: (a) at the bounce resonance frequency (1.17 Hz); and (b) at the pitch resonance frequency (1.53 Hz).
Figure 12. The PSD of the acceleration ration above the bogie 1: (a) at the bounce resonance frequency (1.17 Hz); and (b) at the pitch resonance frequency (1.53 Hz).
Applsci 15 00507 g012
Figure 13. The PSD of the acceleration above the bogie 2: (a) at the bounce resonance frequency (1.17 Hz); and (b) at the pitch resonance frequency (1.53 Hz).
Figure 13. The PSD of the acceleration above the bogie 2: (a) at the bounce resonance frequency (1.17 Hz); and (b) at the pitch resonance frequency (1.53 Hz).
Applsci 15 00507 g013
Figure 14. RQ/RC index Wz at the carbody center: (a) for the bending eigenfrequency of 8 Hz; and (b) for the bending eigenfrequency of 6 Hz.
Figure 14. RQ/RC index Wz at the carbody center: (a) for the bending eigenfrequency of 8 Hz; and (b) for the bending eigenfrequency of 6 Hz.
Applsci 15 00507 g014
Figure 15. RQ/RC index Wz: (a) above the bogie 1; and (b) above the bogie 2.
Figure 15. RQ/RC index Wz: (a) above the bogie 1; and (b) above the bogie 2.
Applsci 15 00507 g015
Table 1. Mechanical model parameters.
Table 1. Mechanical model parameters.
mc = 34,000 kg2kzc = 1.2 MN/m
mb = 3200 kg2kxc = 4 MN/m
mw = 1650 kg2czc = 34.28 kNs/m
mr = 175 kg2cxc = 50 kNs/m
Jc = 1,963,840 kg·m24kzb = 4.4 MN/m
Jb = 2048 kg·m24czb = 52.21 kNs/m
Lc = 26.4 m2kzr = 1.4 MN/m
2ab = 19 m2czr = 40 kNs/m
2ab = 2.56 m2kH = 3000 MN/m
hc = 1.3 mmmc = 35,224 kg
hb = 0.2 mcmc = 53.117 kNm/s
EcIc = 3.158 × 109 Nm2kmc = 88.998 MN/m
Table 2. The vertical bending eigenfrequency, depending on the carbody bending stiffness.
Table 2. The vertical bending eigenfrequency, depending on the carbody bending stiffness.
Bending stiffness [MNm2]17762418315839974934
Vertical bending eigenfrequency [Hz]678910
Disclaimer/Publisher’s Note: The statements, opinions and data contained in all publications are solely those of the individual author(s) and contributor(s) and not of MDPI and/or the editor(s). MDPI and/or the editor(s) disclaim responsibility for any injury to people or property resulting from any ideas, methods, instructions or products referred to in the content.

Share and Cite

MDPI and ACS Style

Apostol, I.I.; Dumitriu, M.; Mazilu, T. Analysis of the Effect of Frequency Weighting According to the Sperling Index Method on the Dynamic Response of the Railway Vehicle Carbody to Vertical Vibrations. Appl. Sci. 2025, 15, 507. https://doi.org/10.3390/app15020507

AMA Style

Apostol II, Dumitriu M, Mazilu T. Analysis of the Effect of Frequency Weighting According to the Sperling Index Method on the Dynamic Response of the Railway Vehicle Carbody to Vertical Vibrations. Applied Sciences. 2025; 15(2):507. https://doi.org/10.3390/app15020507

Chicago/Turabian Style

Apostol, Ioana Izabela, Mădălina Dumitriu, and Traian Mazilu. 2025. "Analysis of the Effect of Frequency Weighting According to the Sperling Index Method on the Dynamic Response of the Railway Vehicle Carbody to Vertical Vibrations" Applied Sciences 15, no. 2: 507. https://doi.org/10.3390/app15020507

APA Style

Apostol, I. I., Dumitriu, M., & Mazilu, T. (2025). Analysis of the Effect of Frequency Weighting According to the Sperling Index Method on the Dynamic Response of the Railway Vehicle Carbody to Vertical Vibrations. Applied Sciences, 15(2), 507. https://doi.org/10.3390/app15020507

Note that from the first issue of 2016, this journal uses article numbers instead of page numbers. See further details here.

Article Metrics

Back to TopTop