Occupational Exposure to Heavy Metal(loid)-Contaminated Soil from Mining Operations: A Case Study of the Majdanpek Site, Serbia
Abstract
1. Introduction
2. Materials and Methods
2.1. Study Area and Sample Collection
2.2. Sample Preparation and Instrumental Measurements
2.3. Source Apportionment
2.4. Risk Assessment
2.4.1. Ecological Risk Assessment
2.4.2. Source-Specific Worker Health Risk Assessment
2.4.3. Monte Carlo Simulation
3. Results and Discussion
3.1. Organic Matter, Clay and Heavy Metal(loid)s in Mining Area Soil
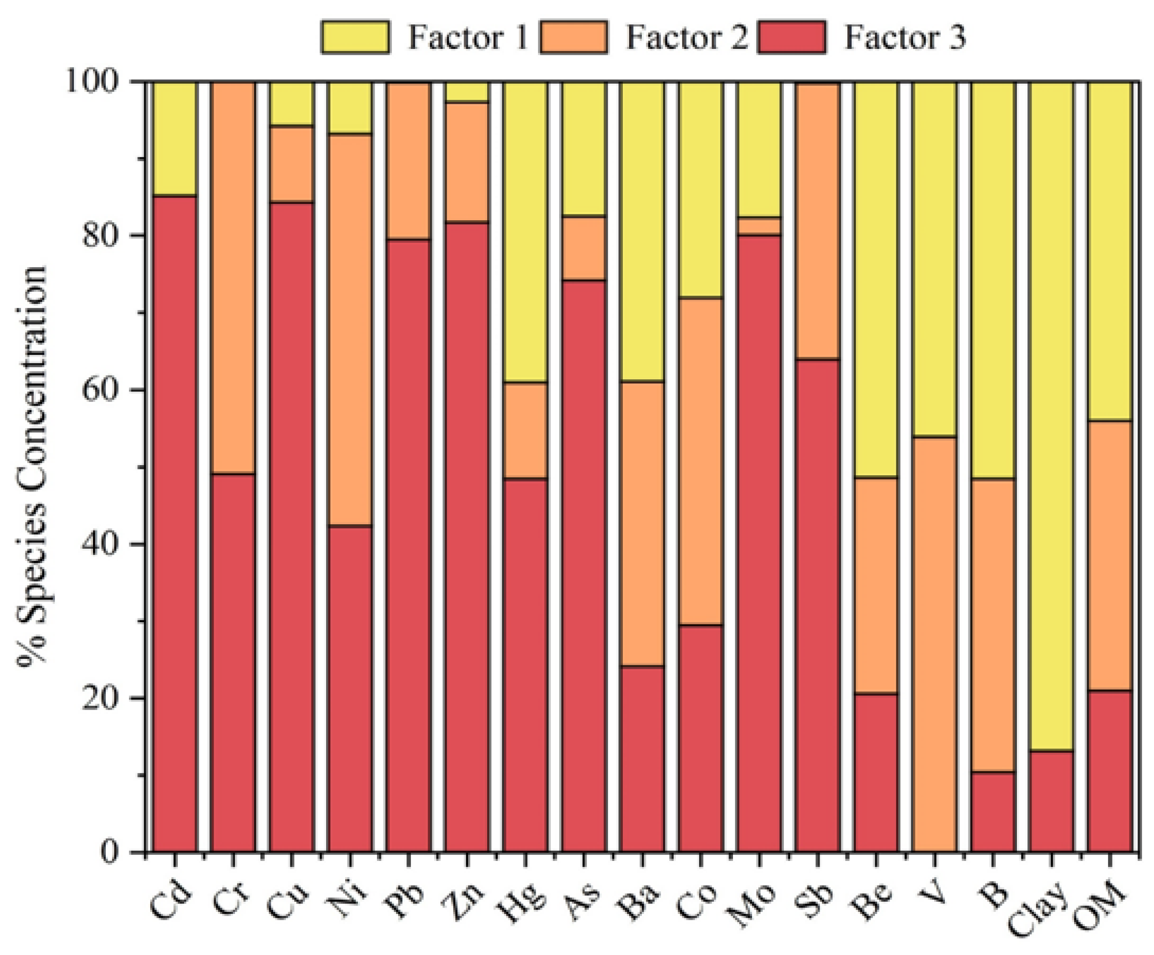
3.2. Identification of Soil Heavy Metal(loid) Sources
3.3. Source-Specific Ecological Risks
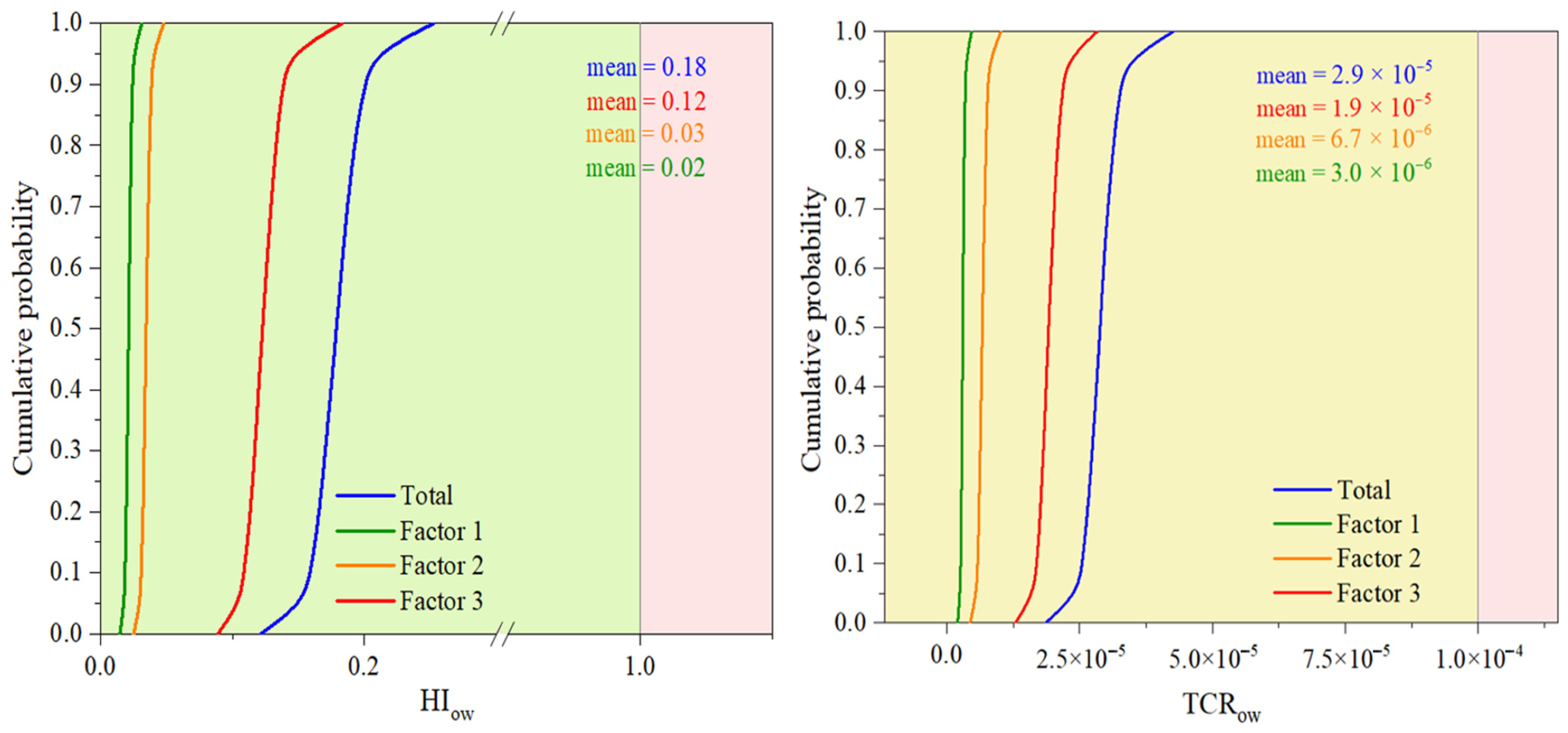
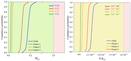
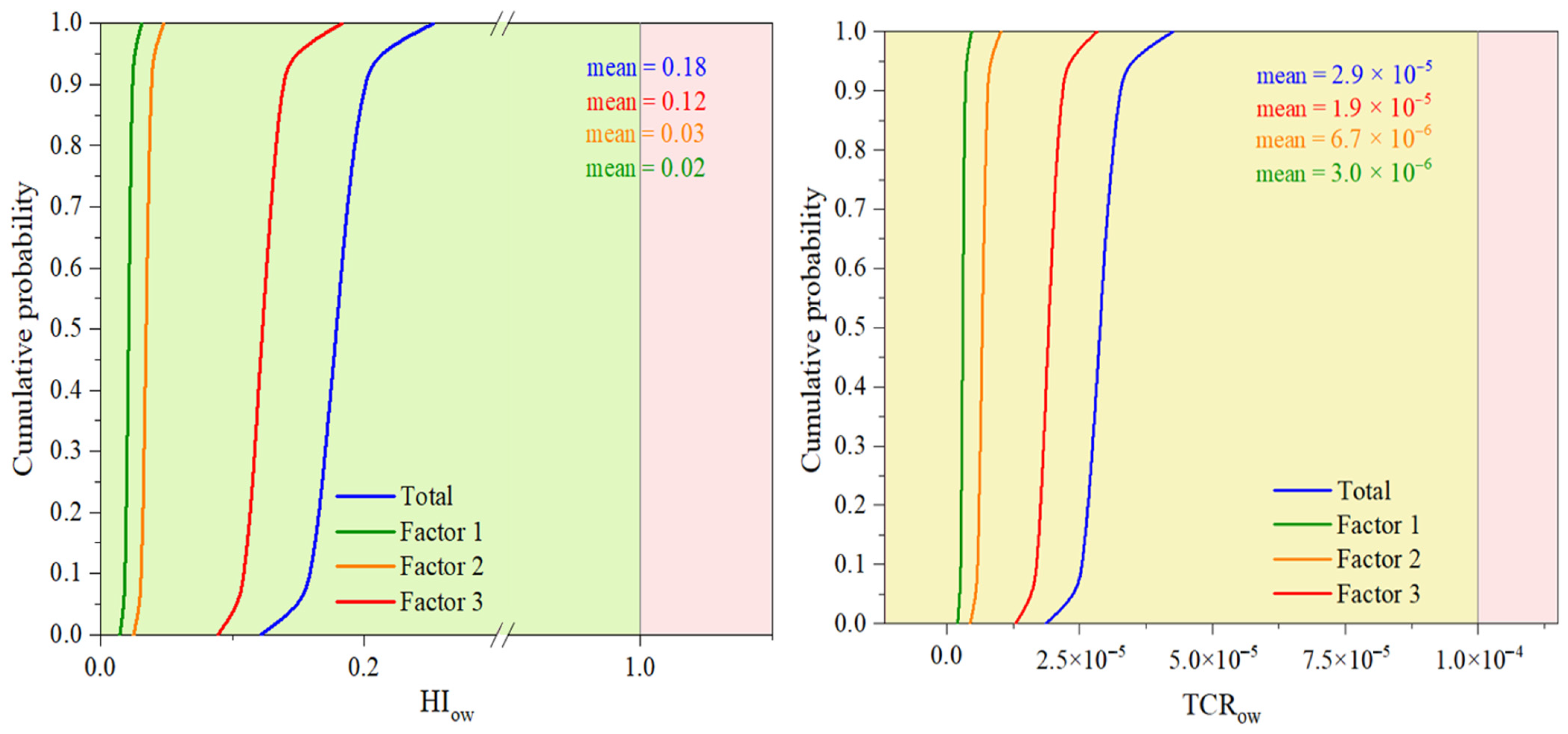
3.4. Source-Specific Health Risks in Workers
3.5. Monte Carlo Simulation of Health Risks
4. Conclusions
Supplementary Materials
Author Contributions
Funding
Data Availability Statement
Conflicts of Interest
References
- Barkett, M.O.; Akün, E. Heavy Metal Contents of Contaminated Soils and Ecological Risk Assessment in Abandoned Copper Mine Harbor in Yedidalga, Northern Cyprus. Environ. Earth Sci. 2018, 77, 378. [Google Scholar] [CrossRef]
- Adnan, M.; Xiao, B.; Ali, M.U.; Xiao, P.; Zhao, P.; Wang, H.; Bibi, S. Heavy Metals Pollution from Smelting Activities: A Threat to Soil and Groundwater. Ecotoxicol. Environ. Saf. 2024, 274, 116189. [Google Scholar] [CrossRef]
- Angon, P.B.; Islam, M.S.; KC, S.; Das, A.; Anjum, N.; Poudel, A.; Suchi, S.A. Sources, Effects and Present Perspectives of Heavy Metals Contamination: Soil, Plants and Human Food Chain. Heliyon 2024, 10, e28357. [Google Scholar] [CrossRef]
- Xu, J.; Li, Y.; Wang, S.; Long, S.; Wu, Y.; Chen, Z. Sources, Transfers and the Fate of Heavy Metals in Soil-Wheat Systems: The Case of Lead (Pb)/Zinc (Zn) Smelting Region. J. Hazard. Mater. 2023, 441, 129863. [Google Scholar] [CrossRef] [PubMed]
- Teng, Y.; Liu, L.; Zheng, N.; Liu, H.; Wu, L.; Yue, W. Application of Different Indices for Soil Heavy Metal Pollution Risk Assessment Comparison and Uncertainty: A Case Study of a Copper Mine Tailing Site. Minerals 2022, 12, 1074. [Google Scholar] [CrossRef]
- Jiang, X.; Liu, W.; Xu, H.; Cui, X.; Li, J.; Chen, J.; Zheng, B. Characterizations of Heavy Metal Contamination, Microbial Community, and Resistance Genes in a Tailing of the Largest Copper Mine in China. Environ. Pollut. 2021, 280, 116947. [Google Scholar] [CrossRef] [PubMed]
- Trujillo-González, J.M.; Torres-Mora, M.A.; Serrano-Gomez, M.; Castillo-Monroy, E.F.; Jiménez Ballesta, R. Baseline Values and Environmental Assessment for Metal(Loid)s in Soils under a Tropical Rainy Climate in a Colombian Region. Environ. Monit. Assess. 2022, 194, 494. [Google Scholar] [CrossRef]
- Filimon, M.N.; Caraba, I.V.; Popescu, R.; Dumitrescu, G.; Verdes, D.; Ciochina, L.P.; Sinitean, A. Potential Ecological and Human Health Risks of Heavy Metals in Soils in Selected Copper Mining Areas—A Case Study: The Bor Area. Int. J. Environ. Res. Public Health 2021, 18, 1516. [Google Scholar] [CrossRef]
- Raj, D.; Kumar, A.; Tripti; Maiti, S.K. Health Risk Assessment of Children Exposed to the Soil Containing Potentially Toxic Elements: A Case Study from Coal Mining Areas. Metals 2022, 12, 1795. [Google Scholar] [CrossRef]
- Zhou, L.; Zhao, X.; Meng, Y.; Fei, Y.; Teng, M.; Song, F.; Wu, F. Identification Priority Source of Soil Heavy Metals Pollution Based on Source-Specific Ecological and Human Health Risk Analysis in a Typical Smelting and Mining Region of South China. Ecotoxicol. Environ. Saf. 2022, 242, 113864. [Google Scholar] [CrossRef]
- Chileshe, M.N.; Syampungani, S.; Festin, E.S.; Tigabu, M.; Daneshvar, A.; Odén, P.C. Physico-Chemical Characteristics and Heavy Metal Concentrations of Copper Mine Wastes in Zambia: Implications for Pollution Risk and Restoration. J. For. Res. 2020, 31, 1283–1293. [Google Scholar] [CrossRef]
- Dusengemungu, L.; Mubemba, B.; Gwanama, C. Evaluation of Heavy Metal Contamination in Copper Mine Tailing Soils of Kitwe and Mufulira, Zambia, for Reclamation Prospects. Sci. Rep. 2022, 12, 11283. [Google Scholar] [CrossRef]
- Cacciuttolo, C.; Cano, D. Environmental Impact Assessment of Mine Tailings Spill Considering Metallurgical Processes of Gold and Copper Mining: Case Studies in the Andean Countries of Chile and Peru. Water 2022, 14, 3057. [Google Scholar] [CrossRef]
- Pan, Y.; Chen, M.; Wang, X.; Chen, Y.; Dong, K. Ecological Risk Assessment and Source Analysis of Heavy Metals in the Soils of a Lead-Zinc Mining Watershed Area. Water 2023, 15, 113. [Google Scholar] [CrossRef]
- Fodoué, Y.; Ismaila, A.; Yannah, M.; Wirmvem, M.J.; Mana, C.B. Heavy Metal Contamination and Ecological Risk Assessment in Soils of the Pawara Gold Mining Area, Eastern Cameroon. Earth 2022, 3, 907–924. [Google Scholar] [CrossRef]
- Wang, Z.; Bao, J.; Wang, T.; Moryani, H.T.; Kang, W.; Zheng, J.; Zhan, C.; Xiao, W. Hazardous Heavy Metals Accumulation and Health Risk Assessment of Different Vegetable Species in Contaminated Soils from a Typical Mining City, Central China. Int. J. Environ. Res. Public Health 2021, 18, 2617. [Google Scholar] [CrossRef] [PubMed]
- Hui, W.; Hao, Z.; Hongyan, T.; Jiawei, W.; Anna, L. Heavy Metal Pollution Characteristics and Health Risk Evaluation of Soil around a Tungsten-Molybdenum Mine in Luoyang, China. Environ. Earth Sci. 2021, 80, 293. [Google Scholar] [CrossRef]
- Chen, R.; Han, L.; Liu, Z.; Zhao, Y.; Li, R.; Xia, L.; Fan, Y. Assessment of Soil-Heavy Metal Pollution and the Health Risks in a Mining Area from Southern Shaanxi Province, China. Toxics 2022, 10, 385. [Google Scholar] [CrossRef]
- Jiang, W.; Meng, L.; Liu, F.; Sheng, Y.; Chen, S.; Yang, J.; Mao, H.; Zhang, J.; Zhang, Z.; Ning, H. Distribution, Source Investigation, and Risk Assessment of Topsoil Heavy Metals in Areas with Intensive Anthropogenic Activities Using the Positive Matrix Factorization (PMF) Model Coupled with Self-Organizing Map (SOM). Environ. Geochem. Health 2023, 45, 6353–6370. [Google Scholar] [CrossRef]
- Onjia, A.; Huang, X.; Trujillo González, J.M.; Egbueri, J.C. Editorial: Chemometric Approach to Distribution, Source Apportionment, Ecological and Health Risk of Trace Pollutants. Front. Environ. Sci. 2022, 10, 1107465. [Google Scholar] [CrossRef]
- Zhou, H.; Yue, X.; Chen, Y.; Liu, Y. Source-Specific Probabilistic Contamination Risk and Health Risk Assessment of Soil Heavy Metals in a Typical Ancient Mining Area. Sci. Total Environ. 2024, 906, 167772. [Google Scholar] [CrossRef]
- Ran, H.; Guo, Z.; Yi, L.; Xiao, X.; Zhang, L.; Hu, Z.; Li, C.; Zhang, Y. Pollution Characteristics and Source Identification of Soil Metal(Loid)s at an Abandoned Arsenic-Containing Mine, China. J. Hazard. Mater. 2021, 413, 125382. [Google Scholar] [CrossRef] [PubMed]
- Xiao, M.; Xu, S.; Yang, B.; Zeng, G.; Qian, L.; Huang, H.; Ren, S. Contamination, Source Apportionment, and Health Risk Assessment of Heavy Metals in Farmland Soils Surrounding a Typical Copper Tailings Pond. Int. J. Environ. Res. Public Health 2022, 19, 14264. [Google Scholar] [CrossRef]
- Aralu, C.C.; Okoye, P.A.C.; Eze, V.C.; Abugu, H.O.; Abba, S.I.; Egbueri, J.C. Seasonality of Environmental Health Risks and Soil Pollution from an Unsanitary Landfill in Nigeria: Implications for Water Security, Agriculture, and Climate Adaptation. J. Hazard. Mater. Adv. 2025, 17, 100597. [Google Scholar] [CrossRef]
- Chen, L.; Zhou, M.; Wang, J.; Zhang, Z.; Duan, C.; Wang, X.; Zhao, S.; Bai, X.; Li, Z.; Li, Z.; et al. A Global Meta-Analysis of Heavy Metal(Loid)s Pollution in Soils near Copper Mines: Evaluation of Pollution Level and Probabilistic Health Risks. Sci. Total Environ. 2022, 835, 155441. [Google Scholar] [CrossRef] [PubMed]
- Wang, L.; Liu, Q.; Bai, R. Soil Heavy Metal Pollution and Health Risk Assessment Based on Monte Carlo Simulation: Case Study of Xicheng Lead-Zinc Mining Area. Sustainability 2025, 17, 3963. [Google Scholar] [CrossRef]
- Fei, X.; Lou, Z.; Sheng, M.; Xiaonan, L.; Ren, Z.; Xiao, R. Source-Oriented Stochastic Health Risk Assessment of Toxic Metals in Soil via a Hybrid Model and Monte Carlo Simulation. Ecotoxicol. Environ. Saf. 2024, 286, 117209. [Google Scholar] [CrossRef]
- Sun, J.; Zhao, M.; Huang, J.; Liu, Y.; Wu, Y.; Cai, B.; Han, Z.; Huang, H.; Fan, Z. Determination of Priority Control Factors for the Management of Soil Trace Metal(Loid)s Based on Source-Oriented Health Risk Assessment. J. Hazard. Mater. 2022, 423, 127116. [Google Scholar] [CrossRef]
- Dai, X.; Liang, J.; Shi, H.; Yan, T.; He, Z.; Li, L.; Hu, H. Health Risk Assessment of Heavy Metals Based on Source Analysis and Monte Carlo in the Downstream Basin of the Zishui. Environ. Res. 2024, 245, 117975. [Google Scholar] [CrossRef]
- Vesković, J.; Bulatović, S.; Miletić, A.; Tadić, T.; Marković, B.; Nastasović, A.; Onjia, A. Source-Specific Probabilistic Health Risk Assessment of Potentially Toxic Elements in Groundwater of a Copper Mining and Smelter Area. Stoch. Environ. Res. Risk Assess. 2024, 38, 1597–1612. [Google Scholar] [CrossRef]
- Yang, S.; Sun, L.; Sun, Y.; Song, K.; Qin, Q.; Zhu, Z.; Xue, Y. Towards an Integrated Health Risk Assessment Framework of Soil Heavy Metals Pollution: Theoretical Basis, Conceptual Model, and Perspectives. Environ. Pollut. 2023, 316, 120596. [Google Scholar] [CrossRef]
- Sultana, Z.; Rehman, M.Y.A.; Khan, H.K.; Malik, R.N. Health Risk Assessment Associated with Heavy Metals through Fractioned Dust from Coal and Chromite Mines in Pakistan. Environ. Geochem. Health 2023, 45, 1617–1633. [Google Scholar] [CrossRef] [PubMed]
- Forghani Tehrani, G.; Rubinos, D.A.; Kelm, U.; Ghadimi, S. Environmental and Human Health Risks of Potentially Harmful Elements in Mining-Impacted Soils: A Case Study of the Angouran Zn–Pb Mine, Iran. J. Environ. Manag. 2023, 334, 117470. [Google Scholar] [CrossRef] [PubMed]
- Wongsasuluk, P.; Tun, A.Z.; Chotpantarat, S.; Siriwong, W. Related Health Risk Assessment of Exposure to Arsenic and Some Heavy Metals in Gold Mines in Banmauk Township, Myanmar. Sci. Rep. 2021, 11, 22843. [Google Scholar] [CrossRef] [PubMed]
- Dehghani, F.; Omidi, F.; Fallahzadeh, R.A.; Pourhassan, B. Health Risk Assessment of Occupational Exposure to Heavy Metals in a Steel Casting Unit of a Steelmaking Plant Using Monte–Carlo Simulation Technique. Toxicol. Ind. Health 2021, 37, 431–440. [Google Scholar] [CrossRef]
- Dutta, D.; Goel, S.; Kumar, S. Health Risk Assessment for Exposure to Heavy Metals in Soils in and around E-Waste Dumping Site. J. Environ. Chem. Eng. 2022, 10, 107269. [Google Scholar] [CrossRef]
- Vesković, J.; Onjia, A. Environmental Implications of the Soil-to-Groundwater Migration of Heavy Metals in Mining Area Hotspots. Metals 2024, 14, 719. [Google Scholar] [CrossRef]
- Armstong, R.; Kozelj, D.; Herrington, R. The Majdanpek Cu-Au Porphyry Deposit of Eastern Serbia: A Review. In Super Porphyry Copper & Gold Deposits-A Global Perspective; Porter, T.M., Ed.; PGC Publishing: Adelaide, Australia, 2005; Volume 2, pp. 453–466. [Google Scholar]
- Sokolović, J.; Stanojlović, R.; Andrić, L.; Štirbanović, Z.; Ćirić, N. Flotation Studies of Copper Ore Majdanpek to Enhance Copper Recovery and Concentrate Grade with Different Collectors. J. Min. Metall. Min. 2019, 55, 53–65. [Google Scholar] [CrossRef]
- Liu, L.; Xu, X.; Han, J.; Zhu, J.M.; Li, S.; Liang, L.; Wu, P.; Wu, Q.; Qiu, G. Heavy Metal(Loid)s in Agricultural Soils in the World’s Largest Barium-Mining Area: Pollution Characteristics, Source Apportionment, and Health Risks Using PMF Model and Cd Isotopes. Process Saf. Environ. Prot. 2022, 166, 669–681. [Google Scholar] [CrossRef]
- Zhou, H.; Chen, Y.; Yue, X.; Ren, D.; Liu, Y.; Yang, K. Identification and Hazard Analysis of Heavy Metal Sources in Agricultural Soils in Ancient Mining Areas: A Quantitative Method Based on the Receptor Model and Risk Assessment. J. Hazard. Mater. 2023, 445, 130528. [Google Scholar] [CrossRef]
- Kumar, V.; Sharma, A.; Kaur, P.; Sidhu, G.P.S.; Bali, A.S.; Bhardwaj, R.; Thurkal, A.K.; Cerda, A. Pollution Assessment of Heavy Metals in Soils of India and Ecological Risk Assessment: A State-of-the-Art. Chemosphere 2019, 216, 449–462. [Google Scholar] [CrossRef]
- USEPA. EPA Positive Matrix Factorization (PMF) 5.0 Fundamentals and User Guide; Office of Research and Development, U.S. Environmental Protection Agency: Washington, DC, USA, 2014. [Google Scholar]
- Zhang, Y.; Song, B.; Zhou, Z. Pollution Assessment and Source Apportionment of Heavy Metals in Soil from Lead—Zinc Mining Areas of South China. J. Environ. Chem. Eng. 2023, 11, 109320. [Google Scholar] [CrossRef]
- Hakanson, L. An ecological risk index for aquatic pollution control. A sedimentological approach. Water research. 1980, 14(8), 975–1001. [Google Scholar] [CrossRef]
- Tran, T.S.; Dinh, V.C.; Nguyen, T.A.H.; Kim, K.W. Soil Contamination and Health Risk Assessment from Heavy Metals Exposure near Mining Area in Bac Kan Province, Vietnam. Environ. Geochem. Health 2022, 44, 1189–1202. [Google Scholar] [CrossRef] [PubMed]
- Rudnick, R.L.; Gao, S. Composition of the Continental Crust. In The Crust (Ed. R.L. Rudnick). Treatise on Geochemistry (Eds. HD Holland and KK Turekian); Elsevier-Pergamon: Oxford, UK, 2003; Volume 3, pp. 1–64. [Google Scholar]
- Varol, M.; Ustaoğlu, F.; Tokatlı, C. Metal Pollution, Eco-Health Risks and Source Apportionment in Coastal Sediments of Samsun, Türkiye: A Receiving Zone for the Kızılırmak and Yeşilırmak Rivers. Environ. Res. 2025, 282, 122113. [Google Scholar] [CrossRef] [PubMed]
- Moldovan, A.; Török, A.I.; Kovacs, E.; Cadar, O.; Mirea, I.C.; Micle, V. Metal Contents and Pollution Indices Assessment of Surface Water, Soil, and Sediment from the Arieș River Basin Mining Area, Romania. Sustainability 2022, 14, 8024. [Google Scholar] [CrossRef]
- USEPA. Risk Assessment Guidance for Superfund. Volume I Human Health Evaluation Manual (Part A); Office of Emergency and Remedial Response U.S. Environmental Protection Agency: Washington, DC, USA, 1989. [Google Scholar]
- Yuan, B.; Cao, H.; Du, P.; Ren, J.; Chen, J.; Zhang, H.; Zhang, Y.; Luo, H. Source-Oriented Probabilistic Health Risk Assessment of Soil Potentially Toxic Elements in a Typical Mining City. J. Hazard. Mater. 2023, 443, 130222. [Google Scholar] [CrossRef]
- Liu, H.; Xie, J.; Cheng, Z.; Wu, X. Characteristics, Chemical Speciation and Health Risk Assessment of Heavy Metals in Paddy Soil and Rice around an Abandoned High-Arsenic Coal Mine Area, Southwest China. Minerals 2023, 13, 629. [Google Scholar] [CrossRef]
- Miletić, A.; Vesković, J.; Lučić, M.; Onjia, A. Monte Carlo Simulation of Source-Specific Risks of Soil at an Abandoned Lead-Acid Battery Recycling Site. Stoch. Environ. Res. Risk Assess. 2024, 38, 3313–3329. [Google Scholar] [CrossRef]
- Zhang, Y.; Jiang, B.; Gao, Z.; Wang, M.; Feng, J.; Xia, L.; Liu, J. Health Risk Assessment of Soil Heavy Metals in a Typical Mining Town in North China Based on Monte Carlo Simulation Coupled with Positive Matrix Factorization Model. Environ. Res. 2024, 251, 118696. [Google Scholar] [CrossRef]
- Li, D.; Lu, Q.; Cai, L.; Chen, L.; Wang, H. Characteristics of Soil Heavy Metal Pollution and Health Risk Assessment in Urban Parks at a Megacity of Central China. Toxics 2023, 11, 257. [Google Scholar] [CrossRef] [PubMed]
- Vesković, J.; Deršek-Timotić, I.; Lučić, M.; Miletić, A.; Đolić, M.; Ražić, S.; Onjia, A. Entropy-Weighted Water Quality Index, Hydrogeochemistry, and Monte Carlo Simulation of Source-Specific Health Risks of Groundwater in the Morava River Plain (Serbia). Mar. Pollut. Bull. 2024, 201, 116277. [Google Scholar] [CrossRef] [PubMed]
- Miletić, A.; Lučić, M.; Onjia, A. Exposure Factors in Health Risk Assessment of Heavy Metal(Loid)s in Soil and Sediment. Metals 2023, 13, 1266. [Google Scholar] [CrossRef]
- Zhong, X.; Chen, Z.; Li, Y.; Ding, K.; Liu, W.; Liu, Y.; Yuan, Y.; Zhang, M.; Baker, A.J.M.; Yang, W.; et al. Factors Influencing Heavy Metal Availability and Risk Assessment of Soils at Typical Metal Mines in Eastern China. J. Hazard. Mater. 2020, 400, 123289. [Google Scholar] [CrossRef]
- Trujillo-González, J.M.; Torres-Mora, M.A.; Serrano-Gómez, M.; Castillo-Monroy, E.F.; Jiménez Ballesta, R.; Rodrigo-Comino, J. Mapping Potential Toxic Elements in Agricultural and Natural Soils of the Piedemonte Llanero in Colombia. Water Air Soil Pollut. 2022, 233, 102. [Google Scholar] [CrossRef]
- Ustaoğlu, F.; Yüksel, B.; Yazman, M.M.; Jaskuła, J.; Tokatlı, C. Chemometric Investigation of River System Contamination: Source Identification and Risk Assessment Using Positive Matrix Factorization and Monte Carlo Simulation. J. Contam. Hydrol. 2025, 273, 104627. [Google Scholar] [CrossRef]
- Yan, B.; Xu, D.M.; Chen, T.; Yan, Z.A.; Li, L.L.; Wang, M.H. Leachability Characteristic of Heavy Metals and Associated Health Risk Study in Typical Copper Mining-Impacted Sediments. Chemosphere 2020, 239, 124748. [Google Scholar] [CrossRef]
- Wang, F.; Guan, Q.; Tian, J.; Lin, J.; Yang, Y.; Yang, L.; Pan, N. Contamination Characteristics, Source Apportionment, and Health Risk Assessment of Heavy Metals in Agricultural Soil in the Hexi Corridor. Catena 2020, 191, 104573. [Google Scholar] [CrossRef]
- Motswaiso, F.; Wang, J.; Nakamura, K.; Watanabe, N.; Komai, T. A Geochemical Approach for Source Apportionment and Environmental Impact Assessment of Heavy Metals in a Cu–Ni Mining Region, Botswana. Environ. Earth Sci. 2022, 81, 138. [Google Scholar] [CrossRef]
- Cao, J.; Xie, C.; Hou, Z. Ecological Evaluation of Heavy Metal Pollution in the Soil of Pb-Zn Mines. Ecotoxicology 2022, 31, 259–270. [Google Scholar] [CrossRef]
- Zhang, H.; Zhang, F.; Song, J.; Tan, M.L.; Kung, H.-T.; Johnson, V.C. Pollutant Source, Ecological and Human Health Risks Assessment of Heavy Metals in Soils from Coal Mining Areas in Xinjiang, China. Environ. Res. 2021, 202, 111702. [Google Scholar] [CrossRef] [PubMed]
- Dai, D.K.; Zhou, J. Spatial Distribution and Risk Assessment of Heavy Metal Contamination in Soil-Crop Systems near Gold Mining Areas. Environ. Geochem. Health 2025, 47, 191. [Google Scholar] [CrossRef] [PubMed]
- Yang, B.; Li, W.; Xiong, J.; Yang, J.; Huang, R.; Xie, P. Health Risk Assessment of Heavy Metals in Soil of Lalu Wetland Based on Monte Carlo Simulation and ACPS-MLR. Water 2023, 15, 4223. [Google Scholar] [CrossRef]
- López, J.E.; Jiménes-Oyola, S.; Marín, J.F.; Saldarriaga, J.F. Probabilistic human health risk assessment due to potential toxic elements in gold mining-affected areas of Antioquia, Colombia. Appl. Geochem. 2025, 190, 106491. [Google Scholar] [CrossRef]
- Pan, X.; Weng, X.; Zhang, L.; Chen, F.; Li, H.; Zhang, Y. Spatiotemporal Characteristics and Monte Carlo Simulation-Based Human Health Risk of Heavy Metals in Soils from a Typical Coal-Mining City in Eastern China. Front. Environ. Sci. Eng. 2024, 18, 122. [Google Scholar] [CrossRef]
- Sun, K.; Kong, J.; Gao, J.; Fang, Y.; Shi, J.; Jiang, Z.; Ouyang, K.; Ge, T.; Fang, T.; Shi, Y.; et al. Pollution Characteristics and Probabilistic Human Health Risks of Thallium and Other Heavy Metals in Soils from a Typical Copper Mining City in the Yangtze River Delta, Eastern China. Environ. Pollut. Bioavailab. 2023, 35, 2250912. [Google Scholar] [CrossRef]
- Wang, X.; Xu, F.; Gui, Y.; Liu, Y. Enhancing Health Risk Assessment for Soil Heavy Metal (Loid)s Using a Copula-Based Monte Carlo Simulation Method. Ecotoxicol. Environ. Saf. 2025, 300, 118419. [Google Scholar] [CrossRef]







| Parameter | Mean | Median | Skew | Kurt | Stdev | Max | Min | UCC * |
|---|---|---|---|---|---|---|---|---|
| Cd | 2.42 | 1.40 | 2.38 | 4.97 | 3.36 | 13.5 | 0.08 | 0.09 |
| Cr | 66.4 | 39.0 | 2.59 | 5.73 | 82.8 | 346 | 14.0 | 92 |
| Cu | 1,056 | 334 | 1.78 | 2.10 | 1414 | 5239 | 26.0 | 28 |
| Ni | 20.6 | 16.0 | 2.97 | 9.56 | 16.8 | 88.0 | 6.0 | 47 |
| Pb | 100.7 | 51.0 | 1.35 | 0.65 | 106.3 | 362 | 10.0 | 17 |
| Zn | 529 | 254 | 1.95 | 2.39 | 698 | 2424 | 38.0 | 67 |
| Hg | 0.14 | 0.13 | 1.28 | 2.21 | 0.06 | 0.32 | 0.03 | 0.05 |
| As | 33.0 | 30.0 | 0.81 | −0.12 | 23.7 | 84.0 | 2.60 | 4.8 |
| Ba | 94.2 | 91.0 | 1.88 | 4.75 | 48.4 | 265 | 37.0 | 624 |
| Co | 11.3 | 11.0 | −0.49 | 0.11 | 3.25 | 17.0 | 3.00 | 17.3 |
| Mo | 11.5 | 9.10 | 0.76 | −0.26 | 8.95 | 35.0 | 0.70 | 1.1 |
| Sb | 6.5 | 4.90 | 2.55 | 5.75 | 7.27 | 30.0 | 1.20 | 0.4 |
| Be | 0.23 | 0.20 | 0.35 | −0.65 | 0.09 | 0.40 | 0.10 | 2.1 |
| V | 54.5 | 24.0 | 2.29 | 3.82 | 82.7 | 315 | 2.90 | 97 |
| B | 3.33 | 2.90 | 1.26 | 1.15 | 2.13 | 9.50 | 0.90 | 17 |
| Clay | 9.95 | 10.1 | 0.42 | −0.33 | 4.97 | 23.0 | 2.40 | - |
| OM | 5.24 | 5.20 | 0.51 | −0.43 | 1.32 | 8.30 | 3.20 | - |
| Cd | Cr | Cu | Ni | Pb | Zn | Hg | As | Ba | Co | Mo | Sb | Be | V | B | Clay | |
|---|---|---|---|---|---|---|---|---|---|---|---|---|---|---|---|---|
| Cr | 0.446 | |||||||||||||||
| Cu | 0.774 | 0.631 | ||||||||||||||
| Ni | 0.442 | 0.776 | 0.581 | |||||||||||||
| Pb | 0.793 | 0.609 | 0.905 | 0.547 | ||||||||||||
| Zn | 0.838 | 0.654 | 0.931 | 0.649 | 0.937 | |||||||||||
| Hg | 0.723 | 0.542 | 0.889 | 0.329 | 0.780 | 0.825 | ||||||||||
| As | 0.869 | 0.484 | 0.745 | 0.566 | 0.697 | 0.729 | 0.624 | |||||||||
| Ba | 0.158 | 0.455 | 0.323 | 0.653 | 0.271 | 0.397 | 0.287 | 0.259 | ||||||||
| Co | 0.223 | 0.622 | 0.387 | 0.549 | 0.388 | 0.341 | 0.342 | 0.460 | 0.624 | |||||||
| Mo | 0.576 | 0.295 | 0.539 | 0.163 | 0.550 | 0.559 | 0.541 | 0.471 | 0.163 | 0.362 | ||||||
| Sb | 0.611 | 0.846 | 0.771 | 0.687 | 0.791 | 0.810 | 0.681 | 0.639 | 0.447 | 0.551 | 0.322 | |||||
| Be | −0.173 | 0.102 | −0.323 | −0.077 | −0.283 | −0.264 | −0.111 | −0.106 | 0.166 | 0.336 | 0.034 | −0.105 | ||||
| V | −0.063 | 0.709 | 0.087 | 0.283 | 0.077 | 0.098 | 0.148 | −0.034 | 0.094 | 0.450 | 0.153 | 0.354 | 0.478 | |||
| B | −0.335 | −0.258 | −0.255 | −0.053 | −0.352 | −0.348 | −0.209 | −0.178 | 0.328 | 0.030 | −0.406 | −0.228 | 0.098 | −0.315 | ||
| Clay | −0.042 | −0.236 | −0.067 | −0.219 | −0.208 | −0.121 | 0.179 | −0.003 | 0.287 | 0.143 | −0.111 | −0.201 | 0.271 | −0.182 | 0.289 | |
| OM | −0.033 | 0.012 | −0.193 | 0.331 | −0.139 | −0.032 | −0.226 | 0.020 | 0.330 | −0.012 | −0.333 | −0.054 | 0.123 | −0.050 | 0.397 | 0.158 |
| Total RI | Factor 1 | Factor 2 | Factor 3 | |
|---|---|---|---|---|
| mean | 1215 | 185 | 47.2 | 982 |
| max | 5840 | 832 | 167 | 4853 |
| min | 99.8 | 22.8 | 8.0 | 67.5 |
| Classification (%) | ||||
| RI < 150 | 3.3 | 60.7 | 91.8 | 18 |
| 150 < RI < 300 | 21.3 | 26.2 | 8.2 | 11.5 |
| 300 < RI < 600 | 18 | 4.9 | 0 | 21.3 |
| RI > 600 | 57.4 | 8.2 | 0 | 49.2 |
Disclaimer/Publisher’s Note: The statements, opinions and data contained in all publications are solely those of the individual author(s) and contributor(s) and not of MDPI and/or the editor(s). MDPI and/or the editor(s) disclaim responsibility for any injury to people or property resulting from any ideas, methods, instructions or products referred to in the content. |
© 2025 by the authors. Licensee MDPI, Basel, Switzerland. This article is an open access article distributed under the terms and conditions of the Creative Commons Attribution (CC BY) license (https://creativecommons.org/licenses/by/4.0/).
Share and Cite
Miletić, A.; Vesković, J.; Wang, Y.; Huang, X.; Lučić, M.; Zhang, Y.; Onjia, A. Occupational Exposure to Heavy Metal(loid)-Contaminated Soil from Mining Operations: A Case Study of the Majdanpek Site, Serbia. Appl. Sci. 2025, 15, 10711. https://doi.org/10.3390/app151910711
Miletić A, Vesković J, Wang Y, Huang X, Lučić M, Zhang Y, Onjia A. Occupational Exposure to Heavy Metal(loid)-Contaminated Soil from Mining Operations: A Case Study of the Majdanpek Site, Serbia. Applied Sciences. 2025; 15(19):10711. https://doi.org/10.3390/app151910711
Chicago/Turabian StyleMiletić, Andrijana, Jelena Vesković, Yangshuang Wang, Xun Huang, Milica Lučić, Yunhui Zhang, and Antonije Onjia. 2025. "Occupational Exposure to Heavy Metal(loid)-Contaminated Soil from Mining Operations: A Case Study of the Majdanpek Site, Serbia" Applied Sciences 15, no. 19: 10711. https://doi.org/10.3390/app151910711
APA StyleMiletić, A., Vesković, J., Wang, Y., Huang, X., Lučić, M., Zhang, Y., & Onjia, A. (2025). Occupational Exposure to Heavy Metal(loid)-Contaminated Soil from Mining Operations: A Case Study of the Majdanpek Site, Serbia. Applied Sciences, 15(19), 10711. https://doi.org/10.3390/app151910711

