Mechanisms of Energy Transfer and Failure Zoning in Rock Mass Blasting: A Mohr–Coulomb Theory and Numerical Simulation Study
Abstract
1. Introduction
2. Explosion Damage Zoning in Rock
2.1. Cavity Region
2.2. Fracture Zone
2.3. Radial Fracture Zone
2.4. Vibration Zone
3. Calculation Model
- (1)
- According to the boundary conditions of the explosion chamber and Formula (22):
- (2)
- According to the velocity continuity on the crushing zone and the explosion chamber,
- (3).
- According to the continuous stress of the crushing zone and the explosion chamber, . The combination of (22) and (23) can be solved as follows:
4. Example Calculation and Analysis
4.1. Example Calculation
4.2. Analysis
Comparison with Previous Studies
4.3. Sensitivity Analysis
- (1)
- The radius of the fracture zone is most sensitive to variations in σc and σt. A 10% reduction in σc increases the predicted fracture zone radius by approximately 8%.
- (2)
- Poisson’s ratio ν primarily influences the growth rate of the fracture zone and the interface pressure. Higher ν values slow down the attenuation of interface pressure.
- (3)
- The parameter B strongly affects the pressure–time decay law. Larger B values lead to faster exponential decay and a reduced vibration zone.
5. Conclusions
- (1)
- The change rate of spherical cavity monotonically decreases and finally tends to a stable value. The radius of the spherical cavity and the radius of the crushing zone increase monotonously and increase to the maximum value. The development and change of the radius of the two zones are not periodic or fluctuating. The elastic potential energy of the explosion chamber increases monotonously, and the change rate of the elastic potential energy increases gradually. The interface pressure between the failure zone and the elastic zone jumps to the maximum value and then decays to zero according to the negative exponential law.
- (2)
- The most critical development stage is in the fracture zone during the whole process of explosion failure in the blast cavity zone, fracture zone, and elastic zone of hard rock. According to the derivation formula in the previous section, it can be seen that the initial pressure, uniaxial compressive strength, tensile strength, Poisson’s ratio, and external pressure in the blasted rock play an important role in the development of the fracture zone.
- (3)
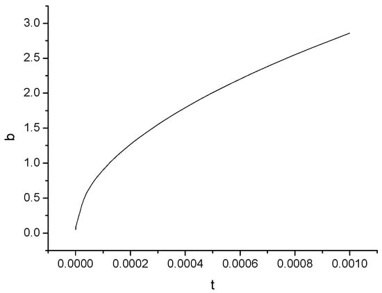
- According to Figure 3, Figure 4 and Figure 5, the results of numerical analysis and calculation show that in this blasting example, the ratio of spherical cavity radius to charge radius of hard rock (here it is granite) is 1.49, and the ratio of crushing zone radius to charge radius is 2.85. The results are consistent with the general concept of partition size in both numerical and order of magnitude. Therefore, it is verified that the calculation method in the first section of this chapter is correct and reasonable.
- (4)
- Curve fitting is carried out on the results of pressure calculation, and the pressure–time history curve equation on the interface between the crushing zone and the elastic zone in this blasting is obtained:
- (5)
- From the three aspects of the radius of the spherical cavity, the radius of the crushing zone, and the interface pressure between the crushing zone and the elastic zone, the theoretical calculation results are compared with the approximate calculation results. The results of the two methods are similar. Therefore, the elastic-plastic model Mohr–Coulomb theory, the results of the radius of each zone, and the interface pressure–time history of the explosion damage are correct.
6. Future Work
Author Contributions
Funding
Institutional Review Board Statement
Informed Consent Statement
Data Availability Statement
Conflicts of Interest
Nomenclature
| Symbol | Definition | Unit |
| a(t) | Radius of explosion cavity at time t | m |
| b(t) | Radius of crushing (fracture) zone at time t | m |
| Density of rock mass medium | kg/m3 | |
| v | Radial particle velocity | m/s |
| σr | Radial stress | Pa |
| σθ | Circumferential stress | Pa |
| c | Cohesion of rock mass | Pa |
| φ | Internal friction angle of rock mass | ° |
| E | Elastic modulus | Pa |
| ν | Poisson’s ratio | – |
| p0 | Initial burst pressure | Pa |
| pd | Detonation pressure | Pa |
| B | Fitting parameter of exponential decay law | s−1 |
| R0 | Charge radius | m |
| H | Burial depth of charge | m |
References
- Guo, Z.; Zhu, H.; Pan, B.; Chai, Q.; Liu, H. Study on the propagation law of blasting vibration wave and the failure mode of surrounding rock in the process of filling mining. Met. Mine 2025, 2025, 65–71. [Google Scholar] [CrossRef]
- Li, Q.; Li, L.; Huang, H.; Xiao, Y.; Wei, X. Research on safety prediction and control of high slope blasting vibration based on probability theory. China Saf. Prod. Sci. Technol. 2024, 20, 12–18. [Google Scholar]
- Wang, M.; Li, J. Nonlinear rock mechanics problems in explosion and impact III: Calculation principle and application of engineering seismic effect induced by underground nuclear explosion. J. Rock Mech. Eng. 2019, 38, 695–707. [Google Scholar] [CrossRef]
- Zhang, Y.; Yang, G.; Hu, H.; Wen, Y.; Jiang, Y.; Liu, P.; Yao, J. Study on numerical calculation model and safety criterion of influence of blasting vibration on buildings (structures). J. Civ. Eng. 2015, 48, 22–29. [Google Scholar]
- Sharpe, J.A. The Production of Elastic Waves by Explosion Pressures. I. Theory and Empirical Field Observations. Geophysics 2002, 7, 144–154. [Google Scholar] [CrossRef]
- Li, T.; Zhou, B.; Ai, C. Analysis of presplitting blasting parameters based on multiple linear regression model. China Min. Eng. 2024, 53, 21–25. [Google Scholar] [CrossRef]
- Chen, F.; Zong, Z.; Yin, X.; Stovas, A. Stress dependence of elastic wave attenuation dispersion in saturated porous layered media. Chin. Sci. Earth Sci. 2023, 53, 2669–2681. [Google Scholar] [CrossRef]
- Yang, X.; Stump, B.W.; Phillips, W.S. The Unique Source Mechanism of an Explosively Induced Mine Collapse; Los Alamos National Laboratory: Los Alamos, NM, USA, 1997. [Google Scholar]
- Ziolkowski, A.M.; Lerwill, W.E.; March, D.W.; Peardon, L.G. Wavelet deconvolution using a source scaling. Geophys. Prosp. 1980, 28, 872–901. [Google Scholar] [CrossRef]
- Ziolkowski, A.M. Source array scaling for wavelet deconvolution. Geophys. Prosp. 1980, 28, 902–918. [Google Scholar] [CrossRef]
- Niu, H. Study on Near-Field Vibration Spectrum Characteristics of Single-Hole Blasting at Different Initiation. Master’s Thesis, Three Gorges University, Yichang, China, 2023. [Google Scholar] [CrossRef]
- Gao, K.; Huang, P.; Liu, Z.; Liu, J.; Shu, C.; Qiao, G. Coal-rock damage characteristics caused by blasting within a reverse fault and its resultant effects on coal and gas outburst. Sci. Rep. 2021, 11, 19158. [Google Scholar] [CrossRef] [PubMed]
- Favreau, R.F. Generation of strain waves in rock by an explosion in a spherical cavity. J. Geophys. Res. 1969, 74, 4267–4280. [Google Scholar] [CrossRef]
- Wesley, P.J. Diffusion of seismic energy in the near range. J. Geophys. Res. 1965, 70, 5099–5106. [Google Scholar] [CrossRef]
- Li, W. Numerical Simulation and Determination of Reasonable Blast Hole Ultra-Deep in Open-Pit Deep Hole Bench Blasting. Master’s Thesis, Inner Mongolia University of Science and Technology, Baotou, China, 2019. [Google Scholar] [CrossRef]
- Sun, P.; Yang, G.; Lu, W.; Fan, Y.; Meng, H.; Xue, L. Study on the load history of rock blasting explosion considering the rock mass failure zone. Explos. Impact 2024, 44, 171–186. [Google Scholar]
- Liu, G. Explosive Energy Transmission and Crushing Process Control in Rock Blasting. Ph.D. Thesis, Wuhan University, Wuhan, China, 2021. [Google Scholar] [CrossRef]
- Lu, Y.; Jin, C.; Wang, Q.; Han, T.; Zhang, J.; Chen, L. Numerical study on spatial distribution of blast-induced damage zone in open-pit slope. Int. J. Rock Mech. Min. Sci. 2023, 163, 105328. [Google Scholar] [CrossRef]
- Zhao, X.; Ye, B. Convolution wavelet packet transform and its applications to signal processing. Digit. Signal Process. 2010, 20, 1352–1364. [Google Scholar] [CrossRef]
- Bieniawski, Z.T. Geomechanics Classification of Rock Masses and Its Application in Tunneling; John Wiley & Sons: Hoboken, NJ, USA, 1974. [Google Scholar] [CrossRef]








Disclaimer/Publisher’s Note: The statements, opinions and data contained in all publications are solely those of the individual author(s) and contributor(s) and not of MDPI and/or the editor(s). MDPI and/or the editor(s) disclaim responsibility for any injury to people or property resulting from any ideas, methods, instructions or products referred to in the content. |
© 2025 by the authors. Licensee MDPI, Basel, Switzerland. This article is an open access article distributed under the terms and conditions of the Creative Commons Attribution (CC BY) license (https://creativecommons.org/licenses/by/4.0/).
Share and Cite
Zhang, W.; Chen, R.; Yang, K.; Li, J. Mechanisms of Energy Transfer and Failure Zoning in Rock Mass Blasting: A Mohr–Coulomb Theory and Numerical Simulation Study. Appl. Sci. 2025, 15, 10600. https://doi.org/10.3390/app151910600
Zhang W, Chen R, Yang K, Li J. Mechanisms of Energy Transfer and Failure Zoning in Rock Mass Blasting: A Mohr–Coulomb Theory and Numerical Simulation Study. Applied Sciences. 2025; 15(19):10600. https://doi.org/10.3390/app151910600
Chicago/Turabian StyleZhang, Wei, Renshan Chen, Kaibo Yang, and Jin Li. 2025. "Mechanisms of Energy Transfer and Failure Zoning in Rock Mass Blasting: A Mohr–Coulomb Theory and Numerical Simulation Study" Applied Sciences 15, no. 19: 10600. https://doi.org/10.3390/app151910600
APA StyleZhang, W., Chen, R., Yang, K., & Li, J. (2025). Mechanisms of Energy Transfer and Failure Zoning in Rock Mass Blasting: A Mohr–Coulomb Theory and Numerical Simulation Study. Applied Sciences, 15(19), 10600. https://doi.org/10.3390/app151910600

